Reportes Procesamiento
Efecto del recubrimiento con mucílago de nopal (Opuntia ficus-indica) en la conservación de Rambután (Nephelium lappaceum L.) mínimamente procesado
Effect of nopal mucilage coating (Opuntia ficus-indica) on the conservation of Rambutan (Nephelium lappaceum L.) minimally processed
Efecto del recubrimiento con mucílago de nopal (Opuntia ficus-indica) en la conservación de Rambután (Nephelium lappaceum L.) mínimamente procesado
Revista Iberoamericana de Tecnología Postcosecha, vol. 21, núm. 1, 2020
Asociación Iberoamericana de Tecnología Postcosecha, S.C.
Recepción: 26 Abril 2020
Aprobación: 01 Junio 2020
Publicación: 30 Junio 2020
Resumen: El rambután (Nephelium lappaceum L.) fue introducido a México en 1959. Actualmente se estima una superficie sembrada de 835.96 ha y una producción de 8,730.27 toneladas. El fruto se consume principalmente en fresco, pero pierde rápidamente su apariencia externa debido a la deshidratación y el oscurecimiento, lo que limita su comercialización, una alternativa puede ser el procesado mínimo y tratamientos coadyuvantes que alarguen la vida de anaquel. El objetivo de este trabajo fue evaluar el efecto del recubrimiento con mucílago de nopal (Opuntia ficus-indica), en la conservación de rambután mínimamente procesado y almacenado a 5°C, en dos tipos de envase. El rambután se sanitizó con agua clorada (80 ppm), se eliminó el epicarpio y se formaron lotes para cada tratamiento. Los factores fueron tipo de envase (bolsa de polietileno y recipiente de poliestireno), recubrimiento (con y sin recubrimiento) y tiempo (0, 3, 6, 10 y 12 d). El recubrimiento consistió en mucílago obtenido de cladodios en desarrollo (15-21 cm), aplicado por inmersión. Todos los tratamientos se almacenaron a 5°C. En cada periodo de almacenamiento se evaluaron los sólidos solubles totales (SST), la firmeza (N) y el color (L*, a*, b*, croma y ángulo hue). Asimismo, 40 jueces no entrenados (47% hombres y 53% mujeres) evaluaron aceptabilidad sensorial, intención de consumo y aceptación/rechazo. Los resultados mostraron efecto significativo (p≤0.05) del tipo de envase en la firmeza, croma y ángulo hue. El recubrimiento tuvo efecto sobre el valor L* y la aceptabilidad del producto. La intención de consumo fue mayor, y se mantuvo por 10 días, en los frutos con recubrimiento y envasados en bolsa de polietileno, almacenados a 5°C.
Palabras clave: mucílago de nopal, procesado mínimo, calidad sensorial, rambután.
Abstract: Rambutan (Nephelium lappaceum L.) was introduced to Mexico in 1959. Currently it is estimated a planted area of 835.96 ha and a production of 8,730.27 tons. The fruit is consumed mainly fresh, but it quickly loses its external appearance due to dehydration and darkening, which limits its commercialization. An alternative may be minimal processing and adjuvant treatments that extend shelf-life. The objective of this work was to evaluate the effect of coating with nopal mucilage (Opuntia ficus-indica), on the conservation of rambutan minimally processed and stored at 5 ° C, in two types of packaging. Rambutan was sanitized with chlorinated water (80 ppm), the epicarp was removed, and batches were formed for each treatment. The factors were type of packaging (polyethylene bag and polystyrene container), coating (with and without coating) and time (0, 3, 6, 10 and 12 d). The coating consisted of mucilage obtained from developing cladodes (15-21 cm), applied by immersion. All treatments were stored at 5 ° C. Total soluble solids (SST), firmness (N) and color (L *, a *, b *, chroma and hue angle) were evaluated in each storage period. Likewise, 40 untrained judges (47% men and 53% women) evaluated sensory acceptability, consumption intention and acceptance / rejection. The results showed a significant effect (p≤0.05) of the type of container on firmness, chroma and hue angle. The coating had an effect on the L * value and the acceptability of the product. The intention of consumption was higher, and it was maintained for 10 days, in the fruits with coating and packaged in a polyethylene bag, stored at 5 ° C.
Keywords: nopal mucilage, minimal processing, sensory quality, rambutan.
INTRODUCCIÓN
El rambután (Nephelium lappaceum L.), de la familia Sapindaceae, tiene sus orígenes en Malasia e Indonesia. Fue introducido a México en 1959 por la región del Soconusco en Chiapas, con semillas procedentes de Malasia. En América se cultiva en países tropicales como Colombia, Ecuador, Honduras, Costa Rica, Trinidad y Tobago, Cuba y México (Castillo-Vera et al., 2017).
En México, la producción se obtiene principalmente en Chiapas, seguido de Tabasco y Nayarit. A nivel nacional se estima una superficie sembrada de 835.96 ha y una producción de 8,730.27 toneladas, con valor de más de 10 millones de pesos. Asimismo, se considera que existen unas 50, 000 plantas de traspatio, y huertos aún no registrados (SAGARPA, 2016). La producción en Tabasco se ubica principalmente en el municipio de Teapa, donde se han introducido clones provenientes de Chiapas.
De acuerdo con la Asociación Hondureña de Productores y exportadores de rambután (AHPERAMBUTAN, 2006), el fruto contiene un 82% de agua. Sin embargo, es rico en vitaminas y minerales, entre las que destaca la vitamina C y otras vitaminas del complejo B, como el ácido fólico. Tiene elevado contenido de potasio y en menor cantidad otros minerales como el magnesio. El fruto es rico en hidratos de carbono y proporciona un importante aporte de fibra.
El consumo del fruto es principalmente en fresco, extrayendo la pulpa y separando la semilla, también puede guisarse y utilizarse en postres. En Tailandia se elabora en almíbar ya sea sólo o combinado con piña, también se comercializa en jugo o el fruto entero congelado (Godoy y Reyes, 2007). En México el rambután se comercialización principalmente en fresco, debido a su atractivo color y forma. Sin embargo, su buena apariencia se conserva por poco tiempo, debido principalmente a la deshidratación y oscurecimiento del epicarpio (Hernández-Arenas et al., 2012). García-Gurría et al. (2013) observaron que la pérdida de peso fue mayor al 10% luego de tres días de almacenamiento en condiciones ambientales, lo cual afecta la apariencia del producto. De acuerdo con Fiszman (2005), los colores vivaces y uniformes de los frutos, así como el aspecto fresco, determinan la aceptabilidad de los frutos por los consumidores.
Si bien la aceptabilidad comercial del rambután puede verse afectada rápidamente, por su apariencia externa, García-Gurría et al. (2013) observaron que el deterioro externo no influyó en la calidad interna del fruto, cuyas características sensoriales internas se mantuvieron hasta por 9 d, dependiendo del tipo de envase. En este sentido, es importante considerar alternativas de conservación del fruto más allá de su apariencia externa, con la finalidad de ampliar sus ámbitos de aprovechamiento y comercialización. Una de estas alternativas puede ser el procesado mínimo.
El procesado mínimo de frutas consiste en la aplicación de operaciones como lavado, sanitizado, pelado, troceado, y el uso de tratamientos parciales de conservación como calentamiento mínimo, inmersión en agua clorada, uso de agentes conservantes, control de pH, radiación UV, envasado en atmósferas modificadas y refrigeración, lo que permite obtener productos listos para el consumo, y con las características sensoriales y nutricionales de los frutos recién cortados (Márquez y Pretell, 2013).
No obstante, este proceso también tiene desventajas, como un aumento en la velocidad de las reacciones biológicas, que implica un rápido deterioro de las características fisicoquímicas y sensoriales deseables, y mayor velocidad de los cambios indeseables, como el crecimiento microbiano (González et al., 2016).
Uno de los primeros cambios observados en los frutos mínimamente procesados es la pérdida de humedad superficial, lo que provoca una apariencia opaca. Al respecto, Cook (2004) indica que la apariencia es el primer atributo percibido por el consumidor, y se asocia directamente con la frescura del producto, por lo que influye directamente en la decisión de compra. Asimismo, González et al. (2016) observaron que los atributos con mayores cambios en el rambután mínimamente procesado son la frescura, el aroma y la apariencia. En este sentido, una alternativa para reducir la pérdida de calidad puede ser la aplicación recubrimientos comestibles, los cuales, que aunados a un envase adecuado pueden coadyuvar en la conservación de los frutos mínimamente procesados. La aplicación de películas y recubrimientos comestibles, tanto en frutos frescos como mínimamente procesados, ha generado avances en cuanto a la evaluación de sus efectos sobre la conservación de los productos, en sinergia con otros tratamientos (Quintero et al., 2010). De acuerdo con Ramos-García et al., (2010), un recubrimiento comestible es una matriz continua y delgada, que se estructura alrededor del producto generalmente mediante inmersión en la solución formadora de recubrimiento.
Uno de los productos potenciales para el recubrimiento de frutos puede ser el mucílago de nopal (Opuntia ficus-indica), un compuesto complejo capaz de formar redes moleculares y retener fuertemente grandes cantidades de agua. Este mucílago es un biopolímero compuesto por polisacáridos semejantes a las pectinas, y sus características reológicas sugieren un potencial importante de utilización como materia prima en la industria química y alimentaria (Gutiérrez-Cortez et al., 2011).
De acuerdo a lo anterior, el objetivo de este trabajo fue evaluar el efecto del recubrimiento con mucílago de nopal, en la conservación de rambután mínimamente procesado y almacenado a 5°C, en dos tipos de envase.
METODOLOGÍA
Los frutos de rambután se cosecharon en madurez de consumo, en el estado de Chiapas, y se trasladaron el mismo día a los laboratorios del Centro de Investigación de Ciencias Agropecuarias (CICA) en la División Académica de Ciencias Agropecuarias (DACA) de la UJAT. Los frutos fueron seleccionados para eliminar los frutos dañados y obtener una muestra homogénea.
Los frutos para el experimento se sanitizaron por inmersión en agua clorada a 80 ppm y luego se eliminó el exceso de humedad mediante un escurridor para vegetales. El proceso se realizó medidas de higiene consistentes en el uso de bata de laboratorio, cubre boca, cofia y guantes de látex. Asimismo, se sanitizó el área de trabajo, envases, superficies y utensilios, con una solución de cloro a 200 ppm.
El mucílago de nopal utilizado para recubrir los frutos se obtuvo de cladodios en desarrollo (nopal verdura) de 15 a 21 cm de longitud, los cuales fueron desespinados en forma manual, lavados y luego escaldados por inmersión durante 30 s en agua a punto de ebullición. Posteriormente los nopales fueron cortados en juliana y triturados en una licuadora casera con adición del agua necesaria para realizar el proceso, el producto fue licuado durante 4 a 5 minutos y luego filtrado en un colador de maya fina.
Procesado y aplicación de tratamientos
El proceso consistió en la eliminación el epicarpio de los frutos, para lo cual se realizó un corte longitudinal superficial sin dañar la pulpa y posteriormente se separó el epicarpio manualmente para obtener el resto del fruto (pericarpio y semilla). El producto obtenido se separó en dos lotes, uno de los cuales fue tratado con el mucílago de nopal mediante inmersión durante 2 min, el exceso se eliminó mediante una centrífuga casera para vegetales. Luego los frutos de cada lote se asignaron a los diferentes tratamientos resultantes de las combinaciones de los factores: recubrimiento y tipo de envase, como se muestra en el cuadro 1. Así, el producto de cada tratamiento, con o sin recubrimiento con mucílago de nopal, se colocó en recipientes de poliestireno con tapa, previamente sanitizados, o bien en bolsas de polietileno marca Ziploc(MR). Todos los tratamientos fueron almacenados a 5°C durante los diferentes tiempos establecidos (Cuadro 1).

De cada uno de los tratamientos se prepararán muestras para la evaluación sensorial y muestras para la evaluación de las variables fisicoquímicas y seguimiento del cambio de color. En total se preparó un total de 24 recipientes de diferente capacidad por cada tiempo de evaluación: 0, 3, 6, 10 y 12 días.
Las variables fisicoquímicas de color, firmeza y SST se determinaron con 10 repeticiones, la unidad experimental fue un fruto. En la evaluación sensorial afectiva se utilizaron muestras de 15-20 g de producto, servido y presentado para a los jueces en recipientes de poliestireno (3 frutos/envase), codificados con números aleatorios de tres cifras.
En cada fecha de evaluación y para cada periodo de almacenamiento se evaluaron los cambios fisicoquímicos y la aceptabilidad sensorial.
Variables fisicoquímicas
El contenido de SST se determinó mediante un refractómetro digital ATAGO PR-101, para lo cual se colocó una gota del jugo de la fruta cortada y se tomó la lectura correspondiente. La firmeza se determinó como la fuerza (N) necesaria para introducir un punzón cónico en la pulpa del fruto, la determinación se realizó con un penetrómetro Chatillón provisto de un punzón cónico de 1.2 mm de diámetro.
El color, se midió con un colorímetro Minolta Croma Meter CR-300, usando el sistema CIE Lab. A partir de las coordenadas L*, a*, y b* se calcularon los parámetros derivados: croma (C*) y ángulo hue (h°) mediante las ecuaciones (1) y (2).
(1)
(2)Donde: C* = croma; a* = coordenada a* del color; b* = coordenada b* del color; h° = ángulo hue
Evaluación Sensorial
La evaluación sensorial se llevó a cabo mediante una prueba afectiva, con 40 jueces no entrenados (47% hombres y 53% mujeres) quienes evaluaron la aceptabilidad general del producto, usando una escala hedónica de nueve puntos. Asimismo, se determinó la intención de consumo y la aceptación/rechazo de las muestras de los diferentes tiempos de almacenamiento.
Análisis estadístico
Los datos obtenidos de las variables fisicoquímicas fueron analizados mediante prueba de t-student para muestras independientes para los efectos de tipo de envase y aplicación de recubrimiento, y mediante ANOVA para un diseño completamente aleatorizado, para determinar diferencias significativas debido al efecto del tiempo de almacenamiento. Asimismo, se realizó una prueba de Tukey para identificar las diferencias entre los tratamientos. En todos los casos las pruebas se realizarán con un grado de confiabilidad del 95% (α=0.05). Los análisis se realizaron con el Software Estadístico STATGRAPHICS Plus. Los datos de los cambios sensoriales se analizaron mediante estadística descriptiva para determinar las diferencias en la aceptabilidad de los tratamientos y obtener los porcentajes de aceptación y rechazo del producto en cada periodo de almacenamiento.
RESULTADOS
Cambios fisicoquímicos
Los resultados indicaron que el contenido de SST fue influenciado significativamente solamente por el tiempo de almacenamiento. En este sentido, si bien los valores fueron ligeramente mayores, y disminuyeron más paulatinamente en los frutos con recubrimiento, estas diferencias no fueron estadísticamente significativas (p≥0.05) (Figura 1(A)).
En lo que respecta a la firmeza, esta fue afectada significativamente (p≤0.05) por el tipo de envase, los valores fueron menores en los frutos envasados en bolsa, respecto a los envasados en recipiente. Asimismo, la firmeza disminuyó significativamente (p≤0.05), con el tiempo de almacenamiento en todos los tratamientos. Sobre la firmeza, el recubrimiento no tuvo efecto significativo (p≥0.05) (Figura 1(B)).
En el caso del valor L, esta variable fue afectada significativamente (p≤0.05) por los diferentes factores evaluados. En cuanto al envase, se observaron valores significativamente mayores (p≤0.05) en los frutos envasados en bolsa, respecto a los envasados en recipiente. Asimismo, los valores de L fueron significativamente mayores (p≤0.05) en los frutos con recubrimiento que en los que no recibieron dicho tratamiento. Al incrementarse el tiempo de almacenamiento los valores de L se incrementaron paulatinamente, siendo consistentemente mayores en los frutos con recubrimiento a lo largo de tiempo de evaluación (Figura 1(C)).

Al respecto, Quintero et al. (2010) indican que los recubrimientos generan una atmósfera modificada que influye en la transferencia de solutos, solventes y gases entre el producto y el ambiente; también pueden migrar sustancias desde la matriz, formada por el recubrimiento en la superficie, hacia el producto, con efectos positivos como la reducción del crecimiento microbiano o la preservación de características deseables como el brillo y el color de los frutos. Asimismo, estos autores indican que es deseable el uso de biomateriales, lo que incrementa los beneficios para el consumidor.
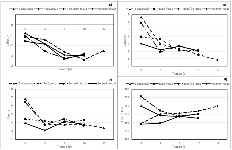
En el caso de los valores a* y b* del color, solo se observó efecto significativo (p≤0.05), del tiempo de almacenamiento, es decir, no se observó efecto significativo (p≥0.05) del envase ni del recubrimiento sobre el comportamiento de estas variables (Figura 2(D) y Figura 2(E)). Sin embargo, si se observó efecto significativo (p≤0.05) del tipo de envase sobre croma y hue, ambas variables tuvieron valores mayores en los frutos envasados en bolsa, respecto a los colocados en recipientes (Figura 2(F) y Figura 2(G)).
En el caso del recubrimiento con mucílago, este factor no tuvo efecto significativo (p≥0.05) en *a, b* y croma, pero si tuvo efecto altamente significativo (p≤0.01) en el ángulo hue, cuyos valores fueron mayores en los frutos sin recubrimiento.
En cuanto al tiempo de almacenamiento, éste tuvo efecto altamente significativo (p≤0.01) sobre los valores a*, b* y croma, en excepción del ángulo hue. Los valores de estas variables disminuyeron con el paso del tiempo, en todos los casos. Sin embargo, se observaron valores ligeramente mayores en los frutos con recubrimiento a lo largo del tiempo de almacenamiento, los cuales fueron estadísticamente significativas (p≤0.05).
En el caso del ángulo hue, los valores tendieron a disminuir en los frutos sin recubrimiento, a lo largo del tiempo, mientras en los frutos con recubrimiento mucilaginoso, los valores mostraron ligero aumento con el paso del tiempo. Cabe subrayar que los cambios en el ángulo hue no fueron significativos (p≥0.05) debido al factor tiempo de almacenamiento, lo cual indica que la evolución de esta variable mostró cambios similares en todos los tratamientos a lo largo de experimento (Figura 2(G)).

En relación con el efecto del recubrimiento sobre el color de los frutos, Del Valle et al., (2005) observaron que el mucílago de nopal aplicado en fresa (Fragaria ananassa) permitió mantener la textura y el color del fruto.
Cabe resaltar, que en el caso del rambután los pigmentos coloreados se encuentran en el epicarpio, el cual fue eliminado en el proceso, por lo que en este caso los cambios están más relacionados con la apariencia general relacionada con la translucidez, el brillo o la opacidad de la pulpa del fruto.
Al respecto, Biquet y Labuza (1988) indicaron que el recubrimiento ayuda a mejorar la apariencia del producto, lo cual, en este caso, se relaciona más directamente con el valor L* o luminosidad de la superficie del producto y que está determinada por la cantidad de luz que refleja.
Cambios sensoriales
Los cambios en la aceptabilidad sensorial fueron evidentes al tercer día de almacenamiento, mientras que los frutos con recubrimiento mantuvieron calificaciones superiores a 6.0 y 7.0, en las muestras en bolsa de polietileno y recipiente de poliestireno, respectivamente, los frutos sin recubrimiento y en recipiente tuvieron aceptabilidad de 5.0, y los puestos en bolsa superaron apenas valores de 3.0. (Figura 3(H)). Esta tendencia se mantuvo en el sexto día, con la disminución de la aceptabilidad de los frutos en recipiente y sin recubrimiento, mientras que los frutos con recubrimiento mantuvieron valores superiores a 6.0 en ambos envases. Luego de 10 días de almacenamiento las muestras sin recubrimiento ya no fueron evaluadas debido al deterioro excesivo, en esta fecha las muestras en bolsa y con recubrimiento tuvieron valores superiores a 6.0, mientras que los frutos puestos en bolsa apenas superaron calificaciones de 5.0. Luego de 12 días solo se evaluaron los frutos con recubrimiento y envasados en bolsa, las calificaciones fueron apenas superiores a 4.0, correspondiente a me disgusta poco (Figura 3(H)).
La baja aceptabilidad sensorial del rambután sin recubrimiento, podría estar relacionado con los cambios en frescura, aroma y apariencia reportados por González et al. (2016) en el rambután mínimamente procesado, a la par del desarrollo de olores y sabores extraños.
En cuanto a la intención de consumo, ésta siguió un comportamiento similar al observado en la aceptabilidad del producto. Al inicio la intención de consumo fue cercana al 70% y superior al 80% en el caso de los frutos sin recubrimiento envasados en bolsa de polietileno. Sin embargo, al tercer día este tratamiento obtuvo una intención de consumo cercana al 5%, mientras que el producto en envase rígido estuvo cerca del 40%. En contraste, los frutos con recubrimiento envasados en bolsa obtuvieron una intención de consumo ligeramente superior al 70% y hasta un 80% los envasados en recipiente (Figura 3(I)).
Después de 10 días, ambos tratamientos sin recubrimiento alcanzaron intención de consumo cercana al 20%, mientras que los frutos con recubrimiento mantuvieron valores cercanos al 60%. En el décimo día solamente los frutos con recubrimiento fueron evaluados debido al deterioro observado en los frutos sin el tratamiento. Los valores obtenidos fueron cercanos al 80% en el caso del producto envasado en bolsa de polietileno y apenas superior al 40% en los frutos puestos en recipiente de polipropileno. Finalmente, en el doceavo día solamente los frutos en bolsa fueron evaluados y obtuvieron una intención de consumo menor al 50% (Figura 3(I)).

Los resultados obtenidos en la intención de consumo son la contraparte del porcentaje de rechazo que se muestra en la Figura 4. En ésta puede observarse como se incrementa el porcentaje de jueces consumidores que rechazan el producto de los diferentes tratamientos en función del tiempo de almacenamiento. En este sentido, se observa que los frutos con aplicación de recubrimiento y envasados en bolsa, cercano al 25% luego de 10 días de almacenamiento, y superaron el porcentaje de rechazo de 50% hasta los 12 días de almacenamiento (Figura 4).

Al respecto, Liu et al., (2007) indican que los recubrimientos comestibles, además de aportan sus propiedades para conservar el producto, deben ser compatibles organolépticamente con el fruto. Es decir, no deben interferir o alterar las propiedades deseables tales como el olor o el sabor. En este sentido, los resultados obtenidos indican la aplicación del recubrimiento a base de mucílago de nopal, permitió conservar el producto sin afectar las características organolépticas del mismo, lo cual podría verse reflejado como baja aceptabilidad del producto por los consumidores.
Estos resultados indican que, si bien la vida útil del rambután es de tan solo tres a cuatro días para comercialización en fresco, este margen de comercialización puede ser de hasta 10 días como producto mínimamente procesado, envasado en el material adecuado y con los tratamientos coadyuvantes que complementen el efecto de la refrigeración para conservar el producto. Cabe resaltar, que el rambután es un producto exótico, novedoso y de excelente sabor, lo que podría favorecer su introducción en los mercados ávidos de nuevas propuestas.
Por otro lado, Ponce et al., (2008), indican que los consumidores exigen que los productos frescos y mínimamente procesados estén exentos de sustancias químicas sintéticas y buscan los que contienen sustancias de origen natural, que proporcionen beneficios a la saludo y mantengan las características nutritivas y los atributos sensoriales de los alimentos. De esta manera, la tendencia se inclina hacia la búsqueda de sustancias de origen natural como coadyuvantes de la conservación de los alimentos, lo que abre las posibilidades para productos naturales funcionales como el mucílago de nopal.
CONCLUSIONES
El recubrimiento con mucílago de nopal favoreció valores mayores de L* y mayor aceptabilidad sensorial del rambután, independientemente del tipo de envase. Asimismo, la intención de consumo fue mayor, y se mantuvo hasta por 10 días, en los frutos con recubrimiento y envasados en bolsa de polietileno, almacenados a 5°C.
LITERATURA CITADA
Asociación Hondureña de Productores y Exportadores de Rambután (AHPERAMBUTAN) (2006). Boletín Rambután. Honduras. pp. 2 Recuperado de http://www.fhia.org.hn/dowloads/diversificacion_pdfs/br3.pdf
Biquet, B., Labuza, T.P. 1988. Evaluation of the moisture permeability of chocolate films as edible moisture barrier. Journal of Food Science, 53: 989-991.
Castillo-Vera, A., López-Guillén, G., Sandoval-Esquivez, A. (2017). La historia del cultivo de rambután (Nepheliumlapacceum L.) en México. Agro Productividad. 2017;10(9):53–7.
Cook, R. 2004. Trends in the Marketing of Fresh Produce and Fresh‐cut Products. (September 2004). University of California Davis, CA.
Del-Valle, V., Hernández-Muñoz, P., Guarda, A., Galotto M., J. (2005). Development of a cactus-mucilage edible coating (Opuntia fi cus indica) and its application to extend strawberry (Fragaria ananassa) shelf life. Food Chemistry. 91, 751 – 756.
Fiszman, S. (2005) Análisis sensorial aplicado a la evaluación de las frutas y hortalizas cortadas. In: Nuevas Tecnologías de Conservación de Productos Vegetales Frescos Cortados. G. A. González A. y F. Cuamea-Navarro (eds.). CIAD, Sonora, México. pp:523-537.
García-Gurria, L., Salinas-Hernandéz, R. M.; Ulín-Montejo, F., Petit, J., Báez-Sanudo, R., Mercado, R. J., Garcia, R. J. M., Pérez, B. J. E. 2013. Efecto del envasado en la conservación de frutos de rambután (Nephelium lappaceum L.) almacenado en refrigeración. Revista Iberoamericana de Tecnología Postcosecha 14(2): 101-108.
Godoy, T. G. C., Reyes, N. 2007. Estudio de sector: Rambután. Programa Interinstitucional integrado para diversificación de las exportaciones en Honduras (PIIDEH). Tegucigalpa. 87p. [En línea] Recuperado el 12 de junio 2013. Disponible en http://www.sic.gob.hn/promocion/new%20folder/estudio%20de%20sector%20 rambutan.pdf.
González, G. G., Salinas, H. R. M., Piagentini, A. M., Ulín, M. F, Miranda, C. E., Pirovani, M. E. (2016). Kinetic Parameters of Changes in Sensory Characteristics of Minimally Processed Rambutan, International Journal of Fruit Science, 16:2, 159-170, DOI: 10.1080/15538362.2015.1087360
Gutiérrez-Cortez, E., Rojas-Molina, I., Del Real, A., Paredes, M. E., Rodríguez, G. M. E. (2011). Condiciones de proceso de extracción de mucilago de nopal deshidratado. Revista Salud Pública y Nutrición. Edición Especial 5, 285.
Hernández-Arenas, M., Nieto-Ángel, D., Martínez-Damián, M. T., Teliz-Ortiz, D., Nava-Díaz, C., Bautista-Martínez, N. (2012). Almacenamiento postcosecha de rambutan en dos temperaturas y atmósferas modificadas. Interciencia, 37(7), 542-546.
Liu, L.S., Liu, C.K., Marshall, L., Hicks, K.B. 2007. Composite films from pectin and fish skin gelatin or soybean flour protein. Journal of Agricultural and Food Chemistry, 55: 2340-2355.
Márquez, L., Pretell, C. 2013. Irradiación UV-C en frutas tropicales mínimamente procesadas. Sci. Agropecuaria. 4(3):147-161.
Ponce, A. G., Roura, S. I., Del Valle, C. E., Moreira, M. R. (2008). Antimicrobial and antioxidant activities of edible coatings enriched with natural plant extracts: in vitro and in vivo studies. Postharvest Biology and Technology, (49) 294 – 300.
Quintero, C. J., Falguera, V. I., Muñoz, H. A. (2010). Películas y recubrimientos comestibles: importancia y tendencias recientes en la cadena hortofrutícola. Revista Tumbaga. 1 (5): 93-118.
Ramos-García, M. L., Bautista-Baños, S., Barrera-Necha, L. (2010). Compuestos antimicrobianos adicionados en recubrimientos comestibles para uso en productos hortofrutícolas. Revista Mexicana de Fitopatología, 28 (1), 44 – 57.
SAGARPA (Secretaría de Agricultura, Ganadería, Desarrollo Rural, Pesca y Alimentación). (2016). El rambután exótico y delicioso. Accessed 05 December 2017. From: https://www.gob.mx/sagarpa/articulos/el-rambutanexotico-y-delicioso.
Notas de autor