Estrategia y Organizaciones
¿Pueden aplicarse las mismas políticas en las Comunidades Autónomas españolas? Análisis empírico a partir del patrón de crecimiento potencial en Comunidades Autónomas con estructuras productivas similares1
COULD THE SAME POLICIES BE APPLIED IN ALL THE SPANISH AUTONOMOUS COMMUNITIES? EMPIRICAL ANALYSIS FROM THE PATTERN OF POTENTIAL GROWTH IN REGIONS WITH SIMILAR PRODUCTION STRUCTURES
AS MESMAS POLÍTICAS PODEM SER APLICADAS EM TODAS AS COMUNIDADES AUTÔNOMAS ESPANHOLAS? ANÁLISE EMPÍRICA A PARTIR DO PADRÃO DE CRESCIMENTO POTENCIAL EM COM UNIDADES AUTÔNOMAS COM ESTRUTURAS PRODUTIVAS SIMILARES
PEUT-ON APPLIQUER LES MÊMES POLITIQUES DANS LES COMMUNAUTÉS AUTONOMES ESPAGNOLES? ANALYSE EMPIRIQUE À PARTIR DU MODÈLE DE CROISANCE POTENTIELLE DANS LES COMMUNAUTÉS AUTONOMES AYANT DES STRUCTURES PRODUCTIVES SIMILAIRES
¿Pueden aplicarse las mismas políticas en las Comunidades Autónomas españolas? Análisis empírico a partir del patrón de crecimiento potencial en Comunidades Autónomas con estructuras productivas similares1
Innovar, vol. 26, núm. 61, pp. 25-44, 2016
Facultad de Ciencias Económicas. Universidad Nacional de Colombia.
Recepción: Octubre 2012
Aprobación: Abril 2014
Resumen: En un contexto de crisis y globalización económica son muchos los países que sufren tensiones, con regiones que reclaman autonomía para aplicar sus propias políticas económicas. El artículo trata de arrojar algo de luz sobre dicho debate analizando el caso de España. En primer lugar, y a través de un análisis clúster, comprobamos si existen diferencias entre las estructuras económicas de unas comunidades y otras. En segundo lugar, analizamos el patrón de crecimiento en los últimos 50 años, del grupo de regiones más estables. Además, proyectaremos el posible comportamiento en un futuro a medio plazo, siempre que no se produzcan cambios importantes, salvo un proceso de catching-up tecnológico con las principales potencias económicas mundiales. Estos análisis nos ayudarán a comprender si las diferencias regionales están justificadas desde un punto de vista económico, o si es necesaria una política económica más homogénea.
Clasificación JEL: R11, O11, O40.
Palabras-clave: Crecimiento potencial, modelo de crecimiento, España, Comunidades Autónomas..
Abstract: In a context of crisis and economic globalization there are many countries experiencing tensions with other regions demanding autonomy to implement their own economic policies. This paper attempts to shed some light on such debate by analyzing the case of Spain. First, through a cluster analysis, we review whether there are differences in the economic structures among some communities. Secondly, we analyze the growth pattern for the more stable regions during the last 50 years. In addition, we will depict the possible behavior in a medium-term future as long as no major changes occur, except for a technology catching-up process with leading world economic powers. These considerations will contribute to understand if regional differences can be justified from an economic point of view, or if a more homogeneous economic policy is necessary.
Clasificación JEL: R11, O11, O40.
Keywords: Potential growth, growth model, Spain, Autonomous Communities..
Resumo: Num contexto de crise e globalização econômica, são muitos os países que sofrem tensões, com regiões que exigem autonomia para aplicar suas próprias políticas econômicas. O artigo tenta lançar um pouco de luz sobre esse debate analisando o caso da Espanha. Em primeiro lugar, por meio de uma análise cluster, verificamos se existem diferenças entre as estruturas econômicas de umas comunidades e outras. Em segundo lugar, analisamos o padrão de crescimento nos últimos 50 anos, do grupo de regiões mais estáveis. Além disso, projetaremos o possível comportamento num futuro em médio prazo, contanto que não se produzam mudanças importantes, exceto num processo de catching-up tecnológico com as principais potências econômicas mundiais. Essas análises nos ajudarão a compreender se as diferenças regionais estão justificadas a partir de um ponto de vista econômico, ou se é necessária uma política econômica mais homogênea.
Clasificación JEL: R11, O11, O40.
Palavras-chave: Crescimento potencial, modelo de crescimento, Espanha, Comunidades Autônomas..
Résumé: Dans un contexte de crise et de mondialisation économique, nombreux sont les pays en proie à des tensions car les régions exigent i'autonomie pour mettre en ceuvre leurs propres politiques économiques. Cet article tente de jeter des lumières sur le débat, tout en analysant le cas de I'Espagne. En premier lieu, et au moyen d'une analyse de cluster, nous vérifions s'il y a des differences entre les structures économiques de certaines communautés et d'autres. Deuxièmement, nous analysons le modèle de croissance, au cours des cinquante dernières années, pour le groupe des régions les plus stables. En outre, nous allons montrer le comportement possible, à moyen terme dans l'avenir, pourvu qu'aucun changement majeur n'ait lieu, à l'exception d'un processus de rattrapage technologique vis-à-vis des grandes puissances économiques mondiales. Ces analyses nous aideront à comprendre si les différences régionales sont justifiées du point de vue économique, ou si une politique économique plus homogène est nécessaire.
Clasificación JEL: R11, O11, O40.
Mots-Clé: Croissance potentielle, modèle de croissance, Espagne, communautés autonomes..
Introducción y análisis de la literatura
La preocupación por alcanzar el máximo nivel de bienestar y mejorar la competitividad y el crecimiento de la economía ha sido objeto de muchos trabajos, que se mueven tanto en el terreno político como en el científico, si bien estos últimos se han centrado sobre todo en el ámbito nacional o internacional, no siendo tan abundantes los estudios referidos a áreas geográficas más reducidas. El hecho de que los países tiendan a organizarse en regiones o Comunidades Autónomas, como es el caso de España, nos lleva a preguntarnos si existen diferencias en sus niveles de bienestar, y si estos se han ido reduciendo con el tiempo, si no en términos absolutos (sigma-convergencia), sí al menos en términos relativos (beta-convergencia)2.
El logro de un cierto nivel de bienestar está vinculado a la consecución de las mayores tasas de crecimiento posible, sostenibles además en el tiempo, por lo que más que el propio crecimiento que pueda alcanzarse en periodos concretos, la variable significativa a nuestros efectos resulta ser la tendencia de la tasa de crecimiento potencial.
En este sentido, el producto potencial de una zona geográfica puede analizarse desde diversas perspectivas tal y como se recoge en Banco Central Europeo -BCE- (2000): en primer lugar, desde un punto de vista estadístico, según el cual este puede interpretarse como el componente tendencial o suave de la serie del producto real, sin analizar las divergencias existentes entre uno u otro; en segundo lugar, desde una perspectiva económica, en la que este concepto se asocia a la capacidad sostenible de la oferta agregada, que está determinada, a su vez, por la estructura productiva, el estado de la tecnología y los factores de producción disponibles. En general, el producto potencial mide la cuantía a medio largo plazo del producto real sostenible de la economía (BCE, 2011) y sería, por tanto, el nivel de producción que se alcanzaría utilizando los inputs disponibles sin crear presiones inflacionistas.
Sin embargo, la determinación del producto potencial está sometida a una gran incertidumbre, y es objeto de una continua revisión, dependiendo de factores tales como el sistema tributario, las leyes sobre la propiedad, la eficiencia de los sistemas jurídico y educativo, las regulaciones de los mercados de productos, el trabajo, el capital o la existencia de un marco monetario y económico estable, amén de otros por el lado de la oferta, como los recursos de la economía en relación con los principales factores de producción (capital, trabajo o energía), así como su productividad, cuyo conocimiento resulta insuficiente (BCE, 2008).
A pesar de las dificultades que existen para su medición, los investigadores económicos vienen utilizando diversas técnicas para tratar de evaluarlo. Estas técnicas pueden agruparse, como se recoge en el BCE (2000), en dos categorías generales: el método de la función de producción y los métodos estadísticos3.
El primero, utilizado en este trabajo, busca especificar la producción potencial a partir de sus factores determinantes, siendo necesario partir de la elaboración de una función de producción. En concreto, este método relaciona el producto potencial con el nivel tecnológico y los factores de producción, esencialmente el trabajo y el capital4.
En segundo lugar, los métodos estadísticos pueden englobarse, a su vez, en dos categorías: los univariantes y los multivariantes. Los primeros permiten la obtención de una estimación del producto potencial, ajustando una tendencia en la serie; entre ellos destacan la tendencia determinista, que se basa en el supuesto de que el componente tendencial de la producción es una función lineal del tiempo, de forma que la brecha de producción recoge la desviación del producto respecto a esta tendencia lineal, y el filtro Hodrick-Prescott, que, extrayendo un componente tendencial, intenta obtener un buen ajuste a la serie real del producto mediante la elaboración de estimaciones de la brecha de producción.
Finalmente, los métodos multivariantes, desarrollados más recientemente y más complejos que los anteriores, tratan de obtener una estimación del producto potencial utilizando la información contenida en más de una serie, y mediante el empleo de relaciones económicas conocidas. De entre ellos, destaca la técnica de modelización de componentes no observables, que se basa en una curva de Phillips que define un componente cíclico común para el producto y la inflación.
Por tanto, aunque son muy variados los métodos que pueden utilizarse para la estimación de la producción potencial, cada uno de ellos presenta, como es lógico, sus ventajas e inconvenientes5. Así, por ejemplo, el método de la función de producción, utilizado en este artículo, es el método empleado por los principales organismos internacionales, que bajo hipótesis factibles sobre la evolución futura de variables demográficas (del mercado de trabajo) y tecnológicas permite construir escenarios alternativos sobre la trayectoria más probable de la tasa de crecimiento del producto potencial; además permite, al basar la estimación en el comportamiento de la economía, identificar y cuantificar los hechos económicos que explican la evolución del producto potencial, así como los factores responsables del cambio en el crecimiento del mismo, pudiendo realizarse recomendaciones de política económica que permitan mejorar el crecimiento. Aunque el método de estimación es sensible a factores cíclicos, su volatilidad, como se pone de manifiesto en Cotis et al. (2003), es relativamente baja. Sin embargo, tiene como principales inconvenientes, las dificultades para la especificación de la función de producción, la aceptación de los rendimientos constantes a escala, así como la estimación de algunos datos, tales como los relativos al stock de capital, o las tendencias en variables claves como la productividad total de los factores o la oferta de trabajo.
Por su parte, los métodos univariantes, como es el caso del filtro Hodrick-Prescott, presentan la ventaja de su fácil utilización, pero pueden llevar a cometer errores en la identificación de ciclos en series que carecen de ellos, en la determinación de algunos parámetros y en la elección de series concretas, al no tener en cuenta la información contenida en otras, etc. Finalmente, los modelos multivariantes son más complejos que los univariantes, aunque presentan una mayor facilidad de uso que el método de la función de producción, si bien su utilización puede dar resultados distintos en función de los supuestos técnicos que se incorporen. Ello es debido, como se recoge en BCE (2000, 2005) a que su aplicación está sometida a diversos tipos de incertidumbre.
En concreto, podríamos hablar, en primer lugar, de una incertidumbre vinculada a los modelos empleados, en el sentido de que las proyecciones efectuadas por distintos economistas pueden partir de modelos distintos aplicados a una misma realidad, no existiendo acuerdo respecto al que resulta más adecuado; en segundo, de una incertidumbre respecto a los parámetros, pues el valor de los mismos tampoco es perfectamente conocido, debiendo estimarse por técnicas econométricas, lo que agrava el problema, especialmente cuando estos parámetros no tienen un valor fijo a lo largo del tiempo, sino que sufren cambios significativos derivados de modificaciones estructurales en la economía a la que representan; finalmente, una incertidumbre respecto a los datos, que se constata porque el valor exacto de las últimas observaciones de muchas series económicas no se conoce de forma inmediata, sino con un cierto retraso, tanto mayor cuanta mayor fiabilidad se quiera alcanzar con los datos utilizados, lo cual hará que las estimaciones efectuadas a partir de los mismos precisen de revisión a lo largo del tiempo a medida que vayan ganando en confianza, si bien, cuanto más largas sean las series utilizadas mayor fiabilidad tendrán los datos que de ellas se obtengan.
Para conseguir los objetivos planteados, el artículo se ha dividido en cuatro partes. En la segunda, y tras esta introducción, se incluye la metodología utilizada en el trabajo, que descansa en la elaboración de un análisis de conglomerados para determinar las regiones españolas que en un intervalo de tiempo han seguido un comportamiento próximo en un conjunto de variables previamente seleccionadas, y a partir de esa elección, se incluye un modelo que elabora la tendencia de los factores determinantes del crecimiento potencial de esas regiones, con unos escenarios de probabilidad, para los factores demográficos, del mercado laboral y tecnológicos. En la tercera sección se analizan los resultados obtenidos, dejando para la cuarta las principales conclusiones que se derivan del trabajo efectuado y ofreciendo algunas recomendaciones de política económica con el objetivo de contribuir a un crecimiento sostenido a largo plazo, al tiempo que se plantea la posibilidad de aplicar políticas homogéneas que impulsen el crecimiento en todas las regiones de forma simultánea.
Aspectos metodológicos
Hechos estilizados
El comportamiento dispar de las Comunidades Autónomas (CCAA) españolas queda patente cuando analizamos la evolución del nivel de bienestar en cada una de ellas, medido este por el PIB per cápita. Su evolución, a lo largo de los últimos años, se recoge en el Gráfico 1. De él se deduce, por un lado, el diferente comportamiento relativo que en términos de PIB per cápita han experimentado a raíz de la crisis y, por otro, la existencia de dos grupos de Comunidades claramente diferenciados.

Por un lado, tenemos un grupo (Aragón, Baleares, Cataluña, Madrid, Navarra, País Vasco y La Rioja) con un nivel de bienestar relativo superior a la media durante todo el periodo analizado. Asimismo, incluimos dentro de este grupo a Castilla y León, pues, pese a tener un nivel de bienestar inferior a la media a lo largo de todo el periodo, logra situarse por encima de 100 en el último año analizado.
Por otro lado, tenemos a aquellas CCAA que a lo largo de todo el periodo considerado presentan un nivel de bienestar relativo inferior a la media, y entre las que se observa, a diferencia del caso anterior, una cierta convergencia en sus niveles de bienestar. Así, la distancia inicial de casi 40 puntos porcentuales se reduce a apenas un 25% en el último año considerado. El motivo de este acercamiento no es otro que el buen comportamiento mostrado por Extremadura, que, pese a iniciar el periodo muy lejos del resto, logra acercarse mucho a Andalucía, Castilla-La Mancha y Murcia, al final del mismo6.
Con el fin de conseguir una evaluación más precisa del comportamiento del PIB per cápita durante el periodo analizado, desagregaremos este indicador en sus dos componentes, PIB real y población, con el fin de determinar con qué intensidad ha influido cada uno de estos factores en la tendencia seguida por el PIB per cápita regional.
En el Cuadro 1 recogemos las tasas de variación medias del PIB per cápita, del PIB real y de la población en tres periodos distintos, comenzando en 1996, momento en que se inició en España una política económica de descentralización, con la aplicación de políticas propias por parte de las CCAA para su desarrollo regional. De su contenido podemos destacar que el crecimiento de la producción por habitante se ha sustentado en el dinamismo de la actividad económica más que en un bajo crecimiento de la población. La excepción la encontramos en Asturias, Castilla y León, Extremadura, Galicia, Navarra y País Vasco, que han experimentado crecimientos muy bajos, o incluso negativos, en su población, de manera que los factores demográficos han tenido una influencia positiva en la mejora de la posición de estas regiones.

No obstante, y a pesar de que esta es la tendencia que se observa al analizar todo el periodo 1996-2010 en su conjunto, dentro del mismo podemos considerar tres subperiodos: en el primero, el gran crecimiento en el nivel de bienestar se sustenta en el fuerte crecimiento de PIB y en las bajas tasas de crecimiento de la población, que en algunas Comunidades llegan a ser negativas (Asturias, Castilla y León, País Vasco, Galicia, La Rioja y Extremadura); en el segundo, que abarcaria el primer lustro del siglo XXI, el crecimiento del PIB per cápita se desacelera considerablemente, llegando a alcanzar tasas negativas en Baleares, cuya caída no se debe al menor crecimiento de la producción, que sigue siendo bastante elevado (superior al 2% en todas las Comunidades), sino a un mayor crecimiento demográfico apoyado fundamentalmente en la inmigración (Banco de España, 2010; Alcaide Inchausti, 2007; BBVA, 2010; Cabré, Domingo y Menacho, 2002). Por último, en el tercer subperiodo, se observa una pérdida de bienestar en la mayoría de las Comunidades, debido a que el crecimiento medio anual del PIB no ha sido suficiente para compensar el crecimiento demográfico.
Para determinar las regiones españolas que presentan rasgos comunes en sus estructuras productivas, y analizar las diferencias en sus patrones de crecimiento, vamos a descomponer su valor añadido bruto por sectores (Cuadro 2).

Lo primero que destaca de su contenido es que las Comunidades Autónomas españolas presentan diferencias considerables en sus estructuras productivas. Así, en Castilla-La Mancha, Extremadura, Castilla y León y La Rioja, el peso del sector primario resulta relevante, con una contribución, en términos de Valor Añadido Bruto (VAB), superior al 8,5% en todas ellas. Por su parte, la aportación del sector industrial resulta elevada en Aragón, Cataluña, Navarra, País Vasco y La Rioja, especialmente en las tres últimas, en las que este sector representa más del 20% de la producción total.
Por otro lado, cabe destacar el peso del sector servicios, cuya aportación al VAB en 2010 varía entre el 58,61% de Navarra y el 84,62% de Canarias. Con carácter general podemos observar, en primer lugar, y pese a la crisis, un incremento en la contribución de este sector a la producción en todas las regiones, al tiempo que se reduce la del sector construcción, si bien lo hace de forma más suave en La Rioja y Aragón, y en segundo lugar, una caída importante y generalizada del peso del sector industrial.
Análisis clúster y determinación de las Comunidades a estudiar
Para seleccionar las regiones en las que centraremos nuestro estudio, realizaremos un análisis de conglomerados7 tomando como variables el nivel de PIB per cápita, la tasa de paro y la contribución de cada uno de los sectores económicos al empleo asalariado, lo que nos lleva a resultados estables no alcanzados con otras combinaciones de variables.
En el análisis realizado, cuyos resultados se muestran en el Cuadro 3, hemos elegido como medida de las distancias entre las variables la distancia euclídea al cuadrado, eliminando así los problemas de los signos negativos que puedan surgir. Además, para corregir la sensibilidad a la unidad en la que se expresan las variables, se han estandarizado los datos. Como criterio elegido para formar los conglomerados, hemos recurrido a los métodos jerárquicos, y más en concreto al de Ward, cuyo objetivo es maximizar la homogeneidad dentro de cada conglomerado.

Una vez seleccionadas las variables, y a la vista de los resultados, elegimos las Comunidades que se integran en el grupo 2, por permanecer especialmente estable a lo largo del tiempo, y estar formado por Comunidades ubicadas en una misma zona geográfica (Cuenca del Ebro), lo que hace más interesante estudiar si los factores determinantes de su crecimiento han sido o no los mismos. Además, dentro del grupo 2, nos quedamos con los resultados del año 2008 por ser el último en el que nos encontramos con la misma agrupación predominante a lo largo de todo el periodo analizado, pues en el año 2009, fruto de la crisis, se observa una gran inestabilidad.
Características básicas del modelo empleado
Para la construcción de la tasa de crecimiento del PIB potencial de las Comunidades que van a ser objeto de estudio, descomponemos, en primer término, el PIB per cápita de acuerdo con la siguiente identidad en cada periodo de tiempo (t):

Donde el PIB per cápita se expresa como el producto de:
La productividad de la mano de obra por hora trabajada (PIB/H)
El promedio de horas trabajadas por persona ocupada (H/Ld), siendo Ld el número de personas empleadas
La tasa de empleo (Ld/Ls), siendo Ls la oferta de mano de obra
La tasa de actividad (Ls/L15-64), siendo L15'64 la población en edad de trabajar
La estructura demográfica (L15-64/L), siendo L la población total.
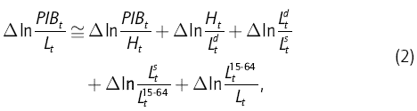
Tomando la primera diferencia del logaritmo de la expresión (1), se aproxima la identidad en función de tasa de crecimiento:

en donde la tasa de crecimiento del PIB per cápita se expresa como la suma de la tasa de crecimiento de la productividad, las horas promedio trabajadas, la tasa de empleo, la tasa de actividad y la población en edad de trabajar por habitante.
Por tanto, la evolución temporal del PIB per cápita viene determinada por la evolución de los componentes que figuran en la expresión (2), de entre los cuales únicamente la productividad presenta una tasa de crecimiento positiva a largo plazo, pues a largo plazo, el crecimiento de las horas promedio trabajadas, la tasa de empleo, la tasa de actividad y la estructura de la población están acotadas por sus respectivos límites (Doménech et al, 2008).
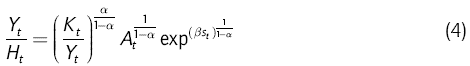
Este hecho nos obliga a profundizar en los factores determinantes de la productividad por hora trabajada, para lo que suponemos, en primer lugar, que la producción agregada de la economía está representada por una función de producción de tipo Cobb-Douglas con rendimientos constantes a escala sobre capital y trabajo en cada periodo de tiempo (t):

Donde Y es el PIB, A es la productividad total de los factores (PTF), que recoge el conjunto de factores que determinan el progreso técnico, entre los que destaca el capital tecnológico, la calidad del capital humano, el sistema de regulación, el entorno macroeconómico, la composición sectorial de la economía y el tamaño de las empresas... en definitiva, todo lo que, influyendo en el crecimiento económico, no se ha considerado en las variables capital físico, capital humano o trabajo (Doménech, 2008); Kes el stock de capital físico productivo total, h es el número de horas promedio trabajadas por ocupado, Ld es el número de ocupados y s es el capital humano por trabajador, medido, en línea con Doménech et al. (2008), por los años promedio de escolarización8. Bajo el supuesto de que los mercados de productos y de factores operan en competencia perfecta, el parámetro a, que mide la elasticidad del producto respecto al factor capital, es la proporción del valor añadido correspondiente a las rentas del capital. Igualmente (1 - α), proporción del valor añadido correspondiente a las rentas del trabajo, mide la elasticidad del producto con respecto al factor trabajo. Finalmente, el parámetro β, elasticidad del producto con respecto al capital humano, mide el efecto sobre la renta del nivel de formación.
Esta ecuación (3) permite obtener la senda temporal de la PTF como componente residual, una vez que se disponga de series temporales de producción, stock de capital, horas totales trabajadas y capital humano, y se formulen supuestos factibles sobre los parámetros α y β de la función de producción.
Rescribiendo la ecuación (3) en función de la relación capital-output (K/Y), se obtiene la productividad por hora trabajada:

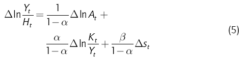
Finalmente, tomando logaritmos a la expresión (4) y primeras diferencias, la tasa de crecimiento de la productividad se expresa como:

Donde la tasa de crecimiento de la productividad por hora trabajada depende de la evolución del progreso tecnológico, del crecimiento de la ratio capital-output, y de la evolución de los años de escolarización.
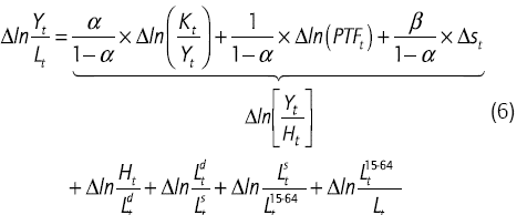
Sustituyendo la ecuación (5) en la (2), se obtiene la descomposición de la tasa de crecimiento del PIB per cápita:

Que, debidamente transformada, nos permite obtener el crecimiento de la producción como:

Donde la tasa de empleo se escribe como (1 - ut), siendo ut la tasa de paro.
La tasa de crecimiento del producto potencial se estima introduciendo como inputs en la ecuación (7) la tasa de desempleo estructural (NAIRU), el componente tendencial del progreso tecnológico y los componentes tendenciales de las horas promedio trabajadas, la tasa de participación, la población en edad de trabajar, la ratio capital-output y el capital humano.
Determinación de escenarios para las proyecciones de crecimiento
Tan importante como conocer cuál ha sido hasta ahora la senda de crecimiento potencial y los factores que la han motivado es saber cuál será su comportamiento futuro. Para lograr una aproximación lo más adecuada posible, es necesario plantear diferentes escenarios sobre el comportamiento de los factores que aparecen en la función de producción, lo que nos permitirá construir un abanico de proyecciones alternativas para el crecimiento potencial, aumentando las probabilidades de que este se sitúe dentro del intervalo establecido.
En concreto, para cada una de las variables contempladas en nuestra función de producción, plantearemos tres escenarios diferentes: un escenario base o central, considerado como el más probable; un escenario inferior, que determinaría, dentro de la posible evolución del PIB potencial, el nivel de crecimiento más bajo; y un escenario o cota superior, que permitiría la obtención de los mejores resultados posibles.
Por otro lado, y para evitar la influencia de factores exógenos que pudieran incidir en la evolución de las variables, vamos a suponer que, a lo largo del periodo de proyección, no se producen modificaciones importantes en las políticas estructurales adoptadas por el Gobierno que pudieran generar cambios en el comportamiento tendencial de la economía, y únicamente supondremos un proceso de convergencia en términos de progreso tecnológico con Estados Unidos.
Escenarios demográficos
Dentro de los factores determinantes del PIB potencial, vamos a comenzar estimando la evolución de las variables demográficas, población total y población en edad de trabajar, planteando para cada una de ellas los diferentes escenarios descritos.
POBLACIÓN TOTAL
Para la construcción del escenario base de cada una de las Comunidades se han utilizado las tasas de crecimiento que se deducen de las proyecciones a corto plazo que elabora todos los años el INE para la población. En concreto, se ha calculado la tasa de crecimiento prevista para la población total entre 2011 y 2012, y se ha aplicado dicha tasa a las poblaciones efectivas del año 2011, procediendo de igual forma para el resto de años.
Una vez construido el escenario base, y dado que el INE no nos ofrece escenarios alternativos de población, hemos construido los escenarios de Cataluña, acudiendo al Instituto de Estadísticas de Cataluña (Idescat). En concreto, hemos utilizado los escenarios bajo y alto, cuyas desviaciones frente al escenario central hemos aplicado al escenario base que hemos obtenido a partir del que nos ofrece el INE para Cataluña. De esta manera hemos construido la cota inferior, calculando el escenario superior como simétrico al inferior respecto al escenario base. Procediendo de la misma manera, pues el INE dejó de publicar los escenarios alternativos en el año 2009, hemos obtenido los del resto de Comunidades.
Construidos los escenarios de población total, que recogen un posible margen de error y se convierten en intervalo de confianza, debemos destacar, por un lado, y como se observa en el Cuadro 4, que en Cataluña, País Vasco y La Rioja el crecimiento será negativo durante los próximos años, sea cual sea el escenario considerado. En cambio, en Aragón y Navarra la trayectoria es positiva aunque decreciente, existiendo a su vez diferencias en el comportamiento de ambas Comunidades, y mientras en Aragón se observan tasas positivas en el escenario superior, negativas en el inferior, y prácticamente nulas en el escenario base, en Navarra las tasas de crecimiento son positivas en el escenario central y superior, no así en el escenario inferior donde se observa un estancamiento de la población.

Las proyecciones resultantes determinan los abanicos demográficos entre los escenarios extremos en 2020, concluyéndose que son La Rioja y Navarra, con menor volumen de población, las que dan márgenes más reducidos, en torno a las 11.000 personas en el primer caso y 23.000 en el segundo.
POBLACIÓN EN EDAD DE TRABAJAR
Para el cálculo de la población potencialmente activa se ha llevado a cabo un análisis similar que el realizado para la población total, estimando los datos a corto plazo a partir de la información suministrada por el INE para la construcción del escenario central, y obteniendo los datos extremos a partir de los escenarios ofrecidos por el Idescat.
Podemos destacar que la población en edad de trabajar mantendrá, siempre que se cumplan las proyecciones, una tasa de crecimiento negativa durante todo el periodo analizado. Esta caída, superior a la registrada en el caso de la población total (Cuadros 4 y 5), muestra un progresivo envejecimiento de la población, que puede ser debido, entre otros factores, a un cambio en la tendencia de los flujos migratorios, no solo por la menor entrada de inmigrantes, sino también por la salida de los jóvenes españoles, que dada la mala situación del mercado de trabajo nacional buscan en el exterior el empleo que se les niega en su propio país. Las proyecciones resultantes determinan los abanicos demográficos entre los escenarios extremos en 2020 (Cuadro 5).

Por otro lado, la proporción de la población en edad de trabajar frente a la población total se situará, en el año 2020, y para el escenario central, entre el 61,23% de Aragón, y el 63,07% de Navarra, observándose, en todas las regiones, una progresiva reducción de dicho cociente a lo largo del periodo de proyección. Este hecho nos obliga a pensar en una mayor dependencia futura de la población en todas las Comunidades.
Escenarios del mercado de trabajo
A continuación, es necesario estimar la evolución de las variables relacionadas con el mercado de trabajo, concretamente la tasa de actividad, la tasa de empleo y el promedio de horas trabajadas.
POBLACIÓN ACTIVA
Para proyectar los escenarios correspondientes a la población activa, utilizamos las estimaciones de la tasa de actividad que, para el periodo 2009-2021, se recogen en Ortega (2008). A partir de dichas estimaciones, que determinan nuestro escenario base, se construyen las cotas superior e inferior, incrementando y disminuyendo, respectivamente, la tasa de actividad del escenario base en 2020 en un 1%, de forma similar a como se realiza en otros trabajos (BBVA, 2008; Calvo et al, 2011; Correa y Mingorance, 2012)9.
Combinando los escenarios de la tasa de actividad con las estimaciones de la población en edad de trabajar, construimos los escenarios de población activa. En concreto, hemos multiplicado la tasa de actividad por la población en edad de trabajar de cada año, para calcular las cotas superior e inferior, obteniendo el escenario central como media aritmética de ambos extremos.
En términos generales se observa un descenso en las cifras de la población activa en los próximos años que contrasta con el crecimiento experimentado hasta la actualidad y que es el resultado del envejecimiento de la población y de la caída de los flujos migratorios, así como del desánimo que las altas tasas de paro están generando en la población, la obsolescencia de la mano de obra, que dificultará su empleabilidad en un futuro, y las prejubilaciones que se están produciendo desde que se inició la crisis.
Las proyecciones resultantes para el año 2020 se recogen en el Cuadro 6, siendo los márgenes respecto al escenario central aproximadamente de 3,96% para dicho año, oscilando este intervalo de confianza entre el 3,89% de Cataluña y el 4,06% de La Rioja.

En todos los casos, la tasa de crecimiento medio anual será negativa, debido a la caída experimentada por la población en edad de trabajar que no se ve compensada con el tímido incremento de la tasa de actividad. Solo en el caso de Navarra, y en el mejor escenario, se observa un crecimiento medio anual del 0,34%.
POBLACIÓN OCUPADA
Para llevar a cabo las proyecciones de la población ocupada, hemos acudido, en primer lugar, a las previsiones de la tasa de paro ofrecidas por la Fundación de Cajas de Ahorros españolas (FUNCAS) y, en segundo lugar, hemos aceptado que dichas previsiones se cumplen para el año 2012. Para los años siguientes, se ha considerado que en el año 2030 la tasa de paro en cada región vuelve a alcanzar un nivel similar al del periodo previo al inicio de la crisis. Las cotas superior e inferior se han construido a partir del escenario central, incrementando y disminuyendo la tasa de paro de 2030 en un 2% respectivamente, e interpolando los valores medios10.
Para obtener la tasa de paro de equilibrio (NAIRU), hemos aplicado el filtro de Hodrick-Prescott (HP) a la serie así calculada, obteniendo nuevamente tres escenarios.
A partir de las tasas de paro así proyectadas, tanto efectiva como de equilibrio, podemos calcular las respectivas tasas de empleo que, combinadas con las estimaciones de la población activa en cada una de las Comunidades, nos permiten obtener los escenarios correspondientes a la población ocupada.
Las proyecciones resultantes determinan los abanicos entre los escenarios extremos en 2020 (Cuadro 7), siendo los márgenes respecto al escenario central en dicho año aproximadamente de ±5,07%, para la población ocupada efectiva, y de ±3,92%, en el caso de la población ocupada de equilibrio. Llaman la atención los casos del País Vasco y La Rioja, con una banda de fluctuación de cerca del 2,87%, más de un punto por debajo de la media.

HORAS TOTALES TRABAJADAS
En cuanto al promedio de horas totales trabajadas, suponemos que la jornada laboral media permanece constante para todo el periodo en las cifras correspondientes al año 2011, de modo que es posible definir tres escenarios para el número total de horas trabajadas en cada una de las Comunidades analizadas11.
Resto de variables
Dentro de este apartado incluimos los escenarios correspondientes al capital humano, al capital físico y a la productividad total de los factores.
CAPITAL HUMANO
El capital humano (expresado como s) se ha aproximado, en línea con Doménech et al. (2008), por los años medios de escolarización (según el sistema educativo que establece la Ley General de Educación12) que hemos obtenido del Instituto Valenciano de Investigaciones Económicas (IVIE), quien ofrece datos de población ocupada por sectores y nivel de formación. Así, hemos ponderado los años medios de formación de la población ocupada en cada sector por el peso del sector en el empleo total, obteniendo una serie única de capital humano para cada Comunidad.
Para proyectar el escenario central hemos empleado, siguiendo a Doménech, Estrada y González-Calbet (2008), la regresión lineal de la serie de capital humano que hemos construido de acuerdo con la ecuación 8http://scielo\serial\inno\v26n61\body\v26n61a03.html (http://scielo\serial\inno\v26n61\body\v26n61a03.html):

Calculando el cociente de los parámetros β1 y β2 en cada una de nuestras Comunidades, obtenemos el valor a partir del cual los nuevos incrementos de st son nulos.
El valor de los parámetros, el periodo empleado para calcular la regresión, el nivel de educación del estado estacionario y los años medios de formación en el año 2020 aparecen recogidos en el Cuadro 8. De él se concluye que la población de las cinco regiones analizadas presentará un nivel educativo elevado, cercano en todos los casos a los años equivalentes a los de los estudios universitarios de primer ciclo, lo que sin duda tendrá efectos beneficiosos en la productividad de la mano de obra.

Una vez construido el escenario central, hemos procedido a sumar 0,75 años de formación al escenario base en el año 2030, interpolando los valores medios para calcular la cota superior, siendo la cota inferior simétrica respecto a la senda central.
CAPITAL FÍSICO
Para la proyección de la relación capital-output seguimos a Doménech et al. (2008), quien considera que su valor de estado estacionario viene dado por la siguiente ecuación:

Donde Ihp representa la tasa de inversión en capital físico productivo total (en particular la inversión productiva media del periodo 2005-2009); n, la tasa de crecimiento del factor trabajo (2% en el estado estacionario); g, la tasa de crecimiento a largo plazo, resultado de la combinación de la PTF y el capital humano (estimada en el 1°%), y δ, la tasa de depreciación del capital, que estimamos a través del método de inventario permanente, que toma como punto de partida la ecuación 10http://C:\scielo\serial\inno\v26n61\body\v26n61a03.html (http://C:\scielo\serial\inno\v26n61\body\v26n61a03.html)13:

Donde K representa el stock de capital productivo; l, la inversión, y δ, la tasa de depreciación del capital. A partir de las series de stock de capital productivo y de inversión productiva, tomadas de la Fundación BBVA, se puede obtener la tasa de depreciación del capital de cada Comunidad. Incorporamos el supuesto de que, a partir del año 2008 (último para el que se dispone de datos observados), la tasa de depreciación del capital productivo se mantiene constante en las cinco regiones. Por su parte, el escenario inferior se ha calculado como el promedio, entre 2006 y 2009, de la relación entre el stock de capital productivo y el PIB, siendo la cota superior simétrica respecto al escenario central.
El valor de la tasa de depreciación, junto con la ratio capital-output de los tres escenarios en 2020, aparecen recogidos en el Cuadro 9. Se deduce, en primer lugar, que Aragón es, con bastante diferencia, la región que presentará una mayor ratio capital-output en 2020, sea cual sea el escenario considerado. Además, en 2020 los escenarios extremos tendrán una amplitud media de ±11,47% con respecto al escenario base. No obstante, se aprecian diferencias notables de unas regiones a otras. Mientras Navarra presenta una amplitud de ±18,19%, en el País Vasco las diferencias son menores, situándose en una banda de fluctuación de ±2,69%.

PRODUCTIVIDAD TOTAL DE LOS FACTORES
Como se mencionó anteriormente, la PTF recoge todo lo que, influyendo en el crecimiento potencial, no está incluido en ninguna de las variables analizadas.
La serie de progreso tecnológico se obtiene como componente residual de la función de producción, adoptando para su proyección hasta 2020 el mecanismo de corrección de error descrito en De la Fuente y Doménech (2006b) y Doménech et al. (2008). En concreto, la tasa de crecimiento de la PTF en cada una de las Comunidades se regresa sobre su propio retardo y la brecha tecnológica con respecto a Estados Unidos para el periodo 1964-2010, lo que supone una cierta difusión internacional del conocimiento14.
En el Gráfico 2 podemos observar, fruto de la convergencia del progreso tecnológico con la economía norteamericana, un crecimiento paulatino de esta variable, especialmente en los años de proyección. En cuanto al periodo inmediatamente anterior, de 1990 a 2010, cabe destacar especialmente el caso de Navarra que, a diferencia de lo ocurrido en el resto, presenta una tasa de crecimiento media anual negativa, debido sobre todo a las tasas registradas durante la década de los noventa. También es destacable el caso de La Rioja que, partiendo de unas tasas de crecimiento de la PTF cercanas al 6%, presenta tasas de crecimiento negativas durante diez años seguidos, desde 1998 hasta 2008 que, sin embargo, no compensan el fuerte crecimiento inicial.

Estimación de los parámetros del modelo
Junto a la serie temporal de los valores potenciales de las variables, es necesario, para proyectar el PIB potencial, estimar los valores de los parámetros incluidos en la función de producción de cada Comunidad.
Bajo el supuesto de que los mercados de productos y factores funcionan en competencia perfecta, aproximaremos los valores de las elasticidades de la producción respecto al trabajo (1 - α) y al capital físico (α) mediante la participación de la remuneración del factor trabajo en el valor añadido de la economía. En nuestro caso, hemos estimado el parámetro (1 - α) a partir de las series ofrecidas por la BdMores, oscilando su valor entre el 0,6016 de La Rioja y el 0,6549 de Aragón. Restando a la unidad el valor de este parámetro, obtenemos la elasticidad de la producción respecto al capital físico (α). Los valores concretos de ambos parámetros para nuestras Comunidades se recogen en el Cuadro 10.

Por su parte, para la determinación de la elasticidad del producto respecto al capital humano (β), se ha acudido a los valores ofrecidos por De la Fuente y Doménech (2006a), quienes cuantifican el efecto del nivel de formación, medido por los años medios de escolarización, en la renta de cada una de las regiones españolas. Estos autores muestran, para cada Comunidad, dos valores diferentes: un valor máximo y otro mínimo -calculado sin incorporar dichas correcciones-, ambos recogidos en el Cuadro 10. El valor elegido para nuestra investigación es el que coincide con el p máximo ofrecido por De la Fuente y Doménech (2006a).
Análisis de resultados
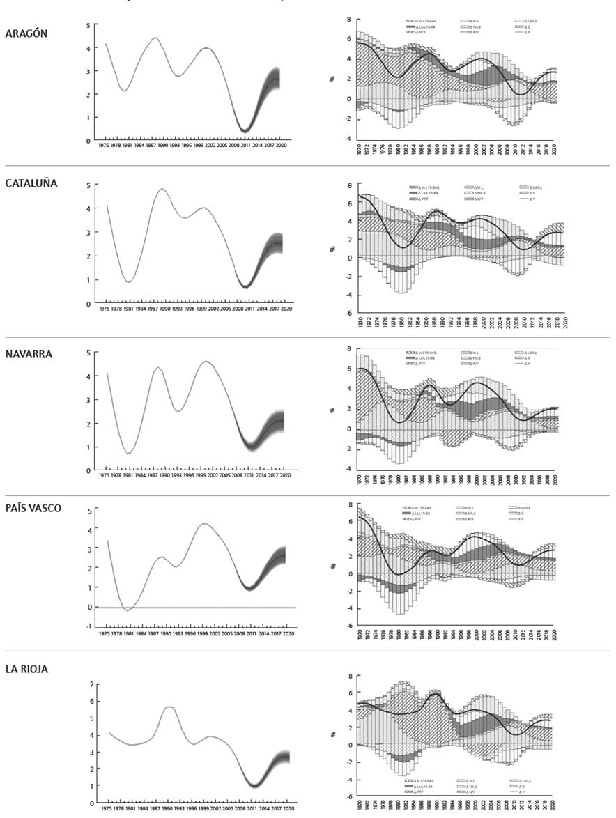
La obtención del producto potencial requiere introducir en la ecuación (7) los valores tendenciales de las distintas variables. Las estimaciones realizadas nos permiten proyectar la senda central de la tasa de crecimiento del PIB potencial, así como las diferentes alternativas que se corresponden con la mejor y peor senda demográfica, proyecciones que se mejoran y empeoran con los escenarios alternativos de la tasa de actividad, la tasa de desempleo, los años medios de escolarización y el stock de capital productivo en relación al PIB. De este modo se acota el comportamiento futuro del producto potencial entre un límite superior, que se correspondería con la combinación de los mejores escenarios posibles en todas y cada una de las variables, y un límite inferior resultado de combinar las previsiones más negativas.
Resultados individuales de las Comunidades Autónomas
En el Cuadro 11 se recogen, por un lado, sombreadas en distintas tonalidades, más clara a medida que nos alejamos del escenario base, las alternativas del crecimiento potencial, y por otro, las contribuciones de los distintos factores al mismo.

En el caso de Aragón, el crecimiento potencial se situará, en 2020, en aproximadamente un 2,64%, siendo la cota inferior y superior de 2,17% y 3,09%, respectivamente. Desde 2001, la tasa de crecimiento potencial ha experimentado una fuerte caída, registrándose en la actualidad las menores tasas de crecimiento de todo el periodo analizado. Por otro lado, cabe señalar, junto al comportamiento cíclico del crecimiento potencial, los cambios que se producen en el patrón de crecimiento a lo largo de los 50 años considerados, hecho que se reproduce en todas las Comunidades. En lo que a la PTF se refiere, indicar que su elevada importancia se va diluyendo hasta desaparecer en el año 2002, cuando la contribución se torna ligeramente negativa durante no más de seis años. Del mismo modo debe destacarse el comportamiento de la tasa de empleo, que acompaña cíclicamente al PIB potencial. En relación al resto de factores, hay que señalar el comportamiento estable y positivo del capital humano y, salvo en momentos puntuales, de la ratio capital-output, así como la contribución negativa de la jornada laboral media, hechos que se producen en todas las regiones. También destaca la aportación positiva y creciente de la tasa de actividad entre 1983 y 2000.
En relación a Cataluña, cabe señalar, en primer lugar, la existencia de un crecimiento potencial en 2020 en torno al 2,49%, siendo los valores extremos del 2,06% y el 2,92%; en segundo lugar, se observa, a partir de finales de los ochenta, un comportamiento cíclico más suave que en el caso de Aragón, lo que permite afirmar que la crisis actual no es la mayor que se ha vivido en Cataluña, pues la crisis de los setenta afectó con mayor virulencia. Por otro lado, cabe señalar el papel jugado por las variables demográficas, especialmente por la población, con contribuciones positivas hasta 1985 y durante el periodo 1995-2010, así como el desarrollado por la ratio capital-output, e incluso por el progreso tecnológico, especialmente en las dos primeras décadas.
También en Navarra la crisis del petróleo es la que presenta una mayor incidencia. Además, y en relación con la crisis actual, hay que destacar que la tasa de crecimiento del PIB potencial no llegará a situarse por debajo del P/o en ningún momento, y que la lenta recuperación hará que en 2020 se sitúe solo ligeramente por encima del 2% en el escenario central (2,10%), mientras alcanzará el 1,61% y el 2,59% en los casos extremos. En cuanto a los factores determinantes, la ratio capital-output, con aceleraciones en su crecimiento en los periodos de expansión y desaceleraciones en los de recesión, presenta un papel destacado. Mientras, la PTF muestra un comportamiento cíclico que no presentaban las otras Comunidades. Destaca también el papel de las variables demográficas y la contribución positiva de la tasa de actividad en la década de los noventa y del 2000.
Del País Vasco llama la atención el hecho, socialmente insostenible a largo plazo, de que entre 1979 y 1981 el PIB potencial registre tasas de crecimiento negativas, lo que se explica por el fuerte impacto de la crisis del petróleo en una región con un sesgo importante de la industria pesada en su actividad productiva, siendo el comportamiento de la tasa de empleo y la pérdida de relevancia del progreso tecnológico las variables que justifican el crecimiento negativo del PIB potencial. Por otro lado, y tras la crisis actual, es de esperar una intensa recuperación, de modo que la tasa de crecimiento del PIB potencial alcanzará en 2020, y en el mejor de los casos, un 3,05%, siendo la tasa de crecimiento del escenario base y la cota inferior del 2,61% y 2,16% respectivamente. En relación con los factores determinantes del crecimiento destaca el comportamiento estable de la PTF, pese a su contribución ligeramente negativa durante la primera mitad de los noventa, hecho que ya observamos en el caso de Cataluña, y la contribución siempre positiva, pese a la desaceleración de la segunda mitad de la década de los noventa, de la ratio capital-output.
Finalmente, y en el caso de La Rioja, podemos decir que la tasa de crecimiento del PIB potencial se situará en 2020, entre el 2,36% y el 3,06%, siendo la del escenario base del 2,71%. La Rioja se convierte así en la Comunidad que presentará un mayor crecimiento potencial a lo largo de la presente década y también la que mostrará una menor incertidumbre sobre el comportamiento futuro del mismo. La senda descrita difiere de la de otras regiones, llamando especialmente la atención su gran estabilidad durante la mayor parte del periodo estudiado. Sin embargo, y en cuanto a los factores que lo impulsan, cabe destacar la inestabilidad de las diferentes variables; mientras en la década de los setenta, la ratio capital-output fue la principal responsable de las elevadas tasas de crecimiento registradas, a partir de 1980 y durante los 15 años siguientes es el progreso tecnológico el que cobra una mayor importancia. El fuerte crecimiento de la productividad de la mano de obra, determinado por estas dos variables, permite contrarrestar los efectos negativos de la tasa de empleo durante la crisis del petróleo. A partir de 1995 las variables demográficas y del mercado de trabajo relegan a la productividad de la mano de obra a un segundo puesto, y ello pese al impulso de la ratio capital-output y de los años de escolarización. En cuanto al periodo de proyección, cabe decir que el crecimiento potencial se apoyará en el progreso tecnológico y la tasa de empleo.
Resultados comparados
En el Gráfico 3 se muestra la evolución del PIB potencial de las cinco regiones analizadas en el escenario base. De él se destaca que las principales diferencias se observan entre 1975 y 1995, iniciándose a partir de entonces un proceso de convergencia que tenderá a mantenerse, especialmente en el caso de Aragón, Cataluña, País Vasco y La Rioja, y no tanto en la Comunidad de Navarra, donde se prevé un crecimiento potencial ligeramente inferior al del resto de las regiones.

No obstante, para tratar de comprender mejor esas diferencias y a qué pueden ser debidas, descompondremos la tasa de crecimiento del producto potencial en los factores determinantes del mismo. En el Cuadro 12 recogemos dicha descomposición para el periodo 1975-1995, de donde se deduce, en primer lugar, que el crecimiento medio varía entre el 1,55% anual del País Vasco, y el 4,17% de La Rioja. No obstante, todas las Comunidades presentan ciertos rasgos comunes. Así, durante este periodo, el crecimiento potencial se sustenta sobre todo en la productividad de la mano de obra. Si bien, mientras en Aragón y La Rioja el progreso tecnológico es la variable fundamental, en Cataluña la PTF y el stock de capital juegan un papel similar, siendo esta última variable la esencial en el caso de Navarra y País Vasco. Por otro lado, las horas trabajadas y la tasa de empleo presentan en todas las Comunidades una contribución negativa, debiendo destacarse ciertas diferencias en la intensidad de su impacto. Mientras en el País Vasco las horas trabajadas restan casi el 50% del crecimiento potencial del periodo, en La Rioja apenas supera el 15%. Algo similar ocurre con la tasa de empleo, siendo el País Vasco la que presenta una contribución negativa más intensa.

Por otro lado, mientras en La Rioja, Cataluña y Aragón la intensidad de ambos factores es similar, en Navarra es mayor la de las horas medias trabajadas, siendo más intensa la contribución de la tasa de empleo en el País Vasco. Finalmente, cabe destacar las diferencias en las contribuciones de la tasa de actividad y los factores demográficos, cuyas intensidades varían entre el 10,86% de Aragón, y el -1,35% de La Rioja en el caso de la tasa de actividad, y el casi 58% del País Vasco y el 9,22% de Aragón en el caso de las dos variables demográficas consideradas conjuntamente.
Por su parte, en el Cuadro 13, observamos la convergencia en las tasas de crecimiento que se inicia a mediados de la década de los noventa, con valores que varían entre el 2,40% de Aragón y el 2,69% de Navarra. Durante el periodo 1996-2020, y pese a que la productividad de la mano de obra sigue siendo la variable esencial, esta pierde relevancia como factor explicativo del crecimiento en favor de las variables demográficas y del mercado de trabajo, especialmente de la tasa de empleo, que pasa a tener una contribución positiva, y de la tasa de actividad, que junto con la ratio capital-output pasa a ser el factor con más relevancia en la mayor parte de las Comunidades. Asimismo, cabe destacar el crecimiento de la población y la pérdida de peso de la PTF salvo en el País Vasco.

Conclusiones
El estudio llevado a cabo nos permite concluir, en primer lugar, que en los últimos cincuenta años se ha producido en las Comunidades elegidas un proceso de convergencia, mostrando, desde finales de los noventa, momento en que las estructuras productivas se asemejan y nuestras Comunidades aparecen en el mismo clúster, una evolución similar en sus tasas de crecimiento potencial. Por otro lado, y aunque los factores en los que descansa este crecimiento son en ocasiones distintos, sí se observa en todas ellas una mayor importancia de las variables vinculadas con la productividad del trabajo.
En segundo lugar, cabe señalar que el empleo y la PTF se deberán convertir en variables esenciales del crecimiento si se pretende recuperar una senda razonable del mismo. En este sentido, se hace imprescindible que las reformas del mercado laboral, en línea con las últimas reformas adoptadas15, mejoren la flexibilidad y la eficiencia, favoreciendo la movilidad, tanto geográfica como funcional, de los trabajadores, reduciendo los costes de contratación y despido, así como las altas tasas de temporalidad o promoviendo una adecuada formación de los trabajadores, acorde a las necesidades reales del mercado laboral. Los efectos de dicha desregulación pueden verse en Storm (2007), Blanchard y Giavazzi (2003), Bassanini, Nunziata y Venn (2008), Nicoletti y Scarpetta (2003), Djankov, Mc Liesh y Ramalh (2006), Sebastián, Serrano, Roca y Osés (2007), y Eicher, Ochel, Röhn y Rohwer (2009).
En tercer lugar, el impacto residual del capital humano nos lleva a pensar en la existencia de una sobrecualificación de la mano de obra, debido en parte a que la actividad productiva de las Comunidades analizadas se apoya en sectores de bajo contenido tecnológico. En este sentido, se hace necesario adecuar el sistema educativo a las necesidades reales del mercado laboral, ya sea favoreciendo la colaboración entre empresas y universidades, o fomentando los estudios de grado medio, lo que ayudará a evitar la sobrecualificación, y a que los trabajadores más preparados tengan que emigrar en busca de un empleo acorde con su formación16.
En cuarto y último lugar, y dadas las similitudes observadas en el patrón de crecimiento de las Comunidades analizadas, se puede afirmar que, al menos en estas, será posible llevar a cabo políticas económicas comunes. No obstante, como hemos tenido ocasión de comprobar, existen algunas diferencias que hacen que la intensidad con la que se apliquen dichas políticas pueda diferir de unas regiones a otras. Es decir, que si se desea seguir avanzando en el proceso de convergencia iniciado a mediados de la década de los noventa y, en general, si se desea favorecer el mayor crecimiento posible en cada una de las Comunidades Autónomas, es necesario acompañar las políticas comunes a nivel nacional de una serie de medidas específicas para cada región, que respeten y tengan en cuenta su propio modelo de crecimiento.
Referencias bibliográficas
Alcaide Inchausti, J. (2007). Evolución de la población española en el siglo XX, por provincias y Comunidades Autónomas. Ed. Fundación BBVA, Madrid.
Banco Central Europeo (2000). Crecimiento del producto potencial y brechas de producción: concepto, utilización y estimación. Boletín Mensual, octubre, 37-47.
Banco Central Europeo (2005). La fiabilidad o no fiabilidad de las estimaciones sincrónicas de la brecha de producción. Boletín Mensual del BCE, febrero, 45-47.
Banco Central Europeo (2008). Evolución del producto potencial a la vista de los cambios acaecidos en los precios del petróleo y en las primas de riesgo de crédito. Boletín Mensual, diciembre, 77-79.
Banco Central Europeo (2011). Tendencias del producto potencial. Boletín Mensual, enero, 79-91.
Banco de España (2010). Evolución reciente de la población en España y proyecciones a corto y largo plazo. Boletín Económico del Banco de España, febrero de 2010, 46-54.
Bassanini, A., Nunziata, L., & Venn, D. (2008). Job protection legislation and productivity growth in OECD countries. Working Paper IZA, n°3555.
BBVA (2008). Crecimiento del PIB potencial en España 2008-2015. Situación España nov. 2008. Bilbao: Servicio de Estudios económicos BBVA.
BBVA (2010). La población en España: 1900-2009. Cuadernos de la Fundación BBVA, serie población 51. Madrid: BBVA.
Blanchard, O., & Giavazzi, F. (2003). Macroeconomic effects of regulation and deregulation in goods and labor markets. The Quarterly Journal of Economics, 118(3), 879-907.
Borondo, C. (2008). La innovación en la literatura reciente del crecimiento endógeno. Revista Principios, 12, 11-42.
Cabré, A., Domingo, A., & Menacho, T. (2002). Demografia y crecimiento de la población española durante el siglo XX. En M. Pimentel Siles (coord.). Procesos Migratorios, economía y personas (121-138). Almería: Cajamar.
Calvo, A., Mingorance, A. C., Barruso, B., & Calderón, C. (2011). La necesaria recuperación del "catching-up" tecnológico en el modelo de crecimiento económico andaluz. Revista de Estudios Regionales, 91, 17-44.
Cereijo, E., Turrión, J., & Velázquez, F. J. (2007). Indicadores de convergencia real para las regiones españolas. Madrid: Ed. Fundación de las Cajas de Ahorro (FUNCAS).
Cerra, V., & Saxena, S. C. (2000). Alternative methods of estimating potential output and the output gap: an application to Sweden. Working paper of IMF n°00/59, Fondo Monetario Internacional.
Changy, O., & Döpke, J. (2001). Measures of the output gap in the eurozone: an empirical assessment of selected methods. Working paper of Kiel Institute, n°1053.
Claus, I. (2000). Estimating potencial output for New Zealand, a structural VAR approach. Discussion Paper of New Zealand Central Bank, n°2000/03, Banco Central de Nueva Zelanda.
Cohen, D., & Soto, M. (2007). Growth and human capital: good data, good results. Journal of Economic Growth, 12(1), 51-76.
Conway, P., & Hunt, B. (1997). Estimating potential output: a semistructural approach. Discussion Paper of New Zealand Central Bank, n°1997/09, Central de Nueva Zelanda.
Corrales, F., Doménech, R., & Varela, J. (2002). Los saldos presupuestarios cíclico y estructural de la economía española. Hacienda Pública Española, 162(3), 9-33.
Correa, M., & Mingorance, A. C. (2012). Demografia, Mercado de Trabajo y Tecnología: el Patrón de Crecimiento de Cataluña, 1970-2020. Estudios de Economía Aplicada, 30(1), 365-399.
Cotis, J. P., Elmeskoy, J., & Mourougane, A. (2003). Estimates of potential output: benefits and pitfalls from a policy perspective. Documento de la OCDE del 21 de enero de 2003, OCDE.
Cuadrado, J. R. (2003). Divergencia versus convergencia de las disparidades regionales en España. Revista Latinoamericana de Estudios Urbanos Regionales (EURE), 29(72), 5-31.
De la Fuente, A. (1998). Algunas técnicas para el análisis de la convergencia con una aplicación a las regiones españolas. Documento de trabajo del Instituto de Análisis Económico del CSIC n° 98007, Barcelona.
De la Fuente, A. (2005). La educación en las regiones españolas: algunas cifras preocupantes. Documento de trabajo de la Dirección General de Presupuestos del Ministerio de Hacienda n° 2005-05, Ministerio de Hacienda.
De la Fuente, A., & Doménech, R. (2001a). Schooling data, technological diffusion and the neoclassical model. American Economic Review, 91 (2), 323-327.
De la Fuente, A., & Doménech, R. (2001b). Educational attainment in the OECD, 1960-90. CEPR Discusión Paper, n°.3390.
De la Fuente, A., & Doménech, R. (2006a). Capital humano, crecimiento y desigualdad en las regiones españolas. Moneda y Crédito, 222, 13-78.
De la Fuente, A., & Doménech, R. (2006b). Human capital in growth regressions: how much difference does data quality make? Journal of the European Economic Association, 4(1), 1-36.
De la Fuente, A., & Doménech, R. (2008). Human capital, growth and inequality in the Spanish regions. En U. Stierle, M. F.Stierle, F. Jennings & A. Kuah, (ed.), Regional Economic Policy in Europe. Challenges for Theory, Empirics and Normative Interventions (15-44). Cheltenham: Ed. Edward Elgar.
De la Fuente, A., Doménech, R., & Jimeno, J. F. (2005). Capital humano, crecimiento y empleo en las regiones españolas. Documento de Economía de la Fundación Caixa Galicia.
Denia, A., Gallego, A. Mª., & Mauleón, I. (1996). Una estimación econométrica del Stock de capital de la economía española. Documento de Trabajo del Instituto Valenciano de Investigaciones Económicas WP-EC 96-02, Valencia.
Denis, C., Grenouilleau, D., Mc Morrow, K., & Röger, W. (2006). Calculating potential growth rates and output gaps - A revised production function approach. European Economy, Economic paper n° 247, Comisión Europea.
Djankov, S., Mc Liesh, C., & Ramalh, R. (2006). Regulation and Growth. Economics Letters, 92(3), 395-401.
Dolado, J. J., González-Páramo, J. M., Roldán, J. Mª., Novales, A., & Doménech, R. (1994). Convergencia económica entre las provincias españolas: evidencia empírica (1955-1989). Moneda y Crédito, 198, 81-131.
Doménech, R. (2008). La evolución de la productividad en España y el capital humano. Documento de trabajo n° 141/2008, Laboratorio de Alternativas.
Doménech, R., Estrada, A., & González-Calbet, L. (2008). El potencial de crecimiento de la economía española. En J. Velarde y J. M. Serrano (coord.). La economía, Vol. III de la Colección España Siglo XXI. Madrid: Ed. Biblioteca Nueva.
Doménech, R., & Gómez, V. (2003). Estimating potencial output, core inflation and NAIRU as latent variables. Documento de trabajo de la Dirección General de Presupuestos del Ministerio de Hacienda n° 2003-06, Ministerio de Hacienda.
Eicher, T., Ochel, W., Röhn , O., & Rohwer, A. (2009). Institutions and Growth in OECD Countries. CESifo DICE Report, 7(2), 24-29.
Escot, L., & Galindo, M. A. (2000). Evidencia empírica de la convergencia real. Papeles de Trabajo del Instituto de Estudios Fiscales n° 3, Madrid.
Estrada, A., Hernández de Cos, P., & Jareño, J. (2004). Una estimación del crecimiento potencial de la economía española. Madrid: Banco de España.
Estrada, A., Pons, A., & Vallés, J. (2006). La productividad de la economía española: una perspectiva internacional. Información Comercial Española, 829 (marzo-abril), 7-25.
Fundación Crecimiento y Desarrollo (2009). Informe Crecimiento y Desarrollo 2008, Ed. Fundación Crecimiento y Desarrollo, Barcelona.
Goerlich, F. J. (1998). Desigualdad, diversidad y convergencia: algunos instrumentos de medida. Valencia: Edita IVIE.
Goerlich, F. J., & Mas, M. (2002). Concentración, convergencia y desigualdad regional en España. Documento de trabajo del IVIE (series económicas), n°98-09.
Hanushek, E. A., & Woessmann, L. (2007). The role of education quality for economic growth. Working paper de la serie Policy Research of World Bank, 4122, Banco Mundial.
Hanushek, E. A., & Woessmann, L. (2009). Do Better Schools Lead to More Growth? Cognitive Skills, Economic Outcomes, and Causation. Working paper of NBER, n° 14633, NBER.
Hernández de Cos, P., Izquierdo, M., & Urtasun, A. (2011). Una estimación del crecimiento potencial de la economía española. Madrid: Banco de España .
Konuki, T. (2008). Estimating potential output and the output gap in Slovakia. Working paper of IMF, n° 08/275, Fondo Monetario Internacional.
Konuki, T. (2010). Estimating potential output and the output gap in Slovakia. Eastern European Economics, 48(2), 39-55.
Mas, M., Maudos, J., Pérez García, F., & Uriel, E. (1994). Disparidades regionales y convergencia en las CCAA. Revista de Economía Aplicada, 4(2), 129-148.
Mauleón, I., & Hernández, J. A. (2000). Una nota sobre la estimación de una tasa de depreciación variable. III Encuentro de Economía Aplicada, Valencia (1-3 de junio).
Mc Morrow, K., & Röger, W. (2001). Potential output: measurement methods, "new" economy influences and scenarios for 2001-2010. A comparison of the UE-15 and the US. ECFIN Economic Papers n° 150, Comisión Europea.
Mc Morrow, K., & Röger, W. (2007). La estimación y los usos del concepto de tasa de crecimiento potencial: Perspectiva general de la metodología de la función de producción que utiliza la Comisión Europea. Papeles de Economía Española, III, 80-98.
Miller, S. (2003). Métodos alternativos para la estimación del PBI potencial: Una aplicación para el caso de Perú. Banco Central de Reserva del Perú, Estudios Económicos, 10, 63-101.
Mingorance, A. C. (2009). Convergencia económica en España y coordinación de políticas económicas: un estudio basado en la estructura productiva de las CCAA. Madrid: Funcas.
Ministerio de Educación, Cultura y Deporte (2014). Datos básicos del sistema universitario español: curso 2013-2014, Ed. Ministerio de Educación Cultura y Deporte, Madrid.
Mishkin, F. S. (2007). Estimating Potential Output. Conference on Price Measurement for Monetary Policy, Federal Reserve Bank of Dallas, Texas.
Nicoletti G., & Scarpetta, S. (2003). Regulation, productivity and growth: OECD evidence. Economic Policy, 18(1), 9-72.
Núñez, S., & Pérez, M. (2002). Estimación de los stocks de capital productivo y residencial para España y la UE. Boletín Económico del Banco de España, octubre, 65-72.
Ortega, L. (2008). Una proyección de tasas de actividad por Comunidades Autónomas 2006-2021. Documento de trabajo del Instituto Nacional de Estadística 3/08.
Raymond, J. L. (2002). Convergencia real de las regiones españolas y capital humano. Papeles de Economía Española, 93, 109-121.
Raymond, J. L., & García Greciano, B. (1994). Las disparidades en el PIB per cápita entre comunidades autónomas y la hipótesis de convergencia. Papeles de Economía Española, 59, 37-59.
Raymond, J. L., & García Greciano, B. (1995). La convergencia de las províncias españolas. Papeles de Economía Española, 64, 38-53.
Röger, W. (2006). The production function approach to calculating potential growth and output gaps estimates for member states and the US. DG-ECFIN abril 2006. Comisión Europea.
Sebastián, C., Serrano, G., Roca, J., & Osés, J. (2007). Instituciones y Economía: Cómo las instituciones condicionan el funcionamiento de la economía española. Madrid: Ed. Fundación Ramón Areces.
Shahin, H. (2008). Estimating Potential Output and Output Gap for Egypt using Several Approaches. Working paper of IMF n° 08/275, Fondo Monetario Internacional.
Storm, S. (2007). Why labour market regulation may pay off: Worker motivation, coordination and productivity growth. Economic and Labour Market Paper, 2007/04, International Labour Organization.
Villaverde, J. (2007). Crecimiento y convergencia regional en España. (Algunas) Causas del cambio. Papeles de Economía Española, III, 240-254.
Notas
Notas
Notas
Notas
Notas
Notas
Notas
Notas
Notas
Notas
Notas
Notas
Notas
Notas
Notas
Notas
Notas
Notas de autor
*Correspondencia: Antonio Calvo-Bernardino. Universidad CEU San Pablo. C/ Julián Romea, n° 23. Madrid 28003, España.