Reportes verduras
Ácido Acetilsalicílico y cubiertas comestibles para la conservación de frutos: Tomate como modelo
Acetylsalicylic acid and edible coatings for fruits conservation: tomatoes as a model
Ácido Acetilsalicílico y cubiertas comestibles para la conservación de frutos: Tomate como modelo
Revista Iberoamericana de Tecnología Postcosecha, vol. 19, núm. 1, 2018
Asociación Iberoamericana de Tecnología Postcosecha, S.C.
Recepción: 18 Abril 2018
Aprobación: 15 Junio 2018
Publicación: 30 Junio 2018
Resumen: Frutos de tomate (Lycopersicum esculentum) roma cv. Tisey fueron tratados con recubrimientos comestibles para evaluar el efecto sobre su conservación durante 18 días a 15 °C. Se formaron 4 lotes: frutos no tratados (Testigo), frutos con cera (Cera), frutos con 500 ppm de ácido acetilsalicílico (Ácido) y frutos conteniendo Cera-Ácido en una proporción 1:1. Los tratamientos se aplicaron en los estados de madurez verde-cambiante y cambiante, realizando mediciones cada 3 días de sólidos solubles totales (% SST), acidez titulable (%), pH, pérdida de masa acumulada (%), firmeza por compresión (N), color en la cáscara (L*, a*, h* y C*), tasa respiratoria (mL CO2/kg.h) y producción de etileno (µL C2H4/kg.h). La respuesta de las variables fue semejante en los dos estados de madurez, aunque en los de estado cambiante la respuesta fue ligeramente menor sobre todo en la pérdida de masa y en firmeza. Los tratamientos lograron reducir la deshidratación de un 2 a 4 %, mantuvieron la firmeza y el aspecto turgente de los tomates. Sin embargo, el efecto fisiológico propiciado por el ácido acetilsalicílico y su combinación con cera, resultó más efectivo en la conservación de este fruto. La aplicación de este tratamiento puede resultar una alternativa viable y económica en la conservación de la calidad de otros frutos.
Palabras clave: Postcosecha, películas, ceras, Lycopersicum esculentum.
Abstract: Tomato fruits (Lycopersicum esculentum) roma cv. Tisey were treated with edible coatings to evaluate the effect on their conservation for 18 days at 15 °C. Four batches were formed: untreated fruits (Control), fruits with wax (Cera), fruits with 500 ppm of acetylsalicylic acid (Ácido) and fruits containing Cera-Ácido in a 1:1 ratio. The treatments were applied in the stages of green-changing and changing maturity, making measurements every 3 days of total soluble solids (% TSS), titratable acidity (%), pH, loss of accumulated mass (%), firmness by compression (N), color in tomato peel (L*, a*, h* and C*), respiratory rate (mL CO2/kg.h) and ethylene production (μL C2H4/kg.h). The response of the variables was similar in the two stages of maturity; although, in those of changing stage the response was slightly lower, especially in the loss of mass and firmness. The treatments decreased the dehydration of the fruits of 2 to 4 % and maintained the firmness and the turgid aspect of the tomatoes. However, the physiological effect propitiated by acetylsalicylic acid and its combination with wax, was more effective in the conservation of this fruit. The application of this treatment could be a viable and economical alternative for the conservation of the quality of other fruits.
Keywords: Postharvest, films, waxes, Lycopersicum esculentum.
INTRODUCCIÓN
De acuerdo a las exigencias actuales de los mercados internacionales de frutas y verduras, su comercialización es cada vez más estricta para el cumplimiento de normas de calidad e inocuidad que las rigen (Singh et al., 2014). Los factores de calidad importantes de los productos frescos que contribuyen a su comercialización son la textura, el color, la apariencia, el sabor, el valor nutricional y la seguridad microbiana (Raghav et al., 2016). Estos se miden de acuerdo a la variedad, etapa de maduración y etapa de madurez antes y después de la cosecha (Lin y Zhao, 2007). Por lo anterior, el uso de coadyuvantes para su conservación postcosecha se restringe a un menor uso de químicos y al auge del manejo de productos orgánicos o generalmente reconocidos como seguros (FDA, 2012). Hoy en día los recubrimientos comestibles son considerados una tecnología prometedora y respetuosa con el medio ambiente ya que reduce la utilización del envasado tradicional como las películas plásticas, además son biopolímeros naturales y biodegradables (Dhall 2013; De Ancos et al. 2015). El encerado de algunas frutas o verduras es una práctica común después de la cosecha (Guilbert y Gontard 1995; Guilbert et al. 1996). Las ceras de grado alimenticio se utilizan para reemplazar algunas de las ceras naturales que se eliminan durante las operaciones de cosecha y clasificación (El-Ramady et al. 2015). Estas pueden ayudar a reducir la pérdida de agua durante el manejo y la comercialización, mejorando la apariencia cosmética y prolongando la vida de almacenamiento de frutas y verduras (Lin y Zhao 2007; Benichou et al. 2018, Li et al. 2018). Las características fisico-químicas de las ceras comestibles están influenciadas por el tipo y concentración de los aditivos (plastificantes, antimicrobianos, antioxidantes y emulgentes), entre otros (Quintero et al. 2010). Por lo tanto, sus propiedades de cubrimiento de los frutos y su preservación, dependerán básicamente de la permeabilidad al vapor de agua y a los gases, básicamente (Avena-Bustillos et al. 1997). Una ventaja importante del uso de películas y recubrimientos comestibles es que varios ingredientes activos se pueden incorporar en la matriz del polímero y consumirse con los alimentos, mejorando así la seguridad o incluso los atributos nutricionales y sensoriales del fruto tratado (Dhall, 2013).
En este sentido, el ácido acetilsalicílico (AAS) se puede incorporar a estas ceras o aplicarlo en la fruta después de disolverlo en solución etanol-agua. AAS es un análogo cercano del ácido salicílico (AS) y cuando se aplica exógenamente se convierte en AS espontáneamente, teniendo efectos similares a AS en las plantas (Beckers y Spoel 2006; Hayat y Ahmad 2007; Asghari y Aghdam 2010). El AS es un regulador de crecimiento endógeno con naturaleza fenólica, que participa en la regulación de varios procesos fisiológicos en plantas, como el cierre de estomas, la absorción de iones, la inhibición de la biosíntesis de etileno y la transpiración (Khan et al. 2003; Shakirova et al. 2003). La aplicación exógena de AS en concentraciones no tóxicas puede regular el estrés biótico y abiótico, jugando un papel importante en la protección de las plantas mediante la regulación del sistema antioxidante (Eraslan et al. 2007; He y Zhu 2008; Elwan y El-Hamahmy 2009; Hayat et al. 2009). Estudios previos han demostrado que AAS disminuye el daño por frío en frutos al inhibir la acumulación del radical libre superóxido y la reducción de las actividades enzimáticas relacionadas (Cai et al. 2006; Babalar et al. 2007; Sayyari et al. 2011; Ahmad et al. 2013; Giménez et al. 2016; Nasr et al. 2016). Estos efectos de AAS podrían estar mediados por la conversión rápida a AS después del tratamiento, ya que AS aumentó en los nísperos tratados y no se detectó AAS endógeno en la fruta tratada (Cai et al. 2006). En algunas frutas, la concentración endógena de AAS está por debajo de 0.2 mg kg-1 (Scotter et al. 2007). Con base en los resultados expuestos anteriormente, en el presente estudio se aplicaron recubrimientos comestibles con y sin AAS (Cera-Ácido y Cera, respectivamente), además de una solución de AAS (Ácido) con el objetivo de mantener la calidad y retrasar la maduración de frutos de tomate en distintas etapas de madurez (verde-cambiante y cambiante).
MATERIALES Y MÉTODOS
Materia prima
Se utilizó tomate tipo roma cv. Tisey, cosechado en los estados de madurez verde-cambiante y cambiante en la empresa agrícola Agropecuaria Malichita S.A de C.V., ubicada en el Valle de Guaymas, Sonora. En el laboratorio, los frutos se seleccionaron con un tamaño homogéneo y libre de daños visibles. Posteriormente fueron lavados con agua clorada (200 ppm) y secados a temperatura ambiente.
Tratamientos aplicados
Se elaboraron tres formulaciones. La primera a base de ácidos grasos (2 %), aceite mineral (2 %), carbohidratos (1 %), polipropilenglicol (0.5 %), emulsificante (0.01 %) y sorbato de potasio (0.01 %) como antimicrobiano (Cera). Se usaron ingredientes grado alimenticio, listados en el capítulo 21 CFR (Code of Federal Regulations) de FDA (Federal Drug Administration, USA). La segunda formulación se elaboró con los ingredientes anteriores y, además, 500 ppm de AAS (Cera-Ácido, 1:1). La tercera solución fue de AAS (Ácido) a 500 ppm. Se formó un cuarto grupo de frutos tanto en estado de madurez verde-cambiante como cambiante que no recibió tratamiento (Testigo). La aplicación de las formulaciones se realizó en ambos estados de madurez mediante frotación, dejándolos secar a temperatura ambiente. Los frutos fueron almacenados a 15 °C durante 18 días y muestreados cada 3 días.
Análisis realizados
Las variables físico-químicas como acidez titulable y pH fueron determinadas por triplicado en un titulador automático Mettler Toledo (DL21, USA) utilizando NaOH 0.1 N (Sigma, USA). Para los Sólidos Solubles Totales (% SST) fue utilizado un refractómetro digital Palette Atago (PR-101, Japón) expresando los resultados en porcentaje (AOAC, 1990). La pérdida de masa acumulada (% pérdida de peso fresco) se determinó en una balanza digital OHAUS (2100 g ± 0.01) (Voyager, Suiza), calculada como:

La firmeza fue determinada en 6 réplicas por tratamiento en un texturómetro TA-XT2 (Stable Micro Systems, Inglaterra). Se empleó un aditamento cilíndrico de 25 mm de diámetro, con una fuerza de 0.9807 N y una velocidad de 1.7 mm/s. Se obtuvo el valor de resistencia (N) a la compresión en la distancia de 2 mm. Mientras que el color del epicarpio del fruto se obtuvo con un colorímetro Minolta (CR-300, USA). En 12 réplicas fueron registrados los valores L*, a* y b* para calcular Croma (C*) y el ángulo hue (h*). Por último, se obtuvo la producción de dióxido de carbono como tasa respiratoria (CO2 mL/kg.h) y el etileno producido (C2H4 µL/kg.h) mediante el sistema cerrado descrito por Watada y Massie (1981). El fruto se incubó durante 30 min en un recipiente plástico de 1.63 L. Posteriormente, se obtuvo 1 mL de gas del espacio de cabeza y se inyectó en un cromatógrafo de gases Varian (Star 3400, USA) con detector de ionización de flama (FID) y conductividad térmica (TCD). La separación se realizó en una columna metálica empacada con Hayesep N 80/100 (Supelco, USA). La medición se realizó por triplicado.
Análisis de los datos
El diseño fue completamente al azar. Se bloqueó el tiempo y para cada variable analizada, después de probar la normalidad de los datos, se realizó ANOVA de una sola vía para comparación de medias mediante Tukey-kramer. En los casos donde no se encontró normalidad de los datos se realizó la comparación de las medianas mediante Kruskal-Wallis. El nivel de confianza fue del 95 % utilizando el paquete estadístico NCSS 2011.
RESULTADOS Y DISCUSIÓN
Pruebas físico-químicas
Las determinaciones de calidad en tomate tipo roma cv. Tisey, como lo son los sólidos solubles totales (SST), porcentaje de acidez y pH, presentaron ligeras variaciones que oscilaron entre 0.25 y 0.75 puntos durante el transcurso de su almacenamiento a 15 °C (Figura 1). Estos cambios ligeros en los componentes de calidad citados anteriormente, son comunes en el almacenamiento refrigerado de los tomates a dicha temperatura (Ruiz et al., 2012). Lo anterior supone una baja influencia de los tratamientos sobre estas variables, a pesar de haber encontrado diferencias significativas en algunos días respecto a los frutos Testigo. Asimismo, el estado de madurez verde-cambiante o el cambiante, aparentemente no modificaron el comportamiento en la semejanza de los tratamientos con respecto al Testigo. Aunque se apreciaron valores ligeramente menores de SST en el estado de madurez cambiante (Figura 1B) sobre todo en los tratados con Ácido y la combinación Cera-Ácido a partir del día 3. Casierra y Aguilar (2008), encontraron que el hecho de cosechar los frutos de tomate en grados tempranos de maduración afecta el contenido de sólidos solubles cuando los frutos alcanzan el grado de madurez de consumo. En este sentido, los valores de SST bajaron durante el almacenamiento de 4.25 a 3.83 % en verde-cambiante, mientras que en los cambiantes fueron de 3.8 a 3.7 %. Srivastava y Dwivedi (2000), también observaron esta disminución de azúcar en plátano por el efecto de la aplicación de AS. La ausencia de conversión de los almidones presentes en azúcares, se traduce en contenidos constantes o menores debidos a la reducción de la actividad respiratoria durante la refrigeración (Chitarra y Chitarra, 2005). El tratamiento con Cera presentó los valores más cercanos al Testigo en el estado de madurez cambiante (Figura 1B). Bajo esta condición, se apreciaron diferencias (p≤0.05) con menores valores de SST respecto al Testigo en los días 6 al 12 en los frutos con Ácido y al final en los aplicados con Cera-Ácido. Estas diferencias de los tratamientos anteriores con respecto al Testigo se apreciaron tanto para el porcentaje de acidez como el pH (Figura 1C a la F). Además, en el estado de madurez cambiante fue donde se observó una menor fluctuación de esta tendencia. Los frutos tratados con Ácido y la combinación Cera-Ácido presentaron porcentajes de acidez por arriba de los valores del Testigo, al menos durante los días del 9 al 12. Respecto al pH, estos tratamientos presentaron valores más bajos que el Testigo sólo en los días 3, 9 y 18. Estos resultados coinciden con la aseveración publicada por Casierra-Posada et al. (2007), en el sentido de que entre más inmaduro se coseche el tomate, los cambios en SST serán menores. Sin embargo, como se observó en los tomates con un estado de madurez cambiante, los tratamientos pudieron influir en la disminución de estos cambios.

Letras distintas en el mismo día presentan diferencias significativas (n=3).
La reducción en la pérdida de agua es uno de los beneficios más evidentes al utilizar coberturas comestibles en los frutos. Este efecto fue más notorio en los frutos con un estado de madurez verde-cambiante con tratamiento; aunque en los frutos cambiantes también se presentó una disminución significativa (Figura 2A y 2B). Un aspecto a considerar es que, al comparar contra el Testigo, la aplicación con Ácido redujo la pérdida de masa en un 2 % al día 6 y de cerca del 4 % el resto del almacenamiento a 15 °C. Incluso, fue ligeramente mayor esta reducción que las logradas por las barreras de carácter lipídico del tratamiento con Cera y la combinación Cera-Ácido. Este comportamiento del Ácido, más que como barrera para evitar la deshidratación, puede estar más bien relacionado con aspectos que involucra respuestas de defensa de plantas y en la inducción de resistencia sistémica adquirida (Wen et al., 2005). La aplicación exógena de AS podría inducir la expresión de muchos genes de defensa en el tomate (Ding et al., 2002). En la figura 2B, sólo se presentaron diferencias entre el Testigo y Ácido en los días del 6 al 12; sin embargo, al día 18 una reducción del 3 % podría hacer la diferencia entre la aceptación y el rechazo comercial. Con todo, la calidad de la mayoría de las frutas y verduras disminuye muy rápido con solo pequeñas pérdidas de humedad, y en general, una pérdida de 3.0 % a 10.0 % puede hacer que una amplia gama de cultivos hortícolas sean inaceptables (Robinson et al., 1975). En tomate, la pérdida de peso es acumulativa a lo largo de la postcosecha, y puede llegar a ser del 7% en el sistema tradicional, medido desde la etapa de cosecha hasta la venta al por menor (Ferreira et al., 2003). De acuerdo con lo publicado por Pinzón-Bedolla et al. (2013), los tomates cv. Milano, cultivados a campo abierto presentaron una mayor pérdida de peso almacenados a granel (41.84 %); por lo tanto, se puede deducir que los tratamientos y las condiciones de almacenamiento utilizados en este trabajo, fueron eficaces en controlar este parámetro para el cv. Tisey. También se apreció que, en algunas de las variables de calidad evaluadas, la combinación Cera-Ácido actuó de manera sinérgica al comportarse incluso mejor que el tratamiento solo con Cera. La semejanza en la respuesta de las variables evaluadas permite suponer que los estados de madurez verde-cambiante y cambiante seleccionados se encontraban fisiológicamente próximos. Aun así, en el estado de madurez cambiante fue notoria la reducción de la firmeza cercana a 10 N respecto a verde-cambiante al inicio del almacenamiento (Figuras 3A y 3B). En general, se apreció que en los dos estados de madurez se redujo la firmeza entre un 10 y 12 % después de 3 días, aunque los frutos tratados se vieron menos afectados que el Testigo. Después de 9 días a 15 °C, los frutos en estado de madurez verde-cambiante perdieron cerca del 50 % de la firmeza (línea roja punteada), justo cuando el Testigo redujo cerca del 4 % de su masa. Por el contrario, la firmeza fue mantenida por los frutos tratados (≈22 N) hasta el final del almacenamiento, mientras que en el Testigo disminuyó a 14 N (Fig. 3A). A su vez, en los frutos en estado de madurez cambiante, durante el día 9 se perdió cerca del 60 % de la firmeza inicial. De igual forma los frutos con Ácido y la combinación Cera-Ácido, evitaron una mayor pérdida de la firmeza con respecto al Testigo. Lo anterior concuerda con lo publicado por Wang et al. (2006) en el sentido de que la aplicación exógena de AS en durazno, incrementó su firmeza de pulpa.

Letras distintas en el mismo día presentan diferencias significativas (n=3).

Letras distintas en el mismo día presentan diferencias significativas (n=6).
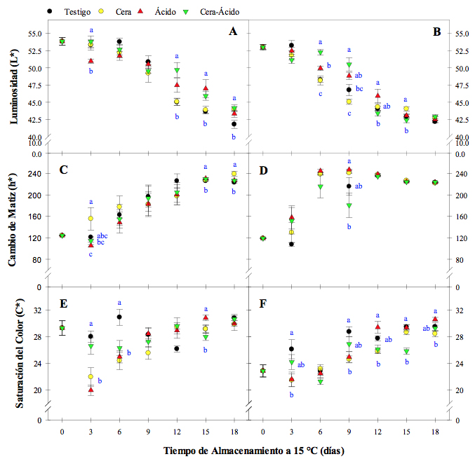
Parámetros de color
Los cambios en la pérdida de masa y la firmeza se relacionaron con la luminosidad (L*), más que con las otras variables de color (Figura 4), coincidiendo en el día 9 con el aumento o disminución de las tendencias. Diferencias (p≤0.05) de L* en el epicarpio se observaron después de 12 días. En general, para los dos estados de madurez, los frutos con Ácido y su combinación con Cera presentaron valores mayores que los del Testigo. Aunque en el estado de madurez cambiante, después de 18 días, fue semejante. De esta forma, la luminosidad tendió a disminuir durante el almacenamiento desde valores cercanos a 53 hasta 42.5, a partir del día 6 (Figuras 4A y 4B). Lo anterior, coincidió con los cambios en el matiz, ya que después de ese día los valores se mantuvieron en un tono semejante a pesar de presentarse algunas diferencias (Figuras 4C y 4D). En el parámetro de saturación del color (C*) no hubo un comportamiento definido para el estado de madurez verde-cambiante, mientras que en los cambiantes, los valores mayores estuvieron en los frutos Testigo y los tratados con Ácido. La respuesta en C* tiende a incrementar a medida que transcurre el tiempo, lo que podría estar relacionado con la senescencia. Aunque esto no concuerda con lo manifestado en la pérdida de peso ni en L* para los frutos tratados con Ácido (Figuras 4E y 4F). Los cambios de tono de verde a rojo (a*) se percibieron después del día 3 y se mantuvieron en ascenso hasta alcanzar valores cercanos a 20, correspondiendo a un tono rojo-naranja en la esfera de color (Figura 5). Ding y Wang (2003), también observaron este aumento de color rojo en tomate. No distinguimos algún tratamiento distinto con respecto al Testigo, aun observando algunos días con diferencias (p≤0.05).
La comparación visual de los cambios manifestados en los frutos después de 12 días los presentamos en la figura 6. Fue evidente la diferencia en el tono de color entre los frutos Testigo y los que recibieron algún tratamiento. Por otra parte, en los frutos Testigo se manifestó decoloración y manchado en ciertas zonas cercanas al pedúnculo, que podrían estar relacionadas con un daño previo por virus. Muchos de estos virus se diseminan cuando las plantas están estresadas por el calor, la sequía o el suelo pobre (Hanssen et al., 2010). Por el contrario, en los frutos tratados fue escasa o nula la aparición de estos síntomas. Resultó interesante la observación del aspecto del pedúnculo y los sépalos de los frutos en los distintos tratamientos. Este resultado puede coincidir con los hallazgos reportados por Falcioni et al. (2014), donde confirman que el AS promueve cambios importantes en la inducción de resistencia en plantas de tomate. Además, sugieren que el tratamiento exógeno con este ácido podría considerarse que reduce las infecciones causadas por el Virus de la Papa X.


Letras distintas en el mismo día presentan diferencias significativas (n=12).

En los recuadros inferiores de la figura 6, se muestra claramente la evidencia de la deshidratación, en mayor medida en los frutos Testigo, seguidos de los recubiertos con Cera, su combinación con Ácido y en menor grado en los tratados con Ácido. Es probable que la forma ácido salicílico haya actuado sobre la parte vegetativa a nivel estomático, como se ha mencionado en otros trabajos (Khan et al., 2003), evitando la pérdida de agua.
Tasa respiratoria
El comportamiento tanto de la tasa respiratoria (CO2) como de la producción de etileno (C2H4), presentaron una tendencia semejante en los dos estados de madurez, es decir, de disminución hasta el día 12, en un aparente pico climatérico, para descender de nuevo (Figura 7). Fue notoria la diferencia (p≤0.05) entre los frutos con tratamiento y el Testigo, especialmente en el estado de madurez verde-cambiante. Esto es, la aplicación de Cera, Ácido y su combinación disminuyeron la tasa respiratoria de los frutos con madurez verde-cambiante. Srivastava y Dwivedi (2000), encontraron en plátano que el AS es el responsable de esta disminución de la tasa respiratoria. La aparición de la máxima producción de CO2 al día 12, que quizás corresponde con el pico climatérico, fue evidencia suficiente para explicar lo observado en la pérdida de masa, firmeza y luminosidad desde el día 9. Esto también explicó la estabilidad del matiz y los valores bajos de firmeza entre el día 15 y 18 como un indicio del estado senescente. De igual forma, entre los días 12 y 15 se observó un aumento cercano a 5 veces la producción de etileno de los días anteriores (Figuras 7C y 7D). Los valores entre 20 µL/kg.h disminuyeron al día 18 a los iniciales cercanos a 2 µL de etileno /kg.h. Lo que no coincide con lo publicado por varios autores que han demostrado que AS inhibe la producción de etileno en células de pera y discos de tejido de manzana, cultivos de células de zanahoria y en fresas (Leslie y Romani, 1986, 1988; Romani et al., 1989; Roustan et al., 1990; Babalar et al., 2007). Mientras que en tomate, se ha demostrado que AS inhibe la ACC sintasa provocada por daños (Li et al., 1992), responsable del aumento en la producción de etileno después de un estrés. Otro aspecto por resaltar fue que los tratamientos con Ácido y su combinación con Cera presentaron niveles de etileno mayores (no significativos) que los frutos testigo. Al menos en el estado de madurez cambiantes durante el día 12 se apreció significancia. De esta forma, podría considerarse que el Ácido fue el que estimuló esta respuesta fisiológica en el fruto, y en consecuencia benefició el comportamiento de algunas de las variables evaluadas.

Letras distintas en el mismo día presentan diferencias significativas (n=3).
Conclusiones
Los tratamientos aplicados lograron reducir la deshidratación, mantuvieron la firmeza y el aspecto turgente de los sépalos y pedúnculo de los tomates. Sin embargo, el efecto fisiológico propiciado por el ácido acetilsalicílico, resultó más efectivo en la conservación de algunos parámetros de calidad de tomate tipo roma cv. Tisey. En referencia al uso de tomate como modelo, es preciso recabar mayor evidencia a nivel fisiológico para explicar y poder ratificar los beneficios encontrados. Por otra parte, recomendamos contrastar los resultados de este experimento en otros frutos con la finalidad de establecer las mejores condiciones para su conservación.
REFERENCIAS BIBLIOGRÁFICAS
Ahmad S., Singh Z. y Iqbal Z. 2013. Effect of preharvest sprays of salicylic acid on the shelf life and quality of 'Lane Late' sweet orange (Citrus sinensis L.) cold storage. Acta Hortic, 1012: 103-112.
AOAC.1990. Fruits and fruit products. Official Methods of Analysis of AOAC. AOAC (ed.) Washington, USA. Pp. 829-830.
Asghari M. y Aghdam M.S. 2010. Impact of salicyclic acid on post-harvest physiology of horticultural crops. Trends in Food Science and Technology, 21: 501-509.
Avena-Bustillos R.J., Krochta J.M. y Saltveit M.E. 1997. Water Vapor Resistance of Red Delicious Apples and Celery Sticks Coated with Edible Caseinate‐Acetylated Monoglyceride Films. Journal of Food Science, 62(2): 351-354.
Babalar M., Asghari M., Talaei A. y Khosroshahi A. 2007. Effect of pre and postharvest salicylic acid treatment on ethylene production, fungal decay and overall quality of Selva strawberry fruit. Food Chemistry, 105, 449−453.
Beckers G.J.M. y Spoel S.H. 2006. Fine-tuning plant defence signalling: salicylate versus jasmonate. Plant Biol., 8: 1-10.
Benichou M., Ayour J., Sagar M., Alahyane A., Elateri I. y Aitoubahou A. 2018. Postharvest technologies for shelf life enhancement of temperate fruits. In: Mir S.A., Shah M.A. y Mir M.M. (eds.), Postharvest Biology and Technology of Temperate Fruits. Springer International Publishing AG part of Springer Nature, Gewerbestrasse 11, 6330 Cham, Switzerland, 77-100.
Cai C., Li X. y Chen K. 2006. Acetylsalicylic acid alleviates chilling injury of postharvest loquat (Eriobotrya japonica L.) fruit. Eur. Food Res. Technol., 223: 533-539.
Chitarra M.I. y Chitarra A.B. 2005. Pós-colheita de frutos e hortaliças: fisiologia e manuseio. 2ª edição. ESAL/FAEPE, Lavras, Brasil, Pp. 783.
Casierra-Posada F. y Aguilar-Avendaño O.E. 2008. Calidad en frutos de tomate (Solanum lycopersicum L.) cosechados en diferentes estados de madurez. Agronomía Colombiana, 26(2): 300-307.
Casierra-Posada F., Cardozo M.C. y Cárdenas-Fernández J.F. 2007. Análisis del crecimiento en frutos de tomate (Lycopersicon esculentum Mill.) cultivados bajo invernadero. Agronomía Colombiana, 25(2): 299-305.
De Ancos B., González-Peña D., Colina-Coca C. y Sánchez-Moreno C. 2015. Uso de películas/recubrimientos comestibles en los productos de IV y V gama. Revista Iberoamericana de Tecnología Postcosecha, 16(1): 8-17.
Dhall R.K. 2013. Advances in Edible Coatings for Fresh Fruits and Vegetables: A Review. Critical Reviews in Food Science and Nutrition, 53(5): 435-450.
Ding C.K. y Wang C.Y. 2003. The dual effects of methyl salicylate on ripening and expression of ethylene biosynthetic genes in tomato fruit. Plant Science, 164: 589-596.
Ding C.K., Wang C.Y. y Gross K.C. 2002. Jasmonate and salicylate induce the expression of pathogenesis-related-protein genes and increase resistance to chilling injury in tomato fruit. Planta, 214: 895-901.
El-Ramady H.R., Domokos-Szabolcsy E., Abdalla N.A., Taha H.S. y Fári M. 2015. Postharvest Management of Fruits and Vegetables Storage. In: E. Lichtfouse (ed.), Sustainable Agriculture Reviews, Springer International Publishing Switzerland. Sustainable Agriculture Reviews 15, Pp. 59.
Elwan M.W.M. y El-Hamahmy M.A.M. 2009. Improved productivity and quality associated with salicylic acid application in greenhouse. Scientia Horticulturae, 122: 521-526.
Eraslan F., Inal A., Gunes A. y Alpaslan M. 2007. Impact of exogenous salicylic acid on the growth, antioxidant activity and physiology of carrot plants subjected to combined salinity and boron toxicity. Scientia Horticulturae, 113: 120-128.
Falcioni T., Ferrio J.P., del Cueto A.I., Giné J., Achón M.A. y Medina V. 2014. Effect of salicylic acid treatment on tomato plant physiology and tolerance to potato virus X infection. Eur. J. Plant Pathol., 138: 331-345.
Ferreira M.D., Franco T.O.A., Ferraz A.C.O., Cortez L.A.B., Camargo G.G.T. y Shu A.T. 2003. Qualidade do tomate de mesa cv. ‘Débora’ em diferentes etapas na pós-colheita em sistema tradicional utilizando-se caixa K. In: Congresso Brasileiro de Olericultura 43. Recife, Brasil. Anais. Recife: Sociedade de Olericultura do Brasil.
Food and Drug Administration (FDA). 2012. CFR Title 21: Foods and Drugs, CFR Part 172: Food additives permitted for direct addition to food for human consumption, CFR Subpart C: Coatings, films and related substances. Silver Spring, MD. http://www.accessdata.fda.gov/scripts/cdrh/cfdocs/cfCFR/CFRSearch.cfm.
Giménez M.J., Serrano M., Valverde J.M., Martínez‐Romero D., Castillo S., Valero D. y Guillén F. 2016. Preharvest salicylic acid and acetylsalicylic acid treatments preserve quality and enhance antioxidant systems during postharvest storage of sweet cherry cultivars. Journal of the Science of Food and Agriculture, 97(4): 1220-1228.
Guilbert S. y Gontard N. 1995. Edible and biodegradable food packaging. In: Ackermann P., Jagerstad M. y Ohlsson T. (eds.), Foods and Packaging Materials-Chemical Interactions. Cambridge, England: The Royal Society of Chemistry, 159-168.
Guilbert S., Gontard N. y Gorris L.G.M. 1996. Prolongation of the shelf-life of perishable food products using biodegradable films and coatings. LWT-Food Sci. Technol., 29: 10-17.
Hanssen I.M., Lapidot M. y Thomma P.H.J. 2010. Emerging viral diseases of tomato crops. Mol. Plant Microbe Interact., 23: 539-548.
Hayat Q., Hayat S., Irfan M. y Ahmad A. 2009. Effect of exogenous salicylic acid under changing environment: a review. Environmental and Experimental Botany, 68(1): 14-25.
Hayat S. y Ahmad A. 2007. Salicylic Acid: A Plant Hormone. Springer Netherlands, Pp. 1-14.
He Y. y Zhu Z.J. 2008. Exogenous salicylic acid alleviates NaCl toxicity and increases antioxidative enzyme activity in Lycopersicon esculentum. Biologia Plantarum, 52: 792-795.
Khan W., Prithiviraj B. y Smith D.L. 2003. Photosynthetic response of corn and soybean to foliar application of salicylates. J. Plant Physiol., 160: 485.
Leslie C.A. y Romani R.J. 1986. Salicylic acid: a new inhibitor of ethylene biosynthesis. Plant Cell Rep., 5: 144-146.
Leslie C.A. y Romani R.J. 1988. Inhibition of ethylene biosynthesis by salicylic acid. Plant Physiol., 88: 833-837.
Li N., Parsons B.L., Liu D. y Mattoo A.K. 1992. Accumulation of wound-inducible ACC synthase transcript in tomato fruit is inhibited by salicylic acid and polyamines. Plant Mol. Biol., 18: 477-487.
Li X., Zhu X., Wang H., Lin X., Lin H. y Chen W. 2018. Postharvest application of wax controls pineapple fruit ripening and improves fruit quality. Postharvest Biology and Technology, 136: 99-110.
Lin D. y Zhao Y. 2007. Innovation the development and application of edible coating for fresh and minimally processed fruits and vegetables. Comprehensive Rev. Food Sc. & Food Safety, 6: 60-75.
Nasr I.S., Korkar H.M. y Hamid A.A. 2016. Effect of salicylic acid and polyethylene glycol application on physiological and chemical changes of ‘Valencia’ oranges during cold storage. Journal of Horticultural Science & Ornamental Plants, 8(2): 55-65.
Pinzón-Bedoya M.L., Cardozo G.C. y Portilla M.M. 2013. Evaluación de las propiedades fisicoquímicas en el proceso de maduración del tomate cv. Milano producido a campo abierto y bajo invernadero. @LIMENTECH Ciencia y Tecnología Alimentaria, 11(1): 22-30.
Quintero C.J., Falguera V. y Muñoz H.A. 2010. Películas y recubrimientos comestibles: importancia y tendencias recientes en la cadena hortofrutícola. Tumbaga, 1(5): 93-118.
Raghav P.K., Agarwal N. y Saini M. 2016. Edible coating of fruits and vegetables: A review. International Journal of Scientific Research and Modern Education (IJSRME), 1(1): 188-204.
Robinson J.E., Browne K.M. y Burton W.G. 1975. Storage characteristics of some vegetables and soft fruits. Ann. Appl. Biol., 81: 399-408.
Romani R.J., Hess B.M. y Leslie C.A. 1989. Salicylic acid inhibition of ethylene production by apple discs and other plant tissues. J. Plant Growth Regul., 8: 63-69.
Roustan J.P., Latche A. y Fallot J. 1990. Inhibition of ethylene production and stimulation of carrot somatic embryogenesis by salicylic acid. Biol. Plant. 32: 273-276.
Ruiz M.J., Vicente A.A., Montañéz S.J.C., Rodríguez H.R. y Aguilar G.C.N. 2012. Un tesoro perecedero en México: el tomate, tecnologías para prolongar su vida de anaquel. Investigación y Ciencia, 54: 57-63.
Sayyari M., Castillo S., Valero D., Díaz-Mula H.M. y Serrano M. 2011. Acetyl salicylic acid alleviates chilling injury and maintains nutritive and bioactive compounds and antioxidant activity during postharvest storage of pomegranates. Postharvest Biology and Technology, 60: 136-142.
Scotter M.J., Roberts D.P.T., Wilson L.A., Howard F.A.C., Davis J. y Mansell N. 2007. Free salicylic acid and acetyl salicylic acid content of foods using gas chromatography-mass spectrometry. Food Chem., 105: 273-279.
Shakirova F.M., Sakabutdinova A.R., Berzukova M.V., Fathutdinova R.A. y Fatkhutdinova D.R. 2003. Changes in the hormonal status of wheat seedlings induced by salicylic acid and salinity. Plant Science, 164: 317.
Singh V., Hedayetullah M., Zaman P. y Meher J. 2014. Postharvest technology of fruits and vegetables: An overview. Journal of Postharvest Technology, 2(02): 124-135.
Srivastava M.K. y Dwivedi U.N. 2000. Delayed ripening of banana fruit by salicylic acid. Plant Sci., 158: 87-96.
Wang L., Chen S., Kong W., Li S., y Archbold D.D. 2006. Salicylic acid pretreatment alleviates chilling injury and affects the antioxidant system and heat shock proteins of peaches during cold storage. Postharvest Biology and Technology, 41: 244-251.
Watada A. y Massie D. 1981. A Compact automatic system for measuring CO2 and C2H4 evolution by harvest horticultural crops. HortScience, 16: 39-41.
Wen P.F., Chen J.Y., Kong W.F., Pan Q.H., Wan S.B. y Huang W.D. 2005. Salicylic acid induced the expression of phenylalanine ammonia-lyase gene in grape berry. Plant Science, 169: 928-934.
Notas de autor
* Autor de correspondencia: Reginaldo Báez-Sañudo. E-mail: rbaez@ciad.mx