Generales
Resumen: En este trabajo se presenta un análisis de los resultados obtenidos con el secado solar de frutas y verduras en el estado de Quintana Roo México. En especial se han seleccionado cinco productos con los que se ha trabajado y que son: zanahoria (Daucus carota), pepino (Cucumis sativus), pitaya (Stenocereus thurberi ), nopal (Opuntia ficus-indica) y papaya (Carica papaya). Para los estudios de secado se construyó un secador solar tipo indirecto. Se logró reducir en todos los casos el contenido de humedad final de los productos a valores de entre 4 y 8 %, se determinaron los valores de la difusividad efectiva de cada producto. Los resultados experimentales se han comparado con el modelo de Page. Finalmente se ha realizado un análisis del comportamiento del secador y se determinó que su eficiencia máxima de operación fue del 32% cuando se realizaron las pruebas de secado de papaya.
Palabras clave: Secado Solar, Difusividad, eficiencia secado solar.
Abstract: This work presents an analysis of the solar drying of fruits and vegetables in the State of Quintana Roo, Mexico. For this study five products were selected: carrot (Daucus carota), cucumber (Cucumis sativus), dragon fruit stem (Stenocereus thurberi), Cactus (Opuntia ficus - indica) and papaya (Carica papaya). For drying studies an indirect solar dryer was built. Final moisture content of all products was in the range of 4 to 8%, also were determined the values of effective diffusivity for each product. Experimental results were compared with the Page model. Finally an analysis of the behavior of the dryer was realized, and calculated its operating efficiency that it was of 32% for the papaya drying tests.
Keywords: Solar drying, Diffusivity, Solar Drying Efficiency.
INTRODUCCION
El secado es una de las actividades postcosecha mas importantes en la agricultura, ya que permite preservar los alimentos por un mayor tiempo al evitar su descomposición, y es que según algunas estimaciones [1] en los países en desarrollo se llega a perder entre un 40 a 60% de las cosechas, debido a la falta de métodos adecuados de transporte y conservación. De aquí la importancia del empleo del secado como uno de los métodos para preservar los productos agrícolas, reduciendo las pérdidas y aumentando la disponibilidad de alimentos para la población.
El primer método de secado desarrollado por el hombre consistió en la exposición directa del producto al sol. Esta técnica que todavía es utilizada hoy en día en el medio rural de los países en desarrollo, presenta la desventaja de que se pierde una gran cantidad de producto ya que se contamina o deteriora por causa de las lluvias, el polvo, así como del ataque de insectos.
Si bien es cierto que existen otras técnicas de secado en donde se puede emplear como combustible la leña, por ejemplo, tienen la desventaja de los daños que causan al ambiente vía deforestación y contaminación del aire. Por otra parte, el uso de secadores industriales ofrece calidad de secado pero sus altos costos iniciales y de operación limitan su uso.
En este contexto, las tecnologías de secado solar ofrecen una alternativa viable para procesar los productos agrícolas en forma limpia e higiénica, cumpliendo con la normatividad existente para el manejo de los alimentos, y así contribuir a reducir el consumo de combustibles tradicionales, mejorar la calidad de los productos, reducir las pérdidas postcosecha y cuidar El medioambiente [2].
De entre la literatura existente sobre el uso del secado solar para la conservación de productos agrícolas, se pueden destacar los trabajos de: A.A. El-Sebaii y S.M. Shalaby [3] quienes realizaron una revisión de lo que se ha hecho en materia de secado solar, así como algunas perspectivas a futuro; Aiswarya .M.S [4], quien desarrolló un secador solar con materiales de cambio de fase para el secado de productos agrícolas, aplicado al secado de papa y tapioca,; Elizabeth Cortés R. et al. [5] quien estudio el secado solar de chile habanero usando un secador solar de lecho fluidizado; Gutti Babagana, et al. [6] quienes diseñaron y construyeron un secador solar de circulación natural y forzada para el secado de vegetales, tales como espinacas, cebolla, chile y tomate; Antonio R.S. Costa, et al. [7] quienes analizaron la construcción de un secador solar en el que se realizaron ensayos de secado de frutos tropicales y desarrollaron el modelado matemático del proceso.
En este trabajo, se analiza el secado solar de frutas y vegetales, en un prototipo de secador solar tipo indirecto, con circulación forzada, ubicado en el campus de la Universidad de Quintana Roo, en la ciudad de Chetumal (18º 31' 24.77" N, 88º 16' 04.55" O). Específicamente se analiza el secado de papaya, zanahoria, pitahaya, pepino y nopal, para lo cual se han obteniendo sus curvas de secado, así como los parámetros más importantes del comportamiento del secador solar. Las pruebas de secado se realizaron entre los meses de octubre (2013) y abril (2014).
Secado. En la literatura especializada [8], se encuentran planteados diversos modelos matemáticos que intentan describir la cinética del proceso de secado de los productos agrícolas. Estos modelos son tanto del tipo teórico, semiteórico y empíricos.
Los modelos teóricos se basan en el desarrollo de las ecuaciones de balance de calor y masa o bien en las ecuaciones de la difusión de humedad. Los modelos semiteóricos se desarrollan en base a ajustes de los datos experimentales y normalmente son mucho más fáciles de aplicar que los modelos teóricos. Los modelos experimentales han surgido para explicar la migración de la humedad en un sólido de forma global. Se basan en el conocimiento empírico y son de aplicación muy específica para un producto en particular, tipo de secador y condiciones de secado.
Dentro de los modelos semi-teóricos, lo cuales se presentan en la tabla 1, parten de ecuaciones similares a la ley de enfriamiento de Newton. Un caso particular es el de Lewis [9] quien propuso un modelo de la siguiente forma
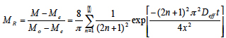
(1)En la ecuación (1) la denominada constante de secado (k) es independiente de M y Me. Se puede integrar esta ecuación para obtener la relación del contenido de humedad (MR) de la forma:
(2)De la tabla 1, cabe señalar que la complejidad de los diferentes modelos, está en función de la forma de relacionar los aspectos del producto, tales como: espesor, humedad relativa, así como temperatura y velocidad del medio secante, entre otros parámetros, con la pérdida de humedad. Además, para asegurar que el modelo elegido sea el que mejor describe el comportamiento del secado del producto, se requiere de métodos de análisis estadísticos de regresión y correlación, por lo que los modelos de regresión lineal y no lineal son herramientas importantes para encontrar las relaciones entre las diferentes variables.

Una de las ecuaciones más utilizadas en el análisis del secado de productos agrícolas es la de Page, ya que según [10], es el que mejor se ajusta a los valores experimentales.
Para obtener el coeficiente de la ecuación de Page, se parte de hacer uso de la ecuación de la segunda ley de Fick, cuya solución en el caso de una placa plana, considerando que la migración de la humedad es causada por la difusión, sin encogimiento, y bajo coeficientes de difusión y temperatura constantes, es la siguiente [11]:
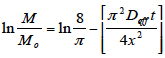
Ecuación (3)Normalmente, la ecuación (3) se puede simplificar considerando únicamente el primer término de la serie. De tal forma que se puede establecer:
(4)La ecuación (4), permite calcular la difusividad efectiva de un producto a través de graficar los datos experimentales del proceso de secado en términos del ln (MR) contra el tiempo de secado.
Los valores que se obtienen de una gráfica de este tipo, se ajustan a una línea recta cuya pendiente se puede igualar con la difusividad efectiva de la forma:
(5)De la ecuación anterior, se puede despejar el valor de la Difusividad efectiva y encontrarlo entonces en función de los datos experimentales.
Por otra parte, en el estudio del secado solar, no solamente es importante interpretar y analizar el comportamiento del producto, en cuanto a su pérdida de humedad, sino que también debe analizarse la eficiencia del proceso de secado lo cual se puede hacer a través de la ecuación (6)[12]:
(6)En esta ecuación Wr representa la masa de humedad removida, la cual está dada por:
(7)De donde se puede definir a la constante de secado como:
(8)Este es un parámetro que caracteriza la rapidez con la que se pierde la humedad por parte del producto.
MATERIALES Y METODOS
Procedimiento Experimental
El procedimiento experimental que se siguió para desarrollar este trabajo se indica a continuación:
En primer término se adquirió el producto a emplear durante las pruebas, buscando que tuviese el mismo grado de maduración; posteriormente se lavó y almacenó a una temperatura de 4 ºC hasta el momento de su uso.
Una hora antes de los experimentos de secado se permitió que el producto se estabilizara a la temperatura ambiente,; posteriormente se cortó en rebanadas de 5 mm de espesor y se seleccionaron las muestras que se someterían al proceso de secado.
Otras muestras se separaron para la determinación del peso seco en un horno de laboratorio, en donde el producto se secó a una temperatura de 90 ºC, verificando las variaciones de peso cada 20 minutos, hasta que pasadas 2 horas no se detectó variación alguna del mismo. Para la medición del peso de las muestras se utilizó una balanza con un margen de error de ±0.001 g.
En la figura 1, se observa el secador solar del tipo indirecto utilizado en este trabajo. La cámara de secado consta de tres charolas para la colocación del producto, además de dos ventiladores, uno de los ventiladores se emplea para extraer el aire saturado de humedad, y el otro para recircular una porción del aire caliente de la cámara.

En el secador solar se instalaron 8 termopares tipo K para medir las temperaturas tanto en diversos puntos del secador así como la del ambiente. De la misma forma se mantuvo un registro de la irradiación solar, humedad ambiente, y peso de las muestras.
El secador solar cuenta con un área de captación de 1.4 m2, y un volumen de la cámara de secado de 0.38 m3, lo cual permite colocar 3 charolas de 0.5m x 0.7m cada una para el deshidratado del producto. La capacidad de secado es de aproximadamente 2. 5 kg de producto en rebanadas. La potencia de los dos ventiladores es de 11 W cada uno.
Para las mediciones del comportamiento del proceso de secado, se instalaron termopares en la entrada y parte media del colector, entrada de la cámara de secado, a la altura de cada una de las charolas, así como a la intemperie.
Las muestras de espesores de entre 5 y 7 mm se colocaron en las diferentes charolas del secador. El contenido de humedad, se determinó usando la ecuación:
(9)RESULTADOS
Las pruebas de secado se desarrollaron usando entre 1 y 1.2 kg de producto a secar, aunque el equipo tiene una capacidad para secar 2.5 kg. Las pruebas se realizaron entre los meses de octubre a abril y los resultados más representativos se muestran a continuación.
En la figura 2, se ilustra el comportamiento de la radiación en algunos de los días de las pruebas, cabe mencionar que en el caso del nopal, las pruebas se realizaron en los meses de abril-junio, lo cual explica los valores mas altos de la irradiancia solar en la grafica, en tanto que el resto de las pruebas fueron realizados entre los meses de octubre- diciembre, en donde generalmente se presenta menor irradiación solar.

En la figura 3, se muestra el comportamiento en la variación del contenido de humedad de los productos estudiados a lo largo del tiempo de duración de las pruebas. En las pruebas se puede observar que fue el nopal, el producto que requirió de menor tiempo de secado y que el pepino y la zanahoria son los productos a lo que les llevo más tiempo para lograr su secado.

En la figura 4, se presenta la gráfica en donde se compara la variación de la relación de humedad, para los diferentes productos. Se puede observar que es el nopal el producto que alcanza más rápidamente su contenido final de humedad y que es la zanahoria la que más tarda más en hacerlo.

Una vez que se obtienen los valores de la relación de humedad, se procede a graficar el logaritmo natural de dicha relación como se observa en la figura 5, con respecto al tiempo, y después se traza una línea de regresión lineal en cada producto. Al obtener la pendiente de dicha línea, se utiliza la ecuación (5), para determinar la difusividad efectiva.

Por otra parte, hay que mencionar que casi todos los productos, se lograron secar en dos días, y que para uniformizar el secado en los mismos, se realizó una rotación de las charolas durante el tiempo de las pruebas.
En la tabla 2, se resumen los principales resultados obtenidos del secado de los productos que se han estudiado. Se utilizó el valor de R2, para establecer la desviación de los datos.
En cuanto al comportamiento de la temperatura en el interior de la cámara de secado, se pudo observar que en algunos momentos, se obtuvo una diferencia de hasta 7.8 grados centígrados entre la charola inferior y la charola superior, y que esta se presentó en el momento de mayor irradiación solar, tal y como se aprecia en la figura 6, en donde se ilustra el caso de las pruebas de secado del nopal y zanahoria.


El aire al ser calentado en el colector solar alcanzo temperaturas que oscilaron desde los 42 ºC hasta un máximo de 70 ºC (figura 7). Aun cuando se lograron mayores temperaturas del aire de secado en las pruebas realizadas con la papaya, el tiempo de secado fue relativamente más grande, por ser este un producto con mayor humedad y los trozos se cortaron más grandes. En cambio con el nopal, que es un producto que tiene menor contenido de humedad y el tamaño de los trozos es más pequeño, por lo que se logró secar completamente en menor tiempo.
Con el uso de las ecuaciones (6) a (8), se analizó el comportamiento de la eficiencia del secador y se obtuvieron los resultados mostrados en la figura 8.
La eficiencia máxima alcanzada por el secado fue de un 32 % y se logró obtener cuando se secaron 1.5 kg de papaya,; después la eficiencia del secado va disminuyendo en función de que se reduce la humedad que se retira del producto y de la radiación solar.


En la figura 9, se muestra la comparación entre los datos experimentales y los que se pueden reproducir con el uso del modelo de Page, usando el valor de k obtenido mediante una técnica de regresión lineal y que se ha señalado en la tabla 2.
En la figura 9, se puede observar que en general los valores que puede proporcionar el modelo de Page son muy cercanos a los valores experimentales, salvo en el caso del Pepino que es en donde se presenta la mayor diferencia entre los datos experimentales y los resultados de dicho modelo.

CONCLUSIONES
Se realizaron pruebas de secado de cinco productos: papaya, zanahoria, tallos de pitaya, pepino y nopal en un secador solar tipo indirecto, para analizar el proceso de secado solar en condiciones de un clima cálido húmedo como es el que se presenta en la ciudad de Chetumal Quintana Roo.
A partir de las pruebas realizadas, se ha encontrado que es el nopal producto que más rápido se seca con un tiempo de 480 minutos, en tanto que el producto que llevo más tiempo para alcanzar su contenido de humedad final fueron la zanahoria y el pepino. Con los resultados experimentales obtenidos, se determinaron los valores de los coeficientes de difusión efectiva de cada producto, así como el valor de la constante de secado de Page.
En la comparación realizada entre el modelo de Page y los resultados experimentales, se ha observado que estos se ajustan con bastante precisión y que es en el caso del pepino en donde se presenta la mayor diferencia entre los datos experimentales y los valores proporcionados por el modelo.
Con respecto al comportamiento del secador solar, se determinó que para las pruebas de secado de la papaya, se alcanzó su mayor eficiencia de operación con un valor del 33%.
En el estado de Quintana Roo, con un clima cálido húmedo la descomposición de los productos de origen agrícola es un problema importante el cual puede ser resuelto a través de la aplicación de técnicas de conservación como el secado solar, el cual se ha comprobado que es una alternativa viable.
Simbología
Mo Contenido de Humedad inicial (%)
MR Relación de Humedad (adimensional)
Me Contenido de humedad en equilibrio (%)
t Tiempo (s)
Wr Masa de humedad removida (kg/s)
m Masa del producto húmedo (kg)
ms Masa del producto seco (kg)
h Eficiencia del secador (%)
lt lrradiación solar en el plano del colector (W/m2)
Deff Difusividad Efectiva (m2/s)
Ac Área del colector solar (m2)
L Calor latente agua (kJ/kg)
x Espesor de la muestra (m)
Referencias
1. A.O. Dissa a, J. Bathiebo S. Kama, P.W. Savadogo, H. Desmorieux, J. Koulidiati. Modelling and experimental validation of thin layer indirect solar drying of mango slices. Renewable Energy 34 (2009) 1000-1008
2. T.V. Tunde-Akintunde. Mathematical modeling of sun and solar drying of chilli pepper. Renewable Energy 36 (2011) 2139-2145.
3. A.A. El-Sebaii, S.M. Shalaby. Solar drying of agricultural products: A review. Renewable and Sustainable Energy Reviews 16 (2012) 37-43
4. Aiswarya. M.S. Economical Analysis Of Solar Dryer With Pcm For Drying Agricultural Products. lnternational Journal of Science and Engineering Volume 3, Special Number lCRAESM - 2015 PP: 124-134.
5. E. Cortés R, l. Pilatowsky F., C. A. Ruiz M. Feasibility Analysis of Drying Process Habanero Chili Using a Hybrid-Solar- Fluidized Bed Dryer in Vucatán, México. Journal of Energy and Power Engineering 7 (2013) 1898-1908
6. G. Babagana, K. Silas and M. B. G. Design and Construction of Forced/Natural Convection Solar Vegetable Dryer with Heat Storage. ARPN Journal of Engineering and Applied Sciences. Vol. 7, No. 10, October 2012
7. A.R.S. Costa y S. R. Ferreira. Sistema de Secado Solar para Frutos Tropicales. lnformación Tecnológica, Vol 18 (5), 49-58, 2007.
8. P. Rajkurnar; S. Kulanthaisami; G. S. Raghavan; V. Gariépy; V. Orsat. Drying Kinetics of Tomato Slices in Vacuum Assisted Solar and Open Sun Drying Methods. Drying Technology. 25: 1349-1357.2007.
9. K. J. Park, Z. Vohnikova, F. P. Reis Brod. Evaluation of drying parameters and desorption isotherms of garden mint leaves (Mentha crispa L.). Journal of Food Engineering 51 (2002) 193-199.
10. R. Queiroz, A. L. Gabas, and V. R. N. Telis. Drying Kinetics of Tomato by Using Electric Resistance and Heat Pump Dryers. DRVlNG TECHNOLOGY Vol. 22, No. 7, pp. 1603-1620, 2004.
11. A. Kaya, O. Aydin. An experimental study on drying kinetics of some herbal leaves. Energy Conversion and Management 50 (2009) 118-124.
12. S.K. Amedorme, J. Apodi, K. Agbezudur. Design and construction of forced convection indirect solar Dryer for Drying Moringa Leaves. Scholars Journal of Engineering and Technology 2013, 1(3), 91-97
13. A. Koukouch, A. ldlimam, M. Asbik, B. Sarh, B. lzrar, A. Bah, O. Ansari. Thermophysical characterization and mathematical modeling of convective solar drying of raw olive pomace. Energy Conversion and Management 99 (2015) 221-230
14. A.A. Gatea. Design, construction and performance evaluation of solar maize dryer. Journal of Agricultural Biotechnology and Sustainable Development Vol. 2(3), pp. 039-046, March 2010.
Notas de autor
Autor de correspondencia: Tel. 983-503-24. Email: ovidio@uqroo.edu.mx