Reportes Procesamiento
Efecto de antioxidantes en la calidad fisicoquímica y sensorial de Jícama (Pachyrhizus erosus) mínimamente procesada
Effect of antioxidants on the physicochemical and sensory quality of jicama (Pachyrhizus erosus) minimally processed
Efecto de antioxidantes en la calidad fisicoquímica y sensorial de Jícama (Pachyrhizus erosus) mínimamente procesada
Revista Iberoamericana de Tecnología Postcosecha, vol. 21, núm. 1, 2020
Asociación Iberoamericana de Tecnología Postcosecha, S.C.
Recepción: 14 Abril 2020
Aprobación: 26 Mayo 2020
Publicación: 30 Junio 2020
Resumen: La jícama (Pachyrhizus erosus) es una leguminosa tropical originaria de México y América Central, que actualmente se utiliza extensamente en las barras de ensaladas de restaurantes en México. Esto debido a que su textura crujiente y su jugosidad la hacen un alimento apetitoso. Sin embargo, la jícama cortada enfrenta problemas de deterioro que disminuyen su vida de anaquel a menos de 8 días a 5°C. Uno de los principales problemas es el oscurecimiento, debido a un proceso de cicatrización de los tejidos que involucra la producción de lignina. El objetivo de este estudio fue determinar el efecto de antioxidantes sobre la conservación de las características fisicoquímicas y sensoriales de jícama mínimamente procesada y almacenada a 5°C. Se aplicaron, mediante inmersión, soluciones antioxidantes con un 0.25% de ácido cítrico y de ácido ascórbico, respectivamente. Posteriormente el producto se envasó en recipientes de polietileno con tapa y se almacenó en refrigeración a 5°C. Luego de 0, 3, 7, 10, 14, 16 días se determinaron las variables fisicoquímicas de sólidos solubles totales (SST), color, firmeza y pH. Asimismo se realizó una evaluación sensorial para evaluar la aceptabilidad de los atributos de apariencia, color, olor, sabor, textura y aceptabilidad general, así como para determinar la aceptación/rechazo del producto de cada tratamiento. Los resultados indicaron que, si bien el ácido cítrico fue el antioxidante más efectivo para mantener el color de la jícama cortada, su aplicación afectó significativamente el sabor y provocó un rechazo superior al 50%, superior al rechazo observado para el producto testigo y el adicionado con ácido ascórbico.
Palabras clave: antioxidantes, procesado mínimo, calidad sensorial, jícama.
Abstract: The jicama (Pachyrhizus erosus) is a tropical legume native of Mexico and Central America, which is currently widely used in restaurant salad bars in Mexico. This is because its crunchy texture and its juiciness make it an appetizing food. However, fresh-cut jicama faces deterioration problems that decrease its shelf-life to less than 8 days at 5 ° C. One of the main problems is the enzymatic browning, due to a process of cicatrization of plant tissue that involves the production of lignin. The objective of this study was to determine the effect of antioxidants on the conservation of the physicochemical and sensory characteristics of jicama minimally processed and stored at 5 ° C. Antioxidant solutions with 0.25% citric acid and ascorbic acid, respectively, were applied by immersion. Subsequently, the product was packed in polyethylene containers with a lid and stored under refrigeration at 5 ° C. After 0, 3, 7, 10, 14, 16 days, the physicochemical variables of total soluble solids (TSS), color, firmness and pH were determined. Likewise, a sensory evaluation was carried out to evaluate the acceptability of the attributes of appearance, color, odor, taste, texture and general acceptability, as well as to determine the acceptance / rejection of the product of each treatment. The results indicated that, although citric acid was the most effective antioxidant to maintain the color of the cut jicama, its application significantly affected the flavor and caused a rejection higher than 50%, superior to the rejection observed for the control and for the product added with ascorbic acid.
Keywords: antioxidants, minimal processing, sensory quality, jicama.
INTRODUCCIÓN
En los últimos años los consumidores han optado por consumir alimentos frescos, incorporando en su dieta una mayor proporción de frutas y hortalizas con el fin de adquirir los beneficios de estos. El consumo de hortalizas y frutas es importante para la salud debido a que son fuente natural de minerales, vitaminas, fibra alimentaria y agua, y además su aporte calórico es significativamente menor al de otros alimentos. Sin embargo, en América Latina el consumo de vegetales es menor a lo recomendado por la Organización de las Naciones Unidas para la Agricultura y la Alimentación (FAO) y por la Organización Mundial de la Salud (OMS), que es de 400 gramos de frutas y hortalizas por día y por persona. La principal razón de esto es el tiempo de elaboración prolongado que requiere la preparación y cocción de estos alimentos. Como solución a este inconveniente se presentan los vegetales mínimamente procesados (VMP), los cuales han sido acondicionados para su consumo directo (Parzanese, 2012; Divino y Martin, 2014). Sin embargo, si bien los VMP son benéficos y poseen mayor valor agregado, éstos tienen una vida media de aproximadamente 6 días bajo refrigeración, variando según el producto de que se trate y las condiciones de preparación y almacenamiento (Ruiz et al., 2010; Torales et al., 2010). La corta vida de anaquel de los VMP se debe al proceso que han sufrido. Las operaciones de pelado y cortado tienen como consecuencia un rápido deterioro de los vegetales debido a la ruptura del tejido vegetal, ocasionando el aumento de la tasa de respiración, la transpiración, la actividad enzimática y la proliferación microbiana (Nguyen-the y Carlin, 1994; Escobar et al. 2014). Estos procesos a su vez provocan la degradación del color, textura, sabor y aroma del producto, como también alteración microbiológica, estas reacciones provocan la pérdida de calidad sensorial y nutricional del vegetal, lo que puede provocar el rechazo del consumidor. Esta situación hace que las investigaciones se centren en la aplicación de métodos de conservación como lo son los tratamientos con antioxidantes, aplicación de agentes desinfectantes, envasado en atmósfera modificada, recubrimientos comestibles, tratamientos térmicos y almacenamiento bajo refrigeración, entre otros (Ahn et al., 2005; Escobar et al. 2014).
Por otro lado, dado que el oscurecimiento enzimático es la alteración más común que se presenta en frutas y hortalizas peladas y/o troceadas, y resulta un factor limitante en la vida útil de la gran mayoría de estos productos, el empleo de antioxidantes es necesario para minimizar o prevenir las reacciones enzimáticas de pardeamiento. Entre los antioxidantes utilizados se encuentran los ácidos orgánicos tales como el cítrico y el ascórbico. El ácido cítrico (C6H8O7) está presente naturalmente en varias frutas y hortalizas. Previene el oscurecimiento enzimático al actuar como agente quelante sobre el cobre de las enzimas PPO, además inhibe el crecimiento bacteriano debido a que produce la quelación de los iones metálicos que son esenciales para el desarrollo microbiano. Las concentraciones utilizadas para el ácido cítrico son normalmente de 0.1 – 0.3 %. El ácido L - ascórbico (vitamina C) se utiliza en frutas y hortalizas para evitar el pardeamiento y otras reacciones oxidativas. Diferentes derivados del ácido ascórbico se usan como inhibidores de la PPO. Este compuesto normalmente se añade junto con el ácido cítrico que tiende a mantener un pH ácido y, como se mencionó anteriormente, también actúa como quelante (Parzanese, 2012).
Hoy en día la demanda de VMP a nivel mundial ha crecido notablemente, tanto en países desarrollados como en países en desarrollo. Entre las especies hortícolas que se encuentran disponibles en el mercado como VMP destacan la lechuga, el repollo, el apio y la zanahoria (Defilippi y Campos, 2006). Asimismo, en México existen otras especies, como la jícama, que se consumen como producto fresco cortado. La jícama (Pachyrhizus erosus) es una leguminosa tropical originaria de México y América Central, fue cultivada por los mayas y Aztecas y llevada a otros países y continentes por los primeros exploradores españoles y portugueses. De acuerdo con Casanueva (1995), las raíces se cortan en tiras y se les adiciona jugo de limón, sal y chile, también se utiliza en ensaladas mezclada con otras verduras.
García y Mercado (2004) indican que la jícama se está introduciendo en algunos restaurantes como parte de la barra de ensaladas ya que su textura crujiente y su jugosidad la hacen un alimento apetitoso. De acuerdo con Mercado-Silva et al. (2006), si bien existe la costumbre de consumir la jícama como un producto mínimamente procesado, la tecnología aplicada es muy deficiente. Según Rivera (2015) La jícama mínimamente procesada enfrenta problemas de deterioro que disminuye su vida de anaquel a menos de 8 días a 5°C. Otros estudios para conservar la jícama pre cortada indican que temperaturas de 0 a 5°C permiten mantener la calidad del producto, ya que a temperaturas superiores se tienen problemas de oscurecimiento y síntesis de fenoles (Aquino-Bolaños et al., 2000). Asimismo, Mercado-Silva et al. (2006) indica que las atmósferas controladas con 5 a 10% de CO2 fueron más efectivas para controlar el oscurecimiento y desarrollo microbiano, respecto a atmósferas con bajo contenido de O2. Por otro lado, Aquino-Bolaños y Mercado-Silva (2004) indicaron que, en jícama cortada, el oscurecimiento se debe principalmente a un proceso de cicatrización de los tejidos que involucra la producción de lignina.
Considerando la creciente importancia de la jícama en el mercado de VMP, así como la problemática de deterioro y corta vida de anaquel, el objetivo de este estudio fue determinar el efecto de la aplicación de antioxidantes sobre la conservación de las características fisicoquímicas y sensoriales de jícama mínimamente procesada y almacenada a 5°C.
MATERIALES Y MÉTODOS
Las jícamas se obtuvieron en el mercado de abastos del municipio de Centro, Tabasco y se trasladaron al Centro de Investigación en Ciencias Agropecuarias de la División Académica de Ciencias Agropecuarias de la UJAT, una vez en el laboratorio, se lavaron y sanitizaron con agua clorada a 200 ppm, ya lavadas se pelaron y cortaron en bastones de tamaño homogéneo.
El producto cortado se sanitizó con agua clorada a 80 ppm y se aplicaron los tratamientos con antioxidantes mediante inmersión, durante 5 min, en la solución al 0.25% de ácido cítrico y de ácido ascórbico, respectivamente. Luego del tratamiento se eliminó el resto de la solución, de la superficie del producto, con el uso de una centrífuga para vegetales con un tiempo de permanencia de 20 s aproximadamente. El producto se envasó en recipientes de polietileno con tapa, previamente sanitizados, y se almacenó en refrigeración a 5°C.
La evaluación sensorial y fisicoquímica del producto se realizó luego de 0, 3, 7, 10, 14, 16 días en condiciones de almacenamiento refrigerado a 5°C. Los tratamientos que se evaluaron durante el experimento se muestran en el cuadro 1.

Para la evaluación sensorial se realizó una prueba de aceptabilidad por consumidores utilizando la escala hedónica de nueve puntos. Los jueces evaluaron los atributos de apariencia, color, olor, sabor, textura y aceptabilidad general. Asimismo se determinó la aceptación/rechazo del producto de cada tratamiento. La prueba se llevó a cabo en el Laboratorio de Evaluación Sensorial de la División Académica de Ciencias Agropecuarias, el cual cuenta con cabinas individuales, iluminación y temperatura de acuerdo a lo establecido en la norma ISO 8589 (ISO,1988).
Las características fisicoquímicas que se evaluaron fueron: sólidos solubles totales (SST), color, firmeza y pH. El color se midió con un colorímetro Minolta Croma Meter CR-300, mediante el sistema CIELAB, donde L* indica luminosidad, a* cromaticidad de verde (-) a rojo (+) y b* cromaticidad de azul (-) a amarillo (+). La firmeza. Se determinó como la fuerza necesaria para penetrar el tejido vegetal, mediante un penetrómetro Chatillón provisto con un punzón cónico de 1.2 mm de diámetro. El resultado se expresó en Newtons (N). Los sólidos solubles totales (SST) se determinaron con un refractómetro digital marca ATAGO PR-101.El pH se midió utilizando un potenciómetro marca Hanna modelo 213.
Los resultados se analizaron mediante análisis de varianza para un diseño completamente al azar (DCA) con arreglo factorial 3x6, con los factores antioxidante (con tres niveles) y tiempo (con seis niveles). Asimismo se realizó una prueba de comparación de medias (Tukey). El análisis se realizó con un grado de confiabilidad del 95% (α = 0.05), usando el software estadístico Statgraphics Plus.
RESULTADOS Y DISCUSIÓN
Cambios fisicoquímicos
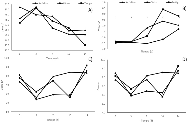
Las variables fisicoquímicas mostraron cambios significativos al incrementarse el tiempo de almacenamiento. El valor L* disminuyó, mientras que los valores de a* y b* así como el croma y el ángulo hue aumentaron.
La prueba de Tukey indicó una disminución significativa de L* hasta 74.6, respecto al 79.9 inicial, luego de 14 días de almacenamiento. En el caso del valor a*, este aumentó significativamente luego de 7 días al pasar de -1.87 (en el día 7) a -0.82 en el décimo día. En el caso del valor b* este aumentó significativamente hasta un valor promedio de 8.7 luego de 14 días de almacenamiento, siendo 7.09 el valor inicial. Un comportamiento similar se observó en el caso de croma y hue.
En el caso de la firmeza esta aumentó significativamente a partir de 10 días de almacenamiento (posiblemente debido a la pérdida de humedad superficial del producto).
Los SST aumentaron al incrementarse el tiempo de almacenamiento. Se observaron diferencias significativas a partir de tres días de almacenamiento y aumentos significativos también a los 10 y 14 días. El pH disminuyó significativamente a los 10 días de almacenamiento y nuevamente a los 14 días.
El efecto del tratamiento antioxidante sobre los cambios fisicoquímicos solamente fue significativo (p≤0.05) en el valor de a* y en la firmeza. La prueba de medias de Tukey indicó que el tratamiento con ácido cítrico tuvo un valor a* significativamente menor que el obtenido en el producto testigo y el tratado con ácido ascórbico. En cuanto a la firmeza, esta fue significativamente menor en el producto tratado con ácido ascórbico, en relación con el tratamiento testigo y el producto tratado con ácido cítrico.
Los resultados correspondientes a los cambios en fisicoquímicos se muestran en las figuras 1 y 2.


Cambios Sensoriales
El análisis estadístico indicó que no existieron diferencias significativas (p≥0.05) entre los tratamientos debido al tiempo de almacenamiento, en cuanto a cambios en la aceptabilidad de los atributos sensoriales evaluados en jícama mínimamente procesada. Sin embargo, si se observaron diferencias significativas entre los tratamientos, en cuanto a la aceptabilidad sabor, textura y aceptabilidad global (p≤0.05), debido al tratamiento con antioxidantes.
En cuanto al sabor, la aceptabilidad del producto tratado con ácido cítrico fue significativamente menor que la observada en el tratamiento testigo y el tratamiento con ácido ascórbico. La aceptabilidad del tratamiento con ácido cítrico fue de 5.9, mientras que en los otros dos tratamientos fue de 6.8, respectivamente. Lo cual corresponde a los niveles de “me gusta poco” y “me gusta moderadamente”, respectivamente, en la escala hedónica de nueve puntos.
En el caso de la textura, la aceptabilidad de la jícama tratada con antioxidantes (cítrico y ascórbico) fue menor que el producto testigo. Sin embargo, las diferencias solo fueron significativas entre el testigo y el tratamiento con ácido cítrico, pues no existió diferencia significativa entre los dos productos tratados con antioxidantes.
El mismo comportamiento anterior se observó en relación con la aceptabilidad global, en la cual se observaron diferencias significativas (p≤0.05) entre el testigo y el tratamiento con ácido cítrico, siendo la aceptabilidad significativamente mayor en el caso del producto del tratamiento testigo.
En el resto de los atributos evaluados no se observaron diferencias significativas (p≥0.05) en cuanto a su nivel de aceptabilidad por los consumidores.
Los resultados correspondientes a los atributos evaluados se muestran en las figuras 3 y 4.


Aceptación/rechazo
Los resultados correspondientes a la intención de consumo, evaluada como aceptación/rechazo por consumidores, mostró que el mayor rechazo fue para la jícama cortada y tratada con ácido cítrico, en los tres diferentes tiempos de evaluación (0, 3 y 7 días de almacenamiento). Los valores obtenidos fueron de 55.9, 58.8 y 50.0 para cada tiempo respectivamente. En el producto tratado con ácido ascórbico se obtuvieron porcentajes de rechazo de 38.2, 20.6 y 35.3 en cada tiempo, respectivamente, es decir, muy inferior al 50% y más alcanzado en el tratamiento con ácido cítrico. El menor porcentaje de rechazo correspondió al testigo en los tres tiempos de almacenamiento evaluados, en este caso los valores fueron de 20.6, 17.6 y 32.4, como se observa en la Figura 5.

CONCLUSIONES
Los resultados obtenidos indicaron que, si bien el ácido cítrico fue el antioxidante más efectivo para mantener las características fisicoquímicas de color de la jícama cortada, su aplicación afectó significativamente el sabor y provocó niveles de rechazo superiores al 50%, por los parte de los consumidores, superiores a los observados en el producto testigo y en el adicionado con ácido ascórbico.
LITERATURA CITADA
Ahn, H.J.; J.H. Kim; J.K. Kim; D.H Kim; H.S. Yook; M.W. Byun. 2005. Combined effects of irradiation and modified atmosphere packaging on minimally processed Chinese cabbage (Brassica rapa L.). Food Chemistry 89(4): 589-597.
Aquino-Bolaños, E.N.; Mercado-Silva, E. 2004. Effects of polyphenol oxidase and peroxidase activity, phenolics and lignin content on the browning of cut jicama. Postharvest Biology and Technology. 33(3): 275-283.
Aquino-Bolaños, E.N.; M.I. Cantwell; G. Peiser; E. Mercado-Silva. 2000. Changes in the quality of fresh-cut jicama in relation to storage temperatures and controlled atmospheres. J. Food Sci. 65(7):1238-1243.
Casanueva E. 1995. Catzotl, raíz que mana jugo. Cuadernos de Nutrición 18(1):30-34
Defilippi, B. y R. Campos. 2006. Poscosecha de fruta mínimamente procesada. Tierra Adentro. Nov-Dic. Pág 20-21.
Divino, C. M. M.; Martin, C. 2014. Efecto del ácido cítrico sobre la calidad microbiológica de jícama mínimamente procesada. En: Ciencias de la Ingeniería y Tecnología, Handbook T-V. María Ramos y Virginia Aguilera (Ed.). ECORFAN-México. Pp. 169-175
Escobar H. A.; Márquez C. C.J.; Restrepo F. C. E.; Pérez, C. L. J. 2014. Aplicación de Tecnología de Barreras para la Conservación de Mezclas de Vegetales Mínimamente Procesados. Revista Facultad Nacional de Agronomía, Medellín 67(1): 7237-7245.
García, R.; Mercado-Silva, E. 2004. Cambios relacionados con el “daño por frío” en ácidos grasos de fosfolípidos de la membrana plasmática y antioxidantes naturales de jícama (Pachyrhizus erosus). Revista Intropica. 1:29-37.
Mercado-Silva, E.; L. Amador-Vargas; E.N. Aquino-Bolaños. 2006. Efecto de la relación área/volumen y tratamientos térmicos ligeros en la calidad de jícama mínimamente procesada. En: I Simposio Ibero-Americano de Vegetais Frescos Cortados. San Pedro, Brazil. Pp 75-81.
Nguyen-the, C.; F. Carlin. 1994. The microbiology of minimally processed fresh fruits and vegetables. CRC Critical Reviews in Food Science and Nutrition 34(4): 371-401.
Parzanese, M. 2012. Vegetales mínimamente procesados. Alimentos Argentinos 55: 31-39
Rivera, R. A. C. 2015. Optimización del proceso de conservación de jícama mínimamente procesada por envasado en atmósferas modificadas (MAP). Tesis de Maestría en Ciencias. PROPAC, Universidad Autónoma de Querétaro. Querétaro, México. 165 p
Ruiz, L. G. A.; Qüesta, A. G.; Rodriguez, S. C. 2010. Efecto de luz UV-C sobre las propiedades antioxidantes y calidad sensorial de repollo mínimamente procesado. Revista Iberoamericana de Tecnología Postcosecha 11(1):101-108
Torales, A. C.; Chaves, A. R.; Rodriguez, S. C. 2010. Cambios en la calidad de rúcula mínimamente procesada. Efecto de distintos envases. Revista Iberoamericana de Tecnología Postcosecha 11(2):196-203
Notas de autor