Innovaciones en Tecnología
La actitud del vendedor ante las innovaciones tecnológicas y su influencia en su desempeño en las ventas1
VENDOR'S ATTITUDE TOWARD TECHNOLOGICAL INNOVATIONS AND ITS INFLUENCE ON SALES PERFORMANCE
A ATITUDE DO VENDEDOR ANTE AS INOVAÇÕES TECNOLÓGICAS E SUA INFLUÊNCIA NO DESEMPENHO NAS VENDAS
L'ATTITUDE DU VENDEUR VIS-A-VIS DES INNOVATIONS TECHNOLOGIQUES ET SON INFLUENCE SUR SA PERFORMANCE COMMERCIALE
La actitud del vendedor ante las innovaciones tecnológicas y su influencia en su desempeño en las ventas1
Innovar, vol. 27, núm. 66, pp. 29-39, 2017
Facultad de Ciencias Económicas. Universidad Nacional de Colombia.
Recepción: Mayo 2015
Aprobación: Octubre 2016
RESUMEN: El objetivo de este trabajo es determinar cómo la actitud que tienen los vendedores ante la tecnología puede representar un factor decisivo en la implementación de los procesos de automatización de la fuerza de ventas (AFV). Se parte del modelo de aceptación tecnológica (TAM, por su sigla en inglés), que asume que la actitud viene determinada por la utilidad percibida y por la facilidad de uso de esta, e introducimos como novedad en el modelo su relación con el desempeño. Se contrasta el modelo conceptual en una muestra de vendedores colombianos a través de un modelo de ecuaciones estructurales. Los resultados establecen que la percepción de la facilidad de uso de la tecnología influye positivamente en su utilidad percibida, al igual que la percepción de facilidad de uso influye positivamente en la actitud hacia su uso. Sin embargo, la utilidad percibida de la tecnología no muestra una relación directa frente a la actitud hacia su uso, y de igual forma no existe relación directa entre la actitud hacia el uso y el desempeño en ventas.
PALABRAS CLAVE: actitud, automatización de fuerza de ventas, desempeño, modelo de aceptación tecnológica, percepción.
ABSTRACT: The aim of this work is to determine how vendors' attitude toward technology could be a critical factor in the implementation of the process of sales force automation (SFA). It is assumed from the Technology Acceptance Model (TAM) that attitude is determined by perceived utility and the easiness for its usage. We introduce as a novel feature to the model the relationship of such construct with performance. The conceptual model is contrasted through structural equations in a sample of Colombian sellers. Results establish that the perception of easiness in the use of technology positively influences both its perceived utility and the attitude toward its usage. However, the perceived utility of technology does not show a direct relation to the attitude toward its use, and likewise there is no direct relationship between the attitude toward use and sales performance.
KEYWORDS: Attitude, sales force automation, performance, Technology Acceptance Model, perception.
RESUMO: O objetivo deste trabalho é determinar como a atitude que os vendedores têm ante a tecnologia pode representar um fator decisivo na implantação dos processos de automatização da força de vendas (AFV). Parte-se do Modelo de Aceitação Tecnológica (TAM, por sua sigla em inglês), que assume que a atitude vem determinada pela utilidade percebida e pela facilidade de uso desta, e introduzimos como novidade no modelo sua relação com o desempenho. Contrasta-se o modelo conceitual numa amostra de vendedores colombianos por meio de um modelo de equações estruturais. Os resultados estabelecem que a percepção da facilidade de uso da tecnologia influencia positivamente em sua utilidade percebida, assim como a percepção de facilidade de uso influencia positivamente na atitude quanto a seu uso. Contudo, a utilidade percebida da tecnologia não mostra uma relação direta ante a atitude quanto ao uso, bem como não existe relação direta entre a atitude quanto ao uso e o desempenho em vendas.
PALAVRAS-CHAVE: atitude, automatização de força de vendas, desempenho, modelo de aceitação tecnológica, percepção.
RÉSUMÉ: Le but de cette étude est de déterminer comment l'attitude des vendeurs envers la technologie peut être un facteur décisif dans la mise en œuvre des processus d'automatisation de la force de vente (AFV). On part du modèle d'acceptation de la technologie (TAM, pour son sigle en anglais), qui suppose que l'attitude est déterminée par l'utilité perçue et la facilité d'utilisation de la technologie, et on introduit comme nouveauté dans le modèle son rapport avec la performance. On contraste le modèle conceptuel sur un échantillon de vendeurs colombiens à travers un modèle d'équations structurelles. Les résultats établissent que la perception de la facilité d'utilisation de la technologie influe positivement sur l'utilité perçue, et aussi que la perception de la facilité d'utilisation influe positivement l'attitude envers son utilisation. Cependant, l'utilité perçue de la technologie ne montre pas de rapport direct avec l'attitude envers l'usage, et pareillement il n'y a pas de rapport direct entre l'attitude envers l'utilisation et la performance des ventes.
MOTS-CLE: attitude, automatisation de la force de vente, performance, modèle d'acceptation de la technologie, perception.
Introducción
La innovación tecnológica se ha estado utilizando desde hace años en los departamentos de marketing como una herramienta importante para la gestión (Li y Rogers, 2001), gracias a las múltiples posibilidades que proporciona el uso de tecnologías como Internet (Hogeboom, McDermontt, Perrin, Osman y Bell-Ellison, 2010), especialmente en cuanto al volumen y velocidad de circulación de la información (Oh y Yoon, 2014). A través del tiempo, la tecnología se ha ido aplicando a las diferentes áreas de marketing, entre las que se encuentran la gestión comercial y de fuerza de ventas.
En este ámbito, los avances tecnológicos se han utilizado sobre todo para las actividades de comercialización y administración del mercado (Blodgett, 1995; Morgan e Inks, 2001). Pero una de las limitaciones en el uso de estos instrumentos está relacionada con la capacidad de las personas para enfrentarse a la cantidad de información recibida, así como para dar respuestas eficaces a sus estímulos (Oh y Yoon, 2014). Es este sentido, se considera que las características del individuo pueden influir en la adopción de las tecnologías como herramienta de actuación para muchas empresas (Peral, Arenas y Ramón-Jerónimo, 2014).
A pesar de que las empresas realizan importantes inversiones en la automatización de su fuerza de ventas, se encuentran con grandes dificultades en su aplicabilidad; además, no siempre se traducen en un incremento de los niveles de desempeño y de productividad (Honeycutt, Thelen, Thelen y Hodges, 2005). La decisión de automatizar la fuerza de ventas puede explicarse mediante las teorías de la acción razonada o la conducta planificada, que sugieren que la decisión de un individuo de aceptar un cambio es una función de la actitud de ese individuo y las intenciones de comportamiento. Si las actitudes hacia el cambio son en general positivas, la intención de adoptar una conducta también será positiva (Barker, Gohmann, Guan y Faulds, 2009).
Davis (1989) propone el Modelo de Aceptación Tecnológica, en el que se pone de manifiesto cómo el uso del Internet puede favorecer las percepciones de los individuos sobre la demostrabilidad de los resultados, el disfrute percibido y la percepción de control externo de la tecnología. Estas percepciones facilitarán la aparición de la utilidad percibida y la facilidad de uso, variables clave en el desarrollo de una intención de uso y uso real de Internet (Peral et al., 2014).
Desde esta perspectiva, este estudio plantea como principal objetivo examinar la influencia que tiene la actitud del vendedor frente a las tecnologías de la información en su desempeño en ventas. Para ello, se indaga cómo la percepción de facilidad de uso de la tecnología afecta a su percepción de utilidad y a la actitud hacia su uso, y cómo la utilidad percibida de la tecnología afecta dicha actitud. El modelo propuesto se aplica a una muestra significativa de vendedores de Caldas, Colombia.
Con ese fin, el trabajo comienza con el desarrollo del marco conceptual, a partir del cual se establece el modelo y las hipótesis correspondientes; posteriormente, se expone la metodología utilizada en el análisis empírico y, a continuación, se muestra un análisis de los resultados. La investigación se basa en la aplicación de una encuesta adaptada.
Marco conceptual
La automatización de la fuerza de ventas, como la forma en que las actividades manuales de ventas son convertidas a procesos electrónicos a través de la combinación de aplicaciones de hardware y software (Rivers y Dart, 1999), ha pasado a ser un frente de inversión importante para las empresas.
En teoría, la aplicación de la automatización de la fuerza de ventas debe ayudar a una organización de ventas a racionalizar la totalidad de su operación centrada en el cliente, para hacerla más profesional, eficiente y orientada al servicio (Cho y Chang, 2008).
A pesar de las expectativas puestas en los procesos de automatización de la fuerza de ventas, la evidencia ha mostrado cómo a largo plazo la implantación de las herramientas informáticas en las ventas a menudo no ha generado los resultados esperados (Honeycutt et al, 2005). Algunos estudios han encontrado, entre otras causas, que en la adopción de estos sistemas están involucradas las actitudes individuales del vendedor frente a las innovaciones tecnológicas (Cho y Chang, 2008).
Según Wood y Swait (2002), se requiere un carácter innovador, como una tendencia a aceptar los cambios, y de actitud, como la asociación entre la utilidad y la facilidad de uso de un sistema (Amornkitpinyo y Wannapi-roon, 2015), que se compone tanto de aspectos cognitivos como afectivos: la innovación cognitiva significa un deseo de buscar más información y de participación en nuevos productos, mientras que la innovación afectiva refleja la tendencia a preferir nuevos estímulos y buscar variedad. Autores como Barker et al. (2009), Gohmann, Guan, Barker y Faulds (2005), y Venkatesh, Morris, Davis y Davis (2003) utilizaron estas teorías para desarrollar un marco unificado de análisis de la adopción de las tecnologías de la información y su aplicación en la integración de la automatización de la fuerza de ventas. Estos autores sugieren que los vendedores estarán más dispuestos a aceptar un sistema, si esperan que sus beneficios compensen el esfuerzo invertido en su utilización.
Davis (1989), y más adelante, Jones, Sundaram y Chin (2002) sugieren que los dos determinantes de particular importancia sobre la actitud del vendedor ante las innovaciones tecnológicas son la utilidad percibida y la facilidad de uso percibida. La utilidad percibida es la tendencia de la gente a usar una tecnología en la medida en que consideran que les ayudará a realizar mejor su trabajo. La facilidad de uso percibida es la dificultad de uso que el individuo cree que tiene y la percepción que tienen sobre si las ventajas presentadas en términos de rendimiento compensan el esfuerzo por utilizar dicha tecnología (Jones et al., 2002; Robinson, Marshall y Stamps, 2005a).
Davis (1989, 1993) integra la utilidad percibida y la percepción de facilidad de uso en el Modelo de Aceptación Tecnológica (TAM, por su sigla en inglés) para tratar de explicar el nivel de aceptación de la tecnología. Las relaciones entre la percepción de utilidad, facilidad de uso percibida, las actitudes y las intenciones se han apoyado en la literatura sobre la tecnología de la información (Adams, Nelson y Todd, 1992) como base para la especificación de los vínculos causales entre las siguientes creencias: facilidad de uso percibida, percepción de utilidad y actitudes.
El TAM ha sido adoptado y modificado por otros autores que lo han aplicado a distintos contextos como el de los sistemas de portafolio electrónico en los entornos de aprendizaje (Cheng, Chen y Yen, 2015); en las actividades de enseñanza a través de los medios sociales (Acarli y Saglam, 2015); en los estudios de utilización de la tecnología verde para ayudar a reducir el impacto ambiental (Akmana y Mishrab, 2015); en la interfaz entre el ser humano y el entorno virtual a través de los dispositivos mecánicos (Oh y Yoon, 2014); en la aceptación por parte de los usuarios de los servicios de almacenamiento y procesamiento de datos en la nube para los dispositivos móviles (Park y Kim, 2014); en los factores que influyen en la adopción de smartphones (Joo y Sang, 2013), y en la aceptación de Internet por parte de las personas de más edad (Peral et al, 2014), entre otros. En estos estudios se tienen en cuenta tanto los aspectos afectivos como las dimensiones cognitivas de la actitud, creencias y hasta la fantasía de los website, como el expuesto por Ibrahim (2014).
Modelo conceptual y planteamiento de las hipótesis
En este trabajo se plantea un modelo conceptual que tiene como objetivo valorar la influencia de la actitud del vendedor frente a las innovaciones tecnológicas en el desempeño de su actividad profesional. Se parte, para ello, del TAM, pero se establece el desempeño como variable a explicar.
Hipótesis
Durante mucho tiempo, los defensores de la automatización de la fuerza de ventas han defendido su potencial para el aumento de la productividad. A partir de esto, varios estudios han intentado explicar los resultados contradictorios, situando su problema fundamental en los fallidos procesos de adopción de la tecnología por parte de los vendedores (Rangarajana, Jones y Chin, 2005; Honeycutt et al., 2005; Gohmann et al., 2005; Barker et al., 2009), involucrando en ello factores actitudinales. Escobar-Rodríguez y Carvajal-Trujillo (2014) determinan cómo la esperanza de desempeño, el esfuerzo y la influencia social afectan la conducta de usar una tecnología.
Davis (1993) contrasta la hipótesis de que la percepción de la facilidad de uso de la tecnología tiene un efecto positivo sobre la utilidad percibida. Estas creencias se asumen para determinar la actitud de la persona hacia el uso de la tecnología: si el uso de una nueva tecnología se evalúa favorablemente (actitud positiva), se espera que establezca una intención para utilizarla, y esta intención se constituye como aceptación tecnológica (Toft, Schuitema y Thogersen, 2014).
Esta es una de las promesas que hace la tecnología aplicada a las ventas, como su capacidad para lograr que los vendedores realicen más actividades con el mismo esfuerzo, lo que se traduce en facilidades para su trabajo. De esta forma, encontramos una relación entre la facilidad de uso percibida y la utilidad percibida. Por su parte, Chau y Lai (2003) muestran cómo la facilidad de uso percibida tiene un fuerte efecto directo sobre la actitud. Los efectos sobre la actitud por parte de la facilidad de uso percibida pueden aumentar la motivación intrínseca de un usuario, dando lugar a mayor exploración de las funciones de un sistema, aumentando con ello la percepción sobre la utilidad del mismo. Así, surge entonces la siguiente hipótesis:
H1.La percepción de facilidad de uso de la tecnología afecta su percepción de utilidad.
Los vendedores tienen la potestad o autonomía suficiente para juzgar la utilidad de las distintas herramientas que pueden contribuir a su rendimiento (Skinner, 2000). De igual forma, estos evalúan la cantidad de esfuerzo que hay que invertir para utilizar cada una de las herramientas que se ponen a su disposición.
La utilidad percibida está positivamente relacionada con la actitud hacia el uso de la tecnología (Robinson et al, 2005). Los vendedores poseen la creencia de que una actitud positiva frente a las herramientas tecnológicas mejora su actitud hacia su uso, con lo que se aumenta la probabilidad de incrementar el rendimiento y la consecución de objetivos. Lo anterior sugiere la siguiente hipótesis:
H2.La utilidad percibida afecta la actitud hacia el uso de la tecnología.
Chau y Lai (2003), en su estudio relacionado con la aceptación del uso de Internet en el sector bancario, demuestran cómo la percepción de la facilidad de uso puede ser el único y mayor determinante en el proceso de aceptación por parte de los usuarios de esta tecnología. De ello, se deduce cómo la facilidad de uso percibida adquiere gran importancia en la etapa de adopción de un sistema.
De la misma forma, Park y Kim (2014) determinan a través de su estudio en tecnología cómo la movilidad y la conexión percibida son fuertes factores de motivación, y cómo la calidad del sistema y la utilidad percibida afectan significativamente la actitud hacia las tecnologías móviles.
Dependiendo de la percepción que el vendedor determine con respecto a la facilidad de uso de las tecnologías, este puede asumir una posición de rechazo o adopción de estas, lo que se evidencia a través de la actitud que este refleje frente a su uso y conduce a la siguiente hipótesis:
H3.La percepción de facilidad de uso afecta la actitud hacia el uso de la tecnología.
Las tecnologías pueden ser herramientas esenciales para los esfuerzos de la organización en la construcción y acceso a bases de datos, donde se recopila información sobre el mercado y los clientes; esto permite a los vendedores obtener información fundamental para el marketing de relaciones Customer Relationship Management (CRM).
Yim, Anderson y Swaminathan (2005) identifican cómo, a través del uso de la tecnología, la empresa puede centrar sus esfuerzos en los clientes clave, e implementar programas de gestión del conocimiento, que les va a permitir identificar sus necesidades y desarrollar relaciones más íntimas con ellos; de esta manera, el personal de ventas logra adaptarse más a las necesidades y preocupaciones específicas de los compradores, tanto actuales como potenciales.
Cabe destacar que factores individuales, como la ansiedad y la autoeficacia, e institucionales, como el apoyo institucional y la voluntariedad, están significativamente relacionados con la facilidad de uso percibido, la utilidad percibida y el uso real de los sistemas (Park, Rhoads, Hou y Lee, 2014). De igual forma, Robinson et al. (2005) confirman cómo la intención de utilizar la tecnología facilita un mejor rendimiento en la venta adaptativa que basa su actuación en la gerencia del servicio y el CRM.
Ibrahim (2014) le otorga al modelo TAM las dimensiones de afectividad y cognición a la actitud; además, indica cómo la facilidad de uso percibida impacta positivamente tanto en la actitud cognitiva como en la afectiva y, por ende, es necesario tener en cuenta ambas dimensiones en la adopción tecnológica. De lo anterior se desprende la siguiente hipótesis:
H4.La actitud hacia el uso de la tecnología afecta el desempeño en las ventas.
En consideración con las hipótesis expuestas, se propone el modelo teórico que se presenta en la figura 1.

Metodología
Para la realización de la investigación y validación de las hipótesis, se procedió a seleccionar una muestra representativa de 232 vendedores, por muestreo no probabilístico y de conveniencia. Los vendedores seleccionados trabajan en empresas pertenecientes a diferentes sectores de la economía. Para formar parte de la muestra, los vendedores tenían que utilizar, para el desempeño de su trabajo, dispositivos tecnológicos, como tablets, Ipods, smartphones o Ipads. Estos se utilizan para los reportes de ventas, consulta de cartera, comunicación permanente con los clientes, informes y demás actividades necesarias para lograr los niveles requeridos en su desempeño en ventas (tabla 1). Los vendedores encuestados pertenecen a 105 empresas situadas en Caldas, Colombia, pero cuyos radios de actuación alcanzan amplias zonas a nivel nacional.

El método de obtención de información es la encuesta personal a través de cuestionario cerrado. El contenido de la encuesta es una adaptación del TAM, a través del cual se determina la percepción de facilidad de uso y la percepción de utilidad, y con ello la actitud hacia el uso de la tecnología. Los instrumentos de recolección de información utilizan escalas Likert y elementos adaptados de la escala de facilidad de uso percibida, de la escala de percepción de utilidad y conceptos de la revisión teórica realizada.
La utilidad percibida y la facilidad de uso de las tecnologías se miden utilizando para cada uno de ellos seis ítems de la escala utilizada por Davis (1989); así mismo, para la medición de la actitud se adapta la escala de Davis (1989).
Establecidas las actitudes personales frente a la aceptación de las tecnologías de información y comunicación, se procedió a determinar el desempeño en ventas; para ello, se utiliza la escala de rendimiento desarrollada y evaluada por autoinforme, aplicada a vendedores y directores o gerentes de ventas diseñada por Berhman (1982). En la tabla 2, se relacionan las escalas de medida utilizadas.

Resultados y análisis
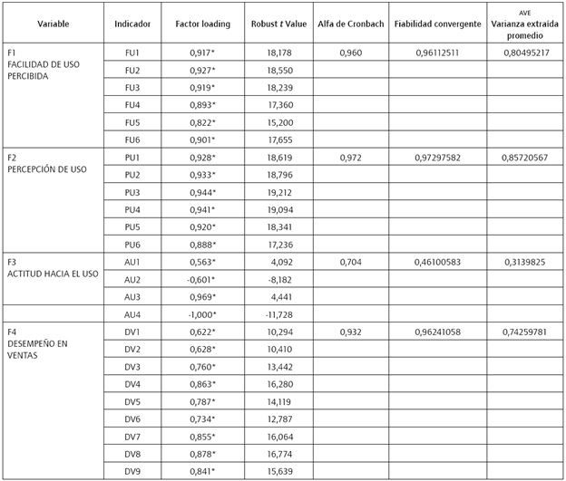
En el análisis de las cargas factoriales se observa que todas resultan significativas. En cuanto al valor t (Robust t Valor) si t > 1,96, es significativo al 5%. t > 2,56 significativo al 1°%, encontrando las relaciones entre percepción de facilidad de uso y utilidad percibida, con significancia al 5%; la percepción de facilidad de uso y actitud hacia el uso 5%.
Se observa cómo todos los valores del alfa de Cronbach son superiores a 0,7, siendo el resultado de la muestra completa de 0,872; por factor, es para la facilidad de uso percibida de 0,960, percepción de uso de 0,972, actitud hacia el uso de 0,704 y desempeño en ventas de 0,932, lo que demuestra la fiabilidad de los constructos. Los resultados se observan en la tabla 3. En la tabla 4, se relacionan los indicadores globales de ajuste del modelo.


En la tabla 5, se relacionan las medidas finales de la validez discriminante del modelo.

Los resultados finales del modelo se expresan en la tabla 6.

Sobre la base de los criterios anteriormente desarrollados, se concluye que las escalas planteadas tienen validez convergente. De igual forma, se confirma la fiabilidad de los factores. Según el Test de Varianza Extraída (AVE), no todos los factores muestran un nivel de fiabilidad adecuado, dado que el factor F3 se encuentra por debajo de 0,5 (Fornell y Larcker, 1981).
La revisión de los resultados finales nos conduce a la aceptación de las hipótesis 1 y 3, y al rechazo de las hipótesis 2 y 4.
Resultados
Con respecto a H1, la percepción del vendedor de la facilidad de uso de la tecnología influye positivamente en la utilidad percibida de dicha tecnología (beta 0,766). Davis (1989) afirma que cualquier actividad que pueda realizarse con la ayuda de la tecnología e implique un menor esfuerzo para el vendedor se traduce en mayores facilidades para su trabajo, lo que induce a los vendedores a evaluar cómo la tecnología mejora la utilidad en razón de la facilidad de uso de la misma.
Con respecto a H3, se considera que la percepción de facilidad de uso influye positivamente en la actitud hacia el uso de la tecnología (beta 0,145), lo que nos lleva a admitir la hipótesis planteada. Como lo conceptualiza Davis (1989), la percepción que un vendedor tiene de la facilidad de uso de la tecnología influye de forma positiva en la actitud hacia el uso de esa tecnología, a la vez que influye positivamente en la percepción que tiene en la utilidad que la tecnología le proporciona para alcanzar la consecución de sus objetivos de ventas.
Por su parte, en lo referente a H2, la utilidad percibida no muestra una relación directa frente a la actitud hacia el uso (beta 0,272), por lo que no se admite esta hipótesis. Esto se explica por la naturaleza del contexto de ventas, dado que en muchas organizaciones los empleados forman intenciones y actitudes sobre aquello que creen que aumentará sus beneficios. Por otra parte, el estudio de Torres-Albero, Robles-Morales y Molina-Molina (2011) muestra que hay variables como la edad y el nivel de estudios que pueden tener una influencia sobre el uso de la tecnología que superen la influencia que ejerce la utilidad percibida. Así mismo, Venkatesh et al. (2003) investigan cómo influyen las variables sociales de la edad, género, experiencia y voluntariedad sobre la actitud hacia las tecnologías. En el estudio que hemos realizado, el 76% de los encuestados corresonde a trabajadores menores de 45 años, que según los estudios precedentes están más familiarizados con la tecnología hasta el punto de asumirla como parte de la actividad laboral. De esta forma, podríamos deducir que los vendedores que forman parte de la muestra no se ven influenciados en su actitud hacia el uso por la utilidad percibida, dado que dicha utilidad ya es algo incuestionable para ellos.
De igual forma, en la hipótesis H4, que trata la relación directa entre la actitud hacia el uso de la tecnología y el desempeño en ventas, los resultados muestran que no hay evidencia para soportar la conexión directa entre la actitud que el vendedor tenga frente al uso de la tecnología y el desempeño en las ventas del mismo (beta -0,129). Los resultados del modelo estructural se expresan en la figura 2.

Análisis
La percepción de facilidad de uso es uno de los mayores determinantes en los procesos de aceptación por parte de los usuarios de la tecnología (Chau y Lai, 2003), teniendo un fuerte efecto sobre la utilidad percibida, con lo que se aumenta la posibilidad en los vendedores de indagar y explorar las funciones y aplicaciones de un sistema, incrementando con ello la percepción de utilidad de dicha tecnología.
Además de lo anterior, esta percepción de facilidad de uso puede ser el mayor determinante en el proceso de aceptación y adopción de la tecnología por parte de los vendedores (Chau y Lai, 2003), al aumentar la motivación por explorar las funciones de un sistema, lo que conduce a aumentar de igual forma la percepción de su utilidad.
La percepción de facilidad de uso de la tecnología influye en la actitud que el vendedor pueda tener ante esta, dado que, si a un vendedor una herramienta tecnológica le parece de uso fácil, eleva la probabilidad de que muestre mayores intenciones de utilizarla, modificando su posible comportamiento de aversión a su uso. Esto indica cómo la actitud hacia su uso puede ser más favorable en la medida en que el vendedor perciba que es de fácil utilización. Sin embargo, los vendedores por lo general son controlados por los resultados o cumplimiento de metas, gozando de cierta autonomía para realizar su trabajo. Sin una directriz específica y explícita que lo obligue a utilizar una tecnología en particular, es difícil que el vendedor tenga una mayor intención de utilizar la tecnología o genere una actitud positiva hacia la misma.
A pesar de que un vendedor perciba que una herramienta tecnológica es de gran utilidad para su trabajo, si no está familiarizado con ella (o no tiene una percepción favorable de facilidad de uso), puede desencadenar una actitud o comportamiento negativo frente a su práctica. Así mismo, aunque el vendedor perciba que existe una real y verdadera utilidad de la tecnología en el ejercicio de ventas (algo fácil de comprobar gracias a los avances existentes entre dispositivos, hardware y software como herramientas que facilitan la actividad comercial), si no tiene la habilidad para su manejo o considera que se requiere un conocimiento cada vez más especializado, puede despertar en el vendedor una actitud de apatía o rechazo. Dicha actitud proviene del hecho de que su incapacidad al manejo le puede generar desventajas para su rendimiento, lo que a su vez puede ocasionar como reacción inmediata la no adopción, o despertar sentimientos de frustración, que necesariamente pueden reflejar actitudes contrarias a lo que se pretende con su implementación.
Por otra parte, cada vez es mayor la dependencia de la tecnología para cualquier actividad humana y, con la permanente innovación que se experimenta a todo nivel, el uso de las herramientas tecnológicas en la actividad comercial no ha sido la excepción, lo que obliga una aceptación implícita de su uso por parte del vendedor, sin considerar para ello su actitud frente a ella.
La actitud hacia el uso de la tecnología no tiene una relación directa frente al desempeño en ventas del vendedor, indicando que el rendimiento en las ventas no se ve afectado directamente por las intenciones o actitudes de comportamiento del vendedor frente a la tecnología, lo que puede explicarse a través del contexto actual de competencia.
Conclusiones
Los procesos de automatización de la fuerza de ventas deben estar apoyados por estrategias que favorezcan una percepción de facilidad de uso por parte de los vendedores, de tal manera que se pueda incrementar la probabilidad de que estos perciban la utilidad que la tecnología les proporciona para desarrollar sus actividades de ventas con menor esfuerzo.
De igual forma, en la medida que los sistemas de automatización de la fuerza de ventas adoptados por la empresa sean diseñados bajo estructuras que se perciban de fácil uso, los vendedores van a adoptar una actitud de mayor apertura para su adopción.
A pesar de que la actitud hacia el uso de la tecnología no juega un papel preponderante en el desempeño de ventas, sí se considera un factor importante en la adopción de dicha tecnología por parte del vendedor. Además, aunque la utilidad percibida no tenga una injerencia directa en la actitud hacia el uso de cierta tecnología, es importante considerar que la percepción de utilidad es un factor que influye directamente en su adopción, para lo cual es fundamental acompañar los procesos de sensibilización de los vendedores en los procesos de implementación de los sistemas de automatización de la fuerza de ventas, lo que desarrolla estrategias generadoras de percepciones positivas de utilidad, en conjunto con las de facilidad de uso.
Como en la actualidad la tecnología ha ganado espacio para el desempeño laboral, se podría pensar que la actitud hacia el uso de la tecnología es un factor no determinante, por ser algo intrínseco en cualquier tipo de trabajo.
En la medida en que la inversión en tecnología aumenta, se incrementa la presión sobre los vendedores para que obtengan mejores resultados. Las empresas observan que, aunque la tecnología está disponible, no siempre es utilizada por el personal de ventas. Es necesario diseñar esquemas que faciliten que el trabajador perciba que puede asimilar sin grandes dificultades el avance tecnológico propuesto por la empresa.
El estudio realizado nos permite exponer algunas aportaciones de interés para la gestión de la empresa:
Es innegable que no se puede ralentizar el proceso de adopción de nuevas tecnologías; la automatización de la fuerza de ventas reduce los costos de la fuerza de ventas, coadyuva a su adecuada administración, mejora su productividad y permite un mayor conocimiento del mercado. Los sistemas que están a disposición de la empresa ayudan a mejorar el servicio a los clientes, apoya la toma de decisiones de los vendedores, agiliza los procesos de venta y retroalimenta a la empresa. Junto a las herramientas (laptops, dispositivos móviles, celulares, faxes e Internet), el software especializado va cobrando cada vez más importancia, porque permite explotar al máximo esas herramientas y hacerlas más accesibles para su utilización.
En el contexto de ventas, la gran mayoría de las estructuras remunerativas y planes de compensación se determinan con base o en proporción al desempeño, lo que implica que los vendedores se forman juicios individuales con los que construyen la percepción de utilidad de la tecnología a partir, en parte, de la percepción que tengan de la facilidad de uso de ella, lo que impacta de alguna manera en su adopción en la búsqueda de un mayor rendimiento. Según los resultados del presente estudio, la actitud que genera la percepción de facilidad de uso de la tecnología o la percepción de su utilidad no está influyendo en el desempeño que el vendedor tiene en su trabajo. Esto significa para las empresas que lo importante, para conseguir los retornos de la inversión hecha en la automatización de la fuerza de ventas, es lograr una real utilización de las herramientas tecnológicas por parte del vendedor. Para que la actitud no sea un factor determinante en la adopción y explotación de los avances tecnológicos, estos deben formar parte del natural devenir profesional del vendedor. La empresa debe hacer un especial esfuerzo en que su personal se sienta totalmente integrado en el entorno tecnológico y lo asuma como un aspecto incuestionable de su desempeño.
La idea de base no es que a la empresa no le tiene que importar la actitud del vendedor, sino que tiene que velar por que esta actitud no sea importante. En un entorno que avanza a tal velocidad, hay que pedirle a la tecnología que funcione de una manera estable, sencilla y segura, y que no provoque situaciones en las que la fuerza de ventas intente utilizarla y ello le genere inseguridad. Todo problema técnico le va a generar al trabajador la sensación de tiempo perdido y de trabajo mal hecho, por lo que es importante que haya personal preparado en la empresa o subcontratado por esta que, a tiempo real, pueda solucionar los problemas técnicos que vayan surgiendo.
Por otra parte, es importante que los vendedores no tengan la impresión de haber sido convertidos en autómatas. Las herramientas tecnológicas deben ser flexibles, permitir la iniciativa individual y dar margen de actuación al factor humano. El comercial no debe percibir que su valor como profesional se ve disminuido o sustituido por una máquina.
También es interesante que el trabajador se sienta parte del desarrollo tecnológico, que tenga la opción de aportar ideas e iniciativas que mejoren el software utilizado o proponga cambios en los sistemas.
Las organizaciones, para lograr los resultados esperados con la automatización de la fuerza de ventas, deben emprender programas de capacitación, con esquemas remunerativos que motiven a la utilización real de la tecnología. La capacitación, el diseño de un plan de compensación y un buen sistema de control y seguimiento pueden ser los insumos bajo los cuales la adopción de una tecnología sea más exitosa, sobre todo si se acompaña con herramientas tecnológicas de fácil utilización que, aunque no reflejen una influencia directa en su desempeño, pueden facilitar su adopción. La empresa tiene que ser consciente de que en ocasiones no es tan importante el cambio que se introduce que el cómo se introduce.
Referencias bibliográficas
Adams, D. A., Nelson, R. R., & Todd, P. A. (1992). Perceived usefulness, ease of use, and usage of information. mis Quarterly, 16(2), 227-247.
Acarli, D. S., & Saglam, Y. (2015). Investigation of pre-service teachers' intentions to use of social media in teaching activities within the framework of technology acceptance model. Procedia-Social and Behavioral Sciences, 176. 709-713. doi: 10.1016/j.sbspro.2015.01.530
Akman, I., & Mishrab, A. (2015). Sector diversity in green information technology practices: Technology Acceptance Model perspective. Computer in Human Behavior, 49, 477-486. doi: 10.1016/j.chb.2015.03.009.
Amornkitpinyo, T., & Wannapiroon, P. (2015). Causal relationship model of the technology acceptance process of learning innovation in the 21st century for graduate students. Procedia - Social and Behavioral Sciences, 174, 2090-2095. doi: 10.1016/j.sbspro.2015.02.006.
Barker, R. M., Gohmann, S. F., Guan, J., & Faulds, D. J. (2009). Why is sales force automation system failing? Business Horizons, 52(3), 233-241.
Berhman, D. N. (1982). Measuring the performance of industrial salespersons. Journal of Business Research, 10(3), 355-370. doi: 10.1016/0148-2963(82)90039-X.
Bentler, P. M. (1990), Comparative Fit Indexes in Structural Models. Psychological Bulletin, 107(2), 238-246.
Bentler, P. M., & Bonnet, D. C. (1980), Significance Tests and Goodness of Fit in the Analysis of Covariance Structures. Psychological Bulletin, 88(3), 588-606.
Blodgett, M. (1995). Vendor tries to simplify sales force automation. Computerworld, 30(1), 62.
Chau, P. Y. K., & Lai, V. S. K. (2003). An empirical investigation of the determinants of user acceptance of internet banking. Journal of Organizational Computing and Electronic Commerce, 13(2), 123-145. doi: 10.1207/S15327744JOCE1302_3.
Cheng, S. I. Chen, S. C., & Yen, D. C. (2015). Continuance intention of E-portfolio system: A confirmatory and multigroup invariance analysis of technology acceptance model. Computer Standards & Interfaces, 42, 17-23. doi: 10.1016/j.csi.2015.03.002.
Cho, S. D., & Chang, D. R. (2008). Salesperson's innovation resistance and job satisfaction in intraorganizational diffusion of sales force automation technologies: The case of South Korea. Industrial Marketing Management, 37(7), 841-847. doi: 10.1016/j.indmarman.2008.04.004
Davis, F. D. (1989). Perceived Usefulness, Perceived Ease of Use, and User Acceptance of Information Technology. mis Quarterly, 13(3), 319-340.
Davis, F. D. (1993). User acceptance of information technology: system characteristics, user perceptions and behavioral impacts. International Journal of Man-machine Studies, 38(3), 475-487. doi: 10.1006/imms.1993.1022.
Escobar-Rodríguez, T., & Carvajal-Trujillo, E. (2014). Online purchasing tickets for low cost carriers: An application of the unified theory of acceptance and use of technology (UTAUT) model. Tourism Management, 43, 70-88. doi: 10.1016/j.tourman.2014.01.017.
Fornell, C., & Larcker, D. (1981). Evaluating structural equations models with unobservable variables and measurement error. Journal of Marketing Research, 18(1), 718. doi: 10.2307/3151312.
Gohmann, S. F., Guan, J., Barker, R. M., & Faulds, D. J. (2005). Perceptions of sales force automation: Differences between sales force and management. Industrial Marketing Managment, 34(4), 337-343.
Honeycutt, E. D., Thelen, T., Thelen, S. T., & Hodges, S. K. (2005). Impediments to sales force automation. Industrial Marketing, 34(4), 313-322. doi: 10.1016/j.indmarman.2004.09.012.
Hogeboom, D., McDermott, R., Perrin, K., Osman, H., & Bell-Ellison, B. (2010). Internet use and social networking among middle aged and older adults. Educational Gerontology, 36(2), 93-111.
Ibrahim, H. (2014). Technology Acceptance Model: Extensión to Sport Consumtion. Procedia Engineering, 69, 1534-1540. doi: 10.1016/j.proeng.2014.03.152.
Jones, E., Sundaram, S., & Chin, W. (2002). Factors leading to sales force automation use: A longitudinal analysis. Journal of Personal Selling & Sales Management, 22(3), 145-156.
Joo, J., & Sang, Y. (2013). Exploring korean's smartphone usage: An integrated model of the technology acceptance model and uses and gratificantions theory. Computers in Human Behavior, 29(6), 2512-2518. doi: 10.1016/j.chb.2013.06.002.
Li, R. M., & Rogers. J. C. (2001). Marketing information systems in fortune 500 companies: A longitudinal analysis of 1980, 1990, and 2000. Information and Management, 38(5), 307-322. doi: 10.1016/S0378-7206(00)00073-2.
Oh, J., & Yoon, S. J. (2014) Validation of Haptic Enabiling Technology Acceptance Model (HE-TAM): Integration of IDT and TAM. Telematics and Informatics, 31(4), 585-596. doi: 10.1016/j.tele.2014.01.002.
Morgan, A. J., & Inks, S. A. (2001). Technology and the sales force: Increasing acceptance of sales force automation. Industrial Marketing Management, 30(5), 463-472. doi: 10.1016/S0019-8501(99)00115-7.
Park. E., & Kim, K. J. (2014) An integrated Adoption Model of Mobile Cloud Services: Exoloration of Key Deteminants and Extension of Technology Acceptance Model. Telematics and Informatics, 31(3), 376-385. doi: 10.1016/j.tele.2013.11.008.
Park N., Rhoads, M., Hou, J., & Lee, K. L. (2014) Understanding the acceptance of teleconferencing systems among employees: An extension of the technology acceptance model. Computers in Human Behavior, 39, 118-127. doi: 10.1016/j.chb.2014.05.048.
Peral, B., Arenas, J., & Ramón-Jerónimo, M. Á. (2014) Technology Acceptance Model y Mayores: ¿la educación y la actividad laboral desarrollada son variables moderadoras? Revista Española de Investigación de Marketing ESIC, 18(1), 43-56. doi: 10.1016/S1138-1442(14)60005-X
Rangarajana, D., Jones, E., & Chinc, W. (2005). Impact of sales force automation on technologyrelated stress, effort, and technology usage among salespeople. Industrial Marketing Management, 34(4), 345-354. doi: 10.1016/j.indmarman.2004.09.015.
Rivers, L. M., & Dart, J. (1999). The Acquisition and Use of Sales Force Automation by MidSized Manufacturers. Journal of Personal Selling & Sales Management, 29(2), 59-73.
Robinson, L., Marshall, G. W., & Stamps, M. B. (2005a). An empirical investigation of technology acceptance in a field sales force setting. Industrial Marketing Management, 34(4), 407-415. doi: 10.1016/j.indmarman.2004.09.019.
Robinson, L., Marshall, G. W., Stamps, Mi. B. (2005b). Sales force use of technology: antecedents to technology acceptance. Journal of Business Research, 58(12), 1623-1631. doi: 10.1016/j.jbusres.2004.07.010.
Skinner, S. J. (2000). Peak Performance in the sales force. Journal of Personal Selling & Sales Management, 20(winter), 37-42.
Toft, M. B., Schuitema, G., & Thogersen, J. (2014) Responsible technology acceptance: Model development and application to consumer acceptance of Smart Grid Technology. Applied Energy, 134, 392-400. doi: 10.1016/j.apenergy.2014.08.048.
Torres-Albero, C., Robles-Morales, J. M., & Molina-Molina, Ó. (2011). ¿Por qué usamos las tecnologías de la información y las comunicaciones? Un estudio sobre las bases sociales de la utilidad individual de Internet. Revista Internacional de Sociología, 69(2), 371-392. doi: 10.3989/ris.2010.01.15.
Venkatesh, V., Morris, M. G., Davis, G. B., & Davis, F. D. (2003). User acceptance of information technology: Toward a unified view. mis Quarterly, 27(3), 425-478.
Wood, S. L., & Swait, J. (2002). Psychological indicators of innovation adoption: Cross classification Based on need for cognition and need for change. Journal of Consumer Psychology 12(1), 1-13. doi: 10.1207/S15327663JCP1201_01.
Yim, F. H. K., Anderson, R. E., & Swaminathan, S. (2005). Customer Relationship Management: Its Dimensions and Impact on Customer Outcomes. Journal of Personal Selling and Sales Management, 24(4), 265-278.
Notas
Notas
Notas
Notas de autor
*CORRESPONDENCIA: José Fernando Barahona. Carrera 26 No 84-41 casa 82. Conjunto Sierra Bonita. Manizales, Colombia.