Reportes Frutas
Efecto del Thidiazuron en la calidad de la uva ‘Niagara rosada’ en diferentes portainjertos en el centro oeste paulista
EFEITO DO THIDIAZURON NA QUALIDADE DA UVA 'NIAGARA ROSADA' EM DIFERENTES PORTA-ENXERTOS NO CENTRO-OESTE PAULISTA
Efecto del Thidiazuron en la calidad de la uva ‘Niagara rosada’ en diferentes portainjertos en el centro oeste paulista
Revista Iberoamericana de Tecnología Postcosecha, vol. 25, núm. 1, p. 63, 2024
Asociación Iberoamericana de Tecnología Postcosecha, S.C.
Recepción: 05 Junio 2024
Aprobación: 22 Junio 2024
Publicación: 30 Junio 2024
Resumen: El propósito de esta investigación fue analizar cómo la aplicación de thidiazuron (TDZ) afecta las propiedades físicas y fisicoquímicas del mosto de uva 'Niagara Rosada' en distintos portainjertos. La prueba tuvo lugar en la Estación Experimental de la Facultad de Ciencias Agronómicas de la UNESP/Botucatu, SP, Brasil. Se utilizó un diseño experimental de bloques completamente aleatorizado con un arreglo factorial de 2x5, que incluía los portainjertos 'IAC 766' y '572 IAC' y dosis de TDZ de 0; 2,5; 5; 7,5 y 10 mg L-1, con cuatro repeticiones y cuatro racimos por unidad experimental. Los tratamientos fueron aplicados a los racimos a través de pulverización específicamente, quince días después de la plena floración, durante la etapa conocida como "chumbinho" en la fenología. Durante la recolección, se analizaron las características físicas como el peso, la longitud y el ancho de los racimos, las bayas y el raquis, así como la cantidad de bayas por racimo. Se examinaron en el mosto de uva las variables fisicoquímicas: azúcares, acidez, pH y la proporción de azúcares/acidez. No se encontró una interacción relevante entre las cantidades de TDZ y los portainjertos. Sin importar el tipo de portainjerto, las cantidades de TDZ mostraron un incremento constante en el peso fresco del racimo, la baya y el raquis; así como en la longitud y ancho de la baya y en la longitud del racimo de uva 'Niagara Rosada'. Al emplear 10 mg L-1 de TDZ, se logró mejorar la calidad física de los racimos y bayas. Los portainjertos no tuvieron impacto en la calidad física de los racimos, bayas y raquis. El TDZ retrasó el proceso de maduración de las uvas.
Palabras clave: uva de mesa, calidad de las frutas, thidiazurón, regulador vegetal, citocinina, Vitis labrusca.
Resumo: Objetivou-se avaliar os efeitos da aplicação de thidiazuron (TDZ) nas características físicas e físico-químicas do mosto da videira ‘Niagara Rosada’ sobre diferentes porta-enxertos. O experimento foi realizado no Pomar Experimental da Faculdade de Ciências Agronômicas UNESP/Botucatu-SP. O delineamento experimental foi em blocos ao acaso em arranjo fatorial de 2 x 5, correspondendo aos porta-enxertos ‘IAC 766’ e ‘IAC 572’ e as doses de TDZ de 0; 2,5; 5; 7,5 e 10 mg L-1, com quatro repetições e quatro cachos por parcela experimental. A aplicação dos tratamentos foi realizada por pulverização direcionada aos cachos, quinze dias após o pleno florescimento, na fase fenológica “chumbinho”. Na colheita, avaliaram-se as variáveis físicas: massa fresca, comprimento e largura dos cachos, bagos e engaço e o número de bagos por cacho. As variáveis físico-químicas avaliadas no mosto da uva foram: teor de sólidos solúveis, pH, acidez titulável e a relação sólidos solúveis/acidez titulável. Não houve interação significativa entre as doses de TDZ com os porta-enxertos. Independentemente do porta-enxerto utilizado, as doses de TDZ proporcionaram aumento linear na massa fresca do cacho, do bago e do engaço; no comprimento e na largura do bago e na largura do cacho da uva ‘Niagara Rosada’. Assim, obtiveram-se melhor qualidade física dos cachos e bagas com a utilização de 10mg L-1 de TDZ. Os porta-enxertos não influenciaram na qualidade física dos cachos, bagos e engaço. O TDZ promoveu o atraso na maturação das uvas.
Palavras-chave: uva para mesa, qualidade de frutas, thidiazuron, regulador vegetal, citocinina, Vitis labrusca.
INTRODUCCIÓN
Brasil exhibe varias dimensiones continentales, evidenciando una amplia diversidad de técnicas de cultivo de uvas, con diferentes periodos de producción ligados a distintos "Terroir", término francés que expresa la relación entre suelo, clima y trabajo humano (Pereira et al., 2020). La uva de mesa 'Niagara Rosada' es la preferida en São Paulo por su bajo costo de producción, resistencia y aceptación en el mercado brasileño debido a su dulce sabor, atractivo aroma y color, lo que la hace rentable en épocas de baja producción en las regiones tradicionales. (Tecchio et al., 2009; Lima et al., 2021).
Según Mello y Machado (2022), el Estado de São Paulo generó más de 240 millones de kilos en 2021, siendo 179,36 mil toneladas de uvas rústicas (Vitis labrusca), mayormente de la variedad Niagara Rosada. En Ceagesp se vendieron más de 10.300 toneladas a un valor promedio de R$ 6,08 por kilogramo. No obstante, el estudio de este tipo se convierte interesante para asistir a los agricultores en la creación de uvas superiores que satisfagan las demandas de los compradores y alcancen precios favorables.
El uso de reguladores vegetales es una técnica de manejo crucial. De acuerdo a Pires y Maia (2012), la aplicación de reguladores vegetales en la viticultura tuvo sus inicios en los años 50 a través de investigaciones difundidas en Estados Unidos y Australia. Dentro de los reguladores vegetales usados se destaca el ácido giberélico (GA.), siendo el más utilizado entre las 136 giberelinas conocidas, ya que es el componente bioactivo principal de las plantas. No obstante, se requiere adquirir otros productos para mejorar el tamaño de las bayas, ya que el ácido giberélico tiene ciertos efectos no deseados, como el incremento del vigor de las plantas, lo que lleva a una menor fertilidad de las yemas; la caída de los racimos después de la cosecha; un mayor riesgo de que el fruto se pudra y una disminución en los sólidos solubles totales (Zoffoli et al., 2009; Zhang et al., 2014; Acheampong et al., 2015; Kashiwaqui et al., 2019).
Así, estudios con otros reguladores vegetales, como el thidiazuron (TDZ) y el forclorfenuron (CPPU), están siendo empleados en vid con el objetivo de mejorar la calidad física de los racimos (Tecchio et al., 2005). Pires et al. (2003), Tecchio et al. (2006) y Rodrigues et al. (2011), trabajando con los cultivares de uva ‘Centennial Seedless’, ‘Vênus’ e ‘Itália’ respectivamente, en el estado de São Paulo, así como con la uva 'Perlette' en el Valle de São Francisco, obtuvieron mejoras en la calidad de los racimos y las bayas de uvas con la aplicación de CPPU (Leão et al., 1999). En relación con la utilización de thidiazuron y el número de bayas, Botelho et al. (2002, 2003, 2004), Vieira et al. (2008a, 2008b) y Urzua et al. (2017) también observaron una mejora significativa en la calidad de la uva sin efectos fitotóxicos en los racimos.
La citocinina es una hormona que actúa sobre la división celular, regula la actividad de ciclinas, la diferenciación celular y el establecimiento de drenajes, actuando sobre las proteínas invertasa (que favorecen el paso de sacarosa) y en la proteína transportadora de invertasa (necesaria para que los azúcares sean introducidos en las células del drenaje), además de otras funciones como alteraciones metabólicas e inducción en la formación de órganos vegetales (Kerbauy, 2012; Taiz & Zeiger, 2013). Entre los compuestos sintéticos que tienen la misma función que la citocinina, destaca el thidiazuron. El TDZ (N-fenil-N-1,2,3-tiadiazol-5-tilurea) es una citocinina del tipo fenilurea que difiere de las citocininas naturales, las adeninas, por la ausencia de la base nitrogenada (Kerbauy, 2012). Es ampliamente utilizado para inducir la brotación en cultivo de tejidos in vitro, además de su uso como defoliante en el cultivo de algodón. En recientes trabajos, su utilización ha sido estudiada en el crecimiento, calidad postcosecha y características de almacenamiento de frutas, mostrando incrementos en la fructificación y producción de cultivos como manzana y pera, y en la uva también mostró aumento en la producción y peso del racimo cuando se aplicó en la etapa de floración (Mok et al., 1982; Lama et al., 1999; Jiang et al., 2023).
No obstante, se ha descubierto que las condiciones climáticas y la forma en que se cuida el viñedo, como el tipo de portainjertos que se utilizan, afectan el efecto del regulador de crecimiento. Investigaciones en el campo de la literatura indican que el tipo de injerto afecta la calidad de los racimos y las uvas, resultando en frutas con alto contenido de sólidos solubles y una adecuada proporción entre sólidos solubles totales y acidez total (Mota et al., 2009; Rizk-Alla et al., 2011; Tecchio et al., 2011; Callili et al., 2023).
Como no se han encontrado estudios previos sobre el uso de TDZ en el cultivo de 'Niagara Rosada' en el Centro Oeste de São Paulo, este estudio tuvo como objetivo analizar cómo afecta la aplicación de TDZ en las propiedades físicas y fisicoquímicas del mosto de uva en los portainjertos 'IAC 766' y 'IAC 572'.
MATERIALES Y MÉTODOS
El experimento se llevó a cabo en la Estación Experimental del Departamento de Horticultura, de la Facultad de Ciencias Agronómicas de la UNESP, en Botucatu, SP, ubicada a 22°52’20’’S, 48°26’37’’O y 840 m de altitud. Según la clasificación climática de Köppen, el clima es del tipo Cfa, con una temperatura media mínima anual de 15,3 °C y máxima de 26,1 °C, y una precipitación anual media acumulada de 1358,6 mm (CEPAGRI, 2016). El viñedo con el cultivar Niagara Rosada estaba en su segundo año de producción, conducido con un cordón en el sistema de espaldera, con las vides espaciadas a 2,0 x 0,80 m e injertadas en los portainjertos ‘IAC 766’ ‘Campinas’ y ‘IAC 572’ ‘Jales’. La poda corta de producción se realizó el día 06/08/2014.
El diseño experimental fue en bloques completamente aleatorizados con arreglo factorial de 2x5, correspondiente a los dos portainjertos ‘IAC 766’ ‘Campinas’ e ‘IAC 572’ ‘Jales’ y cinco dosis de TDZ (0; 2,5; 5; 7,5 y 10 mg L⁻¹), con cuatro repeticiones y cuatro racimos por unidad experimental. La aplicación de los tratamientos se realizó el 10/07/2014, 15 días después de la plena floración, en la etapa fenológica “chumbinho”, mediante pulverización dirigida a los racimos con una solución acuosa de TDZ. En todos los tratamientos se añadió a la solución el esparcidor adhesivo Agral (1%). El volumen de pulverización utilizado fue de 300 L ha⁻¹.
La cosecha se llevó a cabo el día 16/12/2014, a los 70 días después de la aplicación de los tratamientos, considerando como tiempo de cosecha comercial el valor de 14,0 °Brix de sólidos solubles. Los racimos cosechados fueron trasladados al Laboratorio de Postcosecha de Frutas y Verduras de la Facultad de Ciencias Agronómicas de la UNESP/Botucatu, donde se evaluaron las variables físicas: masa fresca, longitud y anchura de los racimos, bayas y raquis, y el número de bayas por racimo. Para obtener la masa fresca de los racimos, bayas y raquis, se utilizó una balanza semianalítica con una precisión de 0,1 g, y para medir el tamaño de las bayas (muestra de 10 bayas por racimo), se utilizó un calibre digital con una precisión de 0,1 mm.
Para las variables fisicoquímicas del mosto (muestra de 10 bayas por racimo), se evaluaron los sólidos solubles (SS), el pH, la acidez titulable (AT) y la relación SS/AT. El contenido de SS se obtuvo utilizando un refractómetro manual tipo ABBE (marca Atago NI) con compensación automática de la temperatura, y los valores se expresaron en °Brix. La AT se midió mediante titulación con una solución de hidróxido de sodio (NaOH) 0,1 N, utilizando muestras del mosto diluido en 100 ml de agua destilada, ajustadas según la recomendación del Instituto Adolfo Lutz (2008), y los valores se expresaron en gramos de ácido tartárico. El pH se evaluó utilizando un potenciómetro (Digital DMPH 2). Finalmente, se determinó la relación entre SS y AT.
Los datos fueron sometidos a análisis de varianza, prueba de Tukey para comparar el efecto de los portainjertos y regresión polinómica para las dosis de TDZ. Para los datos significativos, se ajustaron ecuaciones de regresión con el objetivo de evaluar el comportamiento de las variables con dosis crecientes de TDZ.
RESULTADOS Y DISCUSIÓN
Se constató que no hubo influencia relevante entre las cantidades de TDZ y los portainjertos; asimismo, no se detectó un impacto importante de los portainjertos en sí mismos en las propiedades físicas analizadas en los racimos, bayas y raquis (Tabla 1). Los racimos tenían un peso promedio de 224,1 g, una longitud de 12,7 cm y una anchura de 7,3 cm; los raquis pesaban en promedio 5,6 g, tenían una longitud de 9,8 cm y una anchura de 4,8 cm; mientras que las bayas pesaban en promedio 3,5 g, tenían una longitud de 20,2 mm y una anchura de 18,3 mm. Cada racimo tenía en promedio 61,8 bayas.

Contrario a los hallazgos de este estudio, los portainjertos 'IAC 313', 'IAC 766', 'Kober 5BB', 'Traviú' y 'Schwarzmann' tuvieron un impacto significativo en diversas características del cultivar de uva en Taubaté, SP, como masa fresca, longitud y anchura de racimos, número de bayas por racimo y masa fresca de bayas. Niagara Rosada, con valores más altos de calidad provenientes de las variedades ‘IAC 766’, ‘IAC 313’ y ‘Traviú’ (Pauletto et al., 2001). En la cosecha de julio de 2014, Alvarenga-Mendonça et al. (2018) encontraron que la variedad 'IAC 766' produjo el mayor número de bayas por racimo, con un total de 75,56 bayas. Se registraron cifras más bajas en las cosechas de 2015 en Louveira, SP, y también se detectaron valores inferiores de peso fresco de los racimos. De acuerdo con estos escritores, las diferencias halladas en las cualidades de los racimos de 'Niagara Rosada' en distintos portainjertos se deben a la interacción entre el cultivar y el portainjerto.
La influencia del tipo de vid y del portainjerto en los atributos de los racimos de uva ha sido extensamente investigada en diversas variedades de uva de mesa. En Sento Sé, Bahia, no se observaron diferencias significativas en las características físicas de los racimos y las bayas de la vid 'Sugraone' al ser cultivada con diferentes portainjertos (Leão et al., 2011). En el caso de la variedad 'Niabel' (V. labrusca), se descubrió en Jundiaí, SP, que el patrón 'IAC 766' producía más peso de racimos frescos que los patrones 'IAC 572' y 'Riparia do Traviú' (Pedro Júnior et al., 2006). Mota et al. (2009), en el cultivar ‘Folha de Figo’ (V. labrusca) usando los portainjertos ‘IAC 766’ y ‘IAC 572’, encontraron valores estadísticamente iguales para producción por planta y peso de la baya. Estos resultados son posibles porque los patrones ‘IAC 766’ e ‘IAC 572’ presentan características similares de adaptabilidad a las condiciones del estudio, como tipo de suelo, fertilidad y disponibilidad de agua, dadas las características genéticas para el desarrollo del sistema radicular de los patrones, así como la época del año y las condiciones climáticas de la región (Kounduras et al., 2008; Tecchio et al., 2014; Vršič et al., 2015; Loureiro et al., 2016).
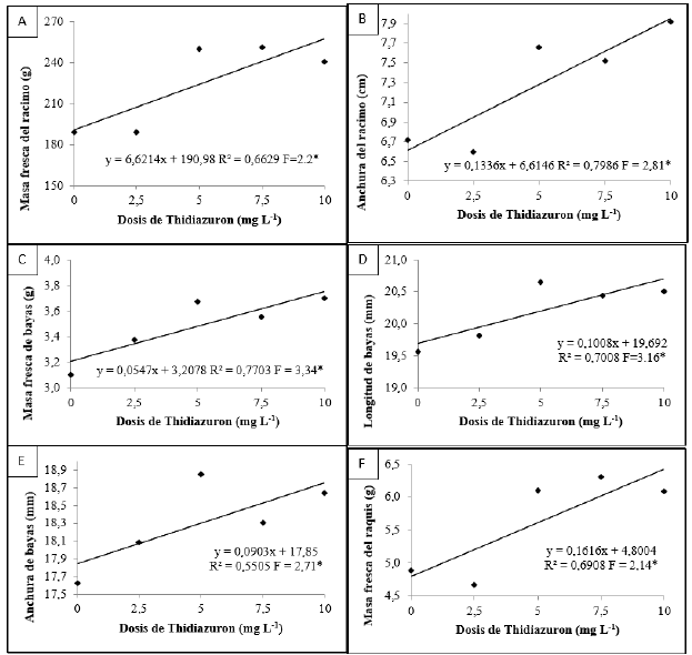
Se observó un efecto aislado de las dosis de TDZ sobre la masa fresca (Figura 1-A) y anchura del racimo (Figura 1-B), masa fresca (Figura 1-C), longitud (Figura 1-D) y anchura de la baya (Figura 1-E), y la masa fresca del raquis (Figura 1-F), ajustándose a modelos lineales en función de las dosis de TDZ. Por lo tanto, independientemente del patrón utilizado (‘IAC 766’ o ‘IAC 572’), la respuesta al regulador vegetal fue similar. En comparación con el testigo, la aplicación de 10 mg L⁻¹ de TDZ proporcionó un aumento del 27% en masa fresca del racimo y el 18% en su anchura; 19% en masa fresca, 5% en longitud y 6% en anchura de la baya; y 25% en masa fresca del raquis.
En ‘Niagara Rosada’, Botelho et al. (2004) obtuvieron, con dos aplicaciones de TDZ (5 mg L⁻¹), un incremento del 33,7% y 22,4% en la masa fresca de racimos y bayas, respectivamente. Zabadal et al. (2006) y Vieira et al. (2008a) concluyeron que el aumento de la masa de los racimos no se debió al aumento en el número de bayas por racimo, sino al incremento en la masa fresca de las bayas y, consecuentemente, su longitud y anchura, impulsado por la movilización de los nutrientes hacia estos órganos cuando se tratan con citocinina, y por la división y expansión celular intensa (Vieira et al., 2008b).

El aumento de la masa fresca del raquis en uvas por el uso de TDZ también fue observado por otros autores, tanto en ‘Niagara Rosada’ (Botelho et al., 2004), como en otros cultivares, como en ‘Kyoho’ (Byun et al., 1995) y ‘Rubi’ (Botelho, 2002). El aumento de la masa fresca del raquis promueve una mayor rigidez al pedicelo, reduciendo problemas con desgrana. Las citocininas actúan aún más en la reducción de la pérdida de agua del raquis en poscosecha, motivo de grandes pérdidas en cultivares de vid para mesa (Balic et al., 2012).
En cuanto a la longitud del racimo y del raquis, anchura del raquis y número de bayas por racimo de uva 'Niagara Rosada' no se ajustan a ningún modelo en función de las dosis de TDZ.
Para las variables relacionadas al mosto de uva ‘Niagara Rosada’, no hubo interacción entre las dosis de TDZ con los diferentes portainjertos.
Analizando por separado el efecto de los patrones, se encontró que el ‘IAC 766’ promovió valores mayores de pH y AT del mosto de uva, con un promedio de 3,18 y 0,62 g 100 mL-1, respectivamente, característica que también fue obtenida por otros autores estudiando los mismos patrones en ‘Niagara Rosada’ (Alvarenga et al., 2002; Mota et al., 2009). El menor valor de acidez titulable de ‘Niagara Rosada’ injertada en ‘IAC 572’ proporcionó a la uva mayor relación SS/TA (29.72), con un valor superior en 19,62% en comparación con las vides injertadas en ‘IAC 766’ (Tabla 2). Botelho et al. (2004) obtuvieron incremento en las características de racimos y bayas de ‘Niagara Rosada’ sin cambios en las propiedades químicas del mosto en el portainjerto ‘IAC 572’.

No se observó un efecto significativo de los portainjertos en el contenido de sólidos solubles (SS) del mosto de uva. Este resultado difiere de los encontrados por Mota et al. (2009) y Alvarenga et al. (2002), quienes obtuvieron mayor contenido de sólidos solubles en ‘Niagara Rosada’ injertada sobre ‘IAC 766’ en comparación con ‘IAC 572’. Valores menores de sólidos solubles fueron reportados por Alvarenga-Mendonça et al. (2018) en la región de Louveira-SP durante las cosechas de julio de 2014 y febrero y agosto de 2015, donde el portainjerto ‘IAC 766’ presentó valores mayores en las tres cosechas, mostrando una diferencia significativa en la cosecha de 2014.
En referencia a las dosis de TDZ, se ajustaron modelos cuadráticos para expresar la reducción del pH (Figura 2-A), SS (Figura 2-B) y para la relación SS/AT (Figura 2-D), obteniéndose los puntos mínimos de la función a 6,1 mg L⁻¹ de TDZ. Para la acidez titulable (AT) (Figura 2-C), se observó un aumento cuadrático en función de las dosis de TDZ, con un valor máximo de 0,6% de ácido tartárico en la dosis de 5,7 mg L⁻¹ de TDZ.

La reducción del pH, SS y de la relación SS/AT se debe al retraso en la maduración proporcionada por la aplicación de TDZ. Estos resultados coinciden con los obtenidos por Botelho et al. (2002) y Vieira et al. (2008a), quienes también observaron un retraso en la maduración de los racimos de los cultivares ‘Niagara Rosada’ y ‘Rubi’, respectivamente, con la aplicación de TDZ. Leão et al. (1999) encontraron un retraso de 8 días en la cosecha de uva ‘Perlette’ con la aplicación de CPPU junto con ácido giberélico. Los retrasos en la maduración de los frutos están estrechamente relacionados con la acción de la citocinina en las plantas, ya que esta hormona provoca el retraso de la senescencia mediante la reducción de proteínas específicas de la maduración (Chitarra y Chitarra, 1990).
Macedo et al. (2010), trabajando con el cultivar ‘Centennial Seedless’ injertado sobre el portainjerto ‘420 A’ y utilizando aplicaciones aisladas y crecientes de TDZ, mostraron un aumento lineal de la masa fresca, anchura de las bayas y del raquis, con una reducción de los sólidos solubles, siendo la dosis de 8 mg L⁻¹ la que presentó mayores valores agronómicos para masa y anchura de baya. En un estudio con CPPU, Raban et al. (2013) también observaron un retraso en la maduración de la uva ‘Superior’ debido a la baja acumulación de SS, así como un aumento de AT en las uvas ‘Superior’ y ‘Red Globe’ con la dosis de 2 mg L⁻¹.
CONCLUSIONES
Se obtuvo una mejor calidad física de los racimos y bayas utilizando una dosis de 10 mg L⁻¹ de TDZ. Los portainjertos no influyeron significativamente en la calidad física de los racimos, bayas y raquis. Además, la aplicación de TDZ promovió un retraso en la maduración de las uvas.
Agradecimientos
A la Fundação de Amparo à Pesquisa do Estado de São Paulo (FAPESP) por el apoyo financiero (proceso no 2015/16440-5) y al CNPq por la Bolsa de Productividad de Investigación (proceso no 307377/2021-0) y por el auxilio concedido (proceso no 406355/2018-5).
REFERENCIAS BIBLIOGRÁFICAS
ACHEAMPONG, A. K.; HU, J.; ROTMAN, A.; ZHENG, C.; HALALY, T.; TAKEBAYASHI, Y.; JIKUMARU, Y.; KAMIYA, Y.; LICHTER, A.; SUN, T. P.; OR, E. Functional characterization and developmental expression profiling of gibberellin signalling components in Vitis vinifera. Journal of Experimental Botany, EUA, v. 66, n 5, p. 1463–1476, 2015.
ALVARENGA, Â. A.; REGINA, M. A.; FRÁGUAS, J. C.; CHALFUN, N. N. J.; SILVA, A. L. Influência do porta-enxerto sobre o crescimento e produção da cultivar de videira Niágara Rosada (Vitis labrusca L. x Vitis vinifera L.), em condições de solo. Ciência e Agrotecnologia. Ed especial, p. 1459–1464. 2002.
ANGELOTTI-MENDONÇA, J.; MOURA, M.F.; SCARPARE FILHO, J.A.; VEDOATO, B.T.F.; TECCHIO, M.A. Rootstock on production and quality of ‘Niagara Rosada’ grapevine. Revista Brasileira de Fruticultura, Jaboticabal, v. 40, n..4: (e-023). 2018.
BALIC, I., MORENO, A., SANHUEZA, D., HUERTA, C., ORELLANAA, A., . DEFILIPPIB, B. G., CAMPOS-VARGAS, R. Molecular and physiological study of postharvest rachis browning of table grape cv Red Globe. Postharvest Biology and Technology, EUA, v. 72, p. 47–56, 2012.
BOTELHO, R. M.; PIRES, E. J. P. TERRA, M. M. Efeitos de reguladores vegetais na qualidade de uvas ´Niagara Rosada´ na região Noroeste do Estado de São Paulo. Revista Brasileira de Fruticultura, Jaboticabal, v. 26, n. 1, p. 74-77, 2004.
BOTELHO, R. V.; PIRES, E. J. P.; TERRA, M. M. Qualidade da uva de mesa ‘Vênus’ tratada com thidiazuron. Revista Ceres, Viçosa, v.49, n. 286, p. 629-639, 2003.
BOTELHO, R. V.; PIRES, E. J. P.; TERRA, M. M.; CATO, S. C. Efeitos do thidiazuron e do ácido giberélico nas características dos cachos de uva de mesa cultivar ‘Rubi’ na região da Nova Alta Paulista. Revista Brasileira de Fruticultura, Jaboticabal, v. 24, n. 2, p. 243-245, abril 2002.
BYUN, J. K.; KIM, J. S. Effects of GA., thidiazuron and ABA on fruit set and quality of ‘Kyoho’ grapes. Journal of the Korean Society for Horticultural Science, Kyongsan, v.36, n.2, p.231-239, 1995.
CENTRO DE PESQUISAS METEOROLÓGICAS E CLIMÁTICAS APLICADAS A AGRICULTURA (CEPAGRI). Clima dos Municípios Paulistas: Disponível em: <http://www.cpa.unicamp.br/outras-informacoes/clima-dos-municipios-paulistas.html>. Acesso em: 01 de fevereiro de 2016.
CHITARRA, M. I. F.; CHITARRA, A. B. Aspectos fisiológicos do desenvolvimento de frutos. In: ______. Pós-colheita de frutos e hortaliças: fisiologia e manuseio. Lavras: Esal/Faepe, 1990. 320p.
IAL, Instituto Adolfo Lutz (São Paulo). Métodos físico-químicos para análise de alimentos /coordenadores Odair Zenebon, Neus Sadocco Pascuet e Paulo Tiglea - São Paulo: Instituto Adolfo Lutz, 2008, p. 1020.
JIANG, T.; LUO, C.; WAN, W.; LIANG, R.; LU, T.; LI, Y.; XIE, F.; CHEN, C.; LI, X.; XIE, X.; HE, X. Effects of thidiazuron on the quality and storage properties of mango fruit during postharvest, Food Quality and Safety, 2023
KASHIWAQUI, M.; PENHA COSTA, B.; ROCHA DE MORAES R.; AUGUSTO, C.; CAETANO, J; SAMPAIO, M.; GUIMARÃES, V.; COSTA, A. REGULADORES VEGETAIS: UMA BREVE REVISÃO SOBRE A GIBERELINA. Revista SODEBRAS. 14. 11-16. 10.29367/issn.1809-3957.14.2019.166.11.t. 2019.
KERBAUY, G. B. Fisiologia vegetal. 2. ed. Rio de Janeiro: Guanabara Koogan, 2012. 431p.
KOUNDOURAS, S.; TSIALTAS, I.ZIOZIOU, E.; NIKOLAOU, N. Rootstock effects on the adaptive strategies of grapevine (Vitis vinifera L. cv. Cabernet–Sauvignon) under contrasting water status: Leaf physiological and structural responses. Agriculture, Ecosystems and Environment, v. 128, p. 86-96, 2008.
LAMA, F. M.; ATHAYDE, M. L. F.; BANZATTO, D. A.; FORTUNA, P. A. Cloreto de mepiquat, thidiazuron e ethephon aplicados no algodoeiro em Ponta Porã, MS. Pesquisa Agropecuária Brasileira, Brasília, v.34, n.10, p.1871-1880, out. 1999.
LEÃO, P. C. D. S.; LINO JUNIOR, E. C.; SANTOS, E. S. Efeitos do CPPU e ácido giberélico sobre o tamanho de bagas da uva ‘Perlette’ cultivada no Vale do São Francisco. Revista Brasileira de Fruticultura, Jaboticabal, v.21, n.1, p.74-78, 1999.
LEÃO, P.C.D.S.; BRANDÃO, E. O.; GONÇALVES, N.P.D.S. Produção e qualidade de uvas de mesa “Sugraone” sobre diferentes porta-enxertos no Submédio do Vale do São Francisco. Ciência Rural, v. 41, p. 1526-1531. 2011.
LOUREIRO, M.; MORENO-SANZ, P.; GARCIA, A,; FERNÁNDEZ, O.; FERNÁNDEZ, N.; SUÁREZ, B. Influence of rootstock on the performance of the Albarín Negrominority grapevine cultivar. Scientia Horticulturae, v. 201, p. 145-152. 2016.
MACEDO, W.R.; TERRA, M.M.; TECCHIO, M.A. PIRES, E.J.P. FERNANDES, G.M.;MOURA, M.F.; BOTELHO, R.V.; VILLAR, L. Características dos cachos e bagas de uvas ‘Centennial Seedless’ tratadas com thidiazuron e ácido giberélico. Ambiência Guarapuava (PR) v.6 n.3 p. 415 - 426. 2010.
MELLO, L. M. R. de.; MACHADO, C. A. E. Vitivinicultura brasileira: panorama 2021. Bento Gonçalves, RS: Embrapa Uva e Vinho,17 p. 2022.
MOK, M. C.; MOK, D. W. S.; ARMSTRONG, D. J.; SHUDO, K.; ISOGAI, Y.;OKAMOTO, T. Cytokinin activity of N-phenyl-N’-1,2,3-thidiazol- 5-urea (thidiazuron). Phytochemistry, Oxford, v. 21, p. 1509-1511, 1982.
MOTA, R. V.; SOUZA, C. R.; FAVERO, A. C.; SILVA, C. P. C.; CARMO, E. L.; FONSECA, A., REGINA, M. A. Produtividade e composição físico-química de bagas de cultivares de uva em distintos porta-enxertos. Pesquisa Agropecuária Brasileira, v. 44, n. 6, p. 576-582, 2009.
PAULETTO, D.; DE ASSIS ALVES MOURÄO FILHO, F.; KLUGE, R.A.; SCARPARE FILHO; J.A. Efeito do porta-enxerto na qualidade do cacho da videira “Niágara Rosada”. Pesquisa Agropecuaria Brasileira, v. 36, p. 935-939. 2001.
PEDRO JÚNIOR; M.J.; HERNANDES, J.L.; ABRAMIDES; P.L.G.; POMMER, C.V.; PEZZOPANE, J.R.M. Fenologia e produção da cultivar tetraplóide de uva de mesa Niabell sobre diferentes porta-enxertos. Bragantia, v. 65, p. 109-114. 2006.
PEREIRA, G. E.; TONIETTO, J.; ZANUS, M. C.; SANTOS, H. P. dos; PROTAS, J. F. da S.; MELLO, L. M. R. de. Vinhos no Brasil: contrastes na geografia e no manejo das videiras nas três viticulturas do país. Bento Gonçalves, RS: Embrapa Uva e Vinho. Embrapa Uva e Vinho. Documentos, 121. 2020.
PIRES, E. J. P.; MAIA, J. D. G. Uso de reguladores vegetais na videira Niágara. O cultivo da videira Niágara no Brasil. Brasília, DF: Embrapa, p. 275-284. 2012
PIRES, E.J.P.; BOTELHO, R.V.; TERRA, M.M. Efeitos do CPPU e do ácido giberélico nas características dos cachos da uva de mesa 'Centennial Seedless'. Ciência e Agrotecnologia, Lavras, v. 27, n. 2, 2003.
RABAN, E.; KAPLUNOVC, T.; ZUTAHYC, Y.; DAUSC, A.; ALCHANATISD, A.; OSTROVSKYD, V.; LURIEC, S.; LICHTERC, A. Rachis browning in four table grape cultivars as affected by growth regulators or packaging. Postharvest Biology and Technology, EUA, v. 84, n. 1, p. 88–95, 2013.
RIZK-ALLA, M. S.; SABRY, G. H.; ABD EL-WAHAB, M. A. Influence of Some Rootstocks on the Performance of Red Globe Grape Cultivar. Journal of American Science, v. 7, n. 4, p. 71-81, 2011.
RODRIGUES, A.; ARAUJO, J.P.C.; GIRARDI, E.A.; SCARPARE, F.V.; SCARPARE FILHO, J.A. Aplicação de AG. e CPPU na qualidade da uva 'Itália' em Porto Feliz-SP. Revista Brasileira de Fruticultura, Jaboticabal, v. 33, n. 1, 2011.
TAIZ, L.; ZEIGER, E. Fisiologia vegetal. 5. ed. Porto Alegre: Artmed, 2013. 918p.
TECCHIO, M. A.; PIRES, E. J. P.; RODRIGUES, J. D.; VIEIRA, C. R. Y. I., TERRA, M. M.; BOTELHO, R. V. Aplicação de bioestimulante nas características ampelométricas da infrutescência da videira ‘Tieta’. Revista Brasileira de Fruticultura, v. 27, n. 2, p. 300-303, 2005.
TECCHIO, M. A.; TEIXEIRA, L. A. J.; TERRA, M. M.; MOURA, M. F.; PIRES, E. J. P. Extração de nutrientes pela videira ‘Niagara Rosada’ enxertada em diferentes porta-enxertos. Revista Brasileira de Fruticultura, v. 33, n. 1, p. 736-742, 2011.
TECCHIO, M. A.; TERRA, M. M.; CIA, P.; PIRES, E. J. P.; MOURA, M. F.; SANCHES, J.; BENATO, E. E.; HERNANDES, J. L.; VALENTINI, S. R.; SICRIST, J. M. M. Efeito do ácido naftalenoacético e do cloreto de cálcio na redução das perdas pós-colheita em uva ‘Niagara Rosada’. Revista Brasileira de Fruticultura, v. 31, n. 1, p. 53-61, 2009.
TECCHIO, M.; MOURA, M.; TEIXEIRA, L.; PIRES, E.; LEONEL, S. Influence of rootstocks and pruning times on yield and on nutrient content and extraction in 'Niagara Rosada' grapevine. Pesquisa Agropecuária Brasileira, v.49, n.5, p.340-348, 2014.
TECCHIO, M.A.; BOTELHO, R.V.; PIRES, E.J.P.; TERRA, M.M.; HERNANDES, J.L. Efeitos do CPPU e do ácido giberélico nas características morfológicas dos cachos e bagos da uva 'Vênus'. Acta Scientiarum, Maringá, v. 28, n. 4, 2006.
URZUA, G. N. A.; RODRÍGUEZ, R. C.; MEZA, G. R. Evaluation of growth regulators asthinners on 'Thompson Seedless' table grapes clusters. Rev. Fac. Cienc. Agrar., Univ. Nac. Cuyo, Mendoza, v. 49, n. 1, p. 01-14, 2017.
VIEIRA, C. R. Y. I.; PIRES, E. J. P.; TERRA, M. M.; TECCHIO, M. A.; BOTELHO, R. V. Efeitos do ácido giberélico e do thidiazuron sobre as características dos frutos e do mosto da uva ‘Niagara Rosada’. Revista Brasileira de Fruticultura, Jaboticabal, v. 30, n. 1, p. 012-019, mar. 2008a.
VIEIRA, C. R. Y. I.; PIRES, E. J. P.; TERRA, M. M.; TECCHIO, M. A.; VIEIRA, M. C. Reguladores vegetais influenciando número e tamanho de células das bagas da uva ‘Niagara Rosada’. Revista Brasileira de Fruticultura, Jaboticabal, v. 30, n. 1, p. 025-030, mar. 2008b.
VRŠIČ, S.; PULKO, B.; KOCSIS, L. Factors influencing grafting success and compatibility of grape rootstocks. Scientia Horticulturae, v. 181, p. 168-173, 2015.
ZABADAL, T.J., BUKOVAC, M.J., 2006. Effect of CPPU on fruit development of selected seedless and seeded grape cultivars. HortScience 41, 154–157.
ZHANG, Y.; ZHEN, L.; TAN, X.; LI, L.; WANG, X. The involvement of hexokinase in the coordinated regulation of glucose and gibberellin on cell wall invertase and sucrose synthesis in grape berry. Molecular biology reports, v. 41, n. 1, p. 7899–7910, 2014.
ZOFFOLI, J.P.; LATORRE, B.A.; NARANJO, P. Preharvest applications of growth regulators and their effect on postharvest quality of table grapes during cold storage. Postharvest Biol. Technol., v. 51, p. 183–192, 2009.