Diseño y Tecnología
Recepción: 17 Septiembre 2020
Aprobación: 19 Agosto 2021
DOI: https://doi.org/10.15381/idata.v24i2.18756
Resumen: El polímero es un material termoplástico que puede cristalizarse en las siguientes formas: α (monoclínica), β (trigonal) y ϒ (ortorrómbica); estas formas poseen características que aportan propiedades fisicoquímicas específicas en una misma formulación. La forma cristalina α se encuentra en mayor proporción y es la más estable y sencilla de producir. Sin embargo, en las materias primas de las tuberías de polipropileno beta nucleado y monocapa RP (Resistente a la presión) y tuberías de fibra de polipropileno RP, se realizan los procesos necesarios para producir estructuras β en posiciones donde lo más sencillo sería disponer de cristales α, ya que este proceso favorece la formación de una estructura cristalina hexagonal estable, fina y una distribución de tamaño homogénea. Estos atributos derivan en una optimización de las prestaciones mecánicas del sistema, en la que una mezcla de estas formas (α y β) va a proporcionar una propiedad termo-mecánica muy óptima.
Palabras clave: PP-R (Polipropileno), trasiego, biocida, austeníticos, biocapa.
Abstract: A polymer is a thermoplastic material that crystallizes in three forms: α (monoclinic), β (trigonal) and γ (orthorhombic). These forms have characteristics that provide specific physicochemical properties in the same formulation. The α crystalline form is found in higher proportion and is the most stable and simplest to produce. However, the raw material of the beta-nucleated polypropylene and PR (pressure resistant), monolayer pipes and PR fiber polypropylene pipes are processed to produce β structures in ways where it would be easier to have α crystals, since this process favors the formation of a stable, fine hexagonal crystalline structure and a homogeneous size distribution. These attributes derive in an optimization of the mechanical performance of the system, in which a mixture of these forms (α and β) will provide a very optimal thermo‑mechanical property.
Keywords: PP-R (polypropylene random copolymer), transfer, biocidal product, austenitics, biofilm.
INTRODUCCIÓN
El inventor estadounidense John Hyatt diseñó el celuloide, que es un material plástico y cuya composición consta de una disolución constituida por carbohidrato proveniente de las plantas, celulosa y una mezcla de alcohol etílico y alcanfor; asimismo, recibe el nombre de “material termoplástico” debido a su propiedad de ser moldeado y suavizado cuando se expone al calor (Concha, 2014).
Posteriormente llegaría en 1907 la baquelita, un invento de Leo Baekeland, que fue calificada como el primer plástico termoestable o termofijo, es decir, que es moldeable cuando se funde. Para 1930, en Inglaterra se fabricó por primera vez el polietileno (PE), un termoplástico resultado de la polimerización del gas etileno sometido a presión y calor. Alrededor de 1950 se creó de manera similar el polipropileno, resultado del mismo proceso aplicado al propileno. Actualmente este termoplástico parcialmente cristalino es clasificado como una poliolefina y su uso es muy recurrente para múltiples aplicaciones (Concha, 2014). Según sus propiedades, las aplicaciones industriales están más asociadas al uso en el transporte de ácidos y bases, incluso a altas temperaturas (Concha, 2014).
El sistema de tuberías de polipropileno beta nucleado es una de las mejores elecciones para la fabricación de tuberías destinadas al trasiego de fluidos como, por ejemplo, el agua potable. El rango de trabajo en cuanto a presión y temperatura del PP-R (Polipropileno Copolímero Random) del sistema de tuberías de polipropileno beta nucleado es totalmente compatible con los tratamientos para prevenir la contaminación por Legionella durante el mantenimiento de las tuberías como, por ejemplo, el choque térmico.
Esto significa que la prevención de la legionelosis se encuentra bajo constante evaluación y, en consecuencia, presenta cambios periódicos. Este tema es más relevante en países donde existe relación entre el desarrollo de las enfermedades y la industria del país. Dicha relación no es observable en otros países, ya sea por la falta de análisis o porque la contaminación por Legionella no es frecuente. En efecto, el control continuo, las nuevas estrategias y la evaluación resultan en una buena prevención de contraer enfermedades como la legionelosis. Es un hecho que la conservación de los equipos y las condiciones de su entorno son importantes; sin embargo, en el ámbito urbano, el mal es causado por malos diseños de la edificación, inadecuada construcción y descuido del control de la calidad del agua de las instalaciones (Gea, Mezones, y Haro, 2012).
En suma, el PP-R del sistema de tuberías de polipropileno beta nucleado cumple con el Decreto Supremo N.° 031-2010 (2010), en donde se imponen las normativas acerca de la administración de la calidad de agua con fines de consumo humano, con el objetivo de asegurar su inocuidad, evitar riesgos para la salud humana y así mantener la salubridad en la población.
El uso de ClO2 no es recomendable para la desinfección del agua de consumo.
Históricamente, los metales han sido siempre la primera opción en la elección de materiales para fontanería. Sin embargo, tal y como se ha visto, los polímeros técnicos han ido sustituyéndolos. A diferencia de lo que su propio nombre especifica, el acero inoxidable no es inoxidable. Lo que permite que tenga este nombre es que, en comparación con el acero normal, puede soportar mucho más tiempo ante unas mismas condiciones de trabajo antes de mostrar signos de fatiga. Sin embargo, no todos los aceros inoxidables tienen las mismas propiedades ni, por supuesto, calidades.
Los aceros inoxidables austeníticos son los más comunes, de los cuales, la serie 300 es el subgrupo más grande y, dentro de este, el AISI 304, seguido por el AISI 316, son sus dos referencias más comunes, cuyo alto contenido en cromo y níquel aumentan su resistencia a la corrosión. Además, el manganeso, fósforo, sulfuro y silicio también están integrados a su composición química, que de forma general es hierro (Goodfellow, s.f.a; Goodfellow, s.f.b). Las diferencias entre ambas aleaciones pueden ser considerables, dependiendo de la instalación, siendo la más notable el contenido de molibdeno en el AISI 316, que mejora la resistencia a la corrosión con respecto al AISI 304 en ambientes salinos o expuestos a soluciones de cloruro, que son los más perjudiciales para el acero inoxidable.
Esta investigación se realiza con el fin de concientizar a los profesionales de todas las ramas de ingeniería (proyectistas, contratistas, propietarios, consultores, etc.) de que existe una alternativa para diseñar o construir un proyecto que cumpla con todos los requisitos técnicos e incluso los supere, ya que las tuberías de polipropileno beta nucleado duran muchos años, a diferencia de una tubería de acero inoxidable que, a pesar de todo, se deteriorará.
Corrosión en acero inoxidable
El acero tiende a oxidarse cuando queda expuesto al ambiente, puesto que entra en contacto con el oxígeno y el vapor de agua presente en el aire, los cuales causan la formación de óxidos e hidróxidos de hierro en su superficie. Si no se frena, la oxidación penetra en todo el espesor de metal hasta corroerlo en su totalidad; por este motivo, existe una infinidad de estrategias para evitar que suceda.
El acero inoxidable se tiende a pasivar antes de permitir que la corrosión penetre su pared, de modo que se forma una fina película de óxido de cromo, la cual es más resistente a la corrosión; cuando esta película de óxido de cromo se elimina, vuelve a formarse al entrar el cromo en contacto con el oxígeno. Sin embargo, tal y como se ha comentado anteriormente, los aceros inoxidables siguen siendo vulnerables a la corrosión, que puede presentarse mediante distintos mecanismos:
a) Corrosión intergranular
Un tratamiento inadecuado (incluidos tanto las temperaturas usadas durante la fabricación del acero como los procedimientos de calentamiento durante las soldaduras) puede producir retículas con alta concentración en carbono, lo que promueve la corrosión intergranular. En estas condiciones, la superficie permite la oxidación del metal en condiciones corrosivas y reduce su vida útil en muchos ambientes relativamente ligeros.
b) Corrosión galvánica
La corrosión galvánica se produce de forma localizada y en distintas condiciones. Uno de los casos más comunes ocurre cuando dos metales distintos están en contacto directo (como es el caso de las uniones roscadas con válvulas de latón y tuberías de acero inoxidable o cobre); esta acción incrementa cuando se encuentran en ambientes húmedos o sumergidos en soluciones de electrolitos.
En un medio corrosivo, esta situación se agrava exponencialmente, lo que resulta en la disolución del electrodo anódico, mientras que el cátodo permanece inalterable. Los factores que influencian en mayor proporción el par galvánico son:
· Conductividad del fluido.
· Diferencia de potenciales de reducción de metales en contacto directo.
· Polarización.
· Áreas relativas del cátodo y ánodo en suma relación geométrica entre superficies de contacto.
c) Aireación diferencial
Una partícula semiincrustada en la superficie puede ser suficiente para eliminar la capa protectora de óxido de cromo. A pesar de que la partícula haya sido eliminada, su acción de atacar la superficie continúa, ya que se ha constituido una celda electrolítica duradera entre la porción de superficie anódica atacada y la vasta área catódica.
d) Picadura
Las soluciones de cloruros suelen causar corrosión por picadura en la superficie de contacto con acero inoxidable, que se ve prácticamente atacado mediante picaduras en las que se pueden desarrollar celdas electrolíticas.
Los cloruros ácidos, como el cloruro de hierro (III) y el cloruro de sodio, son dos de los compuestos que con mayor frecuencia promueven este tipo de corrosión, aunque cualquier cloruro en concentración apreciable puede causarla. Muchas veces los cloruros son el factor crítico en situaciones donde no se esperaría ver corrosión en el acero inoxidable.
e) Corrosión por fatiga
Aunque el usuario común no sea consciente de su existencia, la corrosión por fatiga es otro de los riesgos que suele promover y facilitar la presencia de corrosión en una tubería de acero inoxidable. Casi todos los metales y aleaciones pueden fallar al agrietarse a nivel microscópico en condiciones que impliquen la existencia de tensiones en un medio ligeramente oxidante. En este caso, también las soluciones de cloruros son uno de los medios más perjudiciales.
f) Corrosión inducida por actividad microbiológica (MIC, por sus siglas en inglés)
Debido a distintas evidencias, se ha empezado a sostener firmemente que muchos de los casos, en los que los procesos termodinámicos no explicaban la causa de la corrosión, pueden estar ocasionados por biofilms en la llamada Microbiology Influenced Corrosion (MIC). Actualmente, es objeto de múltiples investigaciones, desde distintos frentes.
Existen diversas causas para la propagación del material biológico en este tipo de corrosión; estas dependen de la bacteria responsable y de la morfología final de la superficie del metal. Por ejemplo, el Fe2+, ion comúnmente considerado un biocida, tiende a atraer bacterias reductoras de hierro que, por el contrario, lo usan en su metabolismo.
Una vez creado el biofilm, que se compone principalmente de agua, el ambiente se ve modificado radicalmente; así, el biofilm actúa como electrolito y puede llegar a alterar reacciones conocidas y controladas, o causar reacciones que no se desarrollarían sin presencia biológica.
Se puede observar que el principal causante de fallo en un acero inoxidable es la corrosión. Por su naturaleza, los polímeros son totalmente inmunes a dicho proceso.
Debemos tener en cuenta que en muchos proyectos realizados en el Perú se utilizan tuberías de acero inoxidable, ya sea para transportar fluidos como agua aséptica o fluidos que podrían ser corrosivos. Si bien las tuberías de acero inoxidable evitan la corrosión, estas tienen sus desventajas, como por ejemplo:
· El costo es muy alto.
· Presentan un peso elevado que podría sobrecargar la estructura de una edificación.
Como se ha mencionado, utilizar este tipo de tuberías presenta muchos inconvenientes; sin embargo, existen alternativas. El presente artículo propone el uso de las tuberías de polipropileno como una opción con múltiples ventajas, tales como:
· No se corroe.
· Es aséptica.
· Presenta menor peso.
· El costo es menor.
· Su instalación es más fácil y rápida.
El tema tratado en la presente investigación requiere mayor profundización, puesto que se trata de un proyecto que no tiene mucha aceptación en el país, ya que se siguen utilizando tuberías de acero inoxidable a pesar de que estas incurren en mayores costos de empleo y de la propia tubería. Las tuberías de acero inoxidable también son muy utilizadas en el sector minero para el transporte de agua corrosiva, pero estas tuberías de acero tienden a corroerse, y los tubos más apropiados para esa labor serían los de polipropileno.
El fin de este trabajo es incentivar el uso de tuberías de propileno en lugar de tuberías de acero inoxidable, ya que, si bien prima el uso de las primeras por su resistencia a la corrosión, estas son de alto costo y peso; además, su transporte es más difícil en comparación con las tuberías de polipropileno. Por otra parte, las tuberías de propileno se han ido desarrollando y mejorando con la ayuda de la ingeniería para que sus cualidades se asemejen a las características de las de acero inoxidable, de modo que puedan competir con estas.
HIPÓTESIS
Las tuberías de propileno son económicas y ambientalmente más óptimas que las tuberías de acero inoxidable.
METODOLOGÍA
¿Por qué elegir tuberías de polipropileno en vez de tuberías de acero inoxidable?
El sistema de tubería de polipropileno beta nucleado presenta ventajas con respecto a las propiedades fisicoquímicas de las tuberías de acero inoxidable.
La evolución de las tuberías de polipropileno a tuberías de polipropileno beta nucleado
La notable mejora de los materiales y el aprendizaje sobre sus propiedades mecánicas y físicas han originado un increíble y evidente avance en todos los campos. En fontanería, los metales fueron los materiales que más se emplearon hasta hace unas décadas debido a su resistencia mecánica. Sin embargo, con el paso del tiempo, estos materiales han presentado muchos inconvenientes (Serrano, 2017).
Según Serrano (2017), de las principales ventajas de las tuberías de polipropileno, que resuelven los problemas planteados en las instalaciones metálicas, se pueden destacar las siguientes:
· 100 % de resistencia a la corrosión.
· Mínima conductividad térmica.
· Absorción a nivel acústico.
· Alta resistencia a los agentes químicos (material inerte ante soluciones de cloruros).
· Viabilidad.
· Reciclable en su totalidad, por lo que contribuye en la sostenibilidad del medio ambiente.
· Menor tiempo de instalación.
· Reducción del peso en la instalación.
Sin embargo, un aspecto importante que se debe tener en cuenta es el uso, cada vez mayor, de cloro en instalaciones de agua caliente para las desinfecciones de alto impacto en los materiales que muchas empresas se ven obligadas a ejecutar. De la necesidad de actuar frente a casos de termodegradación oxidativa ocasionada por este factor nació el sistema de tubería de polipropileno beta nucleado.
Mejora de características termomecánicas
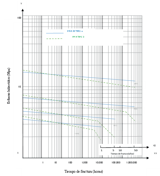
La utilización del polímero RA7050 de Borealis, un polímero copolímero random con cristalinidad modificada y elevada resistencia a la temperatura (PP-R, tipo 4), ofrece una mejor característica mecánica con el paso de los años en instalaciones que transportan fluidos de alta temperatura; de esta manera garantiza la durabilidad a una mayor presión.
En la Figura 1 se observan las diferencias entre las curvas de referencia para las resistencias esperadas tanto del PP-R tipo 3 como del PP-R tipo 4, donde se observa que la curva del PP-R tipo 4 tiene una menor pendiente, lo que quiere decir que tiene un excelente comportamiento a elevadas temperaturas en comparación con el PP-R tipo 3.
Para profundizar en este aspecto, podemos comparar las gamas de tubería de polipropileno beta nucleado con las de tubería de polipropileno monocapa RP y tubería de fibra de polipropileno RP con respecto a sus características de resistencia mecánica ante la temperatura y teniendo en cuenta su vida útil esperada. Así, se observa que la tubería de polipropileno beta nucleado presenta mayores prestaciones mecánicas debido a su SDR y aditivación, ya que la formulación de su materia prima es ligeramente superior a la del PP‑R RP (Italsan, 2017).

Resistencia a procesos de desinfección:
Tal y como se establece en los protocolos de tratamiento de desinfección del Decreto Supremo N.° 031-2010-SA (2010) así como del Real Decreto 865/2003 (2003), los compuestos químicos, como el cloro libre, deben usarse siempre por separado de los tratamientos por aumento de temperatura, como los choques térmicos.
Entre otras razones, esta especificación se hace porque los compuestos desinfectantes son de naturaleza oxidante y al aumentar la temperatura se convierten en agentes muy agresivos para la instalación. Este hecho ocurre tanto en distribuciones de tuberías de plástico como en tuberías de metales, incluyendo el cobre y el acero inoxidable AISI 316; también ocurre en otras partes de la instalación, como los acumuladores, intercambiadores y válvulas.
El sistema de tubería de polipropileno beta nucleado está formulado con una materia prima capaz de resistir una mayor concentración de cloro a mayor temperatura, teniendo en cuenta siempre que la distribución está sometida a presión. Obtuvo la clasificación de CL3 según ASTM F876 ‑ 20B (American Society of Testing Materials, 2020) en los ensayos realizados por el prestigioso laboratorio Exova, acreditado para realizar tales operaciones. Según la norma ASTM F2023 (American Society of Testing Materials, 2015), las tuberías deben someterse a las siguientes condiciones:
· 4.3 ppm de hipoclorito de sodio
· pH 6.8
· Temperaturas de 115 °C, 105 °C y 95 °C.
Con la altísima resistencia a la degradación termo-oxidativa mostrada en los resultados, se comprobó la superioridad del sistema de tuberías de polipropileno beta nucleado ante las demás gamas de PP-R y PP-R RP, por lo que quedó garantizado su uso en distribuciones a temperatura y presión elevadas con trasiego de fluidos con alto contenido de hipoclorito de sodio.
En una segunda instancia, en ensayos internos, se encontró que, en comparación con otras gamas de tuberías existentes en el mercado, las muestras de tubería de polipropileno beta nucleado ofrecieron valores de tiempos de inducción a la oxidación (OIt) un 40% superiores a las anteriores una vez expuestas las muestras a 4.5 ppm de cloro libre, 95 °C y 5 bar.
La relevancia del uso de un sistema de tubería de polipropileno beta nucleado radica en las facilidades que brinda desde un punto de vista técnico y económico, pues se trata de un material que manifiesta innovación al ser comparado con el acero inoxidable, gracias a su bajo costo y las bondades que brinda al realizar una instalación, puesto que contribuye a que esta se ejecute de manera rápida y sencilla. Cabe destacar que también significará un menor peso en la estructura civil que se ha instalado.
RESULTADOS
Características físicas directamente relacionadas con la eficiencia energética
Al ser fabricado con PP-R, el sistema de tuberías de polipropileno tiene 100% garantizada la resistencia a la corrosión, tanto en el interior de la tubería como en su superficie, por lo que es totalmente inmune a los incrementos de conductividad eléctrica causados por la presencia de electrolitos o los cloruros. Este hecho presenta dos impactos que se producen en el cotejo con una instalación elaborada con tubería de acero inoxidable:
· El polipropileno no requiere ningún empleo de protección independientemente del medio circundante.
· El impacto es directamente proporcional a la eficiencia energética.
En este segundo apartado se desarrolla un análisis concreto, donde se demuestra que la disminución radical de probables depósitos e incrustaciones y la no existencia de corrosión permiten disminuir el consumo en los sistemas de bombeo durante toda la vida útil de la instalación, lo que reduce el consumo energético e incrementa la eficiencia de la instalación.
La pérdida de carga que se produce en las tuberías metálicas varía en función del estado de corrosión que existe en las mismas. En la Figura 2 se observan los resultados publicados por Rahmeyer (2009, como se citó en Italsan, 2015), donde se relaciona el aumento de las pérdidas de carga en una tubería metálica en función de su estado de corrosión.

Contrastación de hipótesis:
Con el fin de probar la eficiencia de un sistema de tubería de polipropileno beta nucleado frente a un sistema de tubería de acero inoxidable, se analizan los datos obtenidos en la Figura 2, donde se observa claramente la caída de carga de las tuberías metálicas debido a la corrosión a la que están expuestas. Además, al observar el estado de corrosión de ambos materiales, es posible notar la propiedad de total resistencia a la corrosión por parte del sistema de tubería de polipropileno beta nucleado y, a su vez, la limitada resistencia a la corrosión del acero inoxidable. De esta manera, queda en evidencia la optimización que significaría el uso del sistema de tubería de polipropileno beta nucleado en el punto específico de resistencia a la corrosión por parte del material.
También se cuenta con el conocimiento empírico de la carga estructural que ofrece el sistema de tubería de polipropileno beta nucleado, puesto que este material es mucho más liviano que un sistema de tubería de acero inoxidable, lo que permite contar con una estructura con menor peso y mayor factibilidad para su instalación (ver Tabla 1).
Cabe mencionar las ventajas económicas que conllevaría hacer uso de un sistema de tubería de polipropileno beta nucleado, ya que este material es mucho más económico en comparación con los altos precios en los que incurre un sistema de tubería de acero inoxidable.

DISCUSIÓN
Características físicas directamente relacionadas con la eficiencia energética térmica
a) Baja capacidad de transmisión de calor, dispersión térmica y condensación limitadas
La baja conductividad térmica de las tuberías de polipropileno (λ = 0,24 W/mK) puede provocar una reducción significativa de la temperatura del material, del diámetro y del espesor del aislamiento.
Los cálculos de espesor correspondientes se pueden realizar utilizando el software de cálculo de pérdidas del mercado internacional. El cálculo se basa en el coeficiente de conductividad térmica según UNE-EN ISO 12241:2010 (Organización Internacional de Normalización [ISO], 2010). Este procedimiento establece la pérdida de calor y la condensación de poros que se produce en la tubería (Tabla 2).
Existen 2 razones por las que se debe colocar aislamiento en la red de tuberías en instalaciones térmicas:
· Evitar la generación de condensaciones superficiales en la superficie de la tubería
· La pérdida total de calor de todas las tuberías no debe exceder el 4% de la potencia máxima de transporte, siguiendo lo establecido en el Reglamento de Instrucciones Térmicas de los Edificios (RITE) (Real Decreto 1027/2007, 2007).

b) Disminución del riesgo de condensaciones
Con base en el principio físico que indica que una masa de aire con temperatura y humedad relativas X producirá condensaciones sobre la superficie del material siempre y cuando la temperatura superficial del aislamiento (Tx) sea inferior a la temperatura de rocío del aire exterior en las condiciones de temperatura y humedad consideradas, se tiene que:
· se genera la condensación cuando Trocío > Tx
· no se genera la condensación cuando Trocío < Tx.
Para este caso, las condiciones menos favorables son la transferencia de fluido frío, temperatura ambiente alta y humedad relativa alta.
El PP-R no es buen conductor del calor, o lo que es lo mismo, el valor de su conductividad térmica es muy bajo, por lo que el riesgo de condensaciones superficiales sobre la tubería disminuye y puede llegar a niveles muy bajos.
Además, en caso de existir condensación superficial, no existe la posibilidad de degradación por corrosión del material, puesto que el material es el mismo que el que se encuentra en el interior de las tuberías en contacto con el agua. Las tuberías metálicas poseen un coeficiente de conductividad térmica muy alto, por lo que el riesgo de condensación superficiales es muy superior al de las tuberías de PP-R.
c) Disminución de las pérdidas térmicas
Lo principal para una eficiente instalación es eludir el derroche de energía durante su producción y la siguiente repartición. La baja conductividad térmica del PP-R ayuda a mantener las temperaturas del fluido transportado, lo que resulta en mejoras gracias a la materia bruta, puesto que permite reducir en algunas ocasiones el espesor de aislamiento con respecto al considerado en el método simplificado del RITE. En estos casos, se reduce considerablemente el espacio necesario para la instalación, lo que representa un motivo por el cual elegir el sistema tubería de polipropileno en las actuaciones de reforma.
En el ordenamiento pseudoestacionario, la menor conductividad térmica del polipropileno, λ=0.024 W/(mK), disminuye las alteraciones, lo que resulta favorable frente a una instalación con materiales metálicos; esto quiere decir que la dispersión térmica producida a lo largo de la instalación está más contenida, siendo innecesario producir tanto calor para suministrar ACS, calefacción y climatización hasta los puntos terminales (Italsan, s. f.).
Este suceso puede llegar a interpretarse como la disminución del consumo de la caldera de hasta un 10% en las instalaciones donde hay recirculación de fluido con temperatura a lo largo de las 24 horas del día y 365 días del año.
Como conclusión, la utilización de tuberías de PP-R y de una herramienta de cálculo de pérdidas térmicas garantizan pérdidas térmicas máximas de 4% con el espesor de aislamiento adecuado al material de la instalación.
d) Mínimo grado de ruidos en la instalación
Nuestro sistema de tuberías de polipropileno, gracias a su facultad de impregnación y apartamiento acústico, amortigua de forma notable los efectos sonoros en la instalación, ofreciendo bienestar acústico en las estancias.
CONCLUSIONES
Reducción de tiempos de manipulación en la instalación
El sistema de conexión de tuberías de polipropileno se basa en un acoplamiento molecular. Estos tipos de juntas no tienen precedentes en la industria de materiales poliméricos y ofrecen las siguientes ventajas:
· Tiempos de soldaduras más cortos (Norma DVS 2207-1), en comparación con las tuberías de acero inoxidable.
· Puesta en funcionamiento de la instalación inmediatamente después de la soldadura, sin tener que esperar para su enfriamiento como en el caso de tuberías metálicas.
Además, cabe resaltar que se puede prescindir de procesos de unión con intervención de llamas, es decir, los procesos para la conexión de tuberías de polipropileno son mucho más seguros que los de soldadura en acero inoxidable, los cuales exigen el uso de sopletes y protecciones específicas (Aristegui, 2017).
Reducción del peso para manipulación
Gracias a su densidad, que prácticamente tiene el mismo valor que la del agua, las tuberías realizadas en PP-R tienen un peso considerablemente menor que aquellas de acero inoxidable con mismo diámetro y longitud. Este hecho, además de disminuir el peso total de la instalación, supone una considerable disminución en los esfuerzos y, por lo tanto, en la dificultad de manipulación. Como las tuberías de PP-R son mucho más ligeras, pueden ser utilizadas por un mayor rango de usuarios y con una mayor comodidad.
Simplicidad en unión
Siempre que se mantengan los estándares de calidad durante el proceso, la termofusión es un proceso más sencillo que la soldadura de metales. En concreto, una mala aplicación de la llama durante la soldadura puede crear zonas propicias a la corrosión.
Bioseguridad
Tanto la formación de óxido como la deposición de incrustaciones (como la cal) en la superficie de acero inoxidable aumenta su rugosidad, lo que favorece la acumulación de microorganismos (que pueden ser metabólicamente activos, a su vez, a los óxidos de metal) que pueden crear biocapa o biofilm, los cuales son agregados de material biológico que protegen a los microorganismos que en él se alojan y sirven también como medio para la evolución de estos. En este aspecto, el riesgo de legionelosis aumenta considerablemente. Como respuesta a estos hechos, el usuario debe aumentar la concentración de desinfectantes en el agua que, si bien podría destruir un máximo aproximado del 70% del biofilm, inicia o agrava procesos de corrosión.
Una vez acabadas las actuaciones de desinfección, los nuevos microorganismos (que siempre estarán presentes en el agua) tienen nuevos lechos creados en las partes más críticas de la instalación para depositarse de nuevo, creando así un ciclo que terminará con la reducción drástica de la vida útil de la instalación y con riesgos a nivel sanitario para la propiedad.
Gracias a su materia prima, el sistema tuberías de polipropileno es más resistente a incrustaciones y tiene una total inmunidad ante la corrosión.
Específicamente, la tubería de polipropileno beta nucleado ofrece una resistencia mayor a la termo-degradación oxidativa, por lo que la adherencia de biofilm, que es el factor clave a evitar para la proliferación de legionela, se ve reducida gracias al buen estado de la superficie de contacto con el fluido.
AGRADECIMIENTO
Josep María Ferrer Bruach, Doctor en Ciencias Químicas y responsable del desarrollo de nuevos productos en Italsan.
REFERENCIAS BIBLIOGRÁFICAS
American Society of Testing Materials. (2015). ASTM F2023 – 15. Standard Test Method for Evaluating the Oxidative Resistance of Crosslinked Polyethylene (PEX) Pipe, Tubing and Systems to Hot Chlorinated Water. Recuperado de https://doi.org/10.1520/F2023-15
American Society of Testing Materials. (2020). ASTM F876 - 20B. Standard Specification for Crosslinked Polyethylene (PEX) Tubing. Recuperado de https://doi.org/10.1520/F0876-20B
Aristegui Maquinaria. (23 diciembre de 2017). Norma DVS2207-1. Soldadura de tubería a testa. Recuperado de https://www.aristegui.info/norma-dvs2207-1-soldadura-de-tuberia-a-testa/
Asociación Española de Normalización y Certificación. (2010). Aislamiento térmico para equipos de edificación e instalaciones industriales. Método de cálculo. (ISO 12241:2008). Recuperado de https://www.aenor.com/normas-y-libros/buscador-de-normas/une/?c=N0046295
Concha, S. I. (2014). Diseño del plan de aseguramiento de la calidad del proceso de termofusión de tuberías de polipropileno. (Tesis de pregrado). Universidad Nacional del Callao, Callao.
D. S. N.° 031-2010-SA. Aprueban reglamento de la calidad del agua para consumo humano. Ministerio de Salud (2010). Recuperado de http://www.digesa.minsa.gob.pe/publicaciones/descargas/Reglamento_Calidad_Agua.pdf
Gea, E., Mezones, E., y Haro, L. (2012). Acciones de prevención y control de la legionelosis: un reto para la salud pública española. Revista Peruana de Medicina Experimental y Salud Publica, 29(2), 272-276.
Goodfellow. (s. f.a). Acero Inoxidable - AISI 304 - Catalogo en línea - Materiales en pequeñas cantidades para el diseño. Recuperado de http://www.goodfellow.com/S/Acero-Inoxidable-AISI-304.html
Goodfellow. (s. f.b). Acero Inoxidable - AISI 316 - Catalogo en línea - Materiales en pequeñas cantidades para el diseño. Recuperado de http://www.goodfellow.com/S/Acero-Inoxidable-AISI-316.html
Italsan. (s. f.). Sistema de tuberías de Polipropileno pre aislado para distribución de agua caliente y refrigerada. Recuperado de https://sustraiakgrupo.com/wp-content/uploads/2018/09/Catalogo-NIRON-AIS-2013.pdf
Italsan. (2015). Soluciones para la gestión eficiente de redes de distribución y evacuación de fluidos en Establecimientos Hoteleros y Alojamientos Turísticos. Recuperado de https://italsan.com/media/files/documentos/catalogo_hotelero_2015.pdf
Italsan. (2017). La solución en salas de calderas – acumulación ACS. Recuperado de https://italsan.com/media/files/documentos/catalogo_niron_premium_2017.pdf
Real Decreto 865/2003, de 4 de julio, por el que se establecen los criterios higiénico-sanitarios para la prevención y control de la legionelosis (2003). Boletín Oficial del Estado. Recuperado de https://www.boe.es/buscar/pdf/2003/BOE-A-2003-14408-consolidado.pdf
Real Decreto 1027/2007, de 20 de julio, por el que se aprueba el Reglamento de Instalaciones Térmicas en los Edificios (2007). Boletín Oficial del Estado. Recuperado de https://www.boe.es/eli/es/rd/2007/07/20/1027/dof/spa/pdf
Serrano, E. (2017). Comparativa propiedades físico químicas: Sistemas termoplásticos vs tubería de acero. Hospitecnia, 1(9), 1-4. Recuperado de https://hospitecnia.com/sites/default/files/158828495321588284953.pdf