Reportes Frutas
Application of Sodium Alginate edible coating incorporated with lemon grass (Cymbopogon citratus) extract in strawberry conservation
Aplicação de revestimento comestível de Alginato de Sódio incorporado com extrato de grama de limão (Cymbopogon citratus) na conservação do morango
Application of Sodium Alginate edible coating incorporated with lemon grass (Cymbopogon citratus) extract in strawberry conservation
Revista Iberoamericana de Tecnología Postcosecha, vol. 23, núm. 1, pp. 27-45, 2022
Asociación Iberoamericana de Tecnología Postcosecha, S.C.
Recepción: 30 Junio 2022
Aprobación: 20 Julio 2022
Publicación: 31 Julio 2022
Abstract: The strawberry is a fruit known worldwide and appreciated by a large part of the population. However, its conservation is delicate, since the fruit has a sensitive structure, causing a short post-harvest life. To develop an edible film based on sodium alginate (SA) and lemongrass extract (LGE), to prolong strawberry conservation. the films were made using sodium alginate (SA), calcium chloride, distilled water and LGE, with SA and LGE concentrations defined as minimum (-1) and maximum (+1) levels. Bioactive compounds and fungal growth were evaluated during 20 days of storage at 7±1 ºC. The phenolic compounds were positively influenced by the coating, indicating that the treatments, even at low concentrations, favored greater retention of the compound in relation to the fresh fruit. Anthocyanins were influenced by the interaction SA and storage time, and the higher the SA content and the shorter the storage time, the higher the anthocyanins content. Up to 10 days of cold storage, the treatments did not visually show the development of fungi. The conservation of strawberries for a period of up to 20 days is possible using edible film with a concentration of 0.75% lemongrass extract and 0.5% sodium alginate.
Keywords: Fragaria ssp, Cymbopogon citratus, edible films, Box-Behnken.
Resumo: O morango é uma fruta conhecida mundialmente e apreciada por grande parte da população. No entanto, sua conservação é delicada, pois o fruto possui uma estrutura sensível, causando uma vida pós-colheita curta. O Objetivo do presente estudo foi desenvolver um filme comestível à base de alginato de sódio (SA) e extrato de capim-limão (LGE), para prolongar a conservação do morango. Os filmes foram feitos com alginato de sódio (SA), cloreto de cálcio, água destilada e LGE, com concentrações de SA e LGE definidas como níveis mínimo (-1) e máximo (+1). Os compostos bioativos e o crescimento fúngico foram avaliados durante 20 dias de armazenamento a 7±1 ºC. Os compostos fenólicos foram influenciados positivamente pelo revestimento, indicando que os tratamentos, mesmo em baixas concentrações, favoreceram maior retenção do composto em relação à fruta in natura. As antocianinas foram influenciadas pela interação SA e tempo de armazenamento, e quanto maior o teor de SA e menor o tempo de armazenamento, maior o teor de antocianinas. Até 10 dias de armazenamento refrigerado, os tratamentos não apresentaram visualmente o desenvolvimento de fungos. A conservação dos morangos por um período de até 20 dias é possível utilizando filme comestível com concentração de 0,75% de extrato de capim-limão e 0,5% de alginato de sódio.
Palavras-chave: Fragaria ssp, Cymbopogon citratus, filmes comestíveis, Box-Behnken.
1. Introduction
Strawberry (Fragaria ssp) is highly appreciated worldwide, as well as in Brazil, in which Minas Gerais is the largest producer, followed by Paraná, São Paulo and Rio Grande do Sul, which account for 87.2% of production (Anuário, 2018). When ripe, it has an intense red color, citrus flavor and soft texture; however, the durability of in natura strawberries is short, since it is a perishable fruit, with high postharvest physiological activity, resulting in a rapid senescence, consequently its conservation is a challenge.
The fruit is characterized by being an excellent source of nutrients and bioactive compounds (phenolic compounds, flavonoids, anthocyanins, tannins and ascorbic acid), present in large quantities. These compounds can help prevent inflammatory disorders, cardiovascular diseases, and provide a protective effect by reducing the risk of cancer. The content of such compounds varies according to cultivar, variety, growing location, environmental conditions, plant nutrition, maturity stage, harvest time, as well as subsequent storage conditions or processing methods (Skrovankova et al., 2015; Battino et al., 2017).
Due to its delicate structure, producers and researchers are studying ways to preserve this fruit for longer periods, with refrigeration being one of the most used forms. However, other methods have been studied aiming to increase conservation associated with refrigeration, such as the elaboration of films based on polysaccharides, such as sodium alginate, which act in conservation by reducing the respiratory activity of fruits.
The formed films can fill small holes present in the tissues, thus reducing the moisture transfer, and, as some polymers used have a gas barrier, they prevent gas exchange from occurring, minimizing the maturation process (Assis & Britto, 2014). Associated with the films, research has tested plant extracts, as they have antimicrobial activity (Almeida, 2015). An interesting alternative would be the combination of both methods, that is, the application of polysaccharide films, with extracts, associated with refrigeration, as they can increase the shelf life of the fruit. A study using salicylic acid, abscisic acid and methyl jasmonate in the postharvest quality of strawberries showed that their application contributed to the increase in the shelf life of the strawberries (El-Mogy et al., 2019).
The use of different types of extracts, applied to strawberries (traditional and organic), has proven to be efficient in some aspects, such as preserving the external structure of the fruit (Braga, 2012). Another study, focusing on increasing the shelf life of passion fruit, used lemongrass derivatives in the fruits and evaluated them over a 15 days period. Better juice yield and less mass loss were observed (Moura et al., 2016).
The foregoing justifies the development of further studies, on the use of films associated with plant extracts, aiming to reduce post-harvest losses, increasing the durability of the product and minimizing losses. The final consumer can also benefit, as a fruit with a longer shelf life does not necessarily need to be consumed immediately, avoiding losses and encouraging the consumption of perishable fruits.
Thus, the objective of this work is to prepare and apply an edible film based on sodium alginate and lemongrass extract, to prolong the shelf life of strawberries.
2. Material and methods
This study was carried out in the food analysis laboratory and chemistry laboratory of the Federal Institute of the Southeast of Minas Gerais –Barbacena campus, where the analyzes were carried out. Strawberries from the San Andreas cultivar acquired from a producer in the municipality of Carandaí – MG is used.
2.1. Elaboration and application of edible film
The newly picked strawberries were selected during harvesting for size, weight (average of 25 g each), absence of defects, color (60% red) and firmness, stored refrigerated and transported to the analysis laboratory on the same day of the harvest. After selection, the strawberries were pre-washed in running water and used after natural surface drying by exposure to air in a protected environment.
Preparation of lemongrass extract (LGE): dehydrated lemongrass purchased in the trade in Barbacena-MG, was crushed to facilitate extraction. The proportion of 1 g of lemongrass was weighed for 15 mL of 40% ethanol solution (v/v), in order to obtain 500 mL of extract. After weighing, the solution was stirred, without heating, in a magnetic stirrer for 4 h. After this step, the extract was filtered by vacuum filtration and stored frozen, a process carried out according to the adapted methodology (Santos & Miglioranza, 2009).
Preparation of the films: sodium alginate (SA), calcium chloride, distilled water and ECL were used The concentrations of SA and LGE were defined as minimum (-1) and maximum (+1) levels according to a review of literature. Treatment concentrations, at different storage times, were defined by the Box-Behnken planning. Initially, the alginate was dissolved in distilled water, at room temperature, followed by incorporation of the extract. This step was also performed in a magnetic stirrer, until obtaining a homogeneous solution, which for 1 L of solution, the average time was 2 hours. After the joint homogenization of the polysaccharide and lemongrass extract, a calcium chloride solution was prepared, dissolved in distilled water, at a concentration of 8% (v/v) previously defined in pre-tests.
The films were applied to the strawberries by immersion for 10 seconds and then immersion in the calcium chloride solution for another 10 seconds to form the film.
After the application of the film was completed, the fruits were placed in expanded polystyrene trays, 6 fruits in each treatment, uncovered, for drying the films at refrigeration temperature. The fruits were thus maintained for the entire storage period, as defined in the pre- test, with the proper separation and identification of treatments and stored refrigerated at 7 ±1 ºC until the analysis.
2.2. Assessment of physical and physicochemical characteristics
Analyzes were performed on fresh fruits and treatments (Table 1).
| Order of tests | Lemongrass extract (v/v) | Sodium alginate (v/v) | Time (days) |
| 1 | 1.00 | 0.5 | 10 |
| 2 | 0.50 | 0.5 | 10 |
| 3 | 1.00 | 1.0 | 0 |
| 4 | 0.75 | 1.5 | 20 |
| 5 | 0.75 | 1.0 | 10 |
| 6 | 0.75 | 0.5 | 20 |
| 7 | 0.75 | 1.0 | 10 |
| 8 | 0.50 | 1.5 | 10 |
| 9 | 0.50 | 1.0 | 20 |
| 10 | 0.50 | 1.0 | 0 |
| 11 | 0.75 | 1.0 | 10 |
| 12 | 1.00 | 1.5 | 10 |
| 13 | 0.75 | 1.5 | 0 |
| 14 | 1.00 | 1.0 | 20 |
| 15 | 0.75 | 0.5 | 0 |
2.2.1. Physical analyzes
Analysis of coloration was performed in a colorimeter (CR 400 Konica Minolta) using the CIELAB system. The following parameters were evaluated: a* (chromaticity on the green to red color axis), b* (chromaticity on the blue to yellow color axis) and L* (variation from light to dark).
The firmness was determined in a Stable Micro Systems - TA.XT Express, with a 2 mm cylindrical probe (P/2N). The speed used was 5 mm/s with 2 cm of penetration, defined in pre-tests. Firmness results were expressed in Newtons.
The mass loss, during storage, was calculated throught the difference between the initial sample weight and the final weight. The mass loss obtained was expressed as a percentage of lost mass.
2.2.2. Physicochemical analysis
The pH, as well as the titratable acidity, was determined using a TEKNA T-1000 pH-meter according to the methodology proposed by Adolfo Lutz Institute (IAL, 2008).
The soluble solids content was determined through the refractometry method, using a bench-top refractometer, Samara Even model.
The soluble solids / titratable acidity ratio was determined by dividing the soluble solids content by the titratable acidity.
For the analysis of total phenolic compounds, extraction was performed with methanol and acetone (Rufino et al., 2007) and total phenolic compounds determined using gallic acid as a reference standard and the results expressed in milligrams of gallic acid equivalents (mg GAE 100 g-1 fresh matter) (Waterhouse, 2002).
Anthocyanins were quantified following the differential pH method (Giusti & Wrolstad, 2001), using equation 1:
(1)The content of monomeric anthocyanins (AM) was calculated as cyanidin-3-glycoside (PW = 449.2) through equation 2:
(2)Where: A= Absorbance and ε = Molar Absorbance
The microbiological evaluation was done by monitoring the visible growth of fungi during refrigerated storage, the treatment was considered inadequate when visible growth of fungi was presente in one of the 6 fruits of the treatment.
2.3. Experimental design and statistical analysis
The factorial experiment was carried out according to a Box-Behnken design in a completely randomized design (DIC). The response surface methodology was used to assess the levels of the factors studied in the development of the strawberry coating (lemongrass extract, sodium alginate and storage time). The levels of the factors studied are shown in Table 1.
The data obtained were subjected to analysis of variance, when not significant, the mean generated by descriptive statistics was presented, and when significant, submitted to polynomial regression and contour graphs were generated using Minitab 19 statistical software. Polynomial models were used to express as a function of the independent variables according to the model of equation 3.
(3)3. Results and discussion
3.1. Physical and physicochemical characterization of fresh strawberry
The results of the characterization analyzes of the fresh fruit are shown in table 2.
| ANALYSIS | Mean ** ± Standard deviation |
| Color - L* | 44.66 ± 0.22 |
| a* | 32.59 ± 1.69 |
| b* | 33.02 ± 2.28 |
| Firmness (Newton) | 2.48 ± 1.74 |
| pH | 3.45 ± 0.085 |
| Titratable acidity (%) | 1.01 ± 0 |
| Soluble solids - SS (%) | 5.06 ± 0 |
| SS/TA relationship | 5.01± 0 |
| Total phenolics (mg GAE 100 g-1) | 81.13 ± 2.73 |
| Anthocyanins (mg 100 g-1) | 49.59 ± 3.07 |
Color is an extremely important parameter for food analysis, especially for fruits, since the visual appearance is what first attracts the consumer and is therefore an indicator of fruit quality. In coloration, the value of L*, which is related to luminosity, indicates that the closer to zero, the darker the sample. In the present study, the mean of the L* value was 44.66; indicating the strawberry rated as dark.
A similar study found an L* value of 46.16 for fresh strawberries (Aitboulahsen et al., 2018) and the results of this study are similar to that mentioned above. Lower values for the same parameter ranging from 26.40 – 35.40 are also reported for different strawberry cultivars, (Nunes et al., 2021) which indicate that the cultivars under study in this work have a darker color, showing that the color of the fruits varies according to cultivar.
A positive value of a* indicates a tendency towards red color (+a*) and negative toward green color (-a*). A value similar to that found in the present study (32.59) is cited in the literature for strawberries, ranging from 30 to 35.20 (Malgarim, Cantillano & Coutinho, 2006; Nunes et al., 2021) for the same parameter. This also indicates that this parameter is strongly affected by the cultivar.
Positive values of b* suggest yellow and negative a blue coloration, in the present study we obtained an average of 33.02 for this parameter. Lower values for the same parameter, ranging from 12.80 to 23.83 (Soares et al., 2011; Nunes et al., 2021) are reported in the literature. This indicates that the cultivar under study has a color that tends more towards yellow than the cultivars reported in the literature.
The firmness of strawberries in this work was on average 2.48, higher than that found for strawberries from early planting (1.43 N) (Becker et al., 2016).
In relation to pH values, the fruit presented an average of 3.45; a value close to that found in a study that evaluated changes in the physicochemical characteristics of strawberries for the preparation of frozen pulp (Goncalves et al., 2018), with mean pH values of 3.46. This value is characteristic of the strawberry, since it is acidic in relation to other non-citrus fruits. Also mentioned in the literature are pH values ranging from 3.72 to 4.40 for different cultivars of in natura strawberry (Nunes et al., 2021). Those values are very similar to those found in the present work, with emphasis on the cultivar Aromas, which obtained an average for the same parameter of 3.44. This value is very close to that found for the San Andreas cultivar under study. A slightly higher value is reported for the same attribute in other strawberry cultivars ranging from 3.60 to 3.75 (Zeliou et al., 2018).
The values for titratable acidity are in agreement with those found in studies on the characterization of strawberries from different cultivars that report acidity values of 0.90 (Rosa et al., 2018) and ranging from 0.97 to 1.42% (Nunes et al., 2021).
The SS content was 5.06% on average, similar to that found in the evaluation of the San Andreas (Franco, Uliana & Lima, 2017) cultivar, when average values of 6.91% were verified. This variation may be due to climatic, regional, cultural treatment, or maturation stage. In a study developed with different strawberry cultivars, produced in soil and semi-hydroponic system (Richter et al., 2018), the authors found a soluble solids value close to 5.9 %; for cultivar San Andreas, a value also similar to the highest SS values found in this present study. Studies with other strawberry cultivars report SS contents ranging from 6.42 to 8.92 (Nunes et al., 2021) reinforcing that the cultivar, in addition to other factors, can determine different characteristics in the fruits.
The SS/AT ratio is directly linked to the best flavor of the fruit. The high ratio suggests a balance between sweet and sour, which provides better acceptance by the consumer. In this study, the value for this atribute was an averag of 5.01; a value slightly below that found in a study on the physicochemical characterization of strawberry genotypes (Rosa et al., 2018), when values close to 7.07 were found for the same cultivar. It is similar to that reported for the cultivars Aromas (5.39) and Camarosa (5.35), and lower than that reported for the cultivars Camino Real, Dover, Sweet Charlie and Tudla with mean values of 7.73; 6.36; 6.85 and 7.28 respectively (Nunes et al., 2021).
The values of total phenolic compounds found (81.13 mg GAE 100 g-1) were similar to those found in a study on the characterization of strawberries from different cultivars (Musa, 2016), where mean values of 86.48 mg GAE 100 g-1 were found. Lower values (ranging from 0.52 to 0.72) for this compound is reported in a study with different strawberry cultivars (Zeliou et al., 2018).
The anthocyanin content in the present study was 49.59 mg 100 g-1, higher than that found in a study of different forms of strawberry cultivation (Franco, Uliana & Lima, 2017), which obtained a value of 4.51 mg 100 g-1 of anthocyanins, for fruits grown in slabs (plastic bags), positioned in a horizontal position. On the other hand, another study presented values similar to those in this present study, close to 41.23 mg 100 g-1 (Musa, 2016). High anthocyanins values are desirable, as bioactive compounds in fruits can be beneficial to health. This difference can be explained by the cultivation form, since both are from the San Andreas cultivar, but the characteristics can be divergent when compared to production by slabs and another directly in the soil.
3.2. Physical and physicochemical characterization of coated strawberry during storage
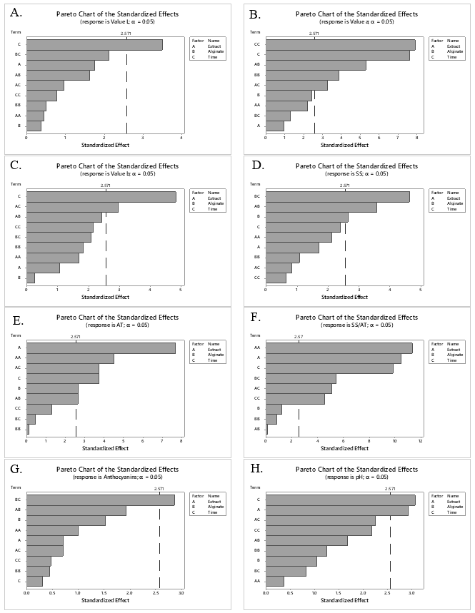
Through the Pareto graphs (Figure 1) it can be seen that the color parameters (L*, a* and b*) were significantly affected by the factors time (C) (Figure 1A), time squared (CC), time (C), extract and alginate interaction (AB), and extract and time interaction (AC) (Figure 1B) and by time (C) and extract and time interaction (Figure 1C) respectively. Soluble solids (SS) were significantly influenced by the interaction between alginate and time (BC), extract and alginate interaction (AB) and alginate (B) (Figure 1D). The titratable acidity (TA) was the parameter that was significantly more affected by the factors: extract (A), extract squared (AA), extract and time interaction (AC), time (C), alginate (B) and alginate and extract (AB) (Figure 1E). The soluble solid and titratable acidity ratio (SS/TA) was significantly affected by the factors extract squared, extract, time, alginate interaction and time squared (Figure 1F). Anthocyanins was the parameter that was significantly affected only by BC (Figure 1G). As for pH, it was significantly affected by factors C and A (Figure 1H).

When analyzing the results found for coloration, it is observed that for the L* value there was an isolated effect of the time factor (p < 0.05), demonstrating a linear reduction over time, according to the equation (L*= 41.154 – 0.05). 2656 Time). L* values reduced, from 41.17 to 35.84; during the 20 days of storage. According to the results, the strawberries darkened during storage, suggesting that longer storage time, even with the use of conservation technologies, degrades the fruit color. This reduction has already been reported in a study with sodium alginate-based coating on strawberries, when the authors also verified a reduction in luminosity, presenting values similar to those in this study (Guerreiro et al., 2015).
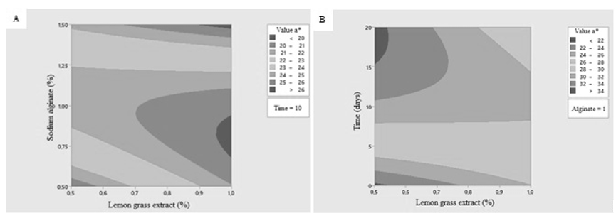
In the a* parameter, the regression analysis as the response variable allowed a second-degree polynomial model to be adjusted according to equation 4:
(4)When observing the contour graph (Figure 2A), held the ten days of storage time of strawberries, it can be seen that the highest concentration of LGE (lemon grass extract) and the concentration of sodium alginate (SA), slightly higher at 0.75% favors the retention of the red color, as they are closer to the a* value identified in the fresh fruit (32.59) as shown in Table 2. However, in the contour graph of the interaction between LGE and time (Figure 1B), it is observed that a longer storage time (between 10 and 15 days) associated with a lower concentration of LGE favors a higher a* value of the fruit, suggesting that for the longer shelf life of the fruit, regarding the red color, the LGE concentration should be at most 0.8%.

For the b* value there was an isolated effect of the time factor, which linearly reduced over time, given by equation 5:
(5)The loss of firmness during storage is undesirable and can be related to several factors, such as the loss of water into the environment. In the present study, there was no significant effect of the factors LGE, SA and storage time factors on the firmness of the evaluated strawberries. The overall mean of the treatments was 2.73 N. In another study, there was a significant reduction in firmness over the 20 days of refrigerated storage, when the influence of chitosan on the maintenance of postharvest quality of strawberries was evaluated (Tavares et al., 2017). Slightly higher values are reported for strawberries coated with a nanocomposite based on sodium alginate and nano-ZnO which presents firmness with a coating employing 1.5% SA+1.25g/L nano-ZnO of 3.32N, and 3 .18N for the 1.5% SA+0.75g/L nano-ZnO coating, and lower values for the 1.5% SA+0.25g/L nano-ZnO, and 1.5% SA coatings which obtained firmness values of 2.55; and 1.91 respectively (Emamifar & Bavaisi, 2020). Furthermore, a decrease has been reported in firmness by using a coating based on alginate and essential oils over 28 days, which differs from the data found in the present study (Guerreiro et al., 2015).
The loss of fruit mass is a critical factor in conservation, since ofwhat this content, the more degraded the fruit, and, therefore, it will have a shorter shelf life. This loss is mainly related to the loss of water from the fruit into the environment, inducing sensory changes in fresh fruits, in addition to reducing yield. The results of the regression analyzes for mass loss indicated a significant effect of the interaction between the LGE and SA factors, as indicated in equation 6.
(6)As shown in figure 3, regarding the interaction between SA and LGE, concentrations of SA up to 1.5% and LGE up to 0.6% were favorable for avoiding mass loss. The mean mass loss found was 3.63%, lower than that found in another study with strawberries (loss of 6-10%) (Nunes et al., 1995) On the other hand, the application of edible films on strawberries, with propolis extract, showed a mass loss of approximately 30% on the 8th day of refrigerated storage. The authors state that the commercially acceptable mass loss for strawberries is on average 6% (Minarelli; Daiuto & Vieites, 2014) Recent work employing sodium alginate-based nanocomposite coating reports that there was a significant reduction in weight loss of strawberries whose SA-coated fruit showed a weight loss of 13.20% at the end of 20 days of storage (Emamifar & Bavaisi, 2020)., a value much higher than that reported in the present study. However, the use of hydroxytyl cellulose (HEC) coating, SA and asparagus residue extract on strawberries indicated that the coating with HEC at 1.0/ and SA at 0.5% provided a significant reduction in loss of weight from the 7th day (Liu et al., 2021).

The pH values reduced significantly, with a significant effect of the LGE interaction and storage time, according to equation 7:
(7)When analyzing the interaction between time and LGE (Figure 4), it is verified that in a time of 15 to 20 days and at LGE concentrations of 0.9 - 1.0 % on average, the pH values are lower, considered as ideal for the maintenance of the pH of the fresh fruit, which in this study was 3.45 (Table 2). On the other hand, the study of strawberries coated with edible films made with starch plasticizers showed pH stability during refrigerated storage, within a period of 20 days (Franco et al., 2017). Lower pH values may be desirable as they act as a limiting factor for microbial growth.

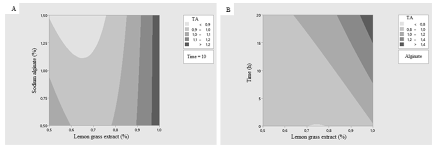
The titratable acidity, important in the sensory quality of the fruit, as it is related to the acidic taste, underwent a significant effect (p < 0.05) from the interaction between the LGE and SA factors and between the LGE and the time for the evaluated strawberries. Below is the regression equation (8):
(8)When observing the contour graph (Figure 5A) regarding the interaction of LGE versus SA factors, it is verified that an LGE concentration between 0.8 and 0.9 % and with up to 1.5 % of SA, maintains the acidity of the stored fruits close to that of fresh fruit (1.01%), shown in table 2. The contour graph of the interaction of LGE and time factors (Figure 5B), indicates that the stored strawberries resemble fresh fruit in the first few days of storage when associated with LGE concentrations between 0.7 and 0.9%. A study on the application of starch plasticizers to increase the shelf life of strawberries, at eight days of storage, showed that on the eighth day the mean for titratable acidity was 1% (Antunes et al., 2014) A study using a nanocompound based on sodium alginate and nano-ZnO obtained a titratable acidity lower than that found in the present study, where, after cold storage for 20 days, a content of 0.58% was reported for the respective parameter (Emamifar & Bavaisi, 2020). This suggeste that the treatments in the present work are more effective in maintaining the titratable acidity of the fruit close to that found in fresh fruits.

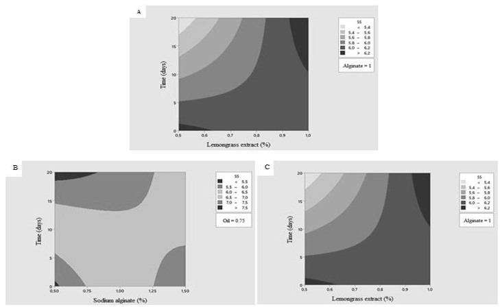
There was a significant effect (p<0.05) of the interactions between the factors LGE and SA, between LGE and time, and between SA and storage time on the concentration of soluble solids in the studied strawberries. The regression analysis generated the following equation 9:
(9)The contour plot of the interaction between LGE and SA (Figure 6A), at time 10, indicates that LGE concentrations of up to 0.8% and SA between 0.5 and 0.75% positively influenced the SS content (%), since, at these concentrations, higher soluble solids levels were identified. Such concentrations can be considered favorable for maintaining the sweet taste of strawberries. Additionally, these concentrations even showed higher soluble solids levels than those indicated for fresh fruit (5.01%), which may be related to the higher mass loss observed under these conditions. In this sense, when evaluating the effect of colorless gelatin associated with essential oils in the postharvest of strawberry, similar soluble solids values were found, close to 5.70 % (Korte & Favarão, 2016), a value that corroborates those of the present study.
In Figure 6B, which illustrates the effect of the interaction between time and SA, at a pre-fixed concentration of LGE at 0.75%, it can be seen that the increase in SA, as well as the increase in storage time, reduce the SS content (%). Considering that a higher SS content is directly linked to the sweetness of the fruit and the higher the concentration, the higher the sweetness, the results suggest that storage in less than 15 days and with lower SA concentrations is recommended.
The contour graph in Figure 6C, which shows the interaction between time and LGE, demonstrates that shorter storage time at the different LGE concentrations studied positively influences the SS content.

The Regression analysis for the variable SS/AT ratio indicated a significant effect (p< 0.01) between the LGE and time factors; LGE and SA and between the LGE and time factors in the SS/AT ratio of strawberries, given by the regression equation (10):
(10)Considering that a higher SS/AT ratio will favor a better balance between the sweetness and acidity attributes of fresh fruits, the contour graph (Figure 7A) indicates that concentrations between 0.6 % and 0.8 % of LGE and higher concentrations of SA, provide higher SS/TA ratio values.
As for the interaction between the LGE and time factors (Figure 7B), it was observed that setting the SA concentration at 1%, a shorter time, around five days and concentrations between 0.6% and 0.9%, favored a higher SS/TA ratio, even higher than for fresh fruit (5.01) as shown in table 2.

3.3. Total phenolic compounds (TPC):
The concentrations of total phenolic compounds were significantly (p<0.05) influenced by the interaction between LGE and SA factors. The regression equation (11) of the total phenolic compounds (mg GAE 100 g-1) is:
(11)The contour plot of the interaction between the LGE and SA factors on the concentration of TPC of the strawberries, shown in figure 8, indicates that in general the treatments with SA and LGE, even at low concentrations, favor a higher content of phenolic compounds in relation to fresh fruit. The fresh fruit presented an average phenolic content of 81.13 mg100 g-1. This increase in the content of phenolic compounds can be explained by the high content of these compounds in the LGE, which, when applied to the film structure, may have migrated to the fruit, causing this increase. Several components beneficial to health can be found in the composition of strawberries, but the phenolic compounds stand out due to their antioxidant action, which can act in the prevention of chronic and degenerative diseases. The TPC content of the fruit in the present study is higher than those of the research that evaluated the application of edible films, based on chitosan (68 mg GAE 100 g-1), to increase shelf life and evaluate the reduction of fungal growth in strawberries (Badawy et al., 2017).

Anthocyanins: The anthocyanin content was significantly influenced (p<0.05) only by the interaction of SA factors and storage time. The regression equation (12) is presented below.
(12)When analyzing the interaction between SA factors and storage time (Figure 9), it appears that the higher the sodium alginate content and the shorter the storage time, the higher the anthocyanin content. However, both time and SA did not favor the anthocyanins retention in fresh fruit (49.59 m 100g-1), shown in table 2. Another factor that can influence the anthocyanin content is the pH, as demonstrated in a study (Bordignon et al., 2009), in order to verify the influence of pH on anthocyanin content in strawberries. It was found that in the fruit with a pH close to 3.0, the anthocyanin content was on average 50 mg 100g-1, and the pH content in the present study is also in the range of 3.0. Anthocyanins are known to be highly unstable and easily susceptible to degradation. Their stability is affected by several factors such as pH, storage temperature, enzyme presence, light, oxygen, structure, concentration and presence of other compounds, such as flavonoids, protein and minerals (Rein, 2005).

Anthocyanins stand out for having high antioxidant capacity and being mainly responsible for the red color of the strawberry, adding sensory attributes to the fruits, thus making them highly valued by the consumer (Aaby et al., 2012; Musa, 2016)
In this sense, post-harvest technologies must consider the retention of these compounds in order to retain the original characteristics of fresh fruits or improve them as much as possible.
3.4. Microbiological assessment:
The microbiological evaluation was carried out by observing the treatments regarding the visible growth of fung. It was found that at up to 10 days of refrigerated storage (7 ±1 ºC) there was no visible development of fungi in any of the treatments. However, after 20 days of storage, treatments 14 (LGE 1% and SA 1.0%) and 4 (LGE 0.75% and SA 1.5%) showed fungal growth in one fruit, in 9 (LGE 0.50 % and SA 1.0 %), presence in 2 fruits, but in treatment 6 (LGE 0.75 % and SA 0.5 %) no visible fungal growth was observed. With these results, it can be inferred that, regarding the growth of fungi, all treatments are efficient up to 10 days of storage, but for a longer storage, of 20 days, the concentration of 0.75% LGE and 0.5 % of SA is the most indicated This suggests that LGE and SA, in intermediate proportions, have a positive antimicrobial effect, as shown in figure 10.

4. Conclusions
The fruit under study showed characteristics consistent with the literature data, proving to be a good source of anthocyanins and total phenolic compounds.
All formulations of sodium alginate and lemongrass extract developed proved to be effective in preserving strawberries for up to 10 days, as they maintained most of the characteristics of the fruit in natura.
The conservation of strawberries, for a period of up to 20 days, is possible using edible film with a concentration of 0.75% lemongrass extract and 0.5% sodium alginate.
Author contributions
JLSS did the experimental work in the laboratory and analysis; PVF assisted in the laboratory analyses; GDFSV, co-supervised and performed the statistical analysis of the data; GASG guided and reviewed the results; GGLM wrote the article; all authors contributed to the final version of the manuscript.
Funding
The authors report no funding
Conflict of interests
The authors declare that they have no conflicts of interest.
References
Antunes M. C., Cuquel F.L., Zawadneak M.A.C., Mogor A.F., Resende J.T.V, 2014. Postharvest quality of strawberry produced during two consecutive seasons. Horticultura Brasileira. 32(2):168-73. https://doi.org/10.1590/S0102-05362014000200008
Aaby K., Mazur S., Nes A., Skrede G., 2012. Phenolic compounds in strawberry (Fragaria x ananassa Duch.) fruits: Composition in 27 cultivars and changes during ripening. Food Chemistry.132(1):86-97. https://doi.org/10.1016/j.foodchem.2011.10.037
Aitboulahsen M., Zantar S., Laglaoui A., Chairi H., Arakrak A., Bakkali M., Zerrouk, M. H., 2018. Gelatin-Based Edible Coating Combined with Mentha pulegium Essential Oil as Bioactive Packaging for Strawberries. Journal of Food Quality. 7. https://doi.org/10.1155/2018/8408915
Almeida G.S. 2015. Potencialde óleos essenciais no controle de fungos fitopatogênicos em pós-colheita demorango. Dissertação (Mestre em Ciência dos Alimentos) – Campinas, Universidade Estadual deCampinas, Faculdade Engenharia de Alimentos ed.
Anuário, HF. Campo & Negócios, 5ª Edição, 2014 a 2018 [Available from: https://revistacampoenegocios.com.br/revista-agronegocio].
Assis O.B.G., Britto D.d., 2014. Revisão: coberturas comestíveis protetoras em frutas: fundamentos e aplicações. Brazilian journal of Food Technology. 17(2):87-97. http://dx.doi.org/10.1590/bjft.2014.019
Badawy M.E.I., Rabea E.I., El-Nouby M.A.M., Ismail R.I.A., Taktak N.E.M.,2017 Strawberry Shelf Life, Composition, and Enzymes Activity in Response to Edible Chitosan Coatings. International Journal of Fruit Science. 17(2):117-36. https://doi.org/10.1080/15538362.2016.1219290
Battino M., Forbes-Hernandez T.Y., Gasparrini M., Afrin S., Mezzetti B., Giampieri F., 2017. The effects of strawberry bioactive compounds on human health. In: Desjardins Y, editor. Viii International Strawberry Symposium. Acta Horticulturae. 1156. Leuven 1: Int Soc Horticultural Science. p. 355-62. http://doi:10.17660/ActaHortic.2017.1156.54
Becker T.B., Gonçalves M.A., Cantillano R.F.F., Antunes L.E.C., 2016. Características físicas de morangos sob épocas de plantio antecipado. Anais do VI Encontro de Iniciação Científica e Pós-Graduação da Emabrapa Clima Temperado; Brasília, DF: Embrapa.
Bordignon J.C.L., Francescatto V., NIenow A.A., Calvete E., Reginatto F.H., 2009. Influência do pH da solução extrativa no teor de antocianinas em frutos de morango. Ciência e Tecnologia de Alimentos. 29(1):183-8. https://doi.org/10.1590/S0101-20612009000100028
Braga D.O. 2012. Qualidade pós-colheita de morangos orgânicos tratados com óleos essenciais na pré-colheita. Dissertação (Pós-graduação em Ciência dos Alimentos) – Lavras, Universidade federal de Lavras ed.
El-Mogy M.M., Ali M.R., Darwish O.S., Rogers H.J., 2019. Impact of salicylic acid, abscisic acid, and methyl jasmonate on postharvest quality and bioactive compounds of cultivated strawberry fruit. Journal of Berry Research. 9(2):333-48. http://doi:10.3233/JBR-180349
Emamifar A., Bavaisi S.,2020. Nanocomposite coating based on sodium alginate and nano-ZnO for extending the storage life of fresh strawberries (Fragaria x ananassa Duch.). Journal of Food Measurement and Characterization. 14(2):1012-24. http://doi.org/10.1007/s11694-019-00350-x
Franco E.O., Uliana C., Lima C.S.M., 2017. Características físicas e químicas de morango ‘San Andreas’ submetido a diferentes posicionamentos de slab, densidades de plantio e meses de avaliação. Revista Iberoamericana de Tecnología Postcosecha. 18:115-20.
Franco M.J., Martin A.A., Bonfim L.F., Caetano J., Linde G.A., Dragunski D.C., 2017. EFFECT OF PLASTICIZER AND MODIFIED STARCH ON BIODEGRADABLE FILMS FOR STRAWBERRY PROTECTION. Journal of Food Processing and Preservation. 41(4):9. http://doi.org/10.1111/jfpp.13063
Giusti M.M, Wrolstad R.E., 2001. Anthocyanins: characterization and measurement with uv-visible spectroscopy. In: WROLSTAD, R. E. Current protocols in food analytical chemistry. New York: J. Wiley, cap. 1, p. 1- 13.
Goncalves G.A.S., Resende N.S., Carvalho E.E.N., de Resende J.V., Boas E., 2018. Physicochemical and volatile profile alterations in pasteurized and frozen strawberry pulp during storage. Journal of Food Processing and Preservation. 42(1):11. http://doi:10.1111/jfpp.13317
Guerreiro A.C., Gago C.M.L., Faleiro M.L., Miguel M.G.C., Antunes M.D.C., 2015. The use of polysaccharide-based edible coatings enriched with essential oils to improve shelf-life of strawberries. Postharvest Biology and Technology. 110:51-60. http://doi.org/10.1016/j.postharvbio.2015.06.019
(IAL) IAL., 2008. Normas Analíticas do Adolfo Lutz Institute. Métodos 566 químicos e físicos para análise de alimentos. IMESP. 4 ed, São Paulo.
Korte K.P., Favarão S.C.M., 2016. Efeito da gelatina associada a extratos vegetais como revestimento comestível na pós-colheita do morango. Campo Digital. 11:8-15.
Liu C.H., Jin T., Liu W., Hao W.Z., Yan L., Zheng L., 2021. Effects of hydroxyethyl cellulose and sodium alginate edible coating containing asparagus waste extract on postharvest quality of strawberry fruit. Lwt-Food Science and Technology. 148:7. http://doi.org/10.1016/j.lwt.2021.111770
Malgarim B.M., Cantillano R.F.F., Coutinho E.F., 2006. Sistemas e condições de colheita e armazenamento na qualidade de morangos cv. Camarosa. Revista Brasileira de Fruticultura. 28:185-9. http://doi:10.1590/S0100-29452006000200007
Minarelli P.H., Daiuto E.R., Vieites R.L., 2014. Postharvest behavior of strawberry of fruits subjected to the application to the hydroxyetilcellulose and aqueous propolis. Revista Iberoamericana de Tecnologia Postcosecha. 15(1):69-76.
Moura G.S., Schwan-Estrada K.R.F., Clemente E., Franzener G., 2016. Conservação pós-colheita de frutos de maracujá-amarelo por derivados de capim-limão (Cymbopogon citratus). Ambiência Guarapuava (PR). 12(2):667-82. http://doi:10.5935/ambiencia.2016.02.11
Musa C.L., 2016. Caracterização físico-química de morangos de diferentes cultivares em sistemas de cultivo distintos no município de bom princípio/RS.: UNIVATES.
Nunes G., Teixeira F., Schwarz K., Camargo C.K., de Resende J.T.V., dos Santos E.F, Franco, B. C., Novello, D., 2021. Influence of genetic variability on the quality of strawberry cultivars: sensorial, physical-chemical and nutritional characterization. Acta Scientiarum-Agronomy. 43:10. https://doi.org/10.4025/actasciagron.v43i1.46862
Nunes M.C.N., Brecht J.K., Morais A., Sargent S.A., 1995. Physical and chemical-quality characteristics of strawberries after storage are reduced by a short delay to cooling. Postharvest Biology and Technology. 6(1-2):17-28. http://doi.org/10.1016/0925-5214(94)00048-W
Rein M., 2005. Copigmentation reactions and color stability of berry anthocyanins: University of Helsinki.
Richter A.F., Faguerazzi F., Zanin D.S., Camargo S.S., Arruda A.L., Kretzschmar, A. A., ... & Silva, P. S., 2018. Produtividade e qualidade do morango sob cultivo de solo e semi-hidropônico. Revista Científica Rural. 20:193-203.
Rosa D.S., Cantillano R.F., Goulart C., Ribeiro J.A., Vilela J.S., Bonow, S., Marchi, P. M., 2018. Caracterização físico-química de genótipos de morango. Anais do XXIII Congresso Regional de Estudantes de Engenharia Química, 22-29 jul. 2018.
Rufino M.S.M., Alves R.E., Brito E.S., Morais S.M., Sampaio C.G., Pérez-Jiménez J., Saura-Calixto, F. D., 2007. Metodologia científica: Determinação da Atividade Antioxidante Total em Frutas pela Captura do Radical Livre ABTS.+. Comunicado Técnico 128. Embrapa, Fortaleza 2007.
Santos R.D., Miglioranza L.H.S., 2009. Compostos fenólicos de ervas lamiaceae na estabilidade oxidativa da manteiga e avaliação da toxicidade de extrato de alecrim (Rosemarinus officinalis l.). Tese (Doutorado em Ciência dos Alimentos) – Londrina,Universidade Estadual de Londrina.
Skrovankova S., Sumczynski D., Mlcek J., Jurikova T., Sochor J., 2015. Bioactive Compounds and Antioxidant Activity in Different Types of Berries. International Journal of Molecular Sciences. 16(10):24673-706. DOI: 10.3390/ijms161024673
Soares A., Fonseca M.D.O., Motta L.D.C., Brito G.D., Oliveira A., Barboza, G. H. T.,Campos, R. da S., 2011. Embalagens e qualidade pós-colheita de frutos de morango. In: SIMPÓSIO BRASILEIRO DE PÓS-COLHEITA DE FRUTAS, HORTALIÇAS E FLORES; Nova Friburgo. Anais... Rio de Janeiro: Embrapa Agroindústria de Alimentos.
Tavares T.S, Rocha D.A., Nogeuira D.A. L., Freire E.N.O.J., Abreu C.M.P.I., 2017. Influência de quitosana de baixa massa molar na manutenção da qualidade pós colheita de morangos. Caderno de Ciências Agrárias. 9:36-47.
Waterhouse A.L., 2002. Polyphenolics: determination of total phenolics. In: Wrolstad RE, editor. Currente protocols in food analytical chemistry. New York: John Wiley.
Zeliou K., Papasotiropoulos V., Manoussopoulos Y., Lamari F.N.,2018. Physical and chemical quality characteristics and antioxidant properties of strawberry cultivars (Fragaria x ananassa Duch.) in Greece: assessment of their sensory impact. Journal of the Science of Food and Agriculture. 98(11):4065-73. Doi: 10.1002/jsfa.8923
Notas de autor
* Corresponding Author: Department of Food Science, Federal University of Lavras, P. O. Box 3037, Lavras, Minas gerais 37200-900. e-mail: gilsonguluma@gmail.com