Reportes Frutas
Evaluación del uso de radiación gamma como tratamiento poscosecha en naranjilla (Solanum quitoense)
Evaluation of the use of gamma radiation as post-harvest treatment in naranjilla (Solanum quitoense)
Evaluación del uso de radiación gamma como tratamiento poscosecha en naranjilla (Solanum quitoense)
Revista Iberoamericana de Tecnología Postcosecha, vol. 20, núm. 1, 2019
Asociación Iberoamericana de Tecnología Postcosecha, S.C.
Recepción: 14 Mayo 2019
Aprobación: 31 Mayo 2019
Publicación: 30 Junio 2019
Resumen:
Se evaluó el uso de radiación gamma sobre las características físicas, fisiológicas y microflora nativa de naranjilla (Solanum quitoense). Frutos recién cosechados fueron divididos en grupos: control (sin tratamiento) y tratados con dosis de 250 y 500 Gy, posteriormente se almacenaron 21 días a 4ºC. Para seleccionar la dosis efectiva de radiación gama se evaluó la firmeza, tasa respiratoria, producción de etileno y recuento microbiológico de bacterias psicrófilas, mohos y levaduras de los frutos de naranjilla a los 0, 7, 14 y 21 días de almacenamiento. No se encontró diferencia significativa en pérdida de peso y variación de color entre muestras control y tratadas con 250 y 500 Gy. Por otra parte, las muestras control y tratadas con 250 Gy perdieron calidad fisicoquímica y microbiológica a los 14 días, mientras que los frutos tratados con 500 Gy a los 21 días. Resultando esta última dosis de 500 Gy, efectiva como tratamiento poscosecha en naranjilla, promoviendo mejores características de calidad respecto a los frutos control, con una menor pérdida de peso y retraso del deterioro (fisicoquímico y microbiológico). Este efecto puede relacionarse a una menor tasa de respiración y menor producción de etileno provocada por el tratamiento. Asimismo, no se observó cambios en el color superficial y firmeza del fruto. El tratamiento también disminuyó significativamente el crecimiento de psicrófilos, mohos y levaduras, por lo que el deterioro de origen microbiano se vio reducido. En consecuencia, la vida útil de la naranjilla tratada con 500 Gy incrementó en 7 días en relación a los frutos control sin tratamiento.
Palabras clave: radiación gamma, deterioro, naranjilla, calidad, poscosecha.
Abstract: The aim was to the use of gamma radiation like postharvest treatment on the physical, physiological characteristics and native microflora of naranjilla (Solanum quitoense). Freshly harvested fruits were divided into two groups: control (without treatment) and treated (doses of 250 and 500 Gy), later they were stored 21 days at 4ºC. The effective dose was selected according to weight loss, color variation and deterioration progression. With effective dose selected, at 0, 7, 14 and 21 storage days were analyzed: firmness, respiratory rate, ethylene production and microbiological counts (psychrophilic bacteria, molds and yeasts). There was no significant difference in weight loss and color variation between control and treated samples (250 and 500 Gy). Control and treated samples with 250 Gy lost physicochemical and microbiological quality at 14 days and treated fruits with 500 Gy at 21 days, and it was selected as effective dose. The postharvest treatment of naranjilla with doses of 500 Gy allowed to obtain fruits with better quality characteristics compared to the control fruits as an effect of a lower weight loss and deterioration delay (physicochemical and microbiological) that could be related to the lower respiration rate and lower ethylene production caused by the treatment. There were no changes in the surface color and firmness of the fruit (no significant difference between the samples). Treatment also significantly decreased the growth of psychrophils, molds and yeasts, so that deterioration microbial was reduced. Consequently, the shelf life of naranjilla treated with 500 Gy was increased by 7 days in relation to the fruits without treatment, however, its use is limited due to the cost of application for practical purposes and access to this technology.
Keywords: gamma, radiation, deterioration, naranjilla, quality, postharvest treatment.
INTRODUCCIÓN
Los tratamientos poscosecha son procesos importantes para mantener la calidad organoléptica, nutritiva y comercial de los productos agrícolas y así prolongar su vida útil. En la actualidad se utilizan diferentes tecnologías con esta finalidad: control biológico, pre-enfriamiento, tratamientos químicos con ozono, 1-MCP, ácidos orgánicos y físicos como recubrimientos, atmósferas modificadas, radiación UV-C y radiación gamma (Toivonen et al, 2014; Kojo et al, 2016).
Particularmente, la radiación gamma es emitida por fuentes de cobalto (60Co) o de cesio (137Cs), que generan radiaciones electromagnéticas de una longitud de onda muy corta, de la misma naturaleza que los rayos X, luz ultravioleta, visible infrarroja y microondas (FDA, 2016). La dosis de radiación aplicada a un producto representa la cantidad de energía depositada o absorbida por el material. La unidad de dosis de radiación gamma es el Gray (Gy) (USDA, 2005). Esta tecnología, admitida en el Codex Alimentario (FAO, 2003), ha sido ampliamente utilizada en alimentos por su alta penetrabilidad, siendo eficaces a profundidades de incluso 20 cm; no genera residuos o cambios químicos nocivos, por lo cual se ha implementado como reemplazo o complemento de otros tratamientos poscosecha (Sendra et al, 1996; Suárez, 2001; Ladaniya, Singh y Wadhawan, 2003; Vargas et al, 2005).
La aplicación de la radiación gamma requiere de una fase inicial en la que se selecciona la dosis adecuada para el tratamiento según cada tipo de alimento. Se ha determinado el uso de dosis altas (10 KGy a 50 KGy) generalmente para la esterilización de carnes, especias y condimentos; dosis medias (1 KGy a 10 KGy) para reducir poblaciones de microorganismos causantes de deterioro, extendiendo la vida de anaquel. Por otra parte, dosis bajas (< 1 KGy) se utilizaron retrasar procesos de maduración y senescencia de frutas y hortalizas (Sendra et al, 1996; USDA, 2005).
Esta tecnología presenta amplia aplicación en el área de alimentos, por ejemplo, se ha probado su utilidad para eliminar insectos y para reducir la población microbiana e inhibir reacciones enzimáticas que extienden el período de utilidad de frutas y hortalizas. Asimismo, se ha comprobado que los procesos de radiación en ausencia de oxígeno y con muestras en estado congelado reducen cambios no deseados a nivel organoléptico (Vargas et al., 2005).
El tratamiento con radiación gamma no incrementa la temperatura del alimento tratado, por lo tanto, las pérdidas de nutrientes son muy bajas, siendo incluso menor el impacto que otros métodos de conservación como, enlatar, pasteurizar o esterilizar con calor (Rossi et al, 2009). Por otro parte, diversos estudios destacan su uso potencial para retardar la maduración y senescencia de mangos, plátanos, papaya, tomates y espárragos, además de su contribución para eliminar hongos causantes de pudriciones o deterioros poscosecha (Vargas, 2005; Montenegro, 2015).
Las fuentes de 60Co son escasas debido al costo de las instalaciones y el mantenimiento que requiere esta tecnología. El costo estimado de aplicación varía en cada país y depende del volumen de los objetos tratados. Se utiliza para esterilizar insumos médicos quirúrgicos y alimentos como harinas, frutas y especerías.
La naranjilla (Solanum quitoense) es un fruto climatérico originario de los bosques de la región subtropical húmeda del oriente y occidente de los Andes en Ecuador, Colombia y Perú. El fruto es utilizado para consumo en fresco, en la elaboración de jugos y pulpas. (Revelo et al., 2010; Mertz et al., 2009; Brito et al., 2011; Andrade-Cuvi et al., 2015). La fruta se encuentra enmarcada dentro de los denominados productos perecibles, debido a su tendencia a deteriorarse por razones fisiológicas, por la invasión de plagas, infecciones y enfermedades durante las etapas pre y poscosecha (FAO, 2005). Las pérdidas poscosecha de frutas y hortalizas causadas por microorganismos varían entre 5 a 25% de la producción total en países desarrollados y entre 25 a 50% de la producción total en países en desarrollo (Kader, 2007). Estas pérdidas son causadas principalmente por la deficiente infraestructura y limitado uso de tecnologías (ICA, 2011). Las pérdidas poscosecha son el resultado de factores abióticos (físicos, químicos y mecánicos) y bióticos (insectos y microorganismos), agrupadas en características como pérdida de peso, valor nutricional, calidad fisiológica, comercial e industrial (García-Lara y Bergvinson, 2007). Asimismo, una cosecha inadecuada afecta a la calidad global de los frutos; por lo cual el momento óptimo de cosecha es cuando se presente un 75% de madurez, manifestado por el color amarillo característico con puntos verdes, además de valores no inferiores a 10°Brix y acidez total promedio de 3,8% de ácido cítrico (CCI, 1999). Para incrementar la vida útil de la naranjilla se ha evaluado la aplicación de tecnologías como la radiación UV-C (Andrade-Cuvi et al., 2017), ozono gaseoso (Andrade-Cuvi et al., 2018) y 1-MCP (Andrade-Cuvi, 2018) que, en general, han permitido obtener frutos con mejor la calidad y características antioxidantes respecto a los frutos sin tratamiento.
El objetivo de esta investigación fue determinar el efecto de la aplicación de radiación gamma sobre la calidad poscosecha de naranjilla (Solanum quitoense) almacenada en refrigeración.
MATERIALES Y MÉTODOS
Material vegetal y diseño del experimento. - Se utilizó naranjilla (Solanum quitoense) variedad Baeza, cosechada en la provincia de Napo (0°40′S 77°56′O), con un estado de madurez entre 4 y 5, de acuerdo a la norma técnica ecuatoriana NTE INEN 2 303, (2009). Los frutos fueron seleccionados por atributos de apariencia, grado de madurez y ausencia de defectos; posteriormente fueron limpiados retirando impurezas y tricomas. Se dividieron en dos grupos: control (sin tratamiento) y tratados (con radiación gamma). Se empacaron en bandejas tipo clamshell (5 a 6 frutos/bandeja) y se almacenaron en refrigeración (4ºC) durante 21 días. Con el fin de seleccionar la dosis efectiva, a los 0, 7,14, 21 días de almacenamiento refrigerado se determinó el avance del índice de deterioro (ID), la pérdida de peso y el color superficial. Una vez seleccionada la dosis efectiva se repitió el ensayo y el análisis de la calidad de la fruta se complementó con la determinación de la firmeza, tasa de respiración, producción de etileno y población de aerobios psicrófilos, mohos y levaduras.
Aplicación de radiación gamma. - El grupo de frutos tratados fue trasladado hasta el Laboratorio de Tecnología de Radiaciones (LTR) del Departamento de Ciencias Nucleares (DCN) de la Escuela Politécnica Nacional (EPN). Las bandejas fueron colocadas en la fuente de Co60, dentro de la cámara de radiación. El tratamiento se inicia cuando se eleva la fuente de Co60 a la cámara donde se ubican las muestras. Las bandejas fueron expuestas a dosis de radiación de 250 y 500 Gy.
Índice de deterioro (ID). - Se evaluaron visualmente los parámetros de zonas blandas, decaimiento (desarrollo de hongos) y manchas superficiales. Se utilizó una escala subjetiva de 1 a 5 desarrollada por Montenegro (2015), según se muestra en la figura 1. Donde: 5 = sin daño; 4 = daño ligero; 3: daño moderado; 2 =0 daño severo; 1= daño extremo.

Pérdida de peso. - Se pesó cada fruto al inicio y al término de cada periodo de almacenamiento. Se determinó la pérdida de peso como porcentaje en relación al peso inicial.
Color superficial. - Se evaluó con un colorímetro triestímulo Konica Minolta CR-400. Se utilizó la escala Cie L*a*b* y se tomaron tres medidas aleatorias en la piel de las naranjillas obteniendo valores promedio de coordenadas rojo/verde (a), amarillo/azul (b) y luminosidad (L). Se calculó la diferencia de color (ΔE) según la ecuación: ΔE = [(ΔL)2+ (Δa)2+(Δb)2]1/2
Firmeza. - Se utilizó un penetrómetro 53205 Fruit Pessure Tester. Se retiró la piel de la zona ecuatorial de cada fruto y se tomaron dos medidas utilizando una punta de 0.5 cm. Los resultados se registraron en newtons (N).
Tasa de respiración (TR) y producción de etileno. - Se utilizó la técnica de atmósfera confinada (Bartz y Brecht, 2003) utilizando 6 frutos en el sistema adaptado. Para la TR se registró la concentración de CO2 al inicio y después de una hora utilizando un medidor de gases (CO2 meter Vitrio GC-2028). Los resultados se expresaron en mg de CO2·kg-1·h-1. Para medir la producción etileno se registró la cantidad de etileno producida como mg de C2H4·kg-1·h-1 utilizando un medidor de etileno (Bioconservacion ppm Ehylene).
Análisis microbiológicos. - En un recipiente estéril se pesó el número de frutas necesarias para alcanzar 250 g y se añadió 90 ml de agua peptonada (dilución 10-1) y se agitó manualmente durante 1 minuto. A partir del sobrenadante se preparó dos diluciones sucesivas (10-2 y 10-3). Se tomó 1 ml de cada dilución y se inocularon en agar Sabouraud y agar tripticasa de soya y posteriormente se incubaron durante 2 a 5 días a 25ºC y 10 días a 4ºC, para mohos y levaduras, y bacterias psicrófilas, respectivamente. Los resultados se expresaron como log10 UFC/g.
Análisis estadístico. – Se analizó los resultados con un análisis de varianza (ANAVA) y las medias fueron comparadas mediante la prueba de Tukey con un nivel de confianza de 0,05 utilizando el paquete informático InfoStat versión 2008.
RESULTADOS Y DISCUSIÓN
Selección de la dosis efectiva. - La Tabla 1 muestra los resultados de la aplicación de dosis de 250 y 500 Gy y muestras control sobre el ID, pérdida de peso y variación del color de la naranjilla almacenada en refrigeración durante 21 días.
Los frutos tratados y controles mantuvieron buenas características hasta el día 14, tiempo en el que se evidenció un deterioro moderado (con valores de ID promedio de 3,5). A los 21 días se registró un ID de 2,56 (desarrollo severo) para los frutos control y de 2,92 y 3,59 (desarrollo moderado-leve) para los frutos tratados con 250 y 500 Gy, respectivamente. Damayanti et al. (1992), en su estudio en piñas tratadas con radiación gamma (dosis de 50, 75, 100, 150 o 250 Gy) y posterior refrigeración (11-13°C) obtuvo resultados similares, los frutos mantuvieron su calidad y se observó una reducción del decaimiento, demostrando además que el uso de dosis alta provoca blanqueamiento o variaciones de color en la piel o pulpa de las frutas. Por otra parte, Salem y Moussa (2014), observaron que la aplicación de radiación gamma provoca un decrecimiento en el desarrollo de mohos de frutos control durante este ensayo a dosis > 500 Gy. Cia et al., (2007) y Akbar et al., (2009) indican que papayas y naranjas rojas irradiadas con dosis de 500 Gy conservan características de apariencia, olor y sabor; es decir que se produce mínimos cambios fisicoquímicos y sensoriales durante el almacenamiento, recomendando su uso para reducir pérdidas poscosecha y evitando la aplicación de dosis de fungicidas.
En general la radiación gamma permitió mantener mejores características físicas (Figura 2) y la calidad comercial durante el almacenamiento refrigerado de naranjillas en comparación con los frutos control.
| Parámetro | Muestra | Tiempo de almacenamiento (días) | |||
| 0 | 7 | 14 | 21 | ||
| Índice de deterioro | Control | 5,0±0,0a | 4,49±0,2ab | 3,67±0,3cd | 2,56±0,4f |
| 250 Gy | 5,0±0,0a | 4,27±0,1bc | 3,49±0,2de | 2,92±0,2ef | |
| 500 Gy | 5,0±0,0a | 4,60±0,3ab | 3,79±0,2cd | 3,58±0,2d | |
| Pérdida de peso (%) | Control | 0,0±0,0e | 0,46±0,19cde | 1,03±0,18abc | 1,45±0,16a |
| 250 Gy | 0,0±0,0e | 0,38±0,00de | 0,84±0,15bcd | 1,27±0,00ab | |
| 500 Gy | 0,0±0,0e | 0,33±0,14de | 0,76±0,17bcd | 1,08±0,25ab | |
| DE | Control | 0,0±0,0e | 8,73±3,55a | 10,41±5,39a | 11,34±5,83a |
| 250 Gy | 0,0±0,0e | 8,93±3,35a | 9,39±3,00a | 10,40±5,74a | |
| 500 Gy | 0,0±0,0e | 10,17±3,46a | 10,42±5,91a | 11,74±5,91a | |

Por otro parte, tanto en frutos control y tratados mostraron un incremento en la pérdida de peso durante el almacenamiento. No se encontró diferencia significativa en las muestras, sin embargo, la dosis de 500 Gy produjo menor pérdida de peso (1,08%) en relación con las muestras control y tratadas con 250 Gy (1,45 y 1,27%) respectivamente. En este sentido, estudios en frambuesas expuestas a dosis de radiación gamma de 0,50; 1,00 y 2,00 kGy también presentaron menor pérdida de peso en relación a los frutos control (Saji et al, 2012). Asimismo, los valores obtenidos son similares a los reportados por Akbar et al., (2009), en su estudio realizado en naranjas rojas (Citrus sinensis L. Osbeck), el cual destaca que la utilización de una dosis de 0,5 kGy provocó la disminución de pérdida de peso de las muestras en comparación con una dosis de 0,25 kGy. Asi también, Salem y Moussa (2014) reportaron que peras tratadas con 0,5 y 1,0 kGy presentaron pérdidas de peso menores en comparación con frutos sin tratamiento. La pérdida de peso podría atribuirse a procesos en los que los rayos gamma producen radicales libres al interaccionar con el agua (Kovács y Keresztes, 2002), provocando un efecto de deshidratación sobre la muestra irradiada, siendo este efecto dependiente de la dosis de radiación utilizada, como de las condiciones de almacenamiento (Salem y Moussa, 2014).
Durante el período de almacenamiento se obtuvo un ligero incremento en la variación de color (ΔE) en las muestras control y tratadas, sin presentar diferencia estadística significativa entre sí. Se puede entonces decir que las dosis de radiación gamma aplicadas no indujeron efectos negativos en el color superficial de la naranjilla (Tabla 1). Dosis superiores a 0,5 kGy mostraron cambios de color rosa a rojo intenso en frambuesa, asociado con el aumento en el contenido de antocianinas en el fruto. Este efecto se redujo al incrementar la dosis de radiación a valores de 1,0 y 2,0 kGy (Bortoletto, 2012).
Aplicación de la dosis efectiva. – Tomando en cuenta, los resultados de los parámetros índice de deterioro, pérdida de peso y variación de color (ΔE), se seleccionó la dosis de radiación gamma de 500 Gy como efectiva para el tratamiento poscosecha de naranjilla y fue utilizada para posteriores ensayos en los que se complementó el estudio evaluando el efecto de la dosis de radiación sobre parámetros fisiológicos y microbiológicos.
Color superficial. - Durante el tiempo de almacenamiento se produjo una disminución de los valores correspondientes a luminosidad (L*) y coordenadas cromáticas (a* y b*), sin embargo, al llegar al final del almacenamiento (día 21) se observó que los valores se incrementaron con respecto a los días de análisis previos, alcanzando valores superiores al inicio del experimento (Tabla 2). En consecuencia, a los cambios producidos en L, a y b, la variación de color (DE) mostró un comportamiento similar con un incremento a lo largo del almacenamiento. Los frutos control presentaron mayor variación de color que los tratados, mostrando que la radiación gamma permite mantener más estable el color de la fruta durante el almacenamiento refrigerado.
| Parámetro de color | Tiempo de almacenamiento (días) | Tratamiento | |
| Control | 500 Gy | ||
| L* | 0 | 63,7±2,4ab | 62,75±1,4bc |
| 7 | 63,9±2,5ab | 62,11±1,6bc | |
| 14 | 63,5±2,4b | 61,1±1,6c | |
| 21 | 65,9±2,8a | 64,2±1,8ab | |
| a* | 0 | 29,2±2,9a | 31,2±2,3a |
| 7 | 29,0±2,5a | 29,5±4,5a | |
| 14 | 28,6±3,0a | 30,0±4,1a | |
| 21 | 30,9±4,0a | 32,3±2,8a | |
| b* | 0 | 70,1±4,4a | 68,7±2,5ab |
| 7 | 68,1±4,0abc | 64,9±2,2cd | |
| 14 | 65,7±4,2bcd | 64,2±2,4d | |
| 21 | 69,5±3,5a | 68,5±3,1abc | |
| DE | 7 | 3,5±1,7a | 4,4±2,6a |
| 14 | 4,95±2,1a | 4,9±2,2a | |
| 21 | 5,4±1,7a | 4,2±1,8a | |
Harder et al., (2009) y Antonio et al., (2013), en su estudio en castañas y néctar de kiwi destacan que los factores L* y b* disminuyen durante el almacenamiento debido a la interrupción de los procesos enzimáticos, provocando un retraso en la maduración y por lo tanto en el desarrollo del color. Además, el color de las frutas está directamente relacionado con la síntesis de pigmentos como el caso de carotenoides en la naranjilla por lo que la determinación del contenido de estos compuestos, así como el análisis de su metabolismo y los cambios producidos durante el almacenamiento por efecto de la radiación gamma complementarían los resultados.
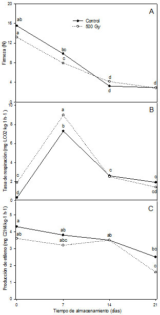
Firmeza. - Los valores de firmeza iniciales fueron: 13,2 N (500 Gy) y 12,5 N (control) que se redujeron luego de 21 días de almacenamiento a 2,9 N (500 Gy) y 2,9 N (control). La pérdida de firmeza observada está entre 77 y 78% (Figura 3A). El efecto de radiación gamma sobre la firmeza de los frutos es variado, tomates tratados con dosis de 250, 500 y 750 Gy mostraron reducción de firmeza. Sin embargo, naranjas tratadas con dosis de 200, 400 y 600 Gy y peras con dosis de 500 Gy redujeron la firmeza respecto a los frutos control (McDonald et al., 2013 y Salem y Moussa, 2014). Si bien la pérdida de firmeza en frutas está relacionada con la transpiración y respiración propia de cada especie (Mohamed, 1999), la dosis de radiación gamma utilizada infiere proporcionalmente en la pérdida de peso, por lo tanto se infiere que la dosis de radiación podría provocar un efecto destructivo en las células de los frutos, reflejando cambios en características de peso y firmeza, sumado a la influencia de las condiciones de almacenamiento (temperatura y humedad relativa) (Akter y Khan, 2012; Salem y Moussa, 2014). Resultaría pertinente, realizar estudios del efecto de la radiación sobre la actividad de las enzimas relacionadas con la degradación de la pared celular, con el fin de relacionar el comportamiento mostrado durante el almacenamiento refrigerado de la naranjilla.
Tasa de respiración (TR) y producción de etileno (ET): El tratamiento con radiación gamma produjo un incremento significativo en la producción de CO2 (Figura 3B). En la etapa inicial (día 0) los valores obtenidos de TR fueron 0,3 y 1,9 mgLCO2·kg-1·h-1 para frutos control y tratados, respectivamente. Se observó un incremento significativo en el día 7 cuyos valores de TR fueron 7,3 (frutos control) y 9 mgLCO2·kg-1·h-1 (frutos tratados). Posteriormente, se produjo una reducción gradual hasta el final del experimento, mostrando frutos control con valores de 1,9 mg·LCO2·kg-1·h-1 y los frutos tratados 1,4 mgLCO2·kg-1·h-1. En cuanto a la producción de etileno (Figura 3C), inmediatamente después del tratamiento la producción fue menor en frutos tratados y control con valores de 4,3 y 3,6 mg C2H4/kg*h, respectivamente. Durante el almacenamiento la producción de etileno se redujo gradualmente alcanzando valores de 2,5 y 1,6 mgC2H4·kg-1·h-1 para los frutos control y tratados, respectivamente.
La radiación gamma puede provocar un retraso o avance en la maduración de frutos climatéricos, esto como consecuencia del deterioro de las funciones celulares y de la estimulación de síntesis de etileno, además el punto máximo de liberación de dióxido de carbono señala el pico climatérico, donde el fruto alcanza madurez comercial (Larrigaudiére et al, 1991; Dussán, 2008). Las naranjillas utilizadas en el estudio fueron cosechadas en un grado de madurez 4-5 que corresponden a la madurez comercial por lo tanto los datos obtenidos en la tasa de respiración y la producción de etileno evidencian el comportamiento del fruto durante el almacenamiento, el cual dependerá de factores como el grado de deterioro, tiempo, temperatura y humedad de almacenamiento.
La TR es un indicador de la actividad metabólica de los frutos, vinculada con el deterioro de los mismos. Los frutos al ser expuestos a rayos gamma muestran un aumento inmediato de TR, sin embargo, este parámetro llega a valores por debajo de los registrados en frutos control. La ET mostró un comportamiento similar entre frutos control y tratados, a diferencia de los frutos tratados, que registran valores más bajos durante el período de almacenamiento. La radiación gamma induce modificaciones fisiológicas en los tejidos de frutas y hortalizas, provocando una reducción de la respiración y producción de etileno, que a su vez causa un retraso en la senescencia (Chervin et al, 1992; Hernández y Bedoya, 2014; Torres, 2014) y disminución en el deterioro del fruto.
Análisis Microbiológicos. - Durante el almacenamiento se evidenció el crecimiento de microorganismos (psicrófilos, mohos y levaduras) en las muestras control y tratadas (500 Gy).
La población de bacterias psicrófilos (Figura 4A) durante los 21 días de análisis presentaron valores significativamente menores para frutos tratados que para los frutos control. Inmediatamente después del tratamiento no se encontró crecimiento de este tipo de microorganismos, en tanto que los frutos control iniciaron con una población de 4,4 Log UFC/g que se incrementó a 5,1 en el día 21. Mientras que en los frutos tratados al final del almacenamiento se encontró una población final de 1,4 Log UFC/g.
El recuento de mohos (Figura 4B) mostró una población inicial de 2,9 Log UFC/g en los frutos control y se observó un incremento de 1,3 unidades logarítmicas durante almacenamiento. La radiación gamma redujo significativamente la población de mohos ya que los frutos tratados presentaron en el día 0 una población de 2 Log UFC/g y un incremento de 0,9 unidades logarítmicas durante el almacenamiento.
En cuanto a la población de levaduras (Figura 4C), los frutos tratados en el día 0 presentaron un valor menor de población de levaduras en comparación con los frutos control, con una diferencia de 0,7 unidades Log UFC/g. Asimismo, durante el almacenamiento la población de levaduras se incrementó tanto en frutos control como en tratados, observándose en estos últimos en menor proporción. Al finalizar el almacenamiento (21 días) se observó una diferencia de 1,4 unidades Log UFC/g de los frutos controles respecto a los frutos tratados.
La radiación emitida por fuentes de 60Co ocasionan rupturas en los enlaces químicos al interactuar con la materia viva, concomitantemente permite la eliminación de bacterias, mohos y parásitos (García y López, 2004). La radiación provoca además, la alteración de las funciones metabólicas y enzimáticas de la membrana celular, esta ionización afecta a las zonas circundantes al material celular, principalmente el agua, provocando la generación de radicales libres, que dañan o destruyen los microorganismos; sin embargo, la eficacia del método depende principalmente de la dosis de radiación seleccionada, si bien puede provocar la reducción o eliminación de microorganismos también puede dar lugar a la pérdida de otros atributos del material irradiado (Suárez, 2001; Gálvez y Buitimea, 2004).
Antecedentes de estudios que utilizan radiación gamma en tomate (Prakash et al., 2002) y frambuesas (Verde et al., 2013) evidencian una disminución de la población microbiana durante los 15 días de almacenamiento con una reducción de 2 y 4 unidades Log UFC/g respecto a los frutos control.
Siendo el desarrollo de microorganismos una de las principales causas de pérdidas poscosecha, el uso la radiación gamma, puede ser considerado como una alternativa para el control de crecimiento de la flora nativa, favoreciendo la calidad de la fruta por más tiempo. En este sentido, son necesarios más estudios para conocer el efecto de la radiación gamma sobre el crecimiento de microorganismos relacionados con la inocuidad de los alimentos, como microorganismos patógenos Escherichia coli, Listeria monocytogenes, Bacillus cereus y mohos productores de micotoxinas entre otros, que pudieran estar presentes en la naranjilla.

Letras diferentes en el día de análisis denotan diferencia estadística significativa p<0,05 entre los tratamientos

Letras diferentes en el día de análisis denotan diferencia estadística significativa p<0,05 entre los tratamientos
CONCLUSIONES
La aplicación de radiación gamma (500 Gy) mostró ser una alternativa para el tratamiento poscosecha en naranjilla, en vista que retrasa el avance de los síntomas de deterioro durante el almacenamiento refrigerado, permitiendo mantener la calidad de la fruta durante 21 días de almacenamiento (7 días más respecto a los frutos sin tratamiento). Asimismo, contribuye a reducir la pérdida de peso durante el almacenamiento, comportamiento que podría relacionarse a la menor tasa de respiración y menor producción de etileno inducidas por el tratamiento. Además, el tratamiento no produce cambios en el color superficial del fruto, siendo este uno de los principales atributos de calidad de un alimento. Por otro lado, se puede considerar que el tratamiento produjo un efecto positivo en el control del crecimiento de la microflora asociada con la alteración del producto (bacterias psicrófilas, mohos y levaduras), siendo una alternativa para reducir el deterioro producido por microorganismos en la naranjilla. En este sentido, son necesarios más estudios para conocer el efecto de la radiación gamma sobre el crecimiento de microorganismos relacionados con la inocuidad (patógenos) que pudieran estar presentes en la naranjilla. Por otra parte, estudios del efecto de la radiación gamma sobre la actividad bioquímica, fisicoquímica y metabólica del fruto durante el almacenamiento ampliarían los resultados promisorios del presente estudio. No obstante, para fines de aplicación práctica es necesario analizar tanto el costo de aplicación como el acceso a esta tecnología con el fin de impulsar la transferencia tecnológica a los productores y comercializadores de naranjilla en el Ecuador.
Literatura citada
Akbar, S., Hussain, S., Khan, M. y Badshah, A. (2009). Effects of gamma irradiation on quality of Pakistani blood red oranges (Citrus sinensis L. Osbeck). International Journal of Food Science and Technology, 44(5), 927-931
Akter, H., y Khan, S. A. (2012). Effect of gamma irradiation on the quality (colour, firmness and total soluble solid) of tomato (Lycopersicon esculentum Mill.) stored at different temperature. Asian Journal of Agricultural Research, 6(1), 12-20
Andrade-Cuvi, M. J., Moreno-Guerrero, C., Guijarro-Fuertes, M. y Concellón, A. (2015). Caracterización de la naranjilla (Solanum quitoense) común en tres Estados de Madurez. Revista Iberoamericana de Tecnologia Postcosecha, 16(2), 215-221.
Andrade-Cuvi, M.J. (2018) Calidad poscosecha de naranjilla (Solanum quitoense Lam) y alternativas tecnológicas para retrasar el deterioro. Elaboración de un producto panificado enriquecido con naranjilla. [Tesis Doctoral] Facultad de Ciencias Exactas. Universidad Nacional de La Plata, Argentina
Andrade-Cuvi, M.J.; Guijarro-Fuertes, M.; Jara-Gómez, S.; Narváez-López, P.; Moreno-Guerrero, C.; Concellón, A. (2018) Efecto del tratamiento con ozono gaseoso sobre la calidad fisicoquímica y capacidad antioxidante de naranjilla (Solanum quitoense Lam). Revista Iberoamericana de Tecnología Postcosecha, vol. 19, núm. 2
Andrade-Cuvi, M.J.; Moreno Guerrero, C.; Zaro, M.; Vicente, A.R.; Concellón, A. (2017) Improvement of the antioxidant compounds and postharvest life of three exotic Andean fruits by UV-C treatment. Journal of Food Quality. Article ID 4278795, 10 page
Antonio, A., Fernades, A., Bento, A., Ferreira, A., Trigo, M., Botelho, L., Quintana, B. y Ramalhosa, E. (2013). Gamma irradiation preservation of chestnut fruits: effects on color and texture. European Scientific Journal, SE(2)
Bartz, J. y Brecht, J. (2003). Postharvest physiology and pathology of vegetables. 2da Ed. Marcel Dekker, Inc. USA.
Bortoletto, D., Saji, F., Tezotto, J., Berno, N. y Kluge, R. (2012). Atributos de qualidade de framboesas ‘Autumn Bliss’ tratadas com radiação gama. Brasil: Universidade de São Paulo. Departamento de Ciências Biológicas
Brito, B., Espín, S., Vásquez, W., Viteri, P., López, P. y Jara, J. (2011). Manejo poscosecha, características nutricionales de la naranjilla para el desarrollo de pulpas y deshidratados. INIAP. Plegable No. 386. Quito, Ecuador.
CCI (1999). Manejo Agronómico del cultivo de lulo. Recuperado el 15 de julio de 2018, de http://www.drcalderonlabs.com/Cultivos/Lulo/Cultivo_de_Lulo_2.htm
Chervin, C., Triantaphylides, C., Libert, M., Siadous, R. y Boisseau, P. (1992). Reduction of wound-induced respiration and ethylene production in carrot root tissues by gamma irradiation. Postharvest Biology and Technology, 2(1), 7-17
Cia, P., Pascholati, S., Benato, E., Camili, E. y Santos, C. (2007). Effects of gamma and UV-C irradiation on postharvest control of papaya anthracnose. Postharvest Biology and Technology, 43(3), 366-373
FAO (2003). Norma general del codex para los alimentos irradiados (CODEX STAN 106). Recuperado el 15 de julio de 2018, de: http://www.fao.org/fao-who-codexalimentarius/sh-proxy/es/?lnk=1yurl=https%253A%252F%252Fworkspace.fao.org%252Fsites%252Fcodex%252FStandards%252FCODEX%2BSTAN%2B106-1983%252FCXS_106s.pdf
FAO (2005). Manual para el mejoramiento del manejo poscosecha de frutas y hortalizas. Recuperado el 15 de julio de 2018 de: http://www.fao.org/docrep/x5056s/x5056S07.htm
FDA (2016). La radiación de Alimentos. Recuperado el 13 de julio de 2018, de https://www.fda.gov/downloads/Food/IngredientsPackagingLabeling/UCM262298.pdf
Gálvez, J. y Buitimea, G. (2004). Uso de la radiación en la conservación de alimentos. Recuperado el 12 de septiembre de 2018, de: http://www.revistauniversidad.uson.mx/revistas/22-22articulo%207.pdf
García, J. y López, B. (2004). Radiación de Alimentos. Recuperado el 15 de septiembre de 2018, de: https://www.revistaciencia.amc.edu.mx/images/revista/55_2/irradiacion_de_alimentos.pdf
García-Lara, S. y Bergvinson, D. (2007). Programa integral para reducir pérdidas poscosecha en maíz. Agricultura técnica en México, 33(2), 181-189. Recuperado el 15 de julio de 2018, de http://www.scielo.org.mx/scielo.php?script=sci_arttextypid=S0568-25172007000200008ylng=esytlng=es
Harder, M., De Toledo, T., Ferreira, A. y Arthur, V. (2009). Determination of changes induced by gamma radiation in nectar of kiwi fruit (Actinidia deliciosa). Centro de Energía Nuclear y Agricultura, 579-582
Hernández, C. y Bedoya, G. (2014). Rol del etileno en la maduración de los frutos. Recuperado el 12 de septiembre de 2018, de: http://cibanconucss.weebly.com/uploads/2/3/7/2/23729653/articulo_1_etileno_en_la_maduracin_de_frutos.pdf
ICA. (2011). Manejo fitosanitario del cultivo de lulo (Solanum quitoense Lam). Recuperado el 22 de julio de 2018 de: https://www.ica.gov.co/getattachment/de9f2f66-898a-45b8-848d-0c49a23ca70c/Manejo-Fitosanitario-del-cultivo-del-lulo-Solanum.aspx
Kader, A. A. (2007). Tecnología Postcosecha de Cultivos Hortofrutícolas. Davis, California: Universidad de California. Centro de Información e investigación en Tecnología Postcosecha.
Kovács, E. y Keresztes, Á. (2002). Effect of gamma and UV-B/C radiation on plant cells. Micron, 33(2), 199-210
Ladaniya, M., Singh, S. y Wadhawan, A. (2003). Response of Nagpur mandarin, Mosambi sweet orange and Kagazi acid lime to gamma radiation. Radiation Physics and Chemistry, 67(5), 665-675
McDonald, H., Lu Arpaia, M., Caporaso, M., Obenland, D., Were, L., Rakovski, C. y Prakash, A. (2013). Effect of gamma irradiation treatment at phytosanitary dose levels on the quality of “Lane Late” navel oranges. Postharvest Biology and Technology, 91-99
Mertz, C., Gancel, A., Gunata, Z., Alter, P., Dhuique-Mayer, C., Vaillant, F., Perez, A.M., Ruales, J. y Brat, P. (2009). Phenolic compounds, carotenoids and antioxidant activity of three tropical fruits. Journal of Food Composition and Analysis, 22, 381-387.
Mohamed, H. (1999). Effect of gamma radiation on some oxidation enzymes on fruits of apple and pear. M.SC. thesis faculty of agriculture Ain Shams University
Montenegro, L. (2015). Estudio de la inhibición del pardeamiento enzimático por radiación y de la calidad poscosecha durante el almacenamiento refrigerado de la naranjilla (Solanum quitoense) irradiada (Tesis de pregrado). Escuela Politécnica Nacional. Ecuador
NTE INEN 2 303 (2009) Norma Técnica Ecuatoriana. Frutas frescas. Naranjilla. Requisitos. 1ra Ed. Quito-Ecuador.
Prakash, A., Manley, J., DeCosta, S., Caporaso, F. y Foleyb, D. (2002). The effects of gamma irradiation on the microbiological, physical and sensory qualities of diced tomatoes. Radiation Physics and Chemistry, 63(3-6), 387-390
Revelo, J., Viteri, P., Vásquez, W., Valverde, F., León, J. y Gallegos, P. (2010). Manual del Cultivo Ecológico de la Naranjilla. Manual Técnico No. 77. INIAP. Quito, Ecuador. 120p.
Rossi, L., Watson, S., Miranda, A. y Troncoso, A. (2009). La radiación a la mesa. Revista Chilena de Infectología, 26 (4): 318-321.
Saji, F., Tezotto, J., Berno, N., Vieira, A. y Kluge, R. (2012). Radiação gama na conservação pós-colheita de framboesa. Brasil: Universidade de São Paulo. Departamento de Ciências Biológicas
Salem, E. y Moussa, Z. (2014). Extending the shelf-life of pear fruits by using gamma irradiation. Arab Journal of Nuclear Science and Applications, 47(1), 231-238
Sendra, E., Capellas, M., Guamis, B., Felipe, X. Mor-Mur, M. y Pla, R. (1996). Food irradiation – General aspects. Recuperado el 10 de septiembre de 2018, de: http://journals.sagepub.com/doi/abs/10.1177/108201329600200101
Suárez, R. (2001). Conservación de Alimentos por Radiación. Recuperado el 20 de septiembre de 2018, de: https://dialnet.unirioja.es/descarga/articulo/3330300.pdf
Toivonen, P., Mitcham, E. y Terry, L. (2014). Postharvest Care and the Treatment of Fruits and Vegetables. Springer Science, Volume I (465-483)
Torres, J. (2014). Estudio del efecto de la combinación de dos tratamientos no convencionales, radiación con rayos gamma y recubrimiento comestible, en la calidad poscosecha de tomate de árbol (Solanum betaceum Cav.) (Tesis de pregrado). Escuela Politécnica Nacional. Ecuador
USDA (2005). Beneficios de la radiación gamma. Recuperado el 12 de julio de 2018, de http://inin.gob.mx/publicaciones/documentospdf/Beneficios.pdf
Vargas, J., Vivanco, M., Maldonado, M., Linares, M., Huamanlazo, P. y Quispe, F. (2005). Aplicaciones de la radiación gamma en frutas y hortalizas. Perspectivas agroindustriales para el espárrago peruano. Recuperado el 13 de julio de 2018, de http://dspace.ipen.gob.pe/bitstream/ipen/433/1/_123-128_%20%20Aplicaciones%20de%20la%20Radiacion%20gamma%20en%20frutas%20y%20hortalizas.pdf
Verde, S., Trigo, M., Sousa, M., Ferreira, A., Ramos, A., Nunes, I., Junqueira, C., Melo, R., Santos, P. y Botelho, M. (2013). Effects of gamma radiation on raspberries: safety and quality issues. J Toxicol Environ Health A, 76(4-5), 291-3
Notas de autor
E-mail autor de correspondencia: mjandradecuvi@ute.edu.ec