Artículos originales
Empathy and Family Functioning in Medical Students of the University of Azuay, Cuenca, Ecuador
Empatía y funcionamiento familiar en estudiantes de medicina de la Universidad de Azuay, Cuenca, Ecuador
Empathy and Family Functioning in Medical Students of the University of Azuay, Cuenca, Ecuador
Revista Salud Uninorte, vol. 36, no. 3, pp. 571-586, 2020
Fundación Universidad del Norte, División de Ciencias de la
Received: 14 October 2019
Accepted: 01 December 2019
ABSTRACT:
Objective: To explore the distribution of general, and particular, levels of empathy, among the different family functioning styles of medical students at the University of Azuay, in the city of Cuenca, Ecuador.
Materials and methods: Exploratory and cross-sectional study. Student empathy levels were measured through the Jefferson Medical Empathy Scale, S-version in Spanish, and family functioning through the Faces-20 Family Functioning Scale, in a sample of 278 medical students. The comparison of data was carried out by means of analysis of bifactorial variance model III. The used level of significance was α≤ 0.05 and 1- β ≤ 0.20.
Results: The analysis of the general empathy variance was significant (p <0.05) for the family functioning style factor. The results on the dimensions of empathy:" Take on perspective" and "Ability to understand the situation of the other" were significant (p = 0.035; p = 0.044) for the family functioning style factor. Regarding the "Care with compassion" dimension, no significant differences were observed (p> 0.05). On the other hand, it was found that extreme family functioning styles have empathy values greater than the intermediate style, with significant differences between them (p <0.05).
Conclusion: There is a relationship between the type of family functioning and empathy. Extreme family functioning style have higher empathy values than intermedium families. Regarding the gender factor, these differences were not presented.
Keywords: Empathy+ Students, Medical+ Physician-Patient relations.
RESUMEN
Objetivo: Explorar la distribución de los niveles generales y particulares de empatia entre los diferentes estilos de funcionamiento familiar de los estudiantes de medicina de la Universidad del Azuay en la ciudad de Cuenca-Ecuador.
Materiales y métodos: Estudio exploratorio y transversal. Los niveles de empatia de los estudiantes se midieron a través de la Escala de Empatia Médica de Jefferson, versión S en español y el funcionamiento familiar a través de la Escala de Funcionamiento Familiar Faces-20 en una muestra de 278 estudiantes de medicina. La comparación de los datos se realizó mediante análisis de varianza bifactorial modelo III. El nivel de significación fue de α≤ 0.05 y 1- β ≤ 0.20.
Resultados: El análisis de la varianza de la empatia general fue significativa (p<0,05) para el factor Estilo de funcionamiento familiar. Los resultados sobre las dimensiones de la empatia: "Toma de perspectiva" y "Habilidad para comprender la situación del otro" fueron significativos (p=0,035; p=0,044) para el factor Estilo de funcionamiento familiar. En torno a la dimensión "Cuidado con compasión" no se observaron diferencias significativas (p > 0.05). Por otra parte, se encontró que los estilos de funcionamiento familiar extremo tienen valores de empatia mayores al del estilo intermedio, con diferencias significativas entre ellos (p<0,05).
Conclusión: Existe una relación entre el tipo de funcionamiento familiar y la empatia. Las familias con estilo de funcionamiento familiar extremo presentan mayores valores de empatia que las familias intermedias. En torno al factor género, no se presentaron estas diferencias.
Palabras Clave: Empatia, Estudiantes de Medicina, Relaciones Médico - paciente.
INTRODUCTION
The medical student, in addition to knowledge about health and illness, must develop capacities for an adequate relationship and communication with patients. This interaction, defined as empathy, has been considered an essential factor in the patient medical relationship 1, the ability to understand the situation of others, and caring for patients with compassion, are dimensions of empathy that are closely associated with an adequate doctor-patient relationship 2,3.
In the medical career, the results of the measurement of empathy levels in the different courses have been contradictory: lower scores in some cases 4, and higher in others 5,6. This also happens with other health careers in general 7,8. Empathy levels show variability around the "course" and "gender" attributes 1,9,10,11. In Latin America, variability is also observed between, and within, Faculties of Medicine of the same country, as well as between countries 9.
Likewise, empathy is presented differently, depending on the type of family, and family functioning that one has. According to Olson’s family and marital system circumplex model 12, there would be three types of families by combining the dimensions of cohesion and adaptation:
1. Balanced level, which corresponds to a flexible or structured operation; they are families that have openness to change, and a greater capacity, as a system, to modify their rules and regulations, according to the requirements they face. 2. Rigid or chaotic level, where the guidelines and norms that govern family functioning tend to be extremely rigid, with a low willingness to modify these pre-existing guidelines, even when the situation warrants changes.3. Extreme level, predominantly agglutinated families, characterized by a strong emotional bond between their members, which negatively affects the process of individualization of the members.
It is permissible to assume then, that there is influence of the family in the social, personal, and empathy development of its members, making the influence of family functioning, in extra-family systems, very important. Indeed, studies by Shaffer et al. 13) have suggested that the well-being of doctors is a result of their early family relationships, which affect and predict their positive functioning. In this regard, Weiner et al. 14 reviewed the effect of family relationships, of the family of origin, on the well-being of doctors, and found that emotional closeness between family members was a predictor of positive relationships, and, therefore, of empathic attitudes.
The objective of this study is to explore the distribution of general, and particular, levels of empathy, among different family functioning styles of medical students of the University of Azuay, in the city of Cuenca, Ecuador.
MATERIALS AND METHODS
This was a cross-sectional descriptive study seeking to survey all medical students at the University of Azuay. The Jefferson Medical Scale of Empathy, S-version (JMSE-S), and the Faces-20 Family Functioning Scale were previously submitted to cultural validation, using judged criteria. Four experts examined the questions, in order to adjust the concepts to the cultural environment, and to avoid confusion or subjective influences that distort student responses, which was examined through a pilot application.
The application of the surveys was carried out by a neutral investigator, in March 2015, during a regular class session of the students, safeguarding the anonymity and confidentiality of the information, by signing an informed consent approved by the ethics committee, and following the declaration of Helsinki. A total of 278 students of the Medicine course of the University of Azuay (Cuenca - Ecuador), enrolled for the academic period corresponding to 2015, were included, covering 98.2% of the student body. One hundred sixty-six women (59,7%) and 112 men (40,3%) participated, with a range between 17 and 41 years of age (M=20.88, SD=2.78), distributed in six courses or educational levels: 1st. year (n = 72), 2nd. year (n = 92), 3rd. year (n = 24), 4th. year (n = 45), 5th. year (n = 17), and 6th. year (n = 28).
The Jefferson Medical Scale of Empathy, S -version(JMSE-S), is based on the Jefferson Scale of Medical Empathy (JSME)3, being a specific version for medical students (s version) validated by Alcorta-Garza et al. 2 in Mexican medical students. This is a multidimensional scale that considers three components: a) "Take on perspective", b) "Care with compassion" and c) "Ability to understand the situation of the other". "Take on perspective" refers to the ability to spontaneously adopt the point of view of the other, and has a close relationship with the reasoning that the person performs to represent the beliefs and intentions of that other. "Care with compassion" refers to the possibility of issuing an appropriate emotional response to the emotional state that others present. Finally, the "Ability to understand the situation of the other" is a cognitive component that allows adopting the perspective of the other, understanding their feelings, to infer and predict the behavior of the other15. The Spanish version consists of 20 items, organized on a Likert scale of seven response levels, from 1(strongly disagree) to 7 (strongly agree), giving scores between 20 and 140, to measure the three dimensions or subscales of the construct: 10 items evaluate "Take on perspective" (10 to 70 points), 7 items evaluate "Care with compassion" (7 to 49 points), and 3 items for "Ability to understand the situation of the other" (3 to 21 points); without establishing cut-off points to constitute categories of low or high empathy.
The JMSE-S has an adequate construct validity, convergent, discriminant, high internal consistency (cronbachfs alpha between 0.80 and 0.90), and adequate stability coefficients 1,2,10-11.
The FACES-20 Family Functioning Scale was also applied. The scale measures the dimensions of cohesion and adaptability, based on the Olson marital and family systems circumplex model 12,16. This test consists of 20 Likert scale items, with scores per item ranging from 1 (strongly disagree) to 5 (strongly agree), forming two dimensions of 10 items each. Cohesion essentially refers to emotional union, that is, the degree of connection that the individual perceives in the relationship with their system (items 11 and 19), to emotional support (items 1 and 17), to internal and external family boundaries (items 5 and 7), to the time dedicated to the family, and the physical space available for family gatherings, with friends, in communion (items 3 and 9), and the degree of individual participation in shared activities and interests by the family group (items 13 and 15). The adaptability dimension investigates leadership (items 8 and 18), the degree of control (items 2 and 12), discipline (items 4 and 10), and roles and rules (items 8, 14, 16 and 20).The measurement made by the scale has shown high reliability coefficients in different populations, reaching a Cronbach's alpha of 0.89 in the cohesion dimension, and of 0.87 in the adaptability dimension, when applied in the Chilean population 17.
Statistics Analysis
The Kolmogorov-Smirnov test was used to establish the normality of empathy and its dimensions, and the Levene test of equality of variances, to test homoscedasticity.
To analyze the behavior of the variable, the mean and standard deviation of the general empathy, and each of its dimensions, were estimated. Subsequently, a Variance Analysis (ANOVA, Model III) was applied, with weighted least squares analysis (compensated by academic year). To assess the size of the effect, the square eta (η2), the power of the test (1-β: type II error), and the corrected coefficient of determination of the regression of weighted least squares per academic year (R2), were estimated. The distribution of empathy in the factors of family functioning style (FFS), gender (G), and the interaction between both factors (FFS * G), were evaluated.
In cases where ANOVA was significant, the Tukey multiple comparison test was applied to define the order of differences between empathy means and their dimensions, according to factor levels. The used level of significance was α≤ 0.05 and 1- β ≤ 0.20. All analyzes were performed using the IBM SPSS Statistics 22 program (IBM Corp., 2011).
RESULTS
Empathy means, with standard deviations (SD) and standard errors of the mean (SEM), are shown in Table 1. Empathy presented a normal distribution (p>0.05), with homogeneous variances when segmented by gender and FFS (p> 0.05). The ANOVA F test of the distribution of general empathy was significant for the FFS factor (p<0.05, η 2=0.023, 1-P=0.602). Concerning the gender factor and interaction (FFS * G) they were not significant (p = 0.077 and p = 0.104 respectively), with the regression model reaching a value of R2=0.049. Regarding empathy, on the "Take on perspective" dimension, the results of the ANOVA were significant for the FFS factor (p=0.035, η2=0.024, 1-β=0.718); there are no effects associated with gender or interaction (FFS*G) (p=0.293 and p=0.478 respectively), with a value of R2=0.24. On the other hand, in the "Care with compassion" dimension, no significant differences were observed in any of the factors (FFS: p=0.117; gender: p=0.07; FFS*G: p=0.207). For the "Ability to understand the situation of the other" component, the FFS factor was significant (p=0.044, η2=0.016, 1- β =0.449), however gender and the interaction between both factors were not significant (p=0.579 and p=0.124, respectively).

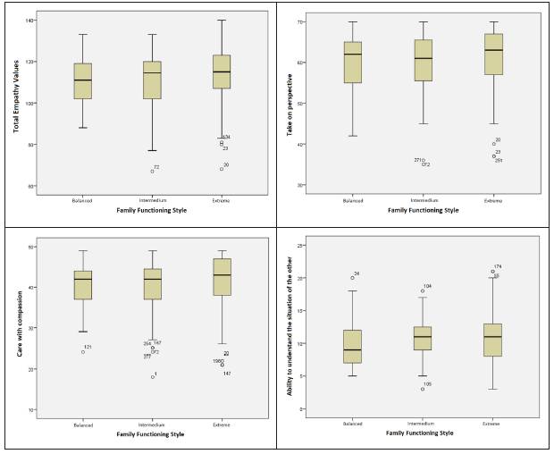
Table 2 shows the results of the application of the multiple comparison test of empathy means in general, and for each of its components, according to family functioning styles. In the general assessment of empathy, it was found that the average of the extreme family functioning style has values of empathy greater than that of the intermediate style, with significant differences between them (p<0.05); however, the mean balanced style does not differ from the other styles (p>0.05). The same relationship, indicated above, is evident when the empathy means of the three family functioning styles were compared in the "Take on perspective" component (p>0.05). In the "Care with compassion" component, no significant differences were observed between the means of empathy of the studied family functioning styles. Finally, in the "Ability to understand the situation of the other" component, there was a greater average of empathy in the intermedium style with respect to the balanced style, resulting in significant differences between them (p<0.05); the mean of the extreme style is between the above mentioned means, and does not differ significantly from them (p>0.05). Comparisons of empathy means according to family functioning styles can be seen in Figure 1.


The observed significance of the distribution of empathy in the FFS allows to state that there are differences in the levels of this factor. In this case, the effect size is small (η2 =0.044), and, therefore, the found differences may not be so relevant.
The power of the test was relatively less than the normally accepted value (0.80), so the sample size also plays an important role.
DISCUSSION
The objective of this study was to explore the distribution of general, and particular, levels of empathy among the different family functioning styles of medical students of the University of Azuay, in the city of Cuenca, Ecuador.
Regarding gender, several authors have found that this factor influences the distribution of empathy 18,7,19,1,10,11,20,21, however, other studies indicate that such differences do not have to be necessarily present, because in some cases, empathy is similar in women and men 18, just like in the present study.
The lack of significance in this factor in interaction with the FFS, and the low value achieved by R2,implies that such interaction does not generate an effect on empathy, a finding consistent with that reported by Sandoval et al. 22, and if it does, it would be in such magnitudes that can be considered, from the causal point of view, as a complementary contributor 23.
Regarding empathy and family functioning, on the "Take on perspective" dimension, the results of the study were significant for the FFS factor. Regarding their interaction with gender (FFS*G) there were no significant results. On the other hand, in the "Care with compassion" dimension, no significant differences were observed in any of the factors (FFS; gender; FFS * G), results consistent with the findings of González-Martínez et al. 19.
In the "Ability to understand the situation of the other" component, the FFS factor was significant, results that coincide with those of Madera et al. 24, who concluded that family functionality could be responsible for generating awareness and understanding behaviors towards the patient. However, the results for gender, and the interaction between both factors, were not significant (FFS * G).
It was found, in the general factor, that extreme family functioning styles have empathy values greater than the intermedium style, with significant differences between them. A similar situation arose when comparing the "Take on perspective" and "Care with compassion" variables, showing significant differences between intermedium and extreme style, in favor of the latter. Therefore, it can be attributed that this type of family functioning contributes with certain formative factors that may have an impact on the development of empathic values 22.
Extreme families are often considered chaotically attached, chaotically detached, rigidly attached, or rigidly detached 12. It is possible that these conditions contribute to the development of attitudes of empathy, especially if the family shows a rigid attachment, even if it is chaotic, since its strong demand for fidelity and loyalty to its members 25) could imply the development of skills to put oneself in the place of other. Family communication has been considered as a promoter of empathy, as it encourages to listen and reflect, to offer support 26.
In fact, the expression of affection, functional communication, and family support variables, are highly correlated with empathy in resident doctors 22. In the case of extreme families, these values may be present, although they may be erratic or strict 27, however it would be interesting to review the communication, support, and expression of affection positive variables in these types of families, that contribute to the development of empathic attitudes, through new research.
However, it has been suggested that the development of empathy is related to positive perception, the result of open communication, present in family relationships that express affections, adapt their rules, and are flexible 22. In the case of extreme families, the authoritarian or absent leadership that characterizes them, affects communication 27.This relationship has been criticized for a series of limitations in the studies that support it, and the tendency of researchers to simplify the characteristics of family communication, and reduce it to good, bad, positive, or negative 13,11,27. On the other hand, these families can function well if there is a high level of satisfaction on the part of all their members with this family dynamic 25, satisfaction that apparently has implications with their ability to listen and reflect, that is, in communication, and consequently, in the deployment of empathic behaviors.
The characteristics of the extreme families in the context of Ecuadorian culture should be reviewed, since it is likely that what is considered extreme does not necessarily mean erratic. Indeed, perceptions of behavior tend to vary between cultures 28, as well as in certain areas, affected by family functioning 29, so communication in extreme families is not necessarily affected.
Previous studies have demonstrated the value of family support in the development of empathic behaviors 13, although they have not reviewed typology and family functioning, certain family values have been considered for their involvement in the development of this attitude, such as emotional closeness among family members. The family unit influences the individual's ability to cope with the daily tensions of life, their professional functioning, and their psychological health 14. Precisely, the family trait that stood out the most in the study, cited as a predictor of well-being in doctors, was the individualization in the family of origin, that is, the possibility that family members have in maintaining their rights, identities, beliefs, and points of view, in relation to the other members. It is worth asking whether extreme families maintain these traits, which apparently are promoters of empathic behavior. Additionally, the degree of support from family and friends was correlated with the development of empathy in male students, but not in female students 30.
There is a possibility of involvement of other variables, such as contact with patients, training in subjects that treat the doctor-patient relationship, and experiential factors, such as the experiences of critical situations in health services, which could contribute to the development of empathy 31. Additionally, it would be useful to review whether these attitudes of empathy, shown by medical students, are maintained when they exercise their profession, since it has been shown that professional exhaustion could be related to a decrease in empathy 30.
A single variable showed greater significance in the intermedium operating style: "Ability to understand the situation of the other", compared to the balanced style.
The intermedium style seeks balance between chaotic, rigid, flexible, and structural conditions, all of them in their connected or separate categories 12. These families have the ideal communication characteristics to promote empathic attitudes 25, which apparently are not remarkable, because they have not affected neither the other two empathy variables analyzed, nor the general variable.
Limitations of the research and suggestions for the future
The conclusions of this work cannot be generalized to other populations. Other studies should be carried out to confirm the existence of an association between the variables studied in the present work.
CONCLUSION
There is a relationship between the type of family functioning and empathy. Extreme family functioning style have higher empathy values than intermedium families. Regarding the gender factor, there were not any differences.
REFERENCES
1. Hojat M, Gonnella JS, Mangione S, Nasca TJ, Veloski JJ, Erdmann JB, Et al. Empathy in medical students as related to academic performance, clinical competence and gender. Med.Educ. 2002; 36(6), 522-527. https://doi.org/10.1046/j.1365-2923.2002.01234.x.
2. Alcorta-Garza A, González-Guerrero JF, Tavitas-Herrera SE, Rodríguez-Lara FJ, Hojat M. Validación de la Escala de Empatía Médica de Jefferson en Estudiantes de Medicina Mexicanos. Salud Ment [Internet].2005[Cited 07/08/19]; 28(5), 57-63. Available from: Available from: https://www.medigraphic.com/pdfs/salmen/sam-2005/sam055h.pdf
3. Hojat M, Mangione S, Nasca TJ, Cohen MJ, Gonnella JS, Erdmann J B, Et al. The Jefferson scale of physician empathy: Development and preliminary psychometric data. Educ Psychol Meas 2001; 61(2), 349-365. https://doi.org/10.1177/00131640121971158
4. Moreto G, González-Blasco P, Pessini L, Craice-de Benedetto MA. La erosión de la empatia en estudiantes de Medicina: Reporte de un estudio realizado en una universidad en Sào Paulo, Brasil. Atenc. Fam. 2014; 21(1), 16-19. Doi:10.1016/S1405-8871(16)30005-0
5. Alonso LM, Caro SE, Erazo AM, Diaz-Narváez VP. Evaluación de la orientación empática en estudiantes de medicina de la Universidad del Norte. Barranquilla (Colombia). Salud Uninorte [Internet]2013[-cited 10/07/19]; 29(1), 22-33.Available from: Available from: https://www.redalyc.org/pdf/817/81728689004.pdf
6. Silva MG, Arboleda J, Diaz-Narváez VP. Orientación empática en estudiantes de medicina en una Universidad de la República Dominicana. Rev.cuba.educ.méd.super. [Internet]2014[cited 10/08/19]; 28(1), 74-83. Available from: Available from: http://scielo.sld.cu/scielo.php?pid=S086421412014000100009&scrip-t=sci_arttext&tlng=t
7. Galán JM, Romero R, Morillo MS, Alarcón JM. Descenso de empatia en estudiantes de enfermeria y análisis de posibles factores implicados. Psicol. Educ. 2014; 20(1), 53-60. Doi: 10.1016/j.pse.2014.05.007
8. Silva MG, Arboleda J, Diaz-Narváez VP. Orientación empática en estudiantes de odontologia de la Universidad Central del Este. Odontoestomatología [Internet] 2013[cited 10/08/19];15(22), 24-33. Available from: Available from: https://www.redalyc.org/pdf/4796/479647722004.pdf
9. Diaz-Narváez VP, Alonso LM, Caro SE, Silva MG, Castillo JA, Bilbao JL, Et al. .Empathic orientation among medical students from three universities in Barranquilla, Colombia and one university in the Dominican Republic. Arch argentpediatr 2014;112(1), 41-49. Doi: 10.1590/S0325-00752014000100008
10. Hojat M, Gonnella JS, Nasca TJ, Mangione S, Veloksi JJ, Magee M. The Jefferson Scale of Physician Empathy: Further psychometric data and differences by gender and specialty at item level. Acad Med [Internet] 2002 [cited 10/08/19]; 77(10):58-60. Available from: Available from: https://journals.lww.com/academicme-dicine/fulltext/2002/10001/the_jefferson_scale_of_physician_empathy_further.19.aspx#pdf
11. Hojat M, Gonnella JS, Nasca TJ, Mangione S, Vergare M, Magee M. Physician empathy: Definition, components, measurement, and relationship to gender and specialty. Am J Psychiatry 2002; 159(9), 1563-1569. https://doi.org/10.1176/appi.ajp.159.9.1563
12. Olson DH, Russell CS, Sprenkle DH. Circumplex model of marital and family systems: VI. Theoretical update. Fam. Process 1983; 22(1), 69-83. https://doi.org/10.1111/j.1545-5300.1983.00069.x
13. Shaffer JW, Duszynski KR, Thomas CB. Family attitudes in youth as a possible precursor of cancer among physicians: A search for explanatory mechanisms. J.Behav.Med [Internet] 1982[cited 10/08/19]; 5(2), 143-163. Available from: Available from: https://link.springer.com/article/10.1007/BF00844805
14. Weiner EL, Swain GR, Gottlieb M. Predictors of psychological well-being among physicians. Fam syst health 1998; 16(4), 419-429. http://dx.doi.org/10.1037/h0089866
15. Gutierrez-Ventura F, Quezada-Huerta B, López-Pinedo M, Méndez-Vergaray J, Díaz-Narváez VP, Zamorano A, Rivera I. Medición del nivel de percepción empática de los estudiantes de la Facultad de Estomatología Roberto Beltrán. Universidad Peruana Cayetano Heredia. Rev Estomatol. Herediana. [Internet] 2012[cited 10/08/19]; 22(2), 91-99. Available from: Available from: https://www.redalyc.org/pdf/4215/421539370004.pdf
16. Zicavo N, Palma C,Garrido G. Adaptación y validación del Faces-20-ESP: Re-reconociendo el funcionamiento familiar en Chillan, Chile. Rev.Latinoam. cienc.soc.niñez juv. [Internet] 2012[cited 10/08/19]; 10(1), 219-234. Available from: Available from: https://dialnet.unirioja.es/servlet/articulo?codigo=3934920
17. Díaz-Narváez VP, Erazo AM, Bilbao JL, González F, Padilla M, Howard M, Et al. Empathy Gender in Dental Students in Latin America: An Exploratory and Cross-Sectional Study. Health 2015; 7, 1527-1535. Doi:10.4236/health.2015.711166
18. González-Martínez FD, Díaz-Narváez VP, Arrieta-Vergara K, Díaz-Cárdenas S, Tirado-Amador LR, Madera-Anaya M. Distribución de la orientación empática en estudiantes de odontología. Cartagena, Colombia. Rev. Salud Pública 2015; 17(3), 404-415. Doi:10.15446/rsap.v17n3.37591
19. Sánchez L, Padilla M, Rivera I, Zamorano A, Díaz-Narváez VP. Evaluation of empathetic orientation in Odontology students. Rev.cuba.educ.méd.super. [Internet]2013[cited 10/08/19]; 27(3), 216-225. Available from: Available from: https://www.medigraphic.com/pdfs/educacion/cem-2013/cem133g.pdf
20. Santos MA, Grosseman S, Morelli TC, Giuliano ICB, Erdmann TR. Emapthy differences by gender and specialty preference in medical students: A study in Brazil. Int. J. Med. Educ.2016; 7: 149-153. Doi:10.5116/ijme.572f.115f
21. Sandoval LG, Reducindo R, Islas A. Funcionamiento familiar y empatía en los médicos residentes del Instituto de Seguridad y Servicios Sociales de los Trabajadores del Estado. Rev. Espec. Médico-Quirúrgicas [Internet] 2011[cited 10/08/19]; 16(4), 221-228. Available from: Available from: https://www.medigraphic.com/p dfs/quirurgicas/rmq-2011/rmq114f.pdf
22. Díaz-Narváez VP. Metodología de la Investigación Científica y Bioestadística para Profesionales y Estudiantes de Ciencias de la Salud. 1a ed. Santiago, Chile: Ril Editores; 2009.
23. Madera MV, Tirado LR, González F. Factores relacionados con la empatía en estudiantes de medicina de la universidad de Cartagena. Rev. Clín. Med. Fam [Internet] 2015[cited 10/07/19]; 8(3), 185-192. Available from: Available from: http://scielo.isciii.es/pdf/albacete/v8n3/original1.pdf
24. Olson DH, McCubbin HL, Barnes H, Larsen A, Muxen M, Wilson M. Families: What makes them work. 3rd .ed. Newbury Park, CA: Sage;1989.
25. Zegers B, Larraín ME, Polaino-Lorente A, Trapp A, Diez I. Validez y confiabilidad de la versión española de la escala de Cohesión y Adaptabilidad Familiar (CAF) de Olson, Russell & Sprenkle para el diagnóstico del funcionamiento familiar en la población chilena. Rev.Chil.Neuro-Psiquiat 2003; 41(1), 39-54. http://dx.doi.org/10.4067/S0717-92272003000100006
26. Reusche RM. El funcionamiento familiar de adolescentes con problemas de conducta escolar, según la Escala para evaluar la Adaptación y Cohesión de la familia (FACES III) de D. H. Olson (Tesis doctoral Internet):Universidad Femenina del Sagrado Corazón, Lima,Perú;1998[cited 10/07/19].Available-from: Available-from: http://revistas.unife.edu.pe/index.php/tematicapsicologica/article/view/802
27. Olson DH, Sprenkle DH, Russell CS. Circumplex model of marital and family system: I. Cohesion and adaptability dimensions, family types, and clinical applications. Fami.Process 1979; 18(1), 3-28. https://doi.org/10.1111/j.1545-5300.1979.00003.x
28. Achenbach TM, McConaughy SH, Howell CT. Child/adolescent behavioral and emotional problems: Implications of cross-informant correlations for situational specificity. Psychol. Bull 1987; 101(2): 213-232. Doi:10.1037/0033-2909.101.2.213
29. Wang J, Mansfield AK, Zhao X, Keitner G. Family functioning in depressed and non-clinical control families. Int j soc psychiatr 2013; 59(6): 561-569. https://doi.org/10.1177/0020764012445260
30. Thomas MR, Dyrbye LN, Huntington JL, Lawson KL, Novotny PJ, Sloan JA, Et al. How do distress and well-being relate to medical student empathy? A multicenter study. J Gen Intern Med 2007; 22(2): 177-183. Doi: 10.1007/s11606-006-0039-6
31. Dávila Y, Neira VA, Aguilera J, Martínez FC, Velez X, Díaz-Narváez VP. La empatía y estudiantes de medicina en la Universidad de Azuay, Ecuador. Salud Uninorte [Internet]2017[cited 2/08/19];33(1):39-47. Available from: Available from: https://www.redalyc.org/pdf/817/81751405006.pdf
Notes
Author notes
*Correspondence: Víctor Patricio Díaz-Narváez. Postal code 8320000. Phone number: +56 991614015. victor.diaz@unab.cl. Dentistry Faculty. Universidad Andres Bello. Echaurren 237. 4th floor. Of. 12. Santiago. Metropolitan region. Chile.
Conflict of interest declaration