Reportes Procesamiento
Conservation of visual and nutritional aspects of minimally processed escarole in function of the temperature storage
Conservación de aspectos visuales y nutricionales de la escarola mínimamente procesada en función del almacenamiento de temperatura
Conservation of visual and nutritional aspects of minimally processed escarole in function of the temperature storage
Revista Iberoamericana de Tecnología Postcosecha, vol. 20, no. 1, 2019
Asociación Iberoamericana de Tecnología Postcosecha, S.C.
Received: 22 March 2019
Accepted: 02 May 2019
Published: 30 June 2019
Funding
Funding source: Fapesp
Contract number: 2016/01201-8
Abstract: Escarole is one of the most consumed leafy vegetables, considering its potential as a minimally processed product, it is important to study its conservation and attactive atributes for the consumer. This research aimed to evaluate the effects of the cold storage at different temperatures on the physiology and the conservation of visual and nutritional aspects of minimally processed escarole. The escarole were minimally processed and stored at 0, 5, 10 and 15°C and 90-95% of relative humidity for 20 days. The variables analyzed were ethylene production, respiratory rate, browning index, ascorbic acid content and the total content of chlorophyll, carotenoids and phenols. Samples kept at 0°C maintained the visual quality until the end of the storage. The samples kept at 5, 10 and 15°C were discarded in the 16th, 8th and 6th day of storage, respectively, because they exceeded the limit of browning visual index on the leaves. The respiratory rate and ethylene production showed variations during storage at all temperatures studied, but escaroles maintained at 0°C exhibited the lowest variations of these parameters. There was a constant decrease in ascorbic acid, total chlorophyll and carotenoids content of all escaroles regardless of the storage temperature, but the samples stored at low temperatures showed slower deterioration of these aspects due to the reduction on their metabolism. The content of phenolic compounds of the samples showed variations during storage. The 0°C is recommendable for maintained the quality of this product up to 20 days, because this temperature provided lowest respiratory rate and ethylene production, also it was the most successfully to preserve the ascorbic acid content and pigments of this vegetable.
Keywords: Cichorium endive var, latifolia L, ascorbic acid, phenolic compounds, respiratory rate.
Resumen: La escarola es uno de los vegetales de hoja más consumidos, considerando su potencial como producto mínimamente procesado, es importante estudiar su conservación y los atributos atractivos para el consumidor. Esta investigación tuvo como objetivo evaluar los efectos del almacenamiento en frío a diferentes temperaturas sobre la fisiología y la conservación de los aspectos visuales y nutricionales de la escarola mínimamente procesada. La escarola se procesó mínimamente y se almacenó a 0, 5, 10 y 15 °C y 90-95% de humedad relativa durante 20 días. Las variables analizadas fueron la producción de etileno, la tasa de respiración, el índice de pardeamiento, el contenido de ácido ascórbico y el contenido total de clorofila, carotenoides y compuestos fenólicos. Las muestras conservadas a 0 ° C mantuvieron la calidad visual hasta el final del almacenamiento. Las muestras mantenidas a 5, 10 y 15 ° C se descartaron en el día 16, 8 y 6 de almacenamiento, respectivamente, porque excedieron el límite del índice visual de pardeamiento de las hojas. La frecuencia respiratoria y la producción de etileno mostraron variaciones durante el almacenamiento a todas las temperaturas estudiadas, pero las escarolas mantenidas a 0 °C mostraron las variaciones más bajas de estos parámetros. Hubo una disminución constante en el contenido de ácido ascórbico, clorofila total y carotenoides de todas las escarolas independientemente de la temperatura de almacenamiento, pero las muestras almacenadas a bajas temperaturas mostraron un deterioro más lento de estos aspectos debido a la reducción de su metabolismo. El contenido de compuestos fenólicos de las muestras mostró variaciones durante el almacenamiento. La temperatura de 0 °C es recomendable para mantener la calidad de este producto hasta 20 días, ya que esta temperatura proporcionó la frecuencia respiratoria y la producción de etileno más bajas, y también fue el más exitoso para preservar el contenido de ácido ascórbico y los pigmentos.
Palabras clave: Cichorium endive var, latifolia L, ácido ascórbico, compuestos fenólicos, tasa respiratoria.
INTRODUCTION
Escarole (Cichorium endive var. Latifolia L.) is among the most consumed leafy vegetables, it can be consumed cooked or as salad, but independent of the form of consumption, it is considered a food rich in nutrients, such as vitamins, minerals and antioxidant compounds (Feltrim et al., 2008; Tiveron et al., 2012).
Due to the modern life and the demand for healthy food, escarole has a strong potential for the market of minimally processed products, which is one of fastest growing segments in the food sector (Cozzolino et al., 2016). These products are fruit or vegetable submitted to a combination of procedures: selection, washing, cutting or peeling, packaging and storage, providing a fresh, tasty and convenience product (Oliveira et al., 2015).
The quality parameters of minimally processed leaves includes not only its nutritional value, but also its flavor, texture and especially the color, which is characterized by the content of its pigments, such as chlorophylls and carotenoids (Spinardi and Ferrante, 2012). Therefore, the minimal processing can shorten the product’s shelf life, also leading to losses on the visual and nutritional quality and providing microbial growth (Hernández et al., 2014).
To minimize losses during storage, these products need to be packaged and refrigerated. The temperature affects directly the metabolism of vegetables. When under inadequate conditions of storage, they might show significant losses on quality, starting from the distribution chain (Spinardi and Ferrante, 2012). Several studies have shown the influence of temperature and period of storage on the shelf life and the nutritional aspects of lettuce minimally processed, such as the content of ascorbic acid, phenolic compounds and antioxidant activity (Ferrante et al., 2009; Spinardi and Ferrante, 2012).
There is still limited information about the influence of storage at different temperatures on the quality of minimally processed escarole, as well as the effects of the refrigeration on the physiological and biochemical aspects of this product, which could influence and defines its shelf life. The aim of this study was to evaluate the effects of cold storage at different temperatures on the visual, physiological and nutritional aspects of minimally processed escarole.
MATERIAL AND METHODS
Plant material
Escaroles (Cichorium endive var. latifolia L cv. Amazonas Gigante) were obtained from conventional producer located in Piracicaba, São Paulo, Brazil (22° 43′ 30″ S, 47° 38′ 51″ W; 524 m altitude). The heads of escarole were harvested 65 days after planting, during the winter season and transported to the laboratory plant in a refrigeration environment and then stored 15°C and 90-95% RH for 24 hours until processing. Heads of escarole were evenly selected according size, color and absence of diseases or mechanical and pathological damages. The heads selected were cut on the base and the whole leaves were separated and washed to remove impurities of dirt and after this, the material was transferred to a cold room at 15°C for processing.
Minimal processing
In the cold room, whole escarole leaves were sanitized by immersion in sodium hypochlorite solution (200 mg L-1) for 10 minutes. After sanitization, leaves were manually cut into strips with approximate 3 cm with with a stainless steel knife. The strips of escarole were sanitized for 5 minutes and centrifuged for 1.5 minutes in domestic centrifuge (Arno, São Paulo, SP, Brazil) at 760 x g to remove excess water. Minimally processed escarole (approximately 150 g) were placed in expanded polystyrene trays (21 x 14.5 x 1.5 cm) and the leaves were wrapped in PVC film 14 µM with heat sealed at the bottom of the trays. The samples were distributed in four cold chambers at respectively 0, 5, 10 and 15 °C and 90-95% RH. Analyses were performed on day 0, after 1 hour of processing and every 2 days until the 20th day of storage. For respiration rate and ethylene production the analyses were carried out daily.
Assessments
To determine respiration rate and ethylene production, 30 g of minimally processed escarole was placed in 600 mL glass flasks and hermetically sealed for 1 h, previously exposed to conditions of temperature and humidity of their respective chambers at different temperatures. A silicone septum was fitted in the flask lids to allow the collection of 0.5 mL of internal atmosphere. Internal atmosphere readings were analyzed with a gas chromatograph (Thermo Electron Corporation, model Trace GC Ultra) equipped with flame ionization detector (FID) with column Porapack N, of 2 m of length. The injector, column, and detector temperatures were 100, 100 and 250°C, respectively, and with H2 carrier gas flow of 0.40 mL s−1. The respiratory rate and ethylene production were calculated based on the results of the chromatographic determinations, considering the flask volume, the escarole mass and the time the flask was closed. Respiratory rate was quantified by the production of CO2, expressed in mL CO2 kg-1h-1 and ethylene production was expressed as µL C2H4 kg-1h-1.
The browning index (BI) was determined according to Pen and Jiang (2003). In each replicate, 10 strips of minimally processed escarole were evaluated for browning based on the proportion of leaf area affected following rating scale: 0 = no browning, 1 = emergence of dark spots (<1/5 total area), 2 = moderate browning (between 1/5 and 1/3 of the area) and 3 = severe browning (area> 1/2). BI was calculated by the formula: BI = Σ (browning note × percentage of the affected area corresponding to the sample). Samples with BI higher than 2, were considered unmarketable and hence, discarded.
For quantification of pigments (total chlorophyll and total carotenoids content), 0.25 g of frozen cut leaves were homogenized with a 80% acetone solution and centrifuged at 10,000 x g for 10 minutes at 4°C. The supernatant was used for the measurement of pigments by absorbance measurement made by spectrophotometer (Biochrom, model Libra S22) at the wavelengths of 663, 646 and 470 nm for determination of chlorophylls a, b and carotenoids, respectively, from which the values were calculated total chlorophyll and total carotenoids contents. The formulas used were according Lichtenthaler (1987). The results were expressed as milligrams of the pigment per 100 g fresh weight (mg. 100 g-1 FW).
For ascorbic acid content analysis, the extract was prepared mixing 30 g of the processed escarole with 10 mL of distilled water. This mixture was filtered to obtain the liquid extract. Ascorbic acid content was determined by titration of a 10 mL aliquot of escarole extract diluted in 50 mL of oxalic acid (1%) with DCFI indicator (indolfenol-sodium 2,6-dichlorophenol) until the pink color persists for 15 seconds. The results were expressed in mg of ascorbic acid per 100 g fresh weight (mg. 100 g-1 FW) (Carvalho et al., 1990).
The total phenolic compounds were determined according Singleton and Rossi (1965), with adaptations. The extract was prepared by milling 1 g of sample, added to 9 mL ethanol and centrifuged at 15,000 x g at 4°C for 20 minutes. Three hundred microliters of the escarole extract were mixed with 0.75 mL of Folin-Ciocalteu (10%), 1.20 mL water and 0.75 mL of 4% sodium carbonate, and incubated in the dark for 2 hours. The quantification was performed in spectrophotometer (Biochrom, model Libra S22) at 765 nm, in triplicate. The calculation of total phenolic compounds was carried out by standard curve with gallic acid. The results were expressed in mg of gallic acid equivalents per 100 grams of fresh sample (mg GAE 100g-1 FW).
Experimental design and statistical analysis
The experimental design was completely randomized in a factorial 4x11 (treatments x periods of analysis), including day zero (after processing), with three replicates of a each tray. For respiration rate and ethylene production the experimental design was 4x21 (treatments x periods of analysis), with five replicates. The results were submitted to analysis of variance (ANOVA), with averages compared by Tukey test (P≤0.01 and P≤0.05). Statistical analysis was performed using the statistical software Statistical Analysis System (SAS, version 9.3; SAS Institute, Cary, NC, USA).
RESULTS AND DISCUSSION
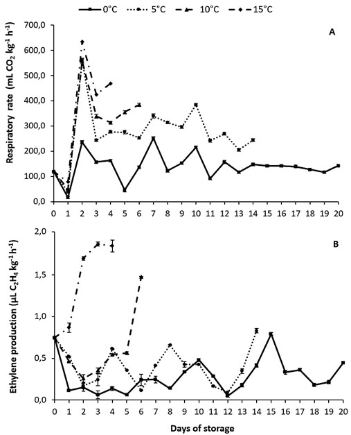
The respiratory rate (RR) of minimally processed escaroles showed variations during storage at all temperatures studied (Figure 1A). Smaller RRs were observed at the first day of storage after processing. This may have possibly occurred due to the reduction in the metabolism of leaves generated by reducing the temperature when the escaroles were previously exposed at the processing environment.

The mean values of RR after processing were 120 mL CO2 kg-1 h-1 which was reduced after 1 day in cold storage in all treatments, with a drastic reduce of 85% for escaroles storage at 0°C. Similar behavior was observed in minimally processed lettuce, which the RR fell by 73% comparing the values obtained after 1 hour of processing and 24 hours after storage at 5°C (Smyth et al., 1998).
The high initial RR values in minimally processed products occur due to the stress caused by the rupture of cell and membranes when submitted to cutting. Subsequent decrease in RR occurs when, under refrigeration, the repair mechanisms of cells begin to act, also, the reduction of RR can be associated to the end of reactions between substrates and enzymes in the cut surface of cells (Sasaki et al., 2014).
There were peaks of RR in samples stored at 5, 10 and 15 °C on the 2nd day, followed for decrease during the experiment. It was observed that RR increased as higher was the storage temperature. There was no differences (p<0.01) among the treatments on most days of analysis, wherever the escaroles maintained at 0°C exhibited the lowest RR during the storage, showing variations until day 12, from which was stabilized and maintained until the end of experiment. Variations in RR related to the temperature can be explained by the fact that once the temperature of storage is raised, the CO2 activation energy for respiration is significantly reduced, causing the reduction of energy barrier for release CO2, thus increasing RR (Mattos et al., 2008).
Ethylene production (EP) of the treatments also varied during storage (Figure 1B). Smaller EP values were verified by escaroles stored at 0°C, since low temperatures may have inhibited and reduced the ethylene synthesis. The EP in this study varied between 0.05 and 1.87 µL kg-1h-1 depending on the storage temperature.
Leaves stored at 15°C showed the highest EP (p <0.01) until the 4th day of storage, showing peak at day 3. No differences were observed between the EPs of the leaves stored at 10°C and the others until day 5, however, these samples exhibited peak in the next day. There were no differences in EP samples stored at 5 and at 0°C until day 12, being that the peak was observed on 14th and 15th day respectively for these samples. The rise and peak in EP can occur, among other factors, as a result of biochemical and hormonal reactions resulted from stress caused by the cutting step in processing. These reactions aims to reduce stress and repair the damage caused (Sakr et al., 1997).
The EP is reported to be one of the factors that might increase RR, this happens because ethylene is responsible for the expression of enzymes involved in the production of CO2 (Brecht, 1995). This explains in part, why the peak at RR of samples maintained at 15°C occurred on the 2nd day of storage, since the highest EP were observed in this treatment at the same time.
The browning index (BI) of the samples stored at 15, 10 and 5°C exceeded the visual limit marketing score at the 6th, 10th and 16th days of storage respectively (Figure 2). Samples kept at 0°C retained commercial appearance until the 20th day. During the entire experiment, were not observed symptoms of chilling injury in the samples. The BI trend in this study was different from that observed in minimally processed spinach, which exceeded the acceptable visual quality after 8 and 6 days of storage at 4 and 10°C, respectively (Pandrangi and Laborde, 2004).

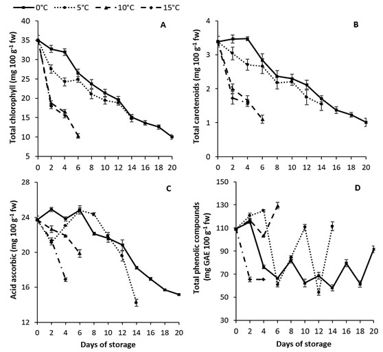
There was a constant decrease in total chlorophyll content (Figure 3A) of minimally processed escarole regardless of the storage temperature. The decrease of carotenoids (Figure 3B) followed the same trend as the chlorophyll. The loss of pigments was higher (p<0.01) in the leaves stored at 15 and 10°C, which did not differ from each other. These samples showed losses of pigments equivalent to 44% at the 4th day for both temperatures, reaching 69% compared to the initial value for the samples kept at 10°C on the 6th day of storage for both chlorophyll and carotenoids content.

The loss of chlorophyll of the samples stored at higher temperatures can be related to the EP in these treatments, since more significant losses were observed in the corresponding ethylene peaks days. It could be possible that endogenous ethylene might accelerates senescence in some leaves species, which it is perceptive by the loss of color in the leaves, which may turns on the browning and darkening of the tissue (Ferrante and Maggiore, 2007; Koukonaras et al., 2007).
There were no differences between the pigment content of samples stored at 0 and 5°C from 6th to the end of storage. These samples showed a loss corresponding to 53% at the 14th day and 70% of the initial value for samples kept at 0°C on the last day of analysis. These samples showed slower reduction of pigments content than the others due to the reduction on their metabolic activities.
It was observed a decrease in the ascorbic acid content (AA) in all samples, regardless of temperature (Figure 3C). It was found that AA degradation trend has also occurred due to high temperatures and storage times. The AA was higher (p<0.01) on samples kept at 0 and 5°C; these ones only differ after the 12th day, period which the samples maintained at 5°C exhibited smaller AA content.
Samples at 0°C maintained 63% of the initial value of AA at the 20th day of storage, while those stored at 5°C, retained 60% at the 14th day. It is known that the content of AA in fruits and vegetables generally tends to fall as a function of temperature and storage and additionally to processing, this acid could be oxidized and used by defense mechanisms and reactions (Ferrante et al., 2007; Sasaki et al., 2014).
The lower AA content was observed in samples stored at 5°C, it may have occurred due to ethylene production peak shown on the 14th day. Losses on the ascorbic acid levels can also be accelerated by the damage caused by cutting on the minimal processing, which stimulates reactions of defense that use this acid as substrate; other stress conditions such as exposure to heat or cold, alkaline medium and long term storage contributes to reduction of content of the acid plants (Lee and Kader, 2000; Franco, 2008). The AA deterioration behavior on minimally processed escaroles can be classified as a vegetable that has a medium average retention rate of AA, which varies between 60 and 83%, values very similar of the ones observed on broccoli stored at 2°C for 21 days (Lee and Kader, 2000).
Total phenolic compounds (TPC) of the samples showed variations (P<0.01) during storage (Figure 3D). There was an elevation on TPC in the samples kept at 10°C in the 6th day. The samples kept at 0 and 5°C showed differences at the 4th, 10th and 14th days. The 5°C samples exhibited a peak of these compounds at the 4th, 10th and 14th days. Samples at 0°C showed minor variations until the end of the experiment.
Variations on TPC during storage might occur by several factors, such as the commodity, enzymatic activity, storage temperature, stage of development, respiration, ethylene and processing (Martínez-Hernández et al., 2013). Variations on TPC of minimally processed lettuce were also observed during storage at different temperatures by Ferrante et al. (2009). It may occur free conversions or oxidation reactions between the phenolic groups, likewise they might be product of specific defense enzymes such as phenylalanine ammonia lyase and polyphenoloxidase (Ferrante and Maggiore, 2007; Ferrante et al., 2009).
The lower TPC in samples stored at 0°C could may have caused by the reduction of metabolic reactions, reflected by the low respiratory rate and ethylene production of the leaves. The initial values for TPC were 109.13 mg GAE 100 g-1 FW, varying between 61 and 129.30 mg GAE g-1 FW during storage. These values were higher than those observed in several lettuce cultivars stored at different temperatures, which have varied from 2 to 3.1 mg GAE 100 g-1 FW (Serea et al., 2014).
The fisiology and conservation of visual and nutritional qualities of minimally processed escarole is directly dependent of the storage temperature. The temperature of 0°C is recommendable for maintained the quality of this product up to 20 days; this temperature provided lesser respiratory rate, delayed browning and also have preserved successfully the ascorbic acid content and pigments of this vegetable. Considering economic safes, the temperature storage 5°C can also be recommended for preserving the minimally processed escarole for up to 14 days, while 10°C and 15°C caused rapidly deterioration, with only 6 and 4 days of shelf-life.
Acknowledgements
To Fapesp 2016/01201-8 for supporting the research and CAPES (Coordination of Improvement of Higher Education Personnel) for Master scholarship
Cited literature
Brecht, J.K. 1995. Physiology of lightly processed fruits and vegetables. HortSci., 30:1-14.
Carvalho, C.R.L., Mantovani, D.M.B., Carvalho, P.R.N. and Moraes, R.M. 1990. Análises Químicas: Manual técnico, Campinas, ITAL. pp 121.
Cozzolino, R., Martignetti, A., Pellicano, M.P., Stocchero, M., Cefola, M.; Pace, B. and De Giulio, B. 2016. Characterization of volatile profile and sensory analysis of fresh-cut "Radicchio di Chioggia" stored in air or modified atmosphere. Food Chem., 192:603-611.
Feltrim, A.L., Cecílio Filho, A.B., Rezende B.L.A and Barbosa, J.C. 2008. Crescimento e acúmulo de macronutrientes em chicória coberta e não coberta com polipropileno. Hortic.Bras., 26:050-055.
Ferrante, A. and Maggiore, T. 2007. Chlorophyll fluorescence measurements to evaluate the storage team and temperature of Valeria-nella leafy vegetables. Postharv.Biol.Tech., 45:73- 80.
Ferrante, A., Martinetti, L. and Maggiore, T. 2009. Biochemical changes in cut vs. intact lamb's lettuce (Valerianella olitoria) leaves during storage. Inter.J.Food.Sci.Tech., 44:1050-1056.
Franco, G. 2008. Tabela de composição química dos alimentos. São Paulo, Atheneu. 307 pp.
Hernández, A.E., Marquez Cardozo, C.J., Restrepo Flores, E.C., Cano Salazar, J.A. and Patiño Gomez, J.H. 2014. Aplicación thermal tratamiento y recubrimiento comestible chemical baño as tratamientos poscosecha for her conservación of hortalizas minimally processadas. ActaAgro., 63:1-10.
Koukounaras, A., Siomos, A.S. and Sfakiotakis, E. 2007. Postharvest CO2 and ethylene production and quality of rocket (Eruca sativa Mill.) leaves the leaf affected by age and storage temperature. Postharv.Biol.Tech., 46:167-173.
Lee, S.K. and Kader, A.A. 2000. Preharvest and postharvest factors Influencing vitamin C content of horticultural crops. Posthar.Biol.Tech., 20:207-220.
Lichtenthaler, H.K. 1987. Chlorophylls and carotenoids: photosynthetic pigments of biomembranes. Meth.Enzymol., 148:350-382.
Martínez-Hernández, G.B., Artés-Hernández, F., Gómez, P.A., Ana C., Formicac, A.C. and Artés, F. 2013. Combination of electrolysed water, UV-C and superatmospheric O2 packaging for improving fresh-cut broccoli quality. Postharv.Biol.Tech., 76:125–134.
Mattos, L.M., Moretti, C.L., Chitarra, A.B.A. and Chitarra, M.I.F. 2008. Respiratory activity and ethylene evolution of fresh-cut crisphead lettuce stored under two temperatures. Sci.Agrotecn., 32:1985-1990.
Oliveira, M., Abadias, M., Usall, J., Torres, R., Teixido, N. and Vinas, I. 2015. Application of modified atmosphere packaging as a safety approach to fresh-cut fruits and vegetables: a review. TrendsFoodSci.&Tech., 46:13-26.
Pandrangi, S. and Laborde, L.F. 2004. Retention of folate, carotenoids, and other quality characteristics in commercially packaged fresh spinach. J.Food.Sci., 69:702-707.
Pen, L.T. and Jiang, Y.M. 2003. Effects of chitosan coating on shelf life and quality of fresh-cut Chinese water chestnut. LWT.Food.Sci.Tech., 36:359–364.
Sakr, S., Noubahni, M. and Bourbouloux, A. 1997. Cutting, ageing and expression of plant membrane transporters. Biochim.Biophy.Acta, 1330:207-216.
Sasaki, F.F.C., Del Aguila, J.S., Gallo, C.R., Jacomino, A.P. and Kluge, R.A. 2014. Physiological, qualitative and microbiological changes of minimally processed squash stored at different temperatures. Iberoamer.J.Tech. Postc., 15:210-220.
SAS Institute. 2011. SAS/STAT 9.3: user´s guide. Cary, 8621 pp.
Serea, C., Barna, O., Manley, M. and Kidd, M. 2014. Effect of storage temperature on the ascorbic acid content, total phenolic content and antioxidant activity in lettuce (lactuca sativa l.). The Journal of Animal & Plant Sciences, 24: 1173-1177.
Singleton, V.L. and Rossi, J.A. 1965. Colorimetry of the total phenolics with phosphomolybdic phosphotungstic acid reagents. Amer.J.Enol.Viticult., 16:144-158.
Smyth, A.B., Song, J. and Cameron, A.C. 1998. Modified atmosphere packaged cut Iceberg lettuce: effect of temperature and CO2 partial pressure on respiration and quality. J.Agricult.Food.Chem., 46:4556-4562.
Spinardi, A. and Ferrante, A. 2012. Effect of storage temperature on quality changes of minimally processed baby lettuce. J.Food.Agricult.Environ., 10:38-42.
Tiveron, A.P., Melo, P.S., Bergamaschi, K.B., Vieira, T.M.F.S., Regitano-D'Arce, M.A.B. and Alencar, S.M. 2012. Antioxidant activity of Brazilian vegetables and its relation with phenolic composition. Inter.J.Mol. Sci., 13:8943-8957.
Author notes