Producción y Gestión
Medición cuantitativa de la protección del trabajador como percepción conjunta de Seguridad y Salud Ocupacional en una empresa del sector gráfico y publicitario en Lima-Perú, 2021
Quantitative Measurement of Worker Protection from a Combined Perception of Occupational Safety and Health in a Graphic Advertising Company in Lima-Peru, 2021
Medición cuantitativa de la protección del trabajador como percepción conjunta de Seguridad y Salud Ocupacional en una empresa del sector gráfico y publicitario en Lima-Perú, 2021
Industrial Data, vol. 25, núm. 1, pp. 51-77, 2022
Universidad Nacional Mayor de San Marcos
Recepción: 02 Noviembre 2021
Aprobación: 14 Febrero 2022
Resumen: La empresa objeto de estudio presenta deficiencias en su Sistema de Gestión de Seguridad y Salud Ocupacional (SG-SSO). El objetivo de este estudio es determinar qué factores de un SG-SSO se relacionan con la protección del trabajador. Para este estudio descriptivo y correlacional con diseño no experimental transversal, se recolectó data por medio de una encuesta dirigida a 46 trabajadores en junio 2020. El resultado determinó que existen 27 riesgos laborales en las actividades que afectan la protección del trabajador y a la empresa; además, se determinó un índice de la protección del trabajador (IPT) de 68%, el cual fue relacionado con factores significativos del SG-SSO. Se concluye que las medidas de control sobre ambiente de trabajo seguro, limpieza y mantenimiento y áreas comunes disponibles son las más significativas que en relación con la protección del trabajador al reducir los peligros, los riesgos laborales, los accidentes y las enfermedades. Se recomienda establecer estrategias para incentivar el compromiso y participación del trabajador.
Palabras clave: riesgos laborales, índice de percepción, sector gráfico y publicitario, factores del sistema de seguridad y salud ocupacional, protección del trabajador.
Abstract: The Occupational Health and Safety Management System (OHSMS) in the company under study was found to be deficient. The objective of this study is to identify which factors of an OHSMS are related to worker protection. For this descriptive and correlational study with a non-experimental cross-sectional design, data was collected using a survey addressed to 46 workers in June 2020. The result determined that there are 27 occupational risks affecting worker protection and the company; a Worker Protection Index (WPI) of 68% related to significant factors of the OHMSMS was also determined. It is concluded that the control measures on safe working environment, cleaning and maintenance and available common areas are the most significant factors related to worker protection in terms of reducing hazards, occupational risks, accidents and diseases. It is recommended that strategies be established to encourage worker commitment and participation.
Keywords: occupational risks, perception index, graphic advertising industry, occupational health and safety factors, worker protection.
INTRODUCCIÓN
La seguridad en el ámbito laboral es una preocupación constante para la Organización Internacional de Trabajo (OIT) que debería ser una prioridad para todas las empresas e instituciones en cada país. En su informe, la OIT (2019) indicó que anualmente se producen 2.78 millones de muertes en el mundo por causas laborales, de las cuales 2.4 millones se relacionan con enfermedades ocupacionales. Estas situaciones generan costos cercanos al 3.94% en proporción al PBI mundial relacionados con indemnizaciones, horas hombre de trabajo perdidas, paradas de producción, la formación y la readaptación profesional, así como la atención médica. Todo ello sin considerar el sufrimiento y daño emocional en los trabajadores afectados y familiares. Los elevados costes incurridos por la falta de protección del trabajador, dirigen la atención sobre esta importante cuestión que urge resolver, donde el factor humano es el más relevante. Norman Mejía, consultor del Banco Interamericano de Desarrollo (BID), indicó en una entrevista que Perú registra un nivel crítico en su tasa de fatalidad que se ubica entre el 13.5% y 13.8% (Gestión, 2016). En comparación con Sudamérica que alcanza el 13.5%; Europa, Japón y Norteamérica registran una tasa de fatalidad del 3.5% (tres veces menos que los casos en Sudamérica) y países de África y Asia registran entre 20% y 21.3%. El índice de fatalidad o de letalidad es la probabilidad de muertes de trabajadores por un evento de inseguridad laboral (por altos riesgos laborales) en un período de tiempo, expresado como un índice en cifras por cada 10 000 trabajadores.
Gonzáles, Mateo y Gonzáles (2010) definen los riesgos laborales como la probabilidad de que un trabajador pueda sufrir un daño determinado derivado del trabajo. En esa línea, Álvarez y Faizal (2012) mencionan que los estudios sobre accidentes de trabajo y enfermedades ocupacionales se clasifican por grupos según el impacto en la integridad y salud del trabajador. El Ministerio de Trabajo y Promoción del Empleo (MTPE, 2021) reportó en los boletines de seguridad de SUNAFIL de 2020 que solo en el Perú se notificaron más de 22 507 accidentes de trabajo y 162 casos de accidentes mortales, lo que implica un índice de fatalidad anual de 0.73% para el 2020. De dicho informe se observa que los accidentes reportados con más mayor frecuencia fueron los ocasionados por falsos movimientos o esfuerzos físicos, caída de objetos, golpes por objetos, caída de altura, aprisionamiento o atrapamiento, choques contra objetos y contacto con químicos. Estadísticamente, los esfuerzos físicos son los riesgos más frecuentes y alcanzan anualmente cerca del 12% en el Perú. Estos involucran levantar, empujar, tirar, manejar, lanzar objetos, posturas inadecuadas, prolongadas y repetitivas, que pueden causar molestias puntuales o problemas crónicos no mortales (dolores, molestias, tensión, deformidades irreversibles o incluso incapacidad del trabajador).
En el mundo actual, cambiante y con tendencia a un alto nivel de competitividad, la capacidad de reacción y el tiempo para la toma de decisiones en las empresas son críticos, por lo que se necesita una gestión eficaz para el uso de los recursos, y en este marco, se debe garantizar el desarrollo del talento humano, pero sobre todo se debe asegurar la protección del trabajador. En los últimos años, la salud y seguridad en el trabajo en nuestro país ha adquirido nuevos lineamientos y actualizaciones que la han convertido en una de las normativas más reguladas para las empresas, más aún ahora que se le suman normativas debido a la pandemia. Desde el año 2020, el COVID-19 se ha convertido en la enfermedad de mayor preocupación a nivel mundial debido a su alto nivel de propagación y a las afecciones respiratorias y circulatorias, además de otras secuelas negativas que genera en el cuerpo humano, por lo que entonces las empresas deben cumplir prioritariamente con las normas de la Ley Nº 29783 de Salud y Seguridad en el trabajo y del Plan de Vigilancia COVID Resolución Ministerial N.° 972-2020 (2020), las cuales serán tomadas como base legal para el presente estudio.
En el entorno de la seguridad, los riesgos laborales y los sistemas de gestión de prevención de riesgos son temas ampliamente abordados a partir de los datos obtenidos de los resultados del desempeño de la seguridad para un estudio con metodologías cuantitativas. La seguridad del trabajo, según Cortés (2007), debe contemplar el análisis de los riesgos de accidentes, identificar y mejorar los factores que intervienen en la salud y seguridad ocupacional (SSO), y lograr el control de las consecuencias mediante técnicas de seguridad (métodos y procedimientos determinados).
La revisión de la literatura del presente artículo ha tomado diversas contribuciones de investigaciones desarrolladas en el Perú. Así se tiene el trabajo de Atencio (2013), cuyo objetivo fue diseñar medidas preventivas con un protocolo de accidentes laborales para una empresa del sector de la construcción y determinar la incidencia de accidentes laborales considerando las características de los mismos. A su vez, Mosqueira (2016) en su estudio diseñó un nuevo sistema de gestión aplicado a la SSO para la industria de plásticos e identificó 577 exposiciones de riesgo, el 43.67% de los cuales correspondían a los factores físicos y mecánicos. Asimismo, Ureta (2018) identificó las condiciones laborales del personal de enfermería del hospital «Zacarías Correa Valdivia» en Huancavelica asociadas con los riesgos laborales dentro del mismo, para ello elabora un cuestionario en donde se debe elegir entre 3 tipos de condiciones buenas, regulares y deficientes; encuentra así que el 63.5% labora en condiciones sociales regulares (relaciones personales y comunicación), el 58.7% labora en condiciones físicas regulares (recursos físicos, ambientales y materiales), y el 38.1% labora en condiciones psicológicas regulares (complejidad, tiempo, atención y rapidez). Las condiciones regulares se entienden como un nivel de percepción del ambiente laboral para realizar labores en condiciones seguras, saludables y no degradantes para la dignidad humana.
Por otro lado, un Sistema de Gestión de Salud y Seguridad Ocupacional (SG-SSO) se define como las condiciones y factores de la empresa para garantizar la protección del trabajador y que están relacionados con la cultura preventiva, la gobernanza y la tecnología que podrían impactar la SSO de los trabajadores (administrativos, operarios, temporales) o externos (contratados, visitantes o cualquiera en el lugar de trabajo). En un SG-SSO, se deben cumplir con las siguientes responsabilidades: (1) responsabilidad del empleador, que debe brindar salud y seguridad a sus trabajadores atendiendo lo normado en la ley vigente y (2) responsabilidad del trabajador, que debe cumplir con lo dispuesto en la empresa con respecto a la reglamentación interna del SSO (RISSO). La protección del trabajador es una variable importante que debe ser tomada en cuenta en la evaluación de un SG-SSO. Según Brunette (2003), de la Universidad de Massachusetts, la protección del trabajador debe tener en cuenta los elementos del sistema de trabajo contemplados entre los factores de la salud y seguridad industrial. Por ello, en su tesis doctoral define las siguientes 9 dimensiones:
• Ambiente de trabajo seguro (sin accidentes y riesgos)
• Capacitación sobre SSO
• Normas y reglas (para mitigar accidentes)
• Ropa y equipo personal (EPP)
• Avisos de seguridad (señaléticas visuales)
• Limpieza y mantenimiento (de equipos y áreas de trabajo)
• Áreas comunes disponibles (escaleras, pasillos, jardines, etc.)
• Servicios higiénicos (aseados y limpios)
• Cafeterías y comedores (aseados y limpios)
El sector de impresión gráfica tiene un proceso productivo que implica principalmente el uso de imprentas, tintas, colorantes y solventes químicos. Por ello, el riesgo químico por olores fuertes es elevado en dicho sector. Todo gas es considerado un riesgo y un contaminante químico, el cual llega a los pulmones al ser inhalado y, al mezclarse con el aire, se propaga rápidamente en el ambiente. Se identifica a través de la percepción de un olor y tanto su concentración como el tiempo de exposición deben mantenerse dentro de límites permisibles para no afectar la salud. En el artículo 1 del DS N° 015-2005-SA del MINSA, que define un reglamento sobre valores límite permisibles para agentes químicos en ambientes laborales, se estipula que las empresas deben «llevar control de riesgos inherentes a exposición, principalmente por inhalación, de agentes químicos presentes en los puestos de trabajo» (MINSA, 2005). Además, los riesgos por vibraciones y ruidos tienen repercuten en enfermedades que generan afecciones auditivas como la hipoacusia. Por otro lado, el riesgo por virus y bacterias es un peligro permanente en las empresas debido al alto potencial de contagios. Con el surgimiento de brotes pandémicos en los últimos tiempos, las autoridades sanitarias se han visto en la necesidad de evaluar medidas para contener la propagación con la elaboración de protocolos de control del agente biológico, tal como el Plan de vigilancia COVID-19 con RM Nº 972-2020-MINSA. Todo riesgo biológico está relacionado con la presencia de un agente biológico (virus, bacterias y hongos) que puede causar daños a la salud según su nivel de peligrosidad, el cual está determinado por el tiempo de exposición del trabajador y la concentración del material biológico, que aumentan el riesgo en espacios cerrados donde se comparte la actividad laboral.
A lo largo del tiempo se ha producido una evolución constante en los conceptos de trabajo y trabajador. Cada vez es más relevante tener en cuenta al personal para la identificación de los agentes de riesgo que afectan la SSO; por ello, es necesario considerar la percepción individual de cada trabajador, para obtener una percepción colectiva (grupal) que al ser medida se convierte en una nueva variable resultante y que en este estudio se ha denominado «percepción de la protección del trabajador», la cual determina la eficacia de un SG-SSO, dado que, al gozar de buena salud y bienestar (ausencia de enfermedad o riesgo de accidente), el trabajador se sabe y se siente protegido por la empresa.
El presente estudio se realizó en una mediana empresa del sector gráfico y publicitario de Lima, Perú, cuya actividad principal es la impresión de banners e instalación de paneles publicitarios y que presenta falencias en la evaluación del SG-SSO para la protección del trabajador. En junio de 2020, el comité SSO de la empresa realizó el estudio preliminar sobre la evaluación de la SSO que puso en evidencia tres aspectos: los riesgos laborales, la normativa vigente y la protección del trabajador. Al respecto de los riesgos laborales, el registro de monitoreo ocupacional determinó 27 riesgos potenciales dentro del ambiente laboral en las actividades de la empresa entre químicos, biológicos, físicos, disergonómicos y psicosociales que pueden afectar la protección del trabajador, causándole daños severos y afectando a la empresa. Los procesos que suponen el mayor riesgo son los de metalmecánica e impresión digital y los accidentes más frecuentes son por caídas de personal de altura, electrocución, dislocamientos, esguinces, lesiones y corte de manos, exposición a ruidos y vibraciones; además entre las enfermedades ocupacionales más frecuentes se encuentran la hipoacusia, hernia, lumbalgia y contagio de COVID-19. Se concluye que se deben implementar medidas preventivas en los procesos de la empresa para hacer frente a estos riesgos laborales. En cuanto a la normativa vigente, de acuerdo a lo establecido en la Ley Nº 29783 y del Plan de Vigilancia COVID con R.M. N.° 972-2020, se evidencia que el negocio no garantiza la eficacia de un sistema de gestión conforme a la normativa vigente para garantizar la protección del trabajador. Se concluye que, debido al incumplimiento de las normativas vigentes, la empresa tendría que asumir multas potenciales que ascienden a 1.358 millones de soles, lo que representa el 34% de su facturación anual, basándose en la escala de multas definidas por SUNAFIL, establecida en la Ley Nº 28806 y en el D.S. N.° 019-2006-TR del MTPE. En lo que respecta a la protección del trabajador, la empresa no ha realizado una evaluación al personal, ni se conoce el grado de percepción de sus trabajadores respecto a la seguridad. Se concluye que es necesario conocerlo de inmediato, a través de un instrumento para su medición.
Por ello, la presente investigación se centra en diseñar una encuesta como medio accesible para conocer el grado de percepción desde el punto de vista del trabajador respecto a la seguridad que implica el entorno laboral, si es un lugar óptimo y seguro, las situaciones que impliquen una amenaza a su seguridad y salud, así como sugerencias para mejorar su entorno laboral.
El objetivo general de esta investigación es determinar los factores del SG-SSO que están relacionados con la protección del trabajador de una empresa del sector gráfico y publicitario en Lima-Perú. La finalidad es utilizar los resultados de este estudio para definir las medidas preventivas necesarias que deberán ser implementadas e incluidas en la empresa. Para ello, se considera esencial evaluar la percepción de protección del trabajador. Se contribuye así a generar conocimiento con el diseño y aplicación de un indicador denominado índice de la protección del trabajador (IPT), que se expresa de manera porcentual y se calcula a partir de las respuestas en escala ordinal de los encuestados, y que permite conocer la percepción individual del trabajador sobre los riesgos laborales a los que se expone y respecto a las medidas de protección que la empresa le brinda, considerando las dimensiones relacionadas con el estudio. El IPT analiza los resultados considerando tiempo, persona, lugar y apreciación personal. A partir de los datos es posible observar la evolución y tendencia en función de los cambios percibidos. Esta investigación se puede considerar relevante y novedosa porque, en nuestro medio, aún no se han realizado estudios que consideren la percepción de los trabajadores con respecto a la SSO en empresas del sector. El aporte es en profundidad porque podría ser considerado como parte de la aplicación de la Ley Nº 29783 en atención a su Principio de Protección, dado que las empresas no consideran la percepción de los trabajadores como indicador medible de un nivel del desempeño del SG-SSO brindado por la empresa. Esto permitiría establecer medidas para corregir las deficiencias, concientizar a los empleadores en la toma de decisiones, e incentivar una gestión de protección de riesgos laborales con la participación de todo el personal. La eficacia del SG-SSO dependerá de la recopilación de la percepción con la encuesta, la identificación de los factores del SG-SSO y de los puntos críticos desde la óptica del personal que podrían incidir en las causas de incidentes y accidentes, lo que constituye una parte esencial del monitoreo ocupacional. Además, se han relacionado los factores del SG-SSO con la cultura preventiva, la gobernanza y la tecnología que brinda la empresa a sus trabajadores. En la Tabla 1, se presenta la hipótesis general de estudio con 2 variables y sus dimensiones.
| HIPÓTESIS | VARIABLE INDEPENDIENTE | VARIABLE DEPENDIENTE |
| HG. Existen factores del SG-SSO que están muy relacionados con la protección del trabajador de una empresa del sector gráfico y publicitario en Lima-Perú. | (V1) Factores del SG-SSOCultura preventiva (CP) 1. Ambiente de trabajo seguro 2. Servicios higiénicos 3. Cafeterías y comedores 4. Señalética de seguridad Gobernanza (G) 5. Capacitación SSO 6. Normas y reglas Tecnología (T) 7.Ropa y equipo personal 8. Limpieza y mantenimiento 9. Áreas comunes disponibles | (V2) Protección del trabajador (PT) 1. Incidentes peligrosos (IP) 2. Accidentes de trabajo (AT) 3. Enfermedad ocupacional (EO) 4. Índice de protección del trabajador (IPT) |
METODOLOGÍA
El tipo de investigación es aplicada con nivel descriptivo y correlacional para analizar mejor las características de las dimensiones de los factores del SG-SSO a partir de la percepción de los trabajadores. A través de una encuesta personal, se recolectó la data necesaria y con ello fue posible disponer de una mejor percepción laboral grupal, que permitió describir una realidad dentro de la empresa peruana del sector gráfico y publicitario en un periodo durante el COVID-19. La información obtenida de la encuesta personal permitió tener una visión de un enfoque general e integrado del SG-SSO, los riesgos y peligros en un ambiente laboral compartido, y las medidas que se deben aplicar para la prevención y protección laboral colectiva.
El diseño de la investigación es transversal (no experimental) y para demostrar la hipótesis de estudio se plantea utilizar estadísticos como el test de coeficiente de correlación para muestras independientes. De acuerdo a la teoría de Spearman (1984), si las variables son ordinales y parten de datos capturados de una percepción, habrá una mayor probabilidad que no se ajusten a una distribución normal y esas son precisamente las condiciones del presente estudio. El propósito de dichas pruebas es evaluar el grado de interdependencia entre dos variables aleatorias, con un nivel de confianza del 95% y determinar si existen diferencias significativas entre las variables (que no superen un error de 0.05). Ello permitirá relacionar las variables entre sí para determinar una matriz de correlación que sirva para elegir las variables con la mayor correlación, de preferencia, que sea superior al 50% y así establecer una propuesta para los factores del SG-SSO que influyen en la protección del trabajador. En la tabla 2 se define la escala para el coeficiente de Spearman (Rho).
| Rango | Relación |
| De 0.00 a 0.25 | 1. Escasa o nula |
| De 0.26 a 0.50 | 2. Débil |
| De 0.51 a 0.75 | 3. Entre moderada y fuerte |
| De 0.76 a 1.00 | 4. Entre fuerte y perfecta |
La población del estudio estuvo conformada por 50 trabajadores expuestos a riesgos laborales en la empresa. La muestra es del tipo aleatorio simple y con formulación para muestreo finito, donde N = 50 trabajadores, «p» representa la posibilidad de ocurrencia del evento (p = .5), «q» representa la posibilidad de no ocurrencia del evento (q = 0.5), «E» representa el error muestral con un 5% (E = 0.05), y «Z» representa un estadístico al 95% de nivel de confianza (Z = 1.96), por lo que la muestra #1 está conformada por 46 trabajadores.
Para la recolección de datos se emplean la encuesta y el análisis de datos. La encuesta, con su instrumento Nro. 1, fue dirigida a la muestra #1 de 46 trabajadores y tomada en junio 2020. En ella se analizaron 9 dimensiones de la variable «factores del SG-SSO» en función de la percepción individual de cada trabajador, lo que permitió definir un indicador medible denominado «índice de la protección del trabajador» (IPT). Asimismo, para el análisis de datos, se utilizaron los datos estadísticos mensuales de la empresa relativos a los accidentes de trabajo (AT), enfermedades ocupacionales (EO) e incidentes peligrosos (IP), los cuales fueron medidos como número de eventos inseguros ocurridos en un periodo anual (desde abril de 2019 hasta marzo de 2020) y distribuidos respectivamente por cada trabajador, además se incluye el IPT para definir las dimensiones de la variable «protección del trabajador». Cabe mencionar que los datos estadísticos proporcionados por la empresa han sido considerados como válidos bajo un compromiso de sinceramiento de la dirección, apelando al Principio de Primacía de la Realidad de acuerdo a la Ley 29783.
La encuesta se diseñó como un cuestionario con 34 preguntas para analizar 9 dimensiones tomados del estudio de Brunette (2003), como se muestra en la Tabla 4. Además, se utilizan preguntas politómicas que utilizan una escala de Likert de cinco puntos para medir diferentes constructos. La escala Likert es una de las más utilizadas para la medición de actitudes. Según Ospina et al. (2005), la escala de Likert permite determinar un orden de objetos, clasificando individuos en función del grado en que poseen un cierto atributo, pero no aporta una idea de la distancia que existe entre estos. En este caso, se hace uso de 5 grados ordinales tal como se observa en la Tabla 3. Al procesar las respuestas de la encuesta, se consideró el indicador índice de la protección del trabajador (IPT), que es un índice porcentual calculado a partir de la suma de las respuestas de las encuestas (junio de 2020) dividido entre 7820 puntos máximos obtenidos de multiplicar 34 preguntas de 5 puntos máximos y 46 trabajadores, es decir, 34x5x46. Con ello se puede recolectar la data necesaria y se obtiene una tabla que presenta las respuestas de 46 trabajadores y los resultados de 4 indicadores de la gestión de SSO anual en particular. Luego, se procede al procesamiento de dichos datos, para las pruebas de hipótesis aplicando el software SPSS 26.
| Escala | 1° | 2° | 3° | 4° | 5° |
| Nivel de acuerdo | Totalmente en desacuerdo | En desacuerdo | Ni de acuerdo ni en desacuerdo | De acuerdo | Totalmente de acuerdo |
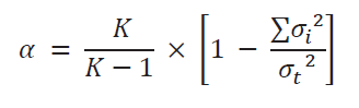
Para la validación del instrumento N°, 1 se realizó un test de validación de contenido con el apoyo de 3 expertos que realizaron la evaluación conforme a lo recomendado. Sobre la base de Hernández, Fernández y Baptista (2014), cada juez, de manera independiente, procede a i) leer los objetivos y las instrucciones de recolección de datos que se le entregan, ii) leer detenidamente cada uno de los ítems del instrumento, iii) evaluar cada uno de los ítems, en la escala Likert de cinco puntos correspondiente, tomando en cuenta los criterios de pertinencia, claridad conceptual, redacción y terminología, niveles de dificultad y formato, tomados de Hernández et al. (2014), y iv) cada uno de los expertos marca el grado en la escala Likert del 1 a 5, eligiendo la opción más cercana a su apreciación cualitativa. Para determinar el coeficiente de validez de contenido o constructo por expertos, se utilizó como estadístico el índice de validación-alfa de Cronbach.
A continuación, se indica la fórmula empleada:

Donde α es el coeficiente de alfa de Cronbach, K es el ítem evaluado, σt2
es la sumatoria de varianzas del ítem número i y σt2
es la varianza total de la suma de los ítems. Como criterio de aceptación, se establece sobre la validez y concordancia: >0.9 Excelente, <0.81 y 1] Muy alta, <0.8 y 0.9] Buena, <0.71 y 0.80] Aceptable, <0.6 y 0.7] Deficiente, y <0.6 Inaceptable. Lo recomendable es obtener un valor superior a 0.8.
| 1. Ambiente de trabajo seguro | P1 ¿Cuántas veces que ha tenido algún incidente de riesgo y/o accidente de trabajo en últimos 3 años? |
| P2 ¿Cuántas veces ha ido a una cita médica por accidente o enfermedad ocupacional en últimos 3 años? | |
| P3 ¿Cuál es el grado de dificultad de realizar la investigación sobre las causas de los accidentes, enfermedades e incidentes? | |
| P4 ¿Qué importante son las reuniones, grupos focales, talleres relacionados con la gestión mejora del SSO? | |
| P5 ¿Le gustaría colaborar o participar voluntariamente en las actividades del SSO? | |
| P6 ¿Su lugar de trabajo cumple en infraestructura del local para ser seguro? | |
| P7 ¿La iluminación es adecuada en el lugar donde realiza sus labores? | |
| P8 ¿Las partes móviles de las maquinarias (cuchillas, troqueles, etc.) cumplen con la protección? | |
| P9 ¿La maquinaria de producción posee interruptores de seguridad? | |
| P10 ¿Las máquinas que producen altas vibraciones y ruidos están debidamente aisladas? | |
| P11 ¿Hay medidas para controlar el nivel de exposición a radiación por soldadura en el área de metalmecánica? | |
| P12 ¿Los materiales químicos (tintas, solventes) están etiquetados y almacenados en un lugar seguro? | |
| P13 ¿El área de almacén cumple con ser un ambiente de trabajo seguro para la manipulación de químicos y otros? | |
| P14 ¿Qué tan satisfecho te sientes respecto a las medidas implementadas para protegerlo del COVID-19? | |
| P15 ¿Qué tan satisfecho te sientes respecto a medidas tomadas para protegerlo respecto a la SSO? | |
| 2. Capacitación sobre SSO | P16 ¿Qué tan satisfecho te sientes respecto a tu nivel de conocimiento en el uso adecuado de EPP? |
| P17 ¿Recibe adecuada formación y adiestramiento para realizar su trabajo de forma correcta y segura? | |
| P18 ¿Se brinda información acerca de los riesgos para la seguridad y salud y actividades preventivas? | |
| 3. Normas y Reglas | P19 ¿Ha recibido información de políticas, procedimientos y reglas de seguridad y salud ocupacional? |
| P20 ¿La empresa garantiza la vigilancia periódica de la salud de los trabajadores a través de exámenes médicos ocupacionales (EMO)? | |
| 4. Ropa y equipo personal | P21 ¿La indumentaria y los equipos de protección personal (EPP) que les fueron proporcionados actualmente son los adecuados? |
| P22 ¿Se cumple con la renovación anual de EPP, según la política de seguridad y salud ocupacional? | |
| 5. Señalética de seguridad | P23 ¿Su área de trabajo cumple con la señalización de seguridad para alertarlo, informarlo u orientarlo? |
| P24 ¿Su área de trabajo cumple con la distribución de la señalética en lugares con riesgos de caídas? | |
| P25 ¿Su área de trabajo cumple con la distribución de la señalética en lugares con riesgos por manipulación de productos químicos? | |
| 6. Limpieza y mantenimiento | P26 ¿Se realizan mantenimientos correctivos y preventivos adecuados en instalaciones, maquinarias y equipos? |
| P27 ¿Se realizan limpieza, desinfección y control de plagas adecuadas en las áreas de trabajo? | |
| P28 ¿Qué tan satisfecho te sientes respecto a las actividades de mantenimiento a la infraestructura y equipamiento? | |
| 7. Áreas comunes disponibles | P29 ¿Las áreas comunes se encuentran en buen estado? |
| P30 ¿En las áreas comunes se dispone de equipamiento de seguridad para casos de emergencia? | |
| 8. Servicios higiénicos | P31 ¿La infraestructura de los baños está en buenas condiciones y cumple en limpieza y desinfección? |
| P32 ¿Los recursos consumibles de los baños son suficientes? | |
| 9. Cafetería y comedor | P33 ¿La infraestructura del comedor está en buenas condiciones y cumple en limpieza y desinfección? |
| P34 ¿El equipamiento del comedor es apropiado para garantizar la protección del trabajador? |
Los datos fueron tabulados y luego registrados en una base de datos que fue distribuida por trabajador para la prueba de hipótesis del estudio. Se realizó el estudio correlacional con pruebas de normalidad y de correlación de Spearman, que permitieron determinar el grado de asociación entre los factores significativos del SG-SSO y los indicadores del resultado de la gestión SSO (IP, AT, EO e IPT); asimismo, permitieron medir la eficacia del SG-SSO en su conjunto para identificar agentes de riesgos, analizar la ocurrencia de eventos inseguros, calificar la exposición a los riesgos laborales y contribuir al proceso de monitoreo ocupacional efectuado por la empresa. Para la prueba de normalidad, se plantean las siguientes hipótesis estadísticas: la hipótesis nula (H0), que señala que la base de datos se ajusta a una distribución normal, y la hipótesis alternativa (H1), que señala que la base de datos no se ajusta a una distribución normal. Al aplicar la prueba estadística de Kolmogórov-Smirnov (KS) para una muestra n = 46 trabajadores, los valores de . tienen una significancia menor a 0.05, por lo que se rechaza la H0 y se acepta la H1. Es decir, las variables de estudio de la base de datos no se ajustan a una distribución normal, por lo que se procedió con métodos no paramétricos y se utilizó la prueba de correlación de Spearman. De este modo, es posible realizar el análisis de las variables sin manipularlas y determinar la relación entre las variables independientes (factores del SG-SSO) y la variable dependiente (protección del trabajador).
RESULTADOS
Resultados descriptivos generales
En cuanto a los factores del SG-SSO, con la encuesta realizada en junio de 2020 a una muestra de 46 trabajadores de diversas áreas como producción, almacén y oficinas administrativas, se concluye que es necesario reforzar la cultura de seguridad y salud ocupacional de los trabajadores para garantizar su protección. Los principales resultados obtenidos se presentan a continuación:
· El 53% indica no haber escuchado sobre la Ley Nº 29783 (pregunta 19).
· El 76% indica tener dificultad para investigar eventos inseguros (IP, AT, EO) (pregunta 3).
· El 65% indica que la indumentaria y el EPP no son los adecuados (pregunta 21).
· El 63% indica no recibir adecuada retroalimentación sobre riesgos laborales y actividades preventivas (preguntas 17 y 18).
· El 98% considera importante la realización de reuniones, grupos focales y talleres sobre gestión mejora del SSO (pregunta 4).
· El 70% indica que no desea participar en actividades de SSO ni colaborar como brigadista, auditor o investigador (pregunta 5), lo que contradice lo anterior.
En cuanto a la protección del trabajador, con la técnica de análisis de datos, se concluye que el SG-SSO existente es ineficiente para garantizar la protección del trabajador. Los principales resultados obtenidos se presentan a continuación:
· Se reportaron 16 incidentes peligrosos (IP) en un año; sin embargo, en la encuesta se señaló que hubo aproximadamente 61 casos que no fueron reportados a SUNAFIL, debido a que no tuvieron mayores consecuencias en el trabajador, tal como se observa en la Tabla 5.
· Se reportaron 21 accidentes de trabajo (AT) en un año, de los cuales 6 fueron casos graves. Estos fueron: caídas de personal de altura (1), electrocución (1), dislocamientos (1), lesiones y corte de manos (1), exposición a ruidos y vibraciones (1) y esguinces (1), tal como se observa en la Tabla 5.
· Se reportaron 4 enfermedades ocupacionales (EO) en un año. Estas fueron: hipoacusia (1), hernia (1), lumbalgia (1) y COVID-19 (1). Con respecto a esta última, un trabajador contrajo la enfermedad en abril de 2020 fuera de la empresa, la cual no transcendió y se mantuvo bajo control, tal se observa en la Tabla 5.
· El índice de la percepción de la protección del trabajador (IPT) alcanzó un puntaje de 5283 puntos (0.67557, es decir, 68% sobre la meta de 7820 puntos) según el resultado acumulado en las encuestas, tal como se observa en la Tabla 5.
| KPI | Incidentes peligrosos (IP) | Accidentes de trabajo (AT) | Enfermedades ocupacionales (EO) | Índice de protección del trabajador (IPT) |
| # Eventos | 16 | 21 | 4 | 5283 (68%) |
Validez del instrumento
Para la validez de contenido, se consideró el juicio de tres expertos, cuyos resultados fueron los siguientes: experto 1, 73%; experto 2, 87%; experto 3, 91%. Por otro lado, también se realizó una prueba de consistencia interna mediante un análisis de fiabilidad Alfa de Cronbach utilizando el software estadístico SPSS para 46 casos y 13 ítems, con un resultado de fiabilidad total de .896, es decir, 89.6% que es superior al 80%. Al tomar la fiabilidad individual de cada ítem, los valores son superiores al 80%, tal como se observa en la Tabla 6. Dado que los expertos dieron un resultado superior al 80% y que el análisis de fiabilidad de la data fue superior al 80%, se puede concluir que el instrumento N° 1 es válido.
| Media de escala (si el elemento se ha suprimido) | Varianza de escala (si el elemento se ha suprimido) | Coeficiente (α Cronbach) | |
| Estadísticas de fiabilidad total | 414.717391 | 3639.807246 | 0.896 |
| Ítem 1. Ambiente de trabajo seguro | 379.7609 | 3342.319 | 0.889 |
| Ítem 2. Áreas comunes disponibles | 379.7174 | 3121.141 | 0.887 |
| Ítem 3. Cafetería y comedor | 378.0870 | 3263.592 | 0.891 |
| Ítem 4. Servicio higiénicos | 379.1739 | 2766.191 | 0.881 |
| Ítem 5. Ropa y equipo personal | 384.1739 | 2905.302 | 0.876 |
| Ítem 6. Capacitación sobre SSO | 382.7826 | 3173.596 | 0.886 |
| Ítem 7. Limpieza y mantenimiento | 383.9783 | 2911.888 | 0.874 |
| Ítem 8. Normas y reglas | 384.1739 | 2972.636 | 0.880 |
| Ítem 9. Señalética de seguridad | 381.6304 | 3182.016 | 0.887 |
| Ítem 10. Incidentes peligrosos (IP) | 414.3696 | 3626.994 | 0.901 |
| Ítem 11. Accidentes totales (AT) | 414.2609 | 3618.108 | 0.901 |
| Ítem 12. Enfermedades ocupacionales (EO) | 414.6304 | 3643.794 | 0.902 |
| Ítem 13. Índice de protección del trabajador (IPT) | 299.8696 | 2140.871 | 0.874 |
Comprobación de hipótesis
Primero, se definen las hipótesis estadísticas nula (H0) y la alternativa (H1). La H0 que plantea que no existen factores del SG-SSO que están muy relacionados con la protección del trabajador de una empresa del sector gráfico y publicitario en Lima-Perú. Mientras que la H1 plantea que existen factores del SG-SSO que están muy relacionados con la protección del trabajador de una empresa del sector gráfico y publicitario en Lima-Perú. A continuación, se define el rango de error del estudio, con un 95% en el nivel de confianza y 5% de error à alfa (α) = .05. Luego, se define el método estadístico. La prueba estadística KS indica que las variables tienen una distribución no normal, por lo que se debe emplear el coeficiente de correlación de Spearman. Finalmente, se calcula el p-valor con las correlaciones no paramétricas y las variables de estudio, tomando las de mayor significación para el análisis. Se consideraron solo aquellos que superen el 50% de correlación (correlación entre moderada y fuerte), como muestra en la Tabla 7.
| V.I. Factores del SG-SSO | V.D. Protección del trabajador | Relación | Rho | p-valor < .05 | Evaluación de la correlación | |
| CULTURA PREVENTIVA (CP) | ||||||
| Ambiente de trabajo seguro | • Percepción PT • Enfermedad | Directa Indirecta | +0.768 -0.228 | .00001 .12700 | Fuerte y perfecta Escasa | |
| Servicio higiénicos | • Percepción PT • Accidentes • Incidentes | Directa Directa Directa | +0.708 +0.413 +0.374 | .00005 .00435 .01034 | Fuerte y perfecta Débil Débil | |
| Cafetería y comedor | • Percepción PT | Directa | +0.540 | .00010 | Moderada y fuerte | |
| Señalética de seguridad | • Percepción PT | Directa | +0.681 | .00001 | Moderada y fuerte | |
| GOBERNANZA (G) | ||||||
| Capacitación sobre SSO | • Percepción PT • Incidentes | Directa Directa | +0.751 +0.263 | .00001 .10700 | Fuerte y perfecta Escasa | |
| Normas y reglas | • Percepción PT • Accidentes • Incidentes | Directa Directa Directa | +0.821 +0.360 +0.329 | .00001 .01410 .02536 | Fuerte y perfecta Débil Débil | |
| TECNOLOGÍA (T) | ||||||
| Ropa y equipo personal | • Percepción PT | Directa | +0.833 | .00001 | Fuerte y perfecta | |
| Limpieza y mantenimiento | • Percepción PT • Accidentes • Incidentes | Directa Directa Directa | +0.891 +0.398 +0.301 | .00001 .00618 .04238 | Fuerte y perfecta Débil Débil | |
| Áreas comunes disponibles | • Percepción PT • Accidentes • Incidentes | Directa Directa Directa | +0.539 +0.413 +0.374 | .00011 .00435 .01034 | Moderada y fuerte Débil Débil | |
Dado que existen relaciones significativas comprobadas (p-valor < .05), se rechaza la H. y se acepta la H1. Es decir, existen factores de la cultura preventiva (CP), la gobernanza (G), y la tecnología (T) del SG-SSO que se relacionan significativamente con la protección del trabajador de una empresa del sector gráfico y publicitario en Lima-Perú. En la Figura 1, se muestran las principales relaciones.

De lo anterior, se determina lo siguiente:
· Existe una correlación de 89.1% entre la percepción de la protección de los trabajadores y el factor limpieza y mantenimiento (T), es decir, existe una correlación fuerte y perfecta entre las variables.
· Existe una correlación de 83.3% entre la percepción de la protección de los trabajadores y el factor indumentaria y EPP (T), es decir, existe una correlación fuerte y perfecta entre las variables.
· Existe una correlación de 82.1% entre la percepción de la protección de los trabajadores y el factor normas (G), es decir, existe una correlación fuerte y perfecta entre las variables.
· Existe una correlación de 76.8% entre la percepción de la protección de los trabajadores y el factor ambientes de trabajo seguros (CP), es decir, existe una correlación fuerte y perfecta entre las variables.
· Existe una correlación de 75.1% entre la percepción de la protección de los trabajadores y el factor capacitación sobre SSO (G), es decir, existe una correlación fuerte y perfecta entre las variables.
· Existe una correlación de 68.1% entre la percepción de la protección de los trabajadores y el factor señalética de seguridad (CP), es decir, existe una correlación moderada y fuerte entre las variables.
· Existe una correlación de 54.0% entre la percepción de la protección de los trabajadores y el factor cafetería y comedor (CP), es decir, existe una correlación moderada y fuerte entre las variables.
· Existe una correlación de 53.9% entre la percepción de la protección de los trabajadores y el factor servicios higiénicos (CP), es decir, existe una correlación moderada y fuerte entre las variables.
· Existe una correlación de 53.9% entre la percepción de la protección de los trabajadores y el factor áreas comunes disponibles (T), es decir, existe una correlación moderada y fuerte entre las variables.
DISCUSIÓN
A partir de las encuestas (junio de 2020), se determinó un valor del índice de la protección del trabajador (IPT) de 68% y fue posible relacionarlo con factores del SG-SSO. Con respecto a la cultura preventiva, esto puso en evidencia la deficiencia de las acciones de investigación de AT, EO, IP, así como la escasa vigilancia, evaluación y mejora continua del SSO, entre otros, contribuyen al bajo nivel de eficiencia del SG-SSO. Por ello, el empleador y los trabajadores de la empresa deben aunar esfuerzos para lograr una cultura basada en SSO y el bienestar personal, alejados de peligros y riesgos laborales. Con respecto a la gobernanza, se hace visible el incumplimiento de las condiciones y factores del SG-SSO en torno a política, revisión y liderazgo por parte de la dirección, así como la falta de compromiso y participación por parte del trabajador. Todo esto pone de manifiesto la necesidad de una mayor interacción interdependiente entre la dirección y los trabajadores, con lo que incrementaría la percepción de protección del trabajador. Con respecto a la tecnología, se determinó un bajo nivel de capacitación en SSO y la necesidad de renovar los materiales, la maquinaria y los equipos, porque los planes actuales de la empresa contemplan el uso de tecnologías limpias que no contaminen ni supongan un desequilibrio ambiental.
El estudio estadístico determinó que los factores del SG-SSO están estrechamente relacionados con la protección del trabajador de una empresa del sector gráfico y publicitario en Lima-Perú. Los resultados de la prueba de hipótesis demostraron que la percepción de la protección de los trabajadores se relaciona con los factores de la cultura preventiva. Así, la percepción de la protección de los trabajadores mantiene una correlación de 76.8% con los ambientes de trabajo seguro, de 68.1% con la señalética de seguridad, de 54.0% con cafetería y comedor, y de 70.8% con el factor servicios higiénicos. En lo que respecta a los factores de gobernanza, la percepción de la protección de los trabajadores mantiene una correlación de 82.1% con normas y reglas y una de 75.1% con capacitación sobre SSO. En lo que respecta a los factores de tecnología, la percepción de la protección de los trabajadores mantiene una correlación de 83.3% con indumentaria y EPP, de 89.1% con limpieza y mantenimiento y de 53.9% con áreas comunes disponibles. Por otra parte, se determinó que los accidentes de trabajo (AT) mantienen una correlación de 41.3% con el factor servicios higiénicos, de 32.9% con el factor normas y reglas, de 30.1% con el factor limpieza y mantenimiento, y de 37.4% con el factor áreas comunes disponibles. Se determinó además que los incidentes peligrosos (IP) mantienen una correlación de 37.4% con el factor servicios higiénicos, de 32.9% con el factor normas y reglas, de 30.1% con el factor limpieza y mantenimiento, y de 37.4% con el factor áreas comunes disponibles.
Estos hallazgos guardan relación con lo hallado por Huancahuari (2009), quien consideró la cultura preventiva y la tecnología como factores importantes en su estudio. Demostró que el crecimiento del sector industrial minero trae consigo un aumento irreversible de las enfermedades ocupacionales y que el uso de nuevas tecnologías ha dado lugar a una nueva enfermedad, el estrés. Por ello, consideró que la prevención de los riesgos ocupacionales es responsabilidad de la empresa. Respecto a los factores de la gobernanza, Zapata (2016) en su estudio del proceso de cuidado a la persona adulta, evidencia que los riesgos laborales determinan trastornos del bienestar físico y emocional. Por ello, sostiene que es necesario adoptar y fortalecer el liderazgo con un compromiso institucional con la SSO, en concordancia con la exigencia de la legalidad aplicable.
CONCLUSIONES Y RECOMENDACIONES
1. Los factores del SG-SSO están estrechamente relacionados con la protección del trabajador. Lo que demuestra que las medidas de control dirigidas a los factores ambiente de trabajo seguro, limpieza y mantenimiento, y áreas comunes disponibles son las más significativas para reducir los peligros, mitigar los riesgos laborales y minimizar eventos inseguros (IP, AT, EO). Actualmente, la empresa no cuenta con medidas de control de riesgos para garantizar la protección del trabajador. Por otro lado, en determinadas condiciones, son los mismos trabajadores quienes asumen comportamientos inseguros, lo que puede deberse a la exigencia y premura del trabajo, a la falta de capacitación, al desconocimiento de los peligros, al incumplimiento de normas laborales y a la falta de control de riesgos en su lugar de trabajo.
2. Los indicadores del SG-SSO establecen el grado de eficacia de la gestión de riesgos y su prevención para garantizar la protección del trabajador, lo que permite establecer un marco de evaluación y nivel de relación con el cumplimiento de la protección del trabajador. En el presente estudio, se han investigado los eventos inseguros en función de la gravedad del riesgo potencial o del daño ocasionado. Los resultados han permitido tomar medidas de corrección para SG-SSO y la prevención de riesgos. La última evaluación de la empresa en materia de SSO, evidenció la existencia de 27 riesgos laborales que provocaron eventos inseguros en el último año: 16 IP, 21 AT y 4 EO. Además, a partir de las encuestas (junio de 2020), se determinó un índice de la protección del trabajador (IPT) que registró un valor de 68% y que se relacionó con factores significativos del SG-SSO. Medir las percepciones de los trabajadores desde la óptica inicial subjetiva e individual resultó clave para obtener una calificación conjunta real que servirá de base para tomar decisiones y definir las futuras medidas correctivas a fin de lograr una mayor participación de los trabajadores.
3. Se recomienda que las empresas midan la percepción de la protección del trabajador, puesto que la necesidad de incluir al trabajador en la SG-SSO ha sido evidenciada en este estudio. Dicho indicador podría fomentar una mayor participación de los trabajadores en la gestión de prevención de riesgos; asimismo, permitiría tener una mejor percepción e identificación de los factores de SSO en el espacio laboral, facilitaría el análisis de la ocurrencia de eventos inseguros, permitiría obtener una calificación de exposición a riesgos laborales, y serviría de complemento al monitoreo ocupacional efectuado por la empresa.
4. Se recomienda que el tema de la cultura preventiva se asuma con responsabilidad empresarial y que se involucre efectivamente a toda la cadena de mando, en especial a los directivos y trabajadores de la empresa, quienes deben trabajar coordinadamente para incentivar y apoyar las acciones de control de riesgos laborales, así como para difundir y cumplir las normas del SG-SSO.
5. Se recomienda reforzar la formación del personal en cultura preventiva, entendiendo que la prevención no consiste solo la formación, sino que es el punto de partida para lograr mecanismos adicionales que conduzcan a una metodología de acción para lograr una efectiva gestión de prevención, donde los entes integrantes, empresarios y trabajadores, bajo la mirada normativa y fiscalizadora del Estado, alcancen una verdadera cultura preventiva que se interiorice en su totalidad para crear un mejor clima preventivo en la empresa, percibido positivamente por los trabajadores y que los predisponga a una participación activa y a la mejora continua.
6. Se recomienda, como una línea de estudio a futuro, identificar los factores condicionantes más significativos que permitan obtener los resultados de alto impacto para mejorar la percepción de la protección del trabajador, dado que la encuesta tiene 34 preguntas y 9 dimensiones. Con la utilización de otros métodos estadísticos avanzados, tales como el análisis factorial exploratorio y el análisis factorial confirmatorio, que se pueden aplicar a una investigación a nivel de doctorado, se puede obtener una mayor precisión.
7. Se recomienda replicar este estudio en organizaciones similares para elaborar la discusión de los resultados comparándolos con los del presente estudio, y con ello establecer una metodología de aplicación que pueda ser adoptada como una buena práctica para la eficacia del SG-SSO.
APÉNDICE 1: Base de datos para prueba de hipótesis de estudio
Agradecimientos
A mi amada esposa Gladys Leonor Villasante y a mis hijos Manuel Josué, Hugo Enrique, Héctor Andrés y Dora Genoveva, mi afectuoso agradecimiento por su apoyo incondicional. Con el amor de siempre.
A mis profesores de la Unidad de Posgrado de la FII de la UNMSM. Mi agradecimiento y respeto por el apoyo y las enseñanzas que me brindaron y me siguen brindando. A mi asesor el Dr. Oscar Rafael Tinoco Gómez, mi especial agradecimiento por su apoyo y valioso tiempo en la dedicación y orientación para hacer realidad este estudio.
REFERENCIAS BIBLIOGRÁFICAS
Álvarez, F., y Faizal, E. (2012). Riesgos laborales. Cómo prevenirlos en el ambiente de trabajo. Bogotá, Colombia: Ediciones de la U.
Atencio, C. (2013). Estudio de accidentes laborales como acción preventiva en una empresa constructora. (Tesis de maestría). Universidad Nacional Mayor de San Marcos, Lima. http:// http://cybertesis.unmsm.edu.pe/handle/20.500.12672/3503
Brunette, M. J. (julio de 2003). Satisfacción, salud y seguridad ocupacional en el Perú. Economía y Sociedad,(49), 47-52. http://cies.org.pe/sites/default/files/files/otros/economiaysociedad/brunette.pdf
Cortés, J. (2007). Seguridad e Higiene en el Trabajo: Técnicas de Prevención de Riesgos Laborales (9. ed.). Madrid, España: Editorial Tébar S.L.
Gestión. (2016, 30 de junio ). Perú sale ‘jalado’ en sus cifras sobre fatalidad laboral.https://gestion.pe/economia/peru-sale-jalado-cifras-fatalidad-laboral-125466?href=tepuedeinteresar
Gonzáles, A., Mateo, P., y Gonzáles, D. (2010). Manual para prevención de riesgos laborales en las oficinas. Madrid, España: FC Editorial..
Hernández, R., Fernández, C., y Baptista, M. (2014). Metodología de la investigación (6. ed.). México D. F., México: McGraw Hill.
Huancahuari, S. (2009). La Prevención de los riesgos ocupacionales mineros como responsabilidad de la empresa. (Tesis doctoral). Universidad Nacional Mayor de San Marcos, Lima.
Likert, R. (1932). A Technique for Measurement Attitudes. Archives of Psychology, 22(140). https://legacy.voteview.com/pdf/Likert_1932.pdf
Decreto Supremo N.° 015-2005-SA. Reglamento sobre Valores Límite Permisibles para Agentes Químicos en el Ambiente de Trabajo. Diario Oficial El Peruano (2005, 6 de julio). https://www.gob.pe/institucion/minsa/normas-legales/252380-015-2005-sa .
Resolución Ministerial N.° 972-2020-MINSA. Lineamientos para la vigilancia, prevención y control de la salud por exposición al SARS-CoV-2. Diario Oficial El Peruano (2020, 27 de noviembre). https://www.gob.pe/institucion/minsa/normas-legales/1366422-972-2020-minsa
Martínez, R., Tuya, L., Martínez, M., Pérez, A., y Cánovas, A. (2009). El coeficiente de correlación de los rangos de Spearman, caracterización. Revista Habanera de Ciencias Médicas, 8(2).
Ministerio de Trabajo y Promoción del Empleo. (2021, 15 de abril). Estadísticas de Notificaciones de Accidentes de Trabajo, Incidentes Peligrosos y Enfermedades Ocupacionales por Actividad Económica correspondiente al año 2020. https://www.gob.pe/institucion/mtpe/informes-publicaciones/2038032-estadisticas-de-notificaciones-de-accidentes-de-trabajo-incidentes-peligrosos-y-enfermedades-ocupacionales-por-actividad-economica-correspondiente-al-ano-2020
Mosqueira, H. (2016). Diseño de sistema de gestión de seguridad y salud en el trabajo para industria de plásticos - procomsac - en Chiclayo. (Tesis de maestría). Universidad Nacional de Trujillo, Trujillo. http://dspace.unitru.edu.pe/handle/UNITRU/2966
Organización Internacional del Trabajo. (12 de abril de 2019). Seguridad y salud en el trabajo. https://www.ilo.org/global/standards/subjects-covered-by-international-labour-standards/occupational-safety-and-health/lang--es/index.htm
Ospina, B., Sandoval, J., Aristizábal, C., y Ramírez, M. (2005). La escala de Likert en la valoración de los conocimientos y las actitudes de los profesionales de enfermería en el cuidado de la salud. Antioquia, 2003. Investigación y Educación en Enfermería, 23(1), 14-29. http://www.scielo.org.co/scielo.php?pid=S0120-53072005000100002&script=sci_abstract&tlng=es
Spearman, C. (1984). Critical Values of the Spearman’s Ranked Correlation Coefficient (rho). En Spearman, Spearman Correlation Coefficient (pág. Table B.19). ZAR. http://webspace.ship.edu/pgmarr/geo441/tables/spearman%20ranked%20correlation%20table.pdf
Ureta, R. (2018). Condiciones de trabajo hospitalario y riesgos laborales en profesionales de enfermería en el Hospital Regional Zacarias Correa Valdivia - Huancavelica. (Tesis doctoral). Universidad Nacional de Huancavelica, Huancavelica. http://repositorio.unh.edu.pe/handle/UNH/2060
Zapata, I. (2016). Riesgos laborales en el proceso de cuidado a la personal adulta: percepción de las enfermeras. (Tesis doctoral). Universidad Católica Los Ángeles de Chimbote, Chimbote.
APÉNDICE 1: Base de datos para prueba de hipótesis de estudio
| V.I. Factores del SG-SSO | V.D. Protección del trabajador | |||||||||||||
| Trabajador | Ambiente de trabajo seguro | Áreas comunes disponibles | Cafetería y comedor | Servicio higiénicos | Ropa y equipo personal | Capacitación sobre SSO | Limpieza y mantenimiento | Normas y reglas | Señalética de seguridad | Incidentes peligrosos (IP) | Accidentes totales (AT) | Enfermedades ocupacionales (EO) | Índice de protección del trabajador (IPT) | |
| 1 | 3.4 | 3.5 | 4.0 | 5.0 | 3.0 | 2.7 | 3.0 | 2.0 | 3.3 | 0 | 0 | 0 | 113 | |
| 2 | 3.1 | 4.0 | 4.0 | 4.0 | 3.0 | 4.0 | 3.7 | 3.5 | 2.3 | 1 | 2 | 0 | 114 | |
| 3 | 3.4 | 4.5 | 4.5 | 4.5 | 3.0 | 2.3 | 3.0 | 2.5 | 3.0 | 0 | 1 | 0 | 114 | |
| 4 | 3.2 | 4.0 | 4.0 | 4.0 | 3.0 | 3.0 | 3.3 | 3.0 | 3.7 | 0 | 0 | 0 | 114 | |
| 5 | 3.4 | 3.5 | 3.5 | 3.5 | 3.5 | 3.0 | 3.3 | 2.0 | 3.7 | 0 | 0 | 0 | 113 | |
| 6 | 4.1 | 4.0 | 4.0 | 5.0 | 4.5 | 4.0 | 4.0 | 4.0 | 4.0 | 0 | 0 | 0 | 141 | |
| 7 | 3.8 | 3.0 | 3.0 | 2.5 | 3.0 | 3.3 | 2.0 | 3.5 | 3.3 | 0 | 0 | 0 | 113 | |
| 8 | 3.4 | 4.0 | 3.0 | 3.0 | 3.0 | 3.3 | 4.0 | 3.5 | 4.0 | 0 | 2 | 0 | 118 | |
| 9 | 2.7 | 3.0 | 3.5 | 1.0 | 2.5 | 2.7 | 1.7 | 1.5 | 3.3 | 1 | 1 | 1 | 86 | |
| 10 | 3.9 | 4.0 | 4.0 | 4.0 | 4.0 | 3.7 | 4.3 | 4.0 | 4.0 | 1 | 1 | 0 | 135 | |
| 11 | 3.3 | 4.0 | 3.0 | 2.0 | 2.0 | 2.7 | 2.3 | 3.0 | 2.7 | 1 | 1 | 0 | 101 | |
| 12 | 2.9 | 2.0 | 3.0 | 2.0 | 2.0 | 2.7 | 2.0 | 2.0 | 2.0 | 0 | 0 | 0 | 85 | |
| 13 | 3.4 | 2.5 | 2.5 | 3.0 | 3.0 | 3.0 | 2.3 | 2.5 | 3.3 | 0 | 0 | 0 | 104 | |
| 14 | 3.9 | 3.0 | 4.0 | 4.0 | 2.0 | 2.0 | 2.7 | 3.0 | 3.3 | 0 | 1 | 0 | 114 | |
| 15 | 3.7 | 2.5 | 3.5 | 3.5 | 2.5 | 3.3 | 3.0 | 3.0 | 3.0 | 0 | 0 | 0 | 114 | |
| 16 | 4.1 | 3.5 | 4.5 | 5.0 | 3.0 | 4.0 | 3.3 | 4.0 | 3.3 | 1 | 1 | 0 | 133 | |
| 17 | 3.4 | 4.0 | 4.0 | 4.0 | 4.0 | 3.7 | 3.3 | 4.0 | 3.3 | 1 | 1 | 0 | 122 | |
| 18 | 3.7 | 4.0 | 4.0 | 4.0 | 4.0 | 4.0 | 4.0 | 4.0 | 4.0 | 1 | 1 | 0 | 132 | |
| 19 | 3.3 | 4.0 | 3.0 | 2.0 | 2.0 | 2.7 | 2.3 | 3.0 | 3.0 | 0 | 0 | 0 | 101 | |
| 20 | 3.1 | 2.0 | 3.0 | 2.0 | 2.5 | 2.7 | 2.0 | 2.0 | 2.3 | 0 | 0 | 0 | 90 | |
| 21 | 3.3 | 3.5 | 3.5 | 2.0 | 2.0 | 2.7 | 2.3 | 3.0 | 3.0 | 0 | 0 | 0 | 101 | |
| 22 | 3.3 | 4.0 | 4.0 | 3.5 | 3.0 | 4.0 | 3.7 | 3.0 | 2.3 | 1 | 1 | 1 | 115 | |
| 23 | 3.4 | 3.5 | 3.5 | 3.5 | 3.0 | 3.3 | 3.0 | 2.5 | 3.3 | 0 | 0 | 0 | 112 | |
| 24 | 3.6 | 3.0 | 4.0 | 4.0 | 4.0 | 3.7 | 3.3 | 4.0 | 3.3 | 1 | 1 | 0 | 123 | |
| 25 | 3.6 | 4.0 | 4.0 | 4.0 | 4.0 | 3.7 | 3.3 | 4.0 | 4.0 | 0 | 0 | 1 | 127 | |
| 26 | 3.3 | 4.0 | 4.5 | 4.0 | 2.5 | 2.7 | 3.3 | 2.5 | 3.0 | 1 | 1 | 0 | 112 | |
| 27 | 3.3 | 4.0 | 4.0 | 4.0 | 4.0 | 3.7 | 3.3 | 4.0 | 3.3 | 1 | 0 | 0 | 121 | |
| 28 | 3.5 | 4.0 | 3.0 | 3.0 | 3.0 | 4.0 | 4.0 | 3.5 | 4.0 | 1 | 1 | 0 | 122 | |
| 29 | 4.1 | 4.0 | 4.0 | 5.0 | 4.5 | 4.0 | 4.0 | 4.0 | 4.3 | 0 | 0 | 0 | 142 | |
| 30 | 4.0 | 3.5 | 4.0 | 5.0 | 4.0 | 4.0 | 4.0 | 3.0 | 4.0 | 0 | 0 | 0 | 135 | |
| 31 | 3.9 | 4.0 | 4.5 | 4.0 | 4.0 | 3.3 | 4.3 | 4.0 | 4.0 | 1 | 1 | 0 | 134 | |
| 32 | 3.8 | 3.0 | 3.5 | 4.0 | 2.0 | 2.3 | 2.7 | 3.0 | 3.3 | 0 | 0 | 0 | 113 | |
| 33 | 3.5 | 2.5 | 3.5 | 4.0 | 3.0 | 3.3 | 3.0 | 3.0 | 3.0 | 0 | 0 | 0 | 113 | |
| 34 | 3.8 | 3.0 | 3.5 | 4.0 | 2.5 | 2.0 | 2.7 | 3.0 | 3.3 | 0 | 0 | 0 | 113 | |
| 35 | 3.4 | 2.5 | 2.5 | 3.0 | 3.0 | 3.0 | 2.3 | 2.5 | 3.7 | 0 | 0 | 0 | 105 | |
| 36 | 3.4 | 3.5 | 4.0 | 4.5 | 3.0 | 3.0 | 2.7 | 2.0 | 3.7 | 0 | 0 | 0 | 113 | |
| 37 | 3.3 | 4.0 | 4.5 | 4.0 | 3.0 | 3.0 | 2.7 | 2.5 | 3.0 | 0 | 0 | 0 | 111 | |
| 38 | 3.0 | 2.0 | 3.0 | 2.0 | 2.0 | 2.7 | 2.0 | 2.0 | 2.0 | 0 | 0 | 0 | 87 | |
| 39 | 2.9 | 2.0 | 3.5 | 2.5 | 2.0 | 2.7 | 2.0 | 1.5 | 2.7 | 0 | 0 | 0 | 89 | |
| 40 | 3.3 | 4.0 | 3.0 | 2.5 | 2.0 | 2.7 | 2.3 | 3.0 | 3.0 | 1 | 1 | 1 | 102 | |
| 41 | 3.6 | 4.0 | 4.0 | 4.0 | 3.0 | 4.0 | 3.7 | 3.0 | 2.3 | 0 | 0 | 0 | 120 | |
| 42 | 3.5 | 4.0 | 4.5 | 4.0 | 3.0 | 2.7 | 3.0 | 2.5 | 3.3 | 1 | 0 | 0 | 116 | |
| 43 | 3.7 | 4.0 | 4.0 | 4.0 | 4.0 | 3.3 | 3.3 | 4.0 | 3.3 | 0 | 0 | 0 | 125 | |
| 44 | 3.5 | 4.0 | 3.0 | 3.0 | 3.0 | 3.3 | 3.7 | 3.5 | 4.0 | 1 | 1 | 0 | 118 | |
| 45 | 4.1 | 4.0 | 4.0 | 5.0 | 4.5 | 4.0 | 4.0 | 4.0 | 4.3 | 0 | 2 | 0 | 141 | |
| 46 | 3.5 | 4.0 | 3.0 | 3.0 | 3.0 | 3.0 | 3.3 | 3.5 | 4.0 | 0 | 0 | 0 | 116 | |