Estrategia y Organizaciones
Modelo de control estratégico desde la perspectiva del valor de los intangibles. Método y aplicación
STRATEGIC CONTROL MODEL FROM THE PERSPECTIVE OF THE VALUE OF INTANGIBLES. METHOD AND APPLICATION
MODELO DE CONTROLE ESTRATÉGICO A PARTIR DA PERSPECTIVA DO VALOR DOS INTANGÍVEIS. MÉTODO E APLICAÇÃO
MODÈLE DE CONTRÔLE STRATÉGIQUE DANS LA PERSPECTIVE DE LA VALEUR DES ACTIFS INTANGIBLES. MÉTHODE ET APPLICATION
Modelo de control estratégico desde la perspectiva del valor de los intangibles. Método y aplicación
Innovar, vol. 26, núm. 59, pp. 9-20, 2016
Facultad de Ciencias Económicas. Universidad Nacional de Colombia.
Recepción: Octubre 2012
Aprobación: Julio 2014
RESUMEN: En el control estratégico, la perspectiva de medición de los activos intangibles, entendidos como capacidades futuras de una organización, permite anticipar necesidades y oportunidades. En este sentido, en este trabajo se plasma un sistema de información para la toma de decisiones estratégicas a partir del sistema contable, que se soporta en el concepto del capital intelectual como diferencia entre valor de mercado y de libros, incorporando la aleatoriedad de los mercados con un modelo econométrico. Una vez valorados los activos intangibles, dicho modelo permite el análisis estratégico para la mejora del valor real de la organización a través de una función lineal que los sitúa como generadores del capital intelectual organizacional. El proceso ha sido analizado con su aplicación a una empresa de servicios.
CLASIFICACIÓN JEL: M10, M12, M19.
PALABRAS CLAVE: Intangibles, capital intelectual, gestión, estrategia, sistemas de información.
ABSTRACT: Within strategic control, the prospect of measuring intangibles assets, viewed as future capacities of an organization, makes possible to foresee necessities and opportunities. In this sense, this work introduces an information system for strategic decision-making on the basis of the accounting system. Such system is supported by the concept of intellectual capital as a difference between market and carrying values, comprising the randomness of markets with an econometric value. Once intangible assets are valued, this model allows a strategic analysis for improving the real value of the organization through a lineal function that allocates them as generators of organizational intellectual capital. The process has been analyzed from its application in a company of services.
CLASIFICACIÓN JEL: M10, M12, M19.
KEYWORDS: Intangibles, intellectual capital, management, strategy, information systems.
RESUMO: No controle estratégico, a perspectiva de medição dos ativos intangíveis, entendidos como capacidades futuras de uma organização, permite antecipar necessidades e oportunidades. Nesse sentido, neste trabalho se apresenta um sistema de informação para a tomada de decisões estratégicas a partir do sistema contábil, que está apoiado no conceito do capital intelectual como diferença entre valor de mercado e de livros, e que incorpora a aleatoriedade dos mercados com um modelo econométrico. Com os ativos intangíveis valorados, esse modelo permite a análise estratégica para a melhora do valor real da organização por meio de uma função linear que os posiciona como geradores do capital intelectual organizacional. O processo foi analisado com sua aplicação a uma empresa de serviços.
CLASIFICACIÓN JEL: M10, M12, M19.
PALAVRAS-CHAVE: Intangíveis, capital intelectual, gestão intelectual, estratégia, sistemas de informação.
RÉSUMÉ: Dans le contrôle stratégique, la perspective de l'évaluation des actifs intangibles, considérés comme les capacités futures d'une organisation, permet d'anticiper des besoins et des opportunités. En ce sens-ci, ce travail présente un système d'information pour la prise de décisions stratégiques à partir du système comptable, qui repose sur le concept du capital intellectuel comme la différence entre la valeur marchande et la valeur au livre, en incorporant le caractère aléatoire des marchés avec un modèle économétrique. Une fois valorisés les actifs intangibles, ce modèle permet l'analyse stratégique pour améliorer la valeur réelle de l'organisation au moyen d'une fonction linéaire qui les place comme des générateurs de capital intellectuel de l'organisation. Le processus a été analysé dans son application à une société de services.
CLASIFICACIÓN JEL: M10, M12, M19.
MOTS-CLÉ: Intangibles, capital intellectuel, gestion, stratégie, systèmes d'information.
Introducción
Los empresarios saben que el futuro de sus organizaciones se encuentra en ser competitivos, innovar, ser creativos; en definitiva, se debe potenciar y gestionar los activos intangibles, entendidos como generadores de beneficios futuros. El problema es que no saben cómo hacerlo y, lo que es peor, no saben si su hoja de ruta es la correcta, al carecer de referenciales para lograr su objetivo. Esto los conduce a distraer su atención, más aún con los problemas de liquidez en los que se encuentran inmersas muchas organizaciones en momentos de crisis financieras.
En este sentido, la literatura especializada muestra claras evidencias sobre la necesidad de la supervivencia de las organizaciones, soportadas en elementos que van más allá de los beneficios a corto plazo, esto es, invertir en factores que generarán valores futuros: los activos intangibles. El primer eslabón para determinar su valor lo constituyen las mediciones en capital humano, en términos de costes, como lo propone Flamholtz (1974), o de valor, como lo hace Hermanson (1963). Posteriormente, el concepto se extendería a factores de estructura y de clientela apareciendo las nociones de capital social y capital intelectual que se han venido modelando de diferentes formas.
Así, el capital social, de acuerdo a Abili y Abili (2011) facilita el intercambio de conocimientos, la creación de valor, la obtención de ventajas competitivas y un mayor desarrollo de las organizaciones. Además, incluye normas, valores, orientaciones, redes y relaciones sociales que rigen los comportamientos y las interacciones entre los individuos, y facilita la cooperación mutua y la coordinación de los intereses comunes, permitiéndoles interactuar de manera colectiva.
El capital social existe en tres niveles: en el micro, el capital social se forma donde quiera que existan relaciones humanas; en el medio, se genera entre los miembros de un grupo como resultado de su pertenencia, y en el macro, se genera en los grandes entornos sociales, incluyendo relaciones y estructuras, como normas, reglamentos y marcos jurídicos formales (Akdere y Roberts, 2008).
Según Nahapiet y Ghoshal (1998) y Chenhall, Hall y Smith (2010), el capital social de la organización es una colección de fuentes existentes y potenciales como resultado de la red relacional que pertenece al individuo o una unidad social. Funciona como soporte para la confianza y la cooperación entre las personas, ayudando a llevar las relaciones sociales y a mejorar el desempeño de la organización.
Por otro lado, desde el ámbito del capital intelectual destacan las aportaciones realizadas a través de experiencias empresariales como el 'Navigator' de Skandia (1998), concebida desde la estimación del valor de mercado y diferenciada de la de libros por el efecto de los activos ocultos o intangibles que configurarán su capital intelectual. No obstante, estos métodos parten de un determinismo inexistente en el ámbito social. Por otra parte, el enlace de dichos procesos con la gestión estratégica, en el mejor de los casos, queda en el desarrollo de indicadores sobre medición y control para el desarrollo de la visión estratégica, pero de forma unidireccional o jerárquica, como provee el método del 'Balanced Scorecard' propuesto por Kaplan y Norton (1997).
De esta forma, en este trabajo presentamos una herramienta novedosa, por estar concebida para la gestión del conocimiento desde los factores ocultos de la organización y asentada en la aleatoriedad. Para ello, el método planteado parte de la división del capital intelectual en diferentes capitales que son medidos mediante indicadores absolutos y de eficiencia. Después, para establecer una valoración global, se aplica un modelo econométrico sobre la diferencia entre el valor contable y el de mercado, todo ello filtrado por los efectos sociales y de mercado.
Asimismo, en este trabajo presentamos un instrumento para la gestión que facilita el conocimiento del valor real o integral de su empresa, apoyado mediante indicadores cualitativos y cuantitativos que facilitan la gestión y el control de intangibles, propiciando a su vez una proyección de politicas sobre estos capitales que faciliten la toma de decisiones; es decir, se consolida, a partir del sistema de información contable, un sistema de información para la decisión (Decision Support System).
Como resultados más destacados, contamos con un sistema que permite responder efectivamente a la planificación estratégica, proporcionando además las claves para mejorar y reconducir la misma, en los casos que fuese necesario, es decir, una herramienta diseñada para medir los activos intangibles facilitadora de la reingeniería estratégica.
Todo lo anterior ha sido también validado para una muestra de más de 400 pequeñas y medianas empresas (pymes) en España (Baños, López, Nevado y Sanz, 2005a; Baños, López, Nevado, Sanz y Selva, 2005b), estableciendo un modelo estándar de aplicación. Así, en este trabajo se recogen los desarrollos básicos de su implementa-ción para una empresa de servicios que ha venido utilizando esta herramienta de gestión desde el año 2002 al 2010.
Revisión de la literatura
Intangibles versus capital intelectual: modelos de medición y valoración
En todo proceso de investigación es necesario conocer las fuentes previamente. En nuestro caso, lo primero es determinar el concepto de intangible y capital intelectual, que hacen referencia a un conjunto amplio de factores que constituyen fuentes generadoras de beneficios en las empresas. No obstante, para una misma idea se han establecido diferentes denominaciones, llegando a utilizarse como sinónimos los términos: capital intelectual, activos intelectuales, recursos intangibles, activos intangibles, activos invisibles, activos ocultos, activos inmateriales, recursos de conocimiento, fondo de comercio, capital intangible, etc. Sin embargo, estos términos se emplean con frecuencia indistintamente sin definirlos con claridad y no siempre se utilizan de manera homogénea, observándose aplicaciones muy diversas (Meritum, 2002).
Algunos autores consideran que el uso de estos términos depende de su contexto. Así, Lev (2003) señala que son utilizados de forma indiferenciada: intangibles en la literatura contable, activos del conocimiento por parte de los economistas y capital intelectual por los especialistas del área de la gestión de empresas y en la literatura legal, y que en esencia se refieren a una misma cosa: una fuente de beneficios futuros sin sustancia física. También opinan en este sentido Sánchez, Chaminade y Olea (2000), Vickery (2000) y Cañibano, Sánchez, García-Ayuso y Chaminade (2002), quienes consideran que a pesar de que los términos capital intelectual y elementos intangibles poseen idéntico significado, suelen ser utilizados en contextos diferentes: elementos intangibles es un término empleado generalmente en el terreno de la contabilidad, mientras que el término capital intelectual es más utilizado en la literatura de recursos humanos.
Sin embargo, hay que tener en cuenta otro posicionamiento que atiende a que el capital intelectual puede ser considerado como el agregado de todos los elementos intangibles que posee una organización o de tan solo de algunos de ellos. En este sentido, tal y como recogen Rojo y Sierra (2000), el término capital intelectual se ha usado con distintas acepciones:
Activos intangibles en general, esto es, tanto aquellos que figuran reconocidos en el balance de las empresas como aquellos otros que siguiendo los criterios contables actuales no podrían figurar (Martínez, 1998, pp. 82-83; Bontis, Dragonetti, Jacobsen y Roos, 1999, p. 397; Bornemann, Knapp, Schneider y Sixl 1999, p. 7; Unión Fenosa, 2000, p. 33; Rojo y Sierra, 2000; Sierra, 2002; Martínez, 2002, pp. 98-99; Meritum, 2002, p. 16; entre otros). Activos intangibles ocultos, esto es, aquellos que no son reconocidos como activos por los estados contables tradicionales (Skandia, 1995, p. 5; Wallman, 1996; Brooking, 1997, p. 25; Roos y Roos, 1997, p. 415; The Danish Trade and Industry Development Council, 1997, p. 5; Sveiby, 1997, pp. 6-7; Tejedor y Aguirre, 1998, p. 236; Edvinsson y Malone, 1999, p. 29; Álvarez, 2000, p. 437; entre otros). Bajo este planteamiento no todos los recursos inmateriales forman parte del concepto capitalintelectual, pues aquellos que resulten reconocidos por la contabilidad desaparecerán del mismo. Así pues, el capital intelectual comprendería exclusivamente la diferencia entre valor de mercado y valor contable de una empresa (Skandia, 1998, p. 23; Edvinsson y Malone, 1999, p. 29).
Capital humano (Wallman, 1995, p. 87; Vilá, 1998, p. 44; Ulrich, 1998; Cañibano, García-Ayuso y Sánchez, 1999, p. 53; Banco Popular, 2000, p. 8; Indra, 2000, p. 22; Marcinkowska, 2000, p. 8; Sierra y Moreno, 2000, p. 633; Torres, 2000, p. 141).
Fondo de comercio, bien adquirido (Ndahiro, Schneider y Rodi, 2000, p. 10) o bien generado internamente (Brooking, 1997; Hoogendoorn, 2000, p. 7; García, 2001, p. 62).
En nuestro caso, consideramos la acepción de activos ocultos a partir de la revisión de la literatura realizada por Nevado y López (2002) y que coincide con una opinión mayoritaria de que las principales líneas divisorias en la conceptuali-zación del capital intelectual están, por una parte, en una consideración de "visible" frente a "oculto"; por otra, en su carácter o no de "identificable/separable" y "controlable" y, por último, en responder a operaciones de "adquisición a terceros" o estar "generados internamente" (Figura 1).
De esta manera, siguiendo la anterior clasificación, consideramos que el capital intelectual se define como el conjunto de activos de una empresa que, aunque no estén reflejados en los estados contables tradicionales, generan o generarán valor para la misma en un futuro, como consecuencia de aspectos relacionados con el capital humano y con otros estructurales, como: la capacidad de innovación, las relaciones con los clientes, la calidad de los procesos, productos y servicios, capital cultural y comunicacional, que permiten a una empresa aprovechar mejor las oportunidades que otras, dando lugar, a la generación de beneficios futuros.
Un segundo aspecto del proceso de investigación realizado es llevar a cabo una revisión de los principales modelos de capital intelectual en el ámbito empresarial, teniendo presente que a partir de ellos se han ido generando modelos para los sectores bancario, eléctrico, hote-lereo, etc., o bien determinadas empresas han elaborado sus propios modelos -ABB, Celimi, etc.- (puede verse Buigues, Jacquemin y Marchipont, 2000), o bien modelos para la administración pública en sus diferentes vertientes: ayuntamientos (Dragonetti y Roos, 1998), universidades (Ramírez, 2010). Además, en los últimos años se ha extendido también hacia el ámbito macroeconómico, surgiendo el capital intelectual de las naciones (Malhotra, 2000).
De acuerdo a la tipología de activos intangibles, han ido apareciendo diferentes modelos de medición (véase la clasificación de Andriessen, 2004). En este sentido, se presenta una clasificación de modelos y métodos atendiendo a los objetivos finales que se persiguen (Tabla 1). En concreto, son los siguientes:
Externos. En este caso, el objetivo es complementar los estados contables tanto desde el punto de vista de incorporar un informe de capital intelectual como de conseguir una mejor valoración financiera de la empresa.
Interno o de gestión. Aquí el objetivo se centra en los intangibles como elementos que suponen ventaja competitiva y, por lo tanto, hay que conocerlos para saber diseñar estrategias a futuro. En la mayoría de los casos los esfuerzos han ido encaminados a recoger una clasificación de intangibles e intentar medirlos mediante indicadores. Algunos avances se encuentran en una cuantificación monetaria de los intangibles a través de cada uno de los capitales que componen el capital intelectual. También, en algún caso, estos modelos se utilizan como complemento de la planificación estratégica.

De todo lo anterior se puede extraer que los estudios llevados a cabo por los distintos equipos de investigación resaltan la necesidad de implementar herramientas para la medición, gestión y valoración de los intangibles. En este sentido, se destacan y explican:
El concepto y tipos de intangibles, poniendo de manifiesto la importancia de cada uno según el sector al que pertenezca la organización.
Las bondades de facilitar información de los intangibles con el fin de mejorar la toma de decisiones y la imagen de marca de la empresa.
La composición y estructura de los intangibles como elementos claves para la generación de valor.
La conveniencia de articular informes de intangibles donde lo importante sea el contenido y no tanto el formato del mismo.
No obstante, hay que decir, que a pesar de los esfuerzos no existe todavía un acuerdo en la mayoría de los aspectos. En este sentido, nuestra propuesta avanza sobre la de Skandia Navigator en cuanto a la valoración de intangibles, perfeccionando el filtro de los indicadores de eficiencia a través del esquema multiplicativo y, sobre todo, en lo referente al control de gestión.
Además, complementa los trabajos de Kaplan y Norton (1997) sobre Balanced Scorecard, posibilitando el análisis de sinergias entre estrategias y el plantemiento multidi-reccional de las mismas, determinando si la estrategia es adecuada, ya que en el Balanced se da por válida, cuanti-ficando también los intangibles y permitiendo proyectar o simular actuaciones que posibilitan la gestión de sus resultados futuros.
El modelo intenta abarcar todos los objetivos finales expresados anteriormente. Para ello, partiendo del sistema de información contable, se determina el capital intelectual como resultado de aquellos beneficios futuros que generará una organización como consecuencia de aspectos relacionados con el capital humano y con otros estructurales que permiten aprovechar mejor las oportunidades. Este método aporta en relación a los anteriores una valoración de activos intangibles, gestión dinámica de la estrategia y valoración más real de la organización.
Metodología
Modelo de medición del capital intelectual: componentes e indicadores
Presentamos a continuación el método para la medición del capital intelectual soportado en los beneficios futuros que generará una organización. La Ecuación 1 determina el capital intelectual como agregado de capital humano y estructural, incluyendo las anomalías de medición en el no explícito (López y Nevado, 2006).

a. Humano, determinado por capacidades, aptitudes y conocimientos del personal. La remuneración, rotación y contratación como gestión de recursos humanos para contar con la fuerza laboral adecuada a largo plazo.
b. Estructural, desagregado en componentes o capitales de clientes (relacional), procesos internos, 'comunicacional' o de imagen, y tecnológico (I+D); es decir, aquellos beneficios futuros estructurales o no humanos en la empresa.
Cliente o relacional, enfocado en la cadena de valor, precisamente en relaciones con proveedores y clientes, satisfacción alcanzada en ellas, cuota de mercado, variabilidad de cartera, etc.
Procesos (internos), determinado por la calidad en productos y servicios alcanzados por los procesos implementados. En su visión micro-corporativa estaría muy relacionado con lo definido por Akdere y Roberts (2008) como capital social.
Imagen o 'comunicacional', centrada en estrategias empresariales destinadas a la imagen externa: publicidad, promoción, relaciones públicas y/o venta personal.
Tecnológico (innovación y desarrollo), orientado hacia las inversiones realizadas para el desarrollo futuro de nuevos productos y/o servicios, nuevas tecnologías, cambios en los sistemas de información, diferenciación, etc., que proporcionen beneficios para la compañía.
c. No explícito, formado por los capitales humanos y estructurales no recogidos anteriormente por su poca importancia, restricciones (informativas) en su estimación o ignorancia, pero que, en conjunto, adquieren la suficiente entidad como para tener que observarlos.
De esta manera, podemos medir el capital intelectual a partir de los distintos agregados, presentando para ello indicadores apropiados, medibles y por tanto comparables. En la Tabla 2 se recoge un modelo estándar aplicable al conjunto de organizaciones empresariales, con especial énfasis en las pymes.

El análisis descriptivo de estos indicadores o factores resulta en una herramienta de control esencial, que podría mejorarse sencillamente con su dinamización, a través del estudio de distintos periodos o análisis de tendencia. En esta vía, hemos mejorado el método llevándolo hacia la valoración o monetización de cada factor o componente, presentando un modelo abierto y flexible para la estimación de indicadores generales con el objetivo de medir estos capitales, pudiendo complementarse y adaptarse a la estrategia y actividad de cada compañía, en función de las particularidades que definan su sector.
En la Tabla 3, presentamos los indicadores para cada uno de los componentes del capital intelectual. Se trata de un prototipo para la aplicación de esta herramienta en cualquier pyme y conseguido a partir de la clasificación de la información suministrada por cerca de 400 empresas en sendos proyectos de investigación1. Como ya propusieran en su Skandia NavigatorEdvinsson y Malone (1999), los indicadores se pueden clasificar en dos tipos:
Absolutos: No tienen relación con otra magnitud, habitualmente se encuentran en los estados contables en unidades monetarias. Así, por ejemplo, la inversión en equipos informáticos realizada en un ejercicio determinado por la firma.
Eficiencia: se trata de valores que varían entre 0 y 1. En dicho intervalo, 0 es la cuota que determina el escenario más desfavorable y 1, el más favorable. Así, por ejemplo, un índice de formación de 0,9 indicará un valor cercano al óptimo en adquisición de competencias y conocimientos en actividades formativas.

En cuanto a cómo medir o estimar su cuantía, en general, para los indicadores absolutos se extrae de los estados contables de la empresa, o para algunos casos del sistema de información interna o de costes (ratios internos, control de costes, etc.). Por su parte, los indicadores de eficiencia o relativos, se obtienen desde sistemas internos de medición soportados habitualmente en el desarrollo de cuestionarios, y que determinan valores cuantificables sobre aspectos subjetivos que atañen al valor de la organización, u objetivos pero no medidos por métodos contables tradicionales.
El valor de cada componente o intangible (I) se estima con un esquema multiplicativo a partir de los valores para los indicadores, que son clasificados e implementados en uno o varios valores absolutos (C) 'filtrados' con sus correspondientes indicadores de eficiencia o relativos (i), conseguidos a través de una media ponderada para cada intangible, de acuerdo a la Ecuación 2.

Aplicación real del modelo como sistema de gestión del capital intelectual
Entre las implementaciones de esta herramienta de gestión ilustramos el proceso con una empresa pionera en su desarrollo y aplicación: 'GOP, Oficina de Proyectos', Sociedad Anónima del sector terciario, con su principal actividad en servicios de arquitectura y urbanismo.
Una de las premisas previas para aplicar el modelo econométrico -Ecuación 3- será partir de una diferencia valorativa entre el mercado (VM) y la contabilidad (VC) -puede denominarse valor extracontable-, debido al conjunto de intangibles y sus sinergias, que generalmente elevarían el precio de venta. A partir de ese valor determinamos el capital intelectual relacionándolo con el conjunto de factores intangibles humanos (IH) y estructurales (IE) ilustrados en el apartado anterior, 'filtrándolo' de los errores del proceso matemático o del mercado, como la especulación, los factores cíclicos de la economía y los capitales no explicitados que recogemos como ε -presentan un comportamiento aleatorio de media nula, varianza constante y no correlación-, según la Ecuación 3.

Como resultado obtenemos un eficiente instrumento de gestión que establece el valor de los activos intangibles u ocultos de una empresa, y estima a través de un periodo determinado (t) la relación entre el valor del intangible y el extracontable ( β), facilitando el proceso de toma de decisiones estratégicas para su organización, a través de la evaluación de escenarios múltiples y alternativos a futuro.
La herramienta de gestión aplicada, denominada análisis integral (López y Nevado, 2006), se analiza a continuación para la empresa seleccionada. Para ello, podemos diferenciar tres etapas enlazadas siguiendo a Nevado y López (2007):
1. Etapa de creación de la base de datos. En primer lugar, se clasifican indicadores y planifica la extracción de datos a partir de un conocimiento de la cultura, visión y misión de la empresa. Se toman datos desde el sistema de información contable, y de otros complementarios, como los cuestionarios diseñados para generar indicadores de eficiencia. El fin de esta etapa es generar una base de datos para conseguir la estimación de los intangibles o componentes del capital intelectual y el valor extracontable, necesarios para aplicar el método en la siguiente etapa.
La base de datos generada ha de cumplir con unos requisitos: Es necesario un número de observaciones superior al de intangibles (parámetros o relaciones a estimar). En cuanto a los indicadores, han de elegirse pensando en una cuantificación oportuna sobre el intangible y que sean comparables. Todos los indicadores en unidades monetarias deben ser deflactados para eliminar el efecto de precios u homogeneización de valor.
A efectos ilustrativos, incluimos la Tabla 4 con la estructura y fuente de variables resultante para GOP (en 2010, se compone con datos de observaciones semestrales de 1996 a 2009 en euros constantes).

2. Etapa de implementación de métodos estadísticos-econométricos. A partir de la base de datos generada, se procede al cálculo de cada una de las relaciones (β) entre las componentes del capital intelectual (humano, procesos, cliente, imagen e I+D) y el valor extra contable, obtenido como diferencia entre el precio de mercado y el valor patrimonial (neto) en los estados contables. El método aplica la aleatoriedad al sistema, que permite 'filtrar' o extraer tanto efectos de mercado (especulación, crisis o burbujas estructurales) como los errores inherentes al procedimiento (intangibles no explícitos y errores de estimación).
En primer lugar, a partir de la base de datos, se determinan los intangibles agregando los indicadores absolutos (generalmente como suma o media aritmética) y los de eficiencia (media aritmética o ponderada) de cada componente, de acuerdo a la estructura de la Tabla 3, y se aplica el esquema multiplicativo, de acuerdo a la Ecuación 2. Este es un método avanzando propuesto sobre los desarrollos teóricos plasmados por Edvinsson y Malone (1999), ya que estos no culminaron la agregación de indicadores, ni la valoración de componentes.
Recogemos, a modo ilustrativo, la ecuación para determinar el intangible humano (IH), en la que son los indicadores absolutos la masa salarial y la inversión en formación; y la media ponderada de los índices de contratación temporal, motivación, remuneración, clima laboral, formación y promoción es el filtro o indicador de eficiencia.
IH= Masa salarial * [(í. temporal + í. motivación +
í. sistema rem. + í. acción social + í. clima) / 5] +
Inversión en formación * [í. formación * 0.5 +
í. promoción * 0.25 + í. motivación * 0.25]
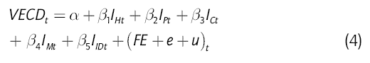
Para concluir, se estima la Ecuación 3, que se desarrolla con todos los componentes y se explicita como sigue (Ecuación 4):

Donde VECD es el valor extracontable deflactado; I son los componentes o intangibles (H: humano, P: procesos, C: cliente, M: imagen, e ID: innovación y desarrollo); FE son los factores especulativos; e, el error debido al modelo contable, y u es el error del modelo econométrico, que conforman ε.
Por último, los parámetros β miden la relación entre el valor extracontable y cada intangible, siendo a el origen de la recta de estimación o término independiente. Según dicho modelo la estimación del valor ex-tracontable es lo que constituye el capital intelectual.
3. Etapa de interpretación de resultados y estrategia. Los resultados alcanzados sirven para medir y valorar el capital intelectual; a partir del modelo se gestionan sus componentes o intangibles, alcanzando una herramienta de control que permite el diseño estratégico de la actividad, redireccionamiento de políticas, y retroali-mentación (feed-back).
Medición y valoración del capital intelectual. Una vez estimada la relación (Ecuación 4) entre intangibles y valor extracontable, se obtiene el valor de la diferencia entre precio de mercado y contable, pero filtrada de errores y factores especulativos: el capital intelectual. En la aplicación para GOP los valores estimados son ya en los últimos años similares, lo que muestra relaciones asentadas entre intangibles y valor real de la empresa.
Gestión de componentes o intangibles. Desde la determinación de los parámetros (β) que cuantifican la relación entre cada intangible (humano y estructural) y el valor extracontable para el periodo analizado, podremos medir fortalezas y debilidades, de forma dinámica, de acuerdo a la composición de los intangibles. Valores más altos indicarán mayor relación e importancia del intangible y viceversa.
Mejora estratégica de la actividad. Es el estudio de los informes conseguidos desde el inicio del proceso: sistemas de información y base de datos, cultura empresarial, resultados del modelo; análisis de su coherencia para trazar las distintas estrategias aplicadas por la organización; y decisión sobre su validez en la generación de beneficios futuros. Por ejemplo, en GOP se observan dos estrategias fundamentales: la que es común para toda su estructura basada en calidad y una novedosa desde 2005 de mejora de imagen externa.
Control y redireccionamiento estratégico. El control para la toma de decisiones se encuentra al alcance de esta herramienta, pudiendo determinar con precisión el cumplimiento de las estrategias implementadas desde la dirección.
La relación matemática estimada proporciona respuestas para ejercer control y tomar decisiones, actuando sobre diferentes escenarios estratégicos previstos por la organización, esto es, realizando evaluación de políticas o análisis de sensibilidad sobre el valor corporativo, y decidiendo sobre el más adecuado.
En resumen, un sistema de control que dé respuesta a escenarios del tipo: ¿cuánto variará el capital intelectual a través de un incremento del 3% en capital tecnológico en 2011?; pero además que explique cómo incrementar o conservar este intangible, esto es, qué indicadores han de mejorar y en qué cuantía.
Así, a través de esta herramienta, a GOP se le realiza una simulación a tres años con el crecimiento previsto para tres escenarios (optimista, pesimista y el centrado).
Estos datos sobre los intangibles y el valor real de la compañía los construye el modelo con solo 10 indicadores que la dirección tiene que pronosticar como escenario (ver Gráfica 1).

Feed-back de información. Finalizado el análisis para un periodo (anualidad), todos los datos generados deben retroalimentar los sistemas de información: a) contables, incorporando resultados en la memoria de las cuentas anuales; y b) internos para el siguiente periodo, introduciendo análisis dinámicos comparativos para los indicadores e intangibles, así como los diferentes grados de cumplimiento de las estrategias diseñadas y el reposicionamiento de los componentes o intangibles mal gestionados.
Por ello, la ventaja fundamental del modelo de control estratégico es su reiteración en el tiempo, que permite determinar la posición y evolución del capital intelectual, sin duda, una ventaja competitiva sobre la gestión de la competencia.
De esta forma, este método de gestión propicia la di-namización de los mapas estratégicos empresariales, que avanzan desde la visión recursiva de causa efecto a otra simultánea, donde la optimización del valor futuro de la organización es el objetivo. Así, el modelo permite la gestión dinámica, es decir, con la participación real del tiempo, y su redireccionamiento con el objetivo de optimizar el valor para todos los stakeholders; supera, de esta forma, los mapas estratégicos formulados a partir del Cuadro de Mando Integral de Kaplan y Norton (1997), ya que permite cuantificar las relaciones de forma que se optimice el capital intelectual y por ende el valor de la empresa. Además, permite comprobar si las estrategias establecidas son las correctas, con una evaluación de las mismas, lo que podríamos llamar una auditoría de la estrategia. Asimismo, ilustra la hoja de ruta que se debe seguir (planificación estratégica).
Finalmente, el modelo permite realizar simulaciones con el objetivo de facilitar la toma de decisiones, lo que determinará si las estrategias adoptadas eran las correctas y, lo que es más importante, permite introducir una apuesta o diseño estratégico por parte del empresario y que él mismo controle paso a paso los beneficios de la misma.
Conclusiones
El valor de los intangibles va más allá de la medición y valoración, pues posibilita la gestión estratégica y la estimación del valor real de las organizaciones, transformándose en uno de los objetivos estratégicos en el ámbito empresarial. Como solución a esta necesidad, surgen métodos valorativos y de gestión pero que adolecen de una perspectiva sistémica. En este trabajo, presentamos un sistema para la decisión soportado en un modelo de simulación que facilita la determinación de la estructura del capital intelectual para una compañía y explícitamente propone un prototipo aplicable a cualquier pyme, permitiendo conocer la relevancia de cada uno de los diferentes intangibles y posibilitando a partir de su estructura el establecimiento de diferentes estrategias y decisiones para la mejora del capital intelectual, con el fin de alcanzar el objetivo de maximizar el valor de mercado.
Para desarrollar este sistema estratégico hemos implementado una metodología propia soportada en el concepto de activo intangible y capital intelectual. En el proceso se han estudiado y clasificado los principales métodos asentados en la literatura académica y aplicada. Posteriormente, su aplicación se nutre de un modelo avanzado desde el análisis final de 327 pymes en la región de Castilla-La Mancha (España) que permite la elaboración de un prototipo para obtener la información y generar la base de datos necesaria. En dicho análisis se desarrolló una medición de intangibles regional para determinar las áreas de mayor producción y plantear nuevos modelos de gestión estratégica con errores inferiores al 10%. Por otra parte, fue implementado en un proyecto de investigación nacional sobre un plan de empresas del sector de la madera en España por Baños et al. (2005b), como método para el análisis estratégico, siendo herramienta fundamental para el planteamiento del plan de viabilidad de acciones para el sector. Finalmente, el método es ilustrado detalladamente con la aplicación dinámica para una empresa en el sector servicios de forma continua durante más de una década.
Este modelo de control estratégico responde a la principal cuestión planteada por los gestores y directivos: ¿crecemos bien? La respuesta para la empresa analizada fue positiva hasta 2008, sustentada en este análisis y sus herramientas modeladoras que se ajustan a su estructura. A partir de 2009 el modelo ofrecía simulaciones a tres años vista con fuertes caídas en el valor empresarial, supeditadas a la pérdida de eficiencias en sus políticas de recursos humanos, innovación y clientela, ofreciendo a los gestores tiempo para poder reaccionar con cambios en sus estrategias.
El método propuesto genera indicadores para la medición de intangibles y desarrolla un modelo matemático completo para valorarlos. El soporte econométrico provee una herramienta modeladora que facilita el análisis estratégico dinámico de cualquier organización, permitiendo plantear diferentes escenarios con poca necesidad de información. Como resultados más eficientes ofrece la orientación sobre su comportamiento futuro en valor real, y expresa la estructura de dicho capital para poder así plantear estrategias de equilibrio.
Referencias bibliográficas
Abili, M., & Abili, K. (2011). Social capital management in Iranian knowledge-based SMEs. 3rd European Conference on Intellectual Capital ECIC, Nicosia, 17-23.
Akdere, M., & Roberts, P. B. (2008). Economics of social capital: implications for organizational performance. Advances in Developing Human Resources, 10(6), 802-816.
Álvarez, J. (2000). Medición y valoración del capital intelectual. Técnica Contable, 618, 433-441.
Andriessen, D. (2004). IC valuation and measurement: classifying the state of the art. Journal of Intellectual Capital, 5(29), 230-242.
Arbetsgruppen konrad den òsynliga balansrakningen (1998). Stockholm. Recogido en ELEKTRONISK VERSION VED NET BUREAUET: Intellectual capital accounts. Udgivet af EFS i maj, 1998. http://www.efs.dk/publikationer/rapporter/engvidenregn/kap04001.html. Revisado en abril de 1998.
Banco Bankinter (2000). Informe anual correspondiente al ejercicio 2000. Banco Bankinter.
Banco BBVA (1998). Informe anual correspondiente al ejercicio 1998. Banco BBVA.
Banco Popular (2000). Informe anual correspondiente al ejercicio 1999. Banco Popular.
Banco Santander (2000). Informe anual correspondiente al ejercicio 2000. Banco Santander.
Baños, J., López, V. R., Nevado, D., & Sanz, Ma. M. (2005a). Estrategias de desarrollo local para los municipios de Castilla La Mancha. Ala-bacete: Popular Libros.
Baños, J., López, V. R., Nevado, D., Sanz, Ma. M., & Selva, C. (2005b). Plan estratégico del sector del mueble y la madera de Castilla La Mancha. Albacete: Popular Libros.
Bontis, N., Dragonetti, N. C., Jacobsen, K., & Roos, G. (1999). The knowledge toolbox: A review of the Tools available to measure and manage intangible resources. European Management Journal, 17(4), 391-402.
Bornemann, M., Knapp, A., Schneider, U., & Sixl, K. I. (1999). Holistic measurement of intellectual capital. Paper presented at the International Symposium on Measuring and Reporting Intellectual Capital: Experience, Issues and Prospects. Amsterdam: OCDE.
Brooking, A. (1997). El capital intelectual. El principal activo de las empresas del tercer milenio. Barcelona: Ediciones Paidós Ibérica, S.A.
Buigues, P., Jacquemin, A., & Marchipont, J. F. (2000). Competitiveness and the value of intangible assets. Cornwall: Edward Elgar Publishing Limited.
Caja Madrid (2000). Informe anual correspondiente al ejercicio 2000.
Cañibano, L., García-Ayuso, M., & Sánchez, M. P. (1999). La Relevancia de los Intangibles para la Valoración y la Gestión de Empresas: Revisión de la Literatura. Revista Española de Financiación y Contabilidad, 100, 17-88.
Cañibano, L., Sánchez, P., García-Ayuso, M., & Chaminade, C. (Eds) (2002). Directrices para la gestión y difusión de información sobre intangibles (Informe de capital intelectual). Madrid: Fundación Airtel Móvil.
Chenhall, R. H., Hall, M., & Smith, D. (2010). Social Capital and Management Control Systems: A Study of a Non- Government Organization. Accounting, Organizations and Society, 35, 737-756.
Dragonetti, N. C., & Roos G. (1998). Efficiency and Effectiveness in Government Programmes: an Intellectual Capital Perspective. 2nd World Congress on Intellectual Capita l; January 1998, McMasters University; Hamilton, Canada.
Edvinsson, L., & Malone, M. (1999). El capital intelectual. Cómo identificar y calcular el valor de los recursos intangibles de su empresa. Barcelona: Gestión 2000.
Flamholtz, E. (1974). Human resource accounting. California: Ed. Dickenson Publishing Co. & Universidad de California.
García, M. (2001). La información contable de los activos intangibles. Tesis Doctoral. Universidad San Pablo Ceu. Madrid.
Hermarson, R. H. (1963). A method for recording all assets and the resulting accounting and economic implications. Ph. D. dissertation. Michigan State University.
Hoogendoorn, M. (2000). A financial statement model based on shareholder value- a theoretical approach and the views of the IASC. Paper presented at the 23rd Annual Congress of the European Accounting Association, Munich, 29-31 March 2000.
Indra (2000). Informe anual correspondiente al ejercicio 1999. Indra.
Intelect (1998). Medición del capital intelectual: modelo Intelect. Madrid: Euroforum Escorial.
Kaplan, R. S., & Norton, D. P. (1997). Cuadro de mando integral. Barcelona: Gestión 2000 .
Lev, B. (2003). Intangibles: Medición, Gestión e Información. Bilbao, Ediciones Deusto.
López, V. R., & Nevado, D. (2006). Gestione y Controle el Valor Integral de su Empresa. Análisis Integral: modelos, informes financieros y capital intelectual para rediseñar la estrategia. Madrid: Díaz de Santos.
Lusch, R. F., & Harvey, M. G. (1994). The case for an off-balance-sheet controller. Sloan Management Review. Winter, 101-105.
Malhotra, Y. (2000). Knowledge assets in the global economy: Assessment of national intellectual capital. Journal of Global Information Management, 8(3), 5-15.
Marcinkowska, M. (2000). Internally generated goodwill: what can we do about it? What will we do about it? Paper presented at the 23rd European Accounting Association, Congress, Munich, 29-31 March 2000.
Martínez, J. C. (1998). El futuro de la gestión, la gestión del futuro. Dirección y Progreso, 160, 82-86.
Martínez, L. (2002). Gestión de conocimiento e intangibles: impacto en contabilidad y mercado de capitales. Pamplona: Eunsa.
Meritum (2002). Directrices para la Gestión y Difusión de Información sobre Intangibles (Informe de Capital Intelectual). Proyecto Meritum. Enero, 2002. Ed. Vodafone Fundación.
Nahapiet, J., & Goshal, S. (1998). Social Capital, Intellectual Capital, and the Organisational Advantage. Academy of Management Review, 23, 242-266.
Ndahiro, J., Schneider, W. M. B., & Rodi, J. (2000). Accounting for "investments" in knowledge capacity and intellectual capital: a proposal. Trabajo presentado en el 23rd Congress of the European Accounting Association, Munich, 29-31 March 2000.
Netherlands Ministry of Economic Affairs (1999). Intangible Assets, Balancing Accounts with Knowledge. (The Hague: Ministry of Economic Affairs). Disponible en: http://info.minez.nl/nieuwskiok/publicaties/publicatietonen.phtm?vosnr=25B19A.
Nevado, D., & López, V. R. (2002). El capital intelectual: valoración y medición. Madrid: Prentice Hall/Financial Times.
Nevado, D., & López, V. R. (2007). Medir los intangibles: claves para determinar el valor de la empresa. Estrategia Financiera, 236, 52-62.
Ordóñez de Pablos, P. (2001). Gestión del conocimiento y capital intelectual: evidencias empíricas en Europa. XI Congreso Nacional ACEDE. Zaragoza, 16-18 septiembre, 2001.
Ramírez, Y. (2010). El capital intelectual en las instituciones de educación superior. Propuesta de un Modelo de Informe de Capital Intelectual en las Universidades Públicas Españolas. Tesis Doctoral. Universidad de Castilla-La Mancha. Albacete.
Rodríguez, J. L. (2004). Propuesta de creación de un Modelo de Capital Intelectual para el sector hotelero español, mexicano, chileno y dominicano. Centro de Estudios de América Latina y el Banco Santander Central Hispano. Enero-diciembre.
Rojo, A., & Sierra, M. (2000). Los activos intangibles (capital intelectual) en Contabilidad Financiera. IV Premio Carlos Cubilo Valverde.
Roos, G., & Roos, J. (1997). Measuring your company's intellectual performance. Long Range Planning, 30(3), 413-426.
Roos, G., Roos, J., Dragonetti, N., & Edvinsson, L. (1997). Intellectual Capital; Navigating in the New Business Landscape. New York: New York University Press.
Sánchez, P., Chaminade, C., & Olea, M. (2000). Management of intangibles - an attempt to build a theory. Journal of Intellectual Capital, 1 (4), 312-27.
Sierra, G. J., & Moreno, I. (2000). La información contable sobe el capital humano: la opinión de analistas financieros. Comunicación presentada al IX Encuentro de Profesores Universitarios de Contabilidad. Las Palmas de Gran Canaria. Mayo, pp. 621-635.
Sierra, M. (2002). El capital intelectual en contabilidad financiera: naturaleza, reconocimiento y divulgación. Tesis Doctoral. Universidad de Almería.
Skandia (1995). Visualizing Intellectual Capital in Skandia. Suplement to 1994 Annual Report.
Skandia (1998). Human Capital in transformation. Intellectual Capital Prototype Report.
Stewart III, G. B. (1994). EVA: fact and fantasy. Journal of Applied Corporate Finance, 7, 71-84.
Stewart, T. A. (1997). Intellectual Capital; The New Wealth of Organizations. New York: Doubleday/Currency.
Sveiby, K. E. (1997). The New Organizational Wealth: Managing and Measuring Knowledge-Based Assets. San Francisco: Berrett-Koehler.
Tejedor, B., & Aguirre, A. (1998). Proyecto Logos: Investigación relativa a la Capacidad de Aprender de las Empresas Españolas. Boletín de Estudios Económicos, 53(164), 53-60.
The Danish Trade and Industry Development Council (1997). Intellectual Capital Accounts. Reporting and managing intellectual capital. The Danish Trade and Industry Development Council.
Tjanestefòrbundet tjanesteforetagens varden (1993). Rekommenda-tioner om styrtal i tjanestefõretag Stockholm. Tjanestefòrbundet.
Torres, T. (2000). El goodwill: una ficción precisa. Técnica Contable, 614, 135-146.
Ulrich, D. (1998). Intellectual capital = Competence x Commitment. Sloan Management Review, 39(2), 15-26.
Unión Fenosa (2000). Informe anual correspondiente al ejercicio 1999. Unión Fenosa.
Vickery, G. (2000). Accounting for Intangibles: Issues and Prospects. En P. Buigues, A. Jacquemin y J. F. Marchipont (Eds.). Competitiveness and the valueof Intangible Assets. Cornwall: Edward Elgar Publishing: 72-99.
Vilá, J. M. (1998). La gestión del capital intelectual. Dirección y Progreso, 160, 42-44.
Wallman, S. M. H. (1995). The future of accounting and disclosure in an evolving world: The need for dramatic change. Accounting Horizons, 9(3), 81-91.
Wallman, S. M. H. (1996). The Future of Accounting and Financial Reporting Part II: The Colorized Approach. Accounting Horizons, 10(2), 138-148.
Notas
Notas
Notas de autor
CORRESPONDENCIA: Universidad de Castilla-La Mancha. Facultad de Ciencias Económicas y Empresariales. Plaza de la Universidad, 1. 02071, Albacete. España.