CALIDAD POSTCOSECHA DE HIGOS ‘BLACK MISSION’ TRATADOS CON CUBIERTAS NATURALES
POSTHARVEST QUALITY OF FICUS ‘BLACK MISSION’ TREATED WITH NATURAL COATINGS
CALIDAD POSTCOSECHA DE HIGOS ‘BLACK MISSION’ TRATADOS CON CUBIERTAS NATURALES
Revista Iberoamericana de Tecnología Postcosecha, vol. 17, núm. 2, pp. 267-275, 2016
Asociación Iberoamericana de Tecnología Postcosecha, S.C.
Resumen: El higo adquiere más importancia económica debido al contenido nutricional y propiedades funcionales. Se evaluó el efecto de la aplicación de recubrimientos de quitosano 1% + cera de abeja 0.5% y de quitosano + cera de abeja + aceites esenciales de canela 0.025% o + limón 1%, sobre la calidad postcosecha de higos cv. ‘Black Mission’ durante 16 días de almacenamiento a 5ºC. En general, al término de este periodo, en comparación con la fruta no tratada, ninguna de las cubiertas redujo la pérdida de peso, la producción de CO2 fue casi similar en todos los tratamientos en un rango de 69.4 a 86.9 ml CO2 kg-1 h-1, la firmeza de los tratados con quitosano + cera de abeja, fue dentro de un valor comercial aceptable de aproximado 16N. Los SST fueron ligeramente mayores (16%) en los frutos con las cubiertas con los aceites esenciales. La actividad antioxidante fue mayor en los tratados con aceite esencial de limón (68%). Se observó un desarrollo normal del color (verde a morado). La presencia de bacterias mesófilas aerobias fue menor con el quitosano + cera de abeja (UFC = 5.0), mientras que la cuenta de hongos/levaduras fue menor con las cubiertas de quitosano + cera de abeja + aceite esencial de canela o aceite de limón (UFC = 4.3 y 0, respectivamente). El mayor control (50%) de los hongos fitopatógenos fue también con la cubierta que contenía el aceite esencial de limón. Los principales hongos aislados pertenecían a los géneros Alternaria, Aspergillus y Penicillium.
Palabras clave: Ficus carica L., quitosano, aceites esenciales, canela, limón, cera de abeja.
Abstract: Ficus fruit acquires more economical importance due to its nutritional content and functional properties. It was evaluated the effect of the application of coatings of chitosan 1.0% + beeswax 0.5%, and chitosan 1.0% + beeswax + cinnamon 0.0.25% or + lime 1.0% essential oils, on the postharvest quality of ficus cv. Black mission during 16 days at 0.5ºC. In general, at the end of the storage period and compared with the untreated fruit, none of the coatings reduce weight loss, CO2 production was almost similar among treatments in a range of 69.4 to 86.9 ml CO2 kg-1 h-1, firmness of the treated ones with chitosan + beeswax, was within an acceptable commercial value of about 16N. TSS were slightly higher (16%) in fruit treated with essential oils. The antioxidant capacity was higher in those treated with lime essential oil (68%). It was observed a normal color development (green to purple). The presence of aerobic mesophilic bacteria was lower with chitosan + beeswax (UFC = 5.0), while, fungi/yeast count was lower with chitosan + beeswax + cinnamom or lime essential oils (UFC = 4.3 y 0, respectively). The highest control (50%) of fungal phytopathogenic was also with the coating containig lime essential oil. The main isolated fungi belonged to the genus Alternaria, Aspergillus and Penicillium.
Keywords: Ficus carica L., chitosan, essential oils, cinnamon, lime, beeswax.
INTRODUCCIÓN
El higo (Ficus carica L.) de la familia Moraceae, fue de los primeros árboles frutales cultivados en el mundo (Stover et al., 2007). El descubrimiento de los higos como un alimento nutritivo y rico en nutrientes ha incrementado el interés de los consumidores por este producto frutícola, lo cual ha traído la necesidad de prolongar la vida postcosecha de estos frutos (Kong et al., 2013). Los higos en general se cosechan cuando están casi completamente maduros para que se desarrolle su sabor óptimo; esto da como resultado una pérdida rápida de calidad con periodos muy cortos de almacenamiento y vida de mercado (Karabulut et al., 2009). Durante estos periodos, el ablandamiento postcosecha, se refleja en la pérdida de firmeza y peso, resultando en uno de los eventos de su maduración que más impacta la calidad.
Con la finalidad de reducir las pérdidas por deshidratación e incrementar la vida de anaquel de los frutos, se han utilizado diferentes cubiertas o recubrimientos comestibles las cuales consisten en una capa delgada que se forma directamente sobre la superficie de los productos vegetales como una envoltura protectora (Bravin et al., 2006). El mecanismo por el cual, teóricamente, los recubrimientos conservan la calidad de frutas y vegetales es debido a que crean una barrera física a los gases, produciendo una atmósfera modificada ya que reduce la disponibilidad de oxigeno e incrementan la concentración de dióxido de carbono (Ahn et al., 2008), las cuales se elaboran a partir da una gran variedad de proteínas, polisacáridos y lípidos ya sea como componentes único o combinados, con la finalidad de desarrollarlas con mejores propiedades mecánicas, de barrera y antimicrobianas.
En este caso, la adición de compuestos naturales como los aceites esenciales ha permitido no sólo aumentar la calidad y la vida útil sino garantizar la inocuidad de los productos hortofrutícolas durante su almacenamiento, cuyo interés ha aumentado cada vez más debido a su actividad antibacteriana y antifúngica comprobada (De Azeredo et al., 2011). Tal es el caso del aceite esencial de limón (Citrus limon (L.) Osbeck), el cual es rico en compuestos volátiles como limoneno y y-terpeno, siendo el primero el principal compuesto con propiedades significativas antifúngicas sobre el control de Alternaria alternata y Colletotrichum fragariae, entre otros (Combrick et al., 2011). Asimismo, el aceite esencial de canela (Cinnamomum vera J. Presl), ha sobresalido por su actividad antifúngica, respecto a lo hongos antes mencionados, debido a la presencia de aldehídos y alcohol, los cuales tienen un acción citotóxica que daña la membrana celular del microorganismo patógeno (Bakkali et al., 2008).
Por otro lado, el quitosano, es un polisacárido catiónico que se obtiene por la desacetilación de la quitina, el cual ha mostrado actividad antimicrobiana notable en hongos y bacterias fitopatógenos y de los alimentos (Bautista-Baños et al., 2006). Los recubrimientos comestibles a base de quitosano también se han utilizado para mejorar la calidad postcosecha y la vida útil de numerosos productos hortofrutícolas como las fresas, papaya, lichi y jitomate, entre otros. (Ramos-García et al., 2010). Igualmente, las características fisicoquímicas del quitosano le permiten combinarse de forma apropiada con los aceites esenciales. Sobre el tema, Perdones et al. (2012) experimentaron con formulaciones a base de quitosano y aceite esencial de limón sobre fresas (Fragaria × ananassa) y reportaron que el recubrimiento comestible tuvo excelentes resultados en la conservación y prolongación de su vida útil. Por su parte, Ramos-García et al. (2012) reportaron que la formulación a base de aceite esencial de limón + quitosano + cera de abeja, aplicada en tomate (Lycopersicon esculentum), inhibió completamente Escherichia coli DH5α en tres estados de madurez del fruto. A la fecha, a pesar de la importancia comercial del higo no existen reportes publicados sobre el desarrollo de formulaciones y su efecto en este fruto.
El objetivo entonces de esta investigación fue evaluar, la respuesta fisiológica, calidad postcosecha y actividad microbiológica de frutos de higo cv. ‘Black Mission’, como resultado de la aplicación de formulaciones a base de quitosano combinado con cera de abeja y aceites esenciales de canela o limón.
MATERIALES Y MÉTODOS
Frutos. En los experimentos se utilizó higo cv. ‘Black Mission’. Los frutos se cosecharon cuando presentaron un color veteado verde- morado, de una unidad de producción comercial en el municipio de Xalostoc (Cuautla) en el estado de Morelos, México. Una vez en el laboratorio, se seleccionaron, de acuerdo a un tamaño y color homogéneo, además de la ausencia de daños visibles.
Elaboración de las cubiertas. Para la elaboración de las cubiertas, se utilizó un homogeneizador VIRTIS 45. Se calentó el agua del homogeneizador a 70°C (temperatura que permitió disolver la cera de abeja). Para la preparación de la formulación a base de aceite esencial de canela, se homogenizó con ácido acético 1%, y quitosano comercial 1% durante 3 min. a 1000 rpm; se agregó la cera de abeja 0.5% (Química Meyer) durante 2 min y se mezcló el aceite esencial de corteza de canela 0.025% y el glicerol 0.3% (Mallinckrodt Baker, S.A de C.V) durante 1 min. Se dejó la solución en agitación durante 3 min. Para la elaboración de la formulaciones con el quitosano y aceite esencial comercial de limón 1% (Essence Fleur, S.A) se utilizó la misma metodología.
Diseño del experimento. Se aplicaron los siguientes tratamientos: 1. Aceite esencial de corteza de canela 0.025% + ácido acético 1% + cera de abeja 0.5% + quitosano 1% + glicerol 0.3% (C), 2. Aceite esencial de limón 1% + ácido acético 1% + cera de abeja 0.5% + quitosano 1% + glicerol 0.3% (L), 3. Ácido acético 1% + cera de abeja 0.5% + quitosano 1% + glicerol 0.3% (Q), 4. Agua (CO). Una vez seleccionados los higos, 3kg por tratamiento se repartieron en cuatro contenedores de polietileno de ptereftalato (PET, grosor 330 μm) con tapas cerradas a presión. Los frutos se sumergieron en el tratamiento respectivo durante 2 min. y se dejaron secar completamente. Se hicieron tres repeticiones de cada tratamiento por cada día de muestreo. El tiempo de almacenamiento fue de 16 días, en el cual los frutos se mantuvieron en los empaques PET a 5°C.
Obtención del aceite esencial de canela. Se pesaron 800g de corteza de canela y se sometieron a un proceso de hidrodestilación durante 45 min. mediante un destilador de cristal tipo italiano con capacidad de 5L.
Variables fisiológicas
Pérdida de peso. Para los higos se utilizó una balanza (modelo CS 200, Ohaus Corporation, USA) con capacidad de 200g x 0.1g. La pérdida de peso se evaluó como la diferencia entre el peso inicial y el peso final y se expresó en porcentaje.
Respiración. La respiración se midió con la técnica de espacio-cabeza. Cada día de muestreo, los higos se guardaron en vasos de vidrio sellados herméticamente con una tapa equipada con un septum de caucho de silicona. Después de 1 h a 25 ± 2°C, se tomaron muestras de los gases con una jeringa de 5.0ml (Nipro Medical Corporation, U.S.A) y se guardaron en tubos BD vacutainer, capacidad 6 mL. Las muestras se almacenaron a 4ºC hasta su posterior evaluación. Para determinar los valores de CO2 se inyectó un volumen de 0.5ml (Agilent Technologies, U.S.A) en un Cromatógrafo de gases 7890B GC (Agilent Technologies, U.S.A). El helio se utilizó como gas acarreador a una velocidad de flujo de 10 mL min-1. Se utilizaron dos detectores (FID/TCD) y dos columnas HP-PLOT/Q y CP-MOLSIEVE 5A (Agilent Technologies, U.S.A). Las temperaturas del inyector y detectores fueron de 220, 300 y 250°C, respectivamente. La respiración se expresó en ml CO2 Kg-1 h-1.
Variables de calidad
Firmeza. La firmeza (N) se midió con un penetrómetro 53205 Fruit Pressur Tester (Technical System Ltd).
SST. Para evaluar los SST expresados en °Bx, se utilizó un refractómetro, modelo ATAGO 01018, Brix 0-32% (El Crisol, S.A De C.V), calibrado con una gota de agua destilada.
Acidez. Para la acidez se utilizó la metodología reportada para la (A.O.A.C 1984). Con una licuadora Osterizer Pulse Matic se homogenizó una mezcla de 20g de muestra y 100ml de agua destilada, se tomó una alícuota de 5ml y se tituló con hidróxido de sodio (NaOH) 0.1N. Se utilizó como indicador 0.2ml de fenolftaleína en solución alcohólica al 1% por cada 5ml de solución hasta llegar a un pH de 8.3. La acidez titulable se expresó en g de acido cítrico (0.064 factor para el acido cítrico)/ cada 100g de producto.
pH. De la misma alícuota se midió el pH de las muestras con un potenciómetro modelo F-51 (Horiba Ltd, Japón).
Capacidad antioxidante. Se llevó a cabo siguiendo la metodología de Sánchez-Moreno (1998). Previamente se preparó la solución stock de 2.2-diphenyl-1-picrylhydrazyl (DPPH), el cual se utiliza generalmente como un reactivo para evaluar la actividad de eliminación de los radicales libres de los antioxidantes (Oyaizu, 1986). Se pesó 0.01g de DPPH y se aforó a 25ml con metanol, de esta solución se tomó 1.3ml y se aforó a 10ml con metanol para preparar la solución diaria. Posteriormente, se pesó 0.5g de higo, se agregó 5ml de metanol y se maceró con un mortero en cerámica; la solución resultante se transfirió a dos tubos eppendorf de 1.5ml, los cuales se centrifugaron (modelo Prism High Speed Microcentrifuge, Labnet International, U.S.A), durante 10 min. a 8000 rpm. De cada muestra, se tomaron 600μl de sobrenadante y se agregaron 900μl de metanol; de esta misma solución, se extrajeron 250μl de muestra y se agregaron a 750μl de DPPH, mientras que, para la prueba en blanco, a 250μl de metanol se les agregó 750μl de DPPH. Se dejó en incubación para 30 min. en la obscuridad. Al final, el porcentaje de reducción de DPPH, se determinó espectrofotométricamente (515nm) con un espectrofotómetro Genesys 10S UV-VIS (Thermo Fisher Scientific, China) calibrado con metanol con la siguiente fórmula:

Abs0: absorbancia del blanco
Absm: absorbancia muestra
Color. El color se midió con un colorímetro Baking Meter BC-10 (Konica Minolta Sensing, Japón), obteniendo los valores L*, a*, b* de la escala CIELAB (McGuire, 1992) donde L* representa la luminosidad, a* representa el croma y b* representa la saturación. Los datos se reportaron como diferencia de color a través del tiempo (ΔE) con la siguiente fórmula:

Variables microbiológicas. Esta investigación incluyó, al término de los experimentos (día 16), la evaluación de la presencia de microorganismos como bacterias mesofílicas, hongos/levaduras y hongos fitopatógenos. La evaluación microbiológica se realizó en dos empaques por tratamiento, mientras que, para el aislamiento de fitopatógenos se utilizó 1 empaque por tratamiento, los cuales se almacenaron a 5°C.
Análisis microbiológico. La pruebas microbiológicas se realizaron con dos medio de cultivo: soya tripcaseina (BIOXON, México) y papa dextrosa agar (BIOXON, México) para determinar bacterias mesófilas aerobias y hongos/levaduras, respectivamente. Se elaboró una solución peptonada (1g de peptona + 8.5 g de cloruro de sodio + 1L agua destilada), con la cual se lavaron los higos en condición de esterilidad. Se tomó 1ml del lavado y se realizaron diluciones (10-4), las cuales se vertieron en cajas Petri con TSA o PDA y se incubaron 24 h a 35 ºC.
Evaluación fitopatológica. Se aislaron e identificaron los hongos fitopatógenos a nivel de género de acuerdo a Barnett y Hunter (2003) y se evaluó la incidencia (%).
Análisis estadístico. Los experimentos se arreglaron bajo un diseño completamente al azar y los datos se analizaron mediante un análisis de varianza (ANDEVA). Se obtuvieron medias y desviaciones estándar. Las medias de los valores se compararon con la prueba de Tukey (p<0.05). Se utilizó el software InfoStat Statistical Software versión 2012.
RESULTADOS Y DISCUSIÓN
Variables fisiológicas
Pérdida de peso. Excepto por el día 16 de almacenamiento, no se observaron diferencias estadísticas entre los tratamientos. Se observó que la pérdida de peso fue similar hasta el día 8 de almacenamiento y aumentó a partir del día 12 en las frutas tratadas con las cubiertas (Figura 1A). En el tratamiento con quitosano + aceite esencial de limón + cera de abeja (L) al día 16, las frutas tuvieron la pérdida máxima de masa (11.4 %), valor casi tres veces mayor que el tratamiento control (CO) que perdió sólo el 4.2%. Uno de los principales objetivo de los recubrimientos comestibles es disminuir el porcentaje de pérdida de peso para extender la calidad comercial de los frutos (Ali et al., 2011; Almeida-Castro et al., 2011). Sin embargo, en el presente trabajo no se consiguió este objetivo, probablemente a que la permeabilidad de los recubrimientos utilizados fue demasiado alta sobre la fruta fresca.

Respiración. En la Figura 1A,B se muestra la evolución de la respiración de los higos tratados con y sin cubiertas. En general se observó una tendencia similar durante los 16 días de almacenamiento; sin embargo, hubo diferencias estadísticas (p<0.05) en aquellos donde se incluyeron los aceites esenciales de canela (C) y limón (L) respecto al tratamiento control (CO). La producción de CO2 durante los 16 días de almacenamiento, en los higos tratados con la cubierta que contenía el aceite esencial de canela, fue menor, por ejemplo, el último día de almacenamiento, la producción de CO2 fue menor (69.40 ml CO2 kg-1 h-1), en comparación con aquellos tratados con la cubierta con aceite esencial de limón (86.90 ml CO2 kg-1 h-1), el quitosano (83.09 ml CO2 kg-1 h-1) y el control (CO) (76.43 ml CO2 kg-1 h-1). En este estudio, las condiciones de almacenamiento no afectaron la respiración de los frutos, esto pudo deberse a la baja temperatura de almacenamiento de 5ºC. El rango final de la tasa de respiración fue de 69.4 a 86.9 ml CO2 kg-1 h-1. Al respecto, Crisosto et al. (2010) reportaron en higos ‘Black Mission’, un rango de producción de CO2 de 47 a 67 ml CO2 kg-1 h-1, lo que indica que en nuestro estudio, la temperatura de almacenamiento fue adecuada.
Variables de calidad
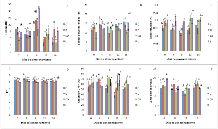
Firmeza. En la Figura 2A se observa la tendencia de la pérdida de la firmeza de los frutos. La diferencia significativa (p<0.05) se observó el día 8 de almacenamiento en los tratamientos con la cubierta de aceite esencial de limón (L) y quitosano (Q). El valor final de ambos fue aproximadamente de 12.0 N, casi el doble respecto a la firmeza del tratamiento control (CO) 6.8 N y del tratamiento a base de aceite esencial de canela (C). El cambio en la firmeza es uno de los principales indicadores en la evaluación de la calidad postcosecha de los frutos. En general, no se observó un patrón definido en relación a esta variable, lo cual pudo deberse a que el índice de madurez de los higos no fue uniforme, caracterizado por frutos menos maduros principalmente en las muestras del día 8. La diferencia entre los resultados también pudo depender de las variedad, temperatura de conservación y materiales de la cubierta. Por ejemplo, Villalobos et al. (2016) reportaron en los cvs. ‘Kadota’ y ‘Black Mission’, una firmeza de 0.7 N mm-1 cuando se trataron con cubiertas a base de soya.
SST. Se observa en la Figura 2B, que el contenido de SST se incrementó al término del almacenamiento en todos los tratamientos.
No hubo diferencias significativas entre ellos hasta el día 16, en donde los SST de los frutos del tratamiento con aceite esencial de canela (C) y limón (L) fue de aproximadamente 16.0%. Estos valores son similares a los resultados reportado por Crisosto et al. (2010) para el mismo cv. que el nuestro.
Acidez. En la Figura 2C, se observa el contenido de ácido cítrico. Entre los tratamientos hubo diferencias estadísticas (p<0.05) en el día 8 de almacenamiento. Los frutos del tratamiento con la cubierta con limón (L) tuvieron un acidez aproximada de 0.2% durante los 16 días de almacenamiento, mientras que, en los frutos tratados sólo con quitosano + cera de abeja, la acidez se redujo. Con el tratamiento con aceite esencial de canela (C), la acidez fue del 0.15% aproximadamente. Para el cv. ‘Black Mission’, la acidez que se reportó fue de 0.44 (Crisosto et al., 2010).
pH. Aunque se observaron diferencias estadísticas (p<0.05) entre los tratamientos, el valor inicial y final del pH de los higos fue aproximadamente de 5.0 (Figura 2D).
Antioxidantes. Se observaron diferencias significativas (p<0.05) únicamente en el día 12, entre los tratamiento a base aceite esencial de limón (L) y aceite esencial de canela (C) (Figura 2E). Respecto al porcentaje promedio inicial (60.0%), los frutos de los tratamientos con quitosano (Q) y aceite esencial de canela (C) tuvieron al término del almacenamiento valores menores de 50% y 55%, respectivamente, mientras que, los frutos de la cubierta con aceite esencial de limón (L) presentaron un valor máximo de 68%. Los trabajos de Ming-Tsung et al. (2008) y Wan et al. (2013) reportaron que el quitosano tiene una optima capacidad antioxidante. Otro estudio de Musa-Ӧzcan et al. (2011) confirma la capacidad antioxidante del aceite esencial de canela cuando se mezcló con los aceites de amapola y avellana; sin embargo, estos estudios no involucraron frutos de higo.
Color. No hubo diferencias significativas entre los tratamientos en relación al color (Figura 2F). Los higos desarrollaron un color entre el verde a morado. Crisosto et al. (2010) compararon la variable de color entre higos del cv. ‘Black Mission’, en diferente etapa de maduración y encontraron que los frutos de madurez avanzada tuvieron una coloración más morada en relación a los índices de madurez restantes.

Evaluación microbiológica. El empleo de las cubiertas a base de quitosano redujo significativamente la presencia de BMA y H/L en frutos de higo, En el segundo caso se incluye la cubierta que contenía el aceite esencial de limón, la cual también controló hasta en un 50% la presencia de hongos fitopatógenos. (Cuadro 1), cuyos géneros coinciden con los reportados por Chessa (2005). Las frutas y los vegetales por su contenido nutricional son de gran importancia dentro de la cadena alimenticia; los microorganismos pueden desarrollarse en ellos y causar deterioro o enfermedades debido a su consumo (Rojas Ávila et al., 2008).
CONCLUSIONES
La calidad y vida de anaquel de los higos ‘Black Mission’ se mantuvo con la aplicación de los recubrimientos a base de formulaciones naturales. Además, los recubrimientos con quitosano + cera de abeja y, quitosano + aceite esencial de limón + cera de abeja, redujeron notablemente la presencia de microorganismos deterioradores y fitopatógenos durante el almacenamiento.

Referencias
Ahn, J.H., Kim, Y.P., Seo, E.M., Choi, Y.K., and Kim H.S. (2008). Antioxidant effect of natural plant extracts on the microencapsulated high oleic sunflower oil. Journal of Food Engineering 84, 327–334.
Ali, A., Muhammed, M., Sijam, K., and Siddiqui, Y. (2011). Effect of chitosan coatings on the physicochemicals charateristics of Eksotika II papaya (Carica papaya L.) fruit during storage. Food Chemistry 124, 620-626.
Almeida-Castro, A., Reis-Pimentel, J.D., Santos-Souza, D., Vieira de Oliveira, T., y Costa-Oliveira, M. (2011). Estudio de la conservación de la papaya (Carica papaya L.) asociado a la aplicación de películas comestibles. Revista Venezolana de Ciencia y Tecnología de Alimentos 2(1), 049-060.
Bakkali, F., Averbeck, S., Averbeck, D., and Idaomar, M. (2008). Biological effects of essential oils – A review. Food Chemistry and Toxicology 46, 446-475.
Barnett, H.L., and Hunter, B.B. (2003). Illustrated Genera of imperfect fungi. Tercera Edición. APS PRESS. St. Paul, Minnesota. USA. pp. 218.
Bautista-Baños, S., Hernández-Lauzardo, A.N., Velázquez del Valle, M.G., Hernández-López, M., Ait Barka, E., Bosquez-Molina, E., and Wilson, C.L. (2006). Chitosan as a potential natural compound to control pre- and postharvest diseases of horticultural commodities. Crop Protection 25, 108-118.
Bravin, B., Peressini, D., and Sensidoni, A. (2006). Development and application polysaccharide-lipid edible coating to extend shelf-life of dry bakery products. Journal of Food Engineering 76, 280-290.
Combrick, S., Regnier, T., and Kamatou, G.P.P. (2011). In vitro activity of eighteen essential oils and some major components against common postharvest fungal pathogens of fruit. Industrial Crop Products 33(2): 344.
Cristosto, C.H., Bremer, V., Ferguson, L., and Crisosto, G.M. (2010). Evaluating quality attributes of four fresh fig (Ficus carica L.) cultivars harvested at two maturity stages. HortScience 45(4), 707-710.
Chessa, I. (2005). Fig. In: Sisir Mitra (Ed.) Postharvest physiology and storage of tropical and subtropica fruits. CABI Publishing. New Dehli, India. 245-268.
De Azeredo, G.A., Stanford, T.L.M., Nunes, P.C., Neto, N.J.G., De Oliveira, M.E.C., and De Souza, E.L. (2011). Combined application of essential oils from Origanum vulgare L. and Rosmarinus officinalis L. to inhibit bacteria and autochthonous microflora associated with minimally processed vegetables. Food Research International 44, 1541–1548.
Karabulut, O.A., Ilhan, K., Arslan, U., and Vardar, C. (2009). Evaluation of the use of chlorine dioxide by fogging for decreasing postharvest decay of fig. Postharvest Biology and Technology 52, 313–315.
Kong, M., Lampinen, B., Shackel, K., and Crisosto, C.H. (2013). Fruit skin side cracking and ostiole-end splitting shorten postharvest life in fresh figs (Ficus carica L.), but are reduced by deficit irrigation. Postharvest Biology and Technology 85, 154–161.
McGuire, R.G. (1992). Reporting of objective color measurements. HortScience 27, 1254.
Ming-Tsung, Y., Joan-Hwa, Y., and Jeng-Leun, M. (2008). Antioxidant properties of chitosan crab shells. Carbohydrate Polymers 74 (4), 840-844.
Musa-Ӧzcan, M., and Arslan, D. (2011). Antioxidant effect of essential oils of rosemary, clove and cinnamon on hazelnut and poppy oils. Food Chemistry 129(1):171.
Oyaizu, M. (1986). Studies on products of browning reaction–antioxidative activities of products of browning reaction prepared from glucosamine. Japanese Journal of Nutrition 44, 307-315.
Perdones, A., Sánchez-González, L., Chiralt, A., and Vargas, M. (2012). Effect of chitosan–lemon essential oil coatings on storage-keeping quality of strawberry. Postharvest Biology and Technology 70, 32–41.
Ramos-García, M., Bautista-Baños, S., Barrera-Necha, L.L., Bosquez-Molina, E., Alia-Tejacal, I., y Estrada Carrillo, M. (2010). Compuestos antimicrobianos adicionados en recubrimientos comestibles para uso en productos hortofrutícolas. Revista Mexicana de Fitopatología 28, 44-57.
Ramos-García, M., Bosquez-Molina, E., Hernández-Romano, J., Zavala-Padilla, G., Terrés-Rojas, E., Alia-Tejacal, I., Barrera-Necha, L., Hernández-López, M., and Bautista-Baños, S. (2012). Use of chitosan-based edible coatings in combination with other natural compounds, to control Rhizopus stolonifer and Escherichia coli DH5a in fresh tomatoes. Crop Protection 38, 1-6.
Rojas, Á.M.R., Vargas, L., y Tamayo C.J.A. (2008). Sandía mínimamente procesada conservada en atmósferas modificadas. Revista Iberoamericana de Tecnología Postcosecha 9, 153-161.
Stover, E., Aradhya, M., and Crisosto, C. (2007). The fig: overview of an ancient fruit. HortScience 42, 1083-1087.
Villalobos, M. del C., Serradilla, M.J., Martín, A., Ruiz-Moyano, S., Pereira, C., and De Guía, C.M. (2016). Synergism of defatted soybean meal extract and modified atmosphere packaging to preserve the quality of figs (Ficus carica L.). Postharvest Biology and Technology 11, 264-273.
Wan, A., Xu, Q., Sun, Y., and Li, H. (2013). Antioxidant activity of high molecular weight chitosan and N,O-quaternized chitosans. Journal of Agricultural and Food Chemistry 61(28), 6921–692.
Notas de autor
Autor de correspondencia. E-mail: sbautis@ipn.mx