RESUMEN: Una alternativa de las micro y pequeñas empresas (mypes) para competir es la innovación basada en las personas como componente clave. El presente documento mide las habilidades de innovación a través del Índice General de Habilidades de Innovación en el Individuo (ICHII) con siete dimensiones básicas. Se contrasta el índice en una muestra de 1.010 mypes de la Zona Metropolitana del Valle de México. Se realiza un análisis factorial para establecer la estructura del indicador y, mediante una regresión logit, se estiman los determinantes de las habilidades de innovación. Con base en los resultados, se encuentra que educación, género, antigüedad en la empresa y puesto laboral del individuo, así como tamaño y años de operación de la empresa son factores positivos de estas habilidades. Una implicación para la política pública es el fomento de las mypes con individuos con estos atributos.
PALABRAS CLAVE: determinantes de innovacióndeterminantes de innovación,habilidades de innovaciónhabilidades de innovación,micro y pequeñas empresasmicro y pequeñas empresas,regresión logísticaregresión logística,Valle de MéxicoValle de México.
ABSTRACT: People-based innovation has become an alternative for micro, small and medium enterprises (MSMES) to compete in current business environment. This paper measures innovation skills through the General Index of Innovation Skills in the Individual, which has seven basic dimensions. This index is contrasted in a sample of 1,010 MSMES from the Metropolitan Zone of the Valley of Mexico. A factor analysis is performed in order to establish the structure of the indicator. In addition, through logit regression, the determinants of innovation skills are estimated. Based on the results, it is found that education, gender, seniority, and the position of the individual, as well as the size and years of operation of the company, are positive factors for innovation skills. Therefore, supporting SMES with collaborators with these type of attributes is suggested as a practical implication for public policy-makers.
KEYWORDS: Innovation determinants, innovation skills, micro and small enterprises, logistic regression, Valley of Mexico.
RESUMO: Uma alternativa das micros e pequenas empresas para competir é a inovação baseada nas pessoas como componente-chave. Este documento mede as habilidades de inovação por meio do Índice Geral de Habilidades de Inovação no Indivíduo, com sete dimensões básicas. O Índice é contrastado em uma amostra de 1.010 micros e pequenas empresas da Região Metropolitana do Vale do México. É realizada uma análise fatorial para estabelecer a estrutura do indicador e, mediante uma regressão logit, são estimados os determinantes das habilidades de inovação. Com base nos resultados, verificase que educação, gênero, antiguidade na empresa e cargo do indivíduo, bem como tamanho e anos de operação da empresa são fatores positivos dessas habilidades. Uma implicação para a política é o fomento das PMES com indivíduos com essas características.
PALAVRAS-CHAVE: determinantes de inovação, habilidades de inovação, micros e pequenas empresas, regressão logística, Valle de México.
RÉSUMÉ: Une alternative pour la compétitivité des micro et des petites entreprises (TPE) est l'innovation basée sur les personnes en tant que composant clé. Ce document mesure les compétences en innovation au moyen de l'Indice général des compétences en innovation de l'individu (ICHII), qui comporte sept dimensions fondamentales. L'indice est contrasté dans un échantillon de 1 010 types de la zone métropolitaine de la vallée de Mexico. On a effectué une analyse factorielle pour établir la structure de l'indicateur et, par une régression logit, on a estimé les déterminants des compétences en innovation. Sur la base des résultats, on a constaté que l'éducation, le sexe, l'ancienneté dans la société et le poste occupé par la personne, ainsi que la taille et les années de fonctionnement de la société sont des facteurs positifs de ces compétences. Une conséquence pour les politiques publiques est la promotion des pme ayant des individus avec ces attributs.
MOTS-CLÉ: Déterminants de l'innovation, compétences d'innovation, micro et petites entreprises, régression logistique, Vallée de Mexico.
Pequeñas y Medianas Empresas
Determinantes de las habilidades de innovación en las mypes de la Zona Metropolitana del Valle de México
DETERMINANTS OF INNOVATION SKILLS OF MSMES AT THE METROPOLITAN ZON E OF THE VALLEY OF MEXICO
DETERMINANTES DAS HABILIDADES DE INOVAÇÃO NAS MICROS E PEQUENAS EMPRESAS DA REGIÃO METROPOLITANA DO VALE DO MÉXICO
LES DÉTERMINANTS DES COMPÉTENCES D'INNOVATION DANS LES TPE DE LA ZONE MÉTROPOLITAINE DE LA VALLÉE DE MEXICO
Recepción: 18 Abril 2018
Aprobación: 08 Abril 2019
La literatura muestra que las empresas de menor tamaño contribuyen a los sistemas de innovación de manera creciente, puesto que introducen nuevos productos y adaptan los existentes a las necesidades de los consumidores (Okwiet & Grabara, 2014). No obstante, las desventajas tecnológicas y financieras que enfrentan las micro y pequeñas empresas (en adelante, mypes) en el proceso de innovación las obliga a seguir mecanismos de bajo costo y relativo rendimiento, en comparación con las grandes empresas. En este sentido, las fortalezas de las pequeñas empresas se relacionan con la organización interna, que facilita la participación activa de los trabajadores, la comunicación y la agilidad en la toma de decisiones (Kemayel, 2015), permitiendo que establezcan estrategias informales de innovación.
El segmento de empresas más pequeñas en tamaño la comprende como un proceso multietápico, mediante el cual transforman ideas en productos y procesos mejorados para diferenciarse de sus competidores (Barengheh et al., 2009), por lo que el principal tipo de innovación en las mypes es adaptativa, es decir, una novedad inherente a un producto o proceso para la empresa, pero no necesariamente para el mercado. De acuerdo con Eshima y Anderson (2017), esto determina la forma de relacionarse con agentes externos (clientes, competidores, etc.).
En particular, convertir o transformar conocimiento en innovaciones depende de los colaboradores; además, sus atributos personales les permiten encarar los distintos obstáculos del proceso. Distintos estudios han identificado características personales para la innovación, por ejemplo, emprender y ser creativos (Sarri, Bakouros, & Petridou, 2010), síntesis de ideas (Kornish & Ulrich, 2011), aprender de errores (Saunders, Gray, & Goregaokar, 2014), enfrentar desafíos, tener iniciativa y controlar recursos (Kahn, 2018), combinar enfoques e ideas en productos y tomar riesgos (Organización para la Cooperación y el Desarrollo Económicos [UCDE], 2010), asignar recursos (Drucker, 2015), visión de largo plazo (March, 2016), compromiso y persistencia (Valderrama, Neme, & Ángeles, 2016). Desde esta perspectiva, la innovación genera una ventaja competitiva, a partir de individuos que incorporan conocimientos, motivaciones, actitudes y habilidades.
Si bien la gama de habilidades asociadas con la innovación es muy amplia, es importante crear una mezcla de habilidades potencialmente benéfica entre los colaboradores (OCDE, 2012). Por ende, aunado a la medición de la innovación, resulta fundamental establecer qué factores determinan las habilidades asociadas a este proceso para su mejor comprensión y diseño de estrategias de fomento de este tipo de empresas para encarar los desafíos del sistema de innovación.
En este sentido, la literatura sobre los determinantes de la innovación concluye que el tamaño y edad de la empresa (Messeni, Ardito, & Savino , 2018), estructuras de mercado (Kenneth & Tong, 2018), ventas en el exterior (Love & Roper, 2015), capacitación laboral (Bircan & Gencler, 2015), capital humano (Mariz, Tejeiro, & García, 2012), conocimiento (Bogers, Foss, & Lyngsie, 2018), financiamiento (Acharya & Xu, 2017); características del empresario (Pekkala, Kerr, & Xu, 2017), organizacionales (Gunawan, Jacob, & Duysters, 2013) y de liderazgo (Chang & Hughes, 2012); estructura y procesos (Ryan, Geoghegan, & Hilliard, 2018), apoyo gubernamental (Oum, Narjoko, & Harvie, 2014) y redes de la empresa (Schott & Wickstrom, 2016) propician procesos de innovación. Sin embargo, los documentos que analizan el papel del individuo en dicho proceso son limitados, pues, como reconoce la OCDE (2012), es el bloque básico de este.
Así, el objetivo de este documento es analizar la relación entre distintos factores que caracterizan al colaborador en las mypes y que determinan las habilidades de innovación, plasmadas en el Índice General de Habilidades de Innovación en el Individuo (ICHII). El estudio se centra en una muestra de empresas de la Zona Metropolitana del Valle de México (ZMVM), que incluye 76 municipios del Estado de México, Hidalgo y de la Ciudad de México, y que representa el 25% del PIB nacional1.
En México, las mypes superan los 4,99 millones de unidades (99% del total de empresas), emplean casi al 75% de la población ocupada y generan 18% de la producción bruta total. En particular, el número de mypes en la ZMVM justifica su estudio en términos de innovación. Al representar casi una de cada cinco mypes en el país, estas impactan la dinámica innovadora nacional, no solo de este segmento de empresas, sino del subsistema empresarial de innovación. Así, desde el enfoque de política pública es relevante analizar los determinantes de las capacidades de innovación en los individuos en las mypes, lo que contribuye a la escasa literatura del tema.
Además de esta introducción, el documento tiene seis secciones. En el segundo apartado se describe el ICHII, instrumento que mide las habilidades individuales de innovación y se discuten sus determinantes; después, se plantea la metodología que incluye el análisis factorial para establecer la estructura subyacente en el ICHII, y la regresión logit; posteriormente, se aplica el ICHII en las mypes de la ZMVM, se muestran los resultados, se discuten y, finalmente, se presentan algunas reflexiones.

El modelo de medición de las habilidades de innovación centrado en el individuo se resume en la figura 1. Este incorpora cuatro dimensiones para la innovación en el contexto de procesos sociales internos y externos a las mypes: creatividad, emocionales, organización y realización y práctica2. El primer bloque recoge las capacidades y actitudes vinculadas a la creatividad e incluye cuatro variables: proceso creativo, combinar enfoques, construir y destruir, y problemas y soluciones, desagregado en 11 indicadores: pensamiento creativo (comunicar ideas y soluciones a partir de un pensamiento creativo); nutrición (practicar técnicas de creatividad); valoración (apreciar cualquier aportación con potencial utilidad); promoción (escuchar e intercambiar opiniones); combinación (seguir vías alternativas); conexión (conectar ideas con o sin relación aparente); formas de solución (explorar alternativas); iniciativa (mostrar alta iniciativa); disposición al cambio (buscar mejorar la actividad), uso de hemisferios (aplicar balanceadamente la lógica y la intuición), y enfoque en soluciones (analizar el problema para encontrar soluciones).
El segundo bloque, asociado con habilidades emocionales, se divide en cinco variables: valorar el error, riesgo y tolerancia, incertidumbre, relaciones humanas y compromiso.
Se desagrega en 12 indicadores: aprendizaje del fracaso (valorar el error como estímulo); persistencia (intentarlo hasta lograr lo planteado); actitud ante el riesgo (actitudes favorables en situaciones inciertas); frustración (seguridad ante el fracaso); incertidumbre (ser resiliente); miedo al éxito (conocer y manejar sus miedos); relaciones humanas (compartir diferentes aspectos de la vida); empatía (ser empático); comunicación (comunicarse asertivamente); responsabilidad (cumplir responsabilidades a partir del compromiso), y satisfacción personal (satisfacción con la actividad laboral).
El tercer bloque incluye habilidades de organización agrupadas en visión de futuro, planeación y liderazgo, divididas en diez indicadores: prevención (visualizar posibles cambios y consecuencias); visualización (imaginar y compartir situaciones de largo plazo); análisis de situaciones (observar ventajas y desventajas de los escenarios); uso de recursos (considerar todos los recursos a su alcance); establecimiento de metas (identificar metas y comprometerse a alcanzarlas); sistematización (reconocer pasos para cumplir objetivos); priorización (planear actividades según prioridades); autoridad legítima (ganar la confianza de las personas); capacidad de motivación (contagiar a compañeros de trabajo ideas, acciones y emociones favorables), y trabajo en equipo (construir buenas relaciones con los equipos de trabajo para su eficiencia).
La cuarta dimensión, de realización y práctica, agrupa las variables de acción, implementación y monitoreo; los indicadores incluidos se asocian con la disposición a la acción (trasladar a la práctica ideas); mejora continua (seguir procesos de mejora continua); prueba y experimentación (experimentar y evaluar ideas creativas); implementación (llevar a cabo ideas sistematizadamente); delegación (asignar tareas y responsabilidades); conciencia de comprobación (verificar el éxito de sus acciones), y monitoreo (revisar el avance de sus acciones). En términos generales, los indicadores se promedian para cuantificar las variables que, a su vez, permiten obtener un puntaje de los subíndices para definir el perfil de las habilidades de innovación del individuo medidas en el ICHII.
Además de su medición, el documento busca conocer los factores que determinan estas habilidades. Al respecto, la literatura identifica una serie de aspectos que contribuyen a las actividades de innovación, clasificados en tres categorías: individuo, empresa y ambiente externo.
Las características individuales son atributos de los individuos innovadores, ligados a la experiencia, habilidades, conocimientos y actitudes (Pekkala et al., 2017). La literatura identifica al nivel de estudios, experiencia, capacitación, años de vida del colaborador, entre otros, como aspectos que configuran la capacidad de absorción de las empresas que puede traducirse en innovaciones.
Heinis, Gollet y Meboldt (2016) establecen que la educación de los colaboradores, que implica experiencia, conocimiento y habilidades, lleva a una mayor capacidad de innovación, puesto que los individuos con alta educación tienen mayor habilidad de comprender, crear y procesar información. También los hallazgos empíricos indican que la edad es crucial para la innovación. Por ejemplo, Gunawan et al. (2013) argumentan que los jóvenes son menos proclives a establecer rutinas y más abiertos a nuevas ideas y oportunidades y, por ende, a involucrase en procesos innovativos. En contraste, Ng y Feldman (2013) sostienen que los trabajadores más viejos no muestran comportamientos menos innovadores que los jóvenes; de este modo, no hay consenso sobre el efecto de la edad en la capacidad de innovación del individuo.

Esto se replica para la relación entre innovación y género. Por una parte, hay evidencia de que las empresas dirigidas por mujeres tienden a innovar más frente a aquellas dirigidas por hombres (Torchia, Calabro, Gabaldon, y Kanadli, 2018). Sin embargo, Crowden (2003) señala que es más probable que los hombres innoven dadas sus características personales. Asimismo, Salome, Damilola y Sunday (2013) argumentan que hay menos mujeres innovadoras y que los puestos dominados por hombres son más innovadores. Por último, Ruiz y Fuentes (2016) señalan que la diversidad de género en la empresa potencia la capacidad de innovación.
Además, la literatura tiende a centrarse en el estudio de dueños o directivos como factor de innovación en las empresas de menor tamaño, y encuentra que los atributos del dueño (voluntad, valor, metas, etc.) son centrales (de Massis, Audretsch, Uhlaner, & Kammerlander, 2017). Protogerou, Calogrhirou y Vonortas (2017) sostienen que el capital humano de los dueños-fundadores determina el desempeño innovador. En contraste, para Minetti, Murro y Paiella (2015) la concentración de la toma de decisiones en el dueño, usual en las mypes, afecta negativamente el comportamiento individual de innovación. Sin embargo, siguiendo a Parida, Westerberg y Frishammar (2012), la insuficiencia de atributos personales de los dueños lleva a que las habilidades innovativas de los no-propietarios sean consideradas en el proceso; si bien no hay consenso, se esperaría que los dueños tengan altas habilidades de innovación por haber emprendido un negocio.
Por último, la antigüedad del individuo en la empresa es un factor que influye en las habilidades de innovación. Abraham (2012) señala que los empleados con apego emocional y pasión por el trabajo son los más capaces para innovar. Como esta satisfacción es fundamental para la capacidad innovativa, las empresas crean mecanismos para la retener a los empleados (Adhikari, Choi, & Sah, 2017) y acumular conocimiento en el largo plazo, mediante el learning-by-doing.
Las actividades de innovación dependen de las características internas de las organizaciones. Las mypes enfrentan recursos limitados en términos de capital, estructura, tecnología, procesos, etc., por lo que, cuanto más pequeña sea una empresa, mayor será la dependencia de la conducta innovativa del personal.
La literatura no es concluyente respecto a la relación entre tamaño de la empresa e innovación. Para Tavassoli (2015), cuando esta es grande, sus capacidades de innovación también lo son, principalmente en industrias maduras, y aumenta la probabilidad de involucrarse en esas actividades (Beyza, Taselb, & Apakc, 2014). El tamaño favorece la innovación al representar mayores flujos de financia-miento, prorrateo de deuda y acceso a un rango amplio de conocimiento y capital humano. En contraste, dada la flexibilidad de las pequeñas empresas, cuando siguen estrategias basadas en la cultura organizacional para generar y aplicar ideas de valor, estas pueden alcanzar mejores desempeños innovadores (Terziovski, 2010).
Del mismo modo, el espíritu innovador se asocia con la edad de la empresa sin que la evidencia sea concluyente. Por un lado, las empresas jóvenes tienen la ventaja de la adaptación en etapas tempranas del ciclo de vida, siendo más propensas a innovar, pero dejan de hacerlo al crecer y al enfrentar mayor competencia (Yildiz, Bozkurt, Kalkan, & Ayci, 2013). Por el contrario, la mayor edad representa un stock de recursos, conocimiento y red de relaciones -clientes, proveedores, etc.- que facilitan la innovación (Oum et al., 2014).
Para Autio, Kenney, Mustar, Siegel y Wright (2014) el contexto regional -proximidad y diferencias sectoriales- condicionan la innovación de las empresas de menor tamaño. Las mypes tienen recursos y capacidades limitadas, por lo que aquellas con relaciones cercanas con el mercado disfrutan ventajas para la innovación (Heru, 2016). Así, la cantidad de empresas y su cercanía con clientes desarrolla competencias para la innovación.
De este modo, la naturaleza del proceso de innovación depende tanto de la región como del sector, y es función de atributos individuales y propios a cada mype. Como el proceso innovador está determinado por la acción humana, el nivel de desarrollo de habilidades de innovación en los individuos es influido por estas dimensiones. A partir de lo anterior, se establecen las siguientes hipótesis respecto a que los individuos con mayor educación (Hl), de mayor edad (H2), de género femenino (H3), con jerarquía laboral mayor (H4), con mayor tiempo en la empresa (H5), en empresas de mayor tamaño (H5), en empresas con más años de operar (H7), en empresas del sector industrial (HS) y ubicadas en Iztapalapa (H9) tienen más habilidades de innovación.
En este contexto, la variable dependiente son las habilidades de innovación medidas por el ICHII, redefinida como dicotómica, por lo que el valor es 1 cuando el ICHII > 8 y 0 en cualquier otro caso. Las variables independientes son las siguientes: nivel de estudios (est), con valor de 1 cuando el individuo tiene estudios de doctorado y 0 en cualquier otro caso; edad (ed), que representa la experiencia del colaborador medido por la edad en número de años en logaritmo; género (gen), que toma valor 1 cuando es femenino y 0 cuando es masculino; puesto laboral (pue), que es una dummy igual a 1 si es dueño y 0 en cualquier otro caso; antigüedad (ant), que se mide como el número de años de prestar servicio en la empresa, en logaritmo; el tamaño de la empresa se recoge por la variable dicotómica tam, igual a 1 si es pequeña y 0 si es micro; los años de operación de la empresa, per, en logaritmo; se considera una dummy sectorial (sec) y una regional (reg) siendo las categorías de control la industria y el municipio de Iztapa-lapa3, respectivamente.
Se diseñó un cuestionario para cuantificar las habilidades de innovación a nivel individual. El instrumento de 40 preguntas considera una escala tipo Likert con cinco posiciones. La información se recolectó en 14 semanas durante el 2017, mediante visita directa a más de 2.000 establecimientos en la ZMVM (muestreo por "conveniencia"). El equipo de trabajo trató de mantener el azar y alcanzar una distribución sectorial para conseguir una muestra representativa (muestreo por juicio). Se sigue un muestreo estratificado, determinado por la importancia relativa de las mypes de cada municipio.
Los datos recolectados se analizan desde la estadística descriptiva y se examina la dimensionalidad de la escala a través del análisis exploratorio y confirmatorio. De esta manera, ninguna variable tiene más de 3% de datos perdidos y solo once casos tienen datos faltantes en un ítem; dado el tamaño muestral, estos casos se excluyen. Solo el 0,64% de los casos son valores atípicos univariados (Z-scores > ±3.29); de estos, 12,4% muestra atipicidad multivariante de acuerdo con los p-valores menores a 0,001, obtenidos a partir de cálculo de la distancia de Mahalanobis.
Al final, la muestra se compone de 1.010 participantes, cumpliendo criterios de representatividad4. Con respecto a la asimetría, ninguno de los ítems muestra valores fuera del rango aceptado de ±2 y para la curtosis el 95% de los ítems cae en este rango, considerándose en general como aceptables (George & Mallery, 2011).
Aparte, se realizó análisis factorial exploratorio (AFE) y confirmatorio (AFC). En el primero, los datos se exploran para encontrar una estructura subyacente del fenómeno y obtener información acerca del número de factores que representan los datos; el segundo permite verificar la estructura factorial y probar si existe una relación entre estas variables y sus constructos subyacentes.
El método de extracción seguido en el AFE es el de factorización del eje principal. El índice Kaiser-Meyer-Olkin (KMU) es 0,937, por arriba del rango mínimo señalado por Hair, Black, Babin y Anderson (2010), puesto que los patrones de correlaciones son relativamente compactos. El test de esfericidad de Barlett es significativo (distribución χ2 y 840 grados de libertad, con valor de 10.748, p < 0,000). Por tanto, las variables pueden expresarse como una combinación lineal de otras y se garantiza la viabilidad del análisis factorial.
Tanto la regla Kaiser-Guttman como el gráfico de sedimentación, basados en los valores propios mayores a 1, señalan la extracción de siete factores. Después de la rotación, que genera una estructura factorial más homogénea (de Roover, Vermunt, Timmerman, & Ceulemans, 2017), los factores resultantes explican el 54,8% de la varianza, arriba del porcentaje mínimo para factores exitosos (Bartholomew, Knott, & Moustaki, 2011). Asimismo, las variables se saturan con los siete factores con cargas de al menos 0,40; con la excepción de liderazgo y acción, cada ítem satura en un solo factor. Se aprecian valores de las comunalidades superiores a 0,30, por lo que la contribución de cada variable a la varianza es aceptable.
Al comparar las cargas factoriales de cada ítem en los siete factores, se observa que en el primero se agrupan aspectos de las variables acción, implementación y monitoreo, reflejando la dimensión "implementación y monitoreo". Los aspectos asociados con liderazgo saturan el factor dos, y representan esa misma dimensión. El factor tres recoge los ítems visión del futuro y planeación, para asociarse con la dimensión "planeación". Los ítems relaciones humanas y compromiso saturan conjuntamente el cuarto factor constituyendo la dimensión "relaciones humanas".
La nueva dimensión de "incertidumbre y error" se conforma por riesgo y tolerancia, valorar el error e incertidumbre, que saturan con altos valores relativos el quinto factor. En el sexto, aparecen construir y destruir y problemas y soluciones para asociarse en "cambio y soluciones". Finalmente, proceso creativo y combinar enfoques constituyen la dimensión "proceso creativo".
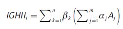
En general, se alcanza una estructura con factores independientes entre sí, donde las variables no saturan los otros factores. Así, el análisis sugiere que el instrumento se compone de siete factores. En concreto, los 40 ítems son parte del ICHII agrupados no en 15 indicadores sino en siete (figura 2). Por ende, el ICHII se calcula:


Siendo αj el factor de ponderación del j-ésimo ítem; Ai, el valor del ítem a partir de la respuesta obtenida; m, el número total de ítems en el indicador; βk, la importancia relativa del k-ésimo indicador; n, el número total de indicadores; e IGHIIl, el índice general del i-ésimo individuo. El término entre corchetes es el subíndice del j-ésimo ítem y el término fuera el subíndice del k-ésimo indicador. El rango del índice es [0 y 10], donde 10 indica la máxima habilidad individual para la innovación. Los factores de ponderación son idénticos al seguirse un enfoque sistémico.
Para el AFC, se sigue el método de estimación de máxima verosimilitud. El análisis señala que la χ2 es significativa (10.748 con 840 grados de libertad, p < 0,000). Se asume que existe correlación entre los errores de los indicadores, dado que fueron medidos con el mismo instrumento. Los índices sugieren un buen ajuste de los datos; por ejemplo, los índices absolutos GFI = 0,918; χ2/ gl = 1,99 y SRMR = 0,036; los índices relativos TLI = 0,932 y N FI = 0,914; y los índices de no-centralidad CFI = 0,956 y RMSEA = 0,033.5
Finalmente, se estima la consistencia interna a través del alfa de Cronbach. Se obtiene un valor de 0,908, superior al mínimo para la confiabilidad (Bartholomew et al., 2011). Cuando se elimina algún ítem, este indicador no mejora sustancialmente, manteniéndose, en consecuencia, el nivel de confianza.6 También se evalúa la validez convergente y divergente del instrumento. La primera, mide el grado en que los ítems de un concepto se correlacionan, por lo que un valor elevado significa que la escala mide el concepto deseado. Se emplea la varianza media extraída (VME), cumpliéndose que la varianza extraída para cada par de constructos es mayor a 0,50, considerándose como aceptable (Tona, Carlsson, & Eom, 2014).
La validez discriminante mide la diferencia teórica entre los constructos, por lo que se espera que muestren correlaciones bajas, lo que se contrasta calculando las correlaciones entre todos los pares de factores (21 en total). Se observa que, al 95% de confianza, ninguno de los intervalos de confianza de estas correlaciones contiene el valor 1, aceptándose su validez (Eom, Ashill, Arbaugh, & Stapleton, 2014).
Para la estimación econométrica se sigue el modelo logístico, comúnmente empleado en el análisis de los determinantes de la innovación (de Marchi, 2012). Esta metodología se usa cuando la variable dependiente es binaria, por lo que se considera un umbral arbitrario sobre el cual se asume que las habilidades de innovación están desarrolladas para contribuir positivamente. Así, si el ICHII > 8, la variable toma el valor de 1; si el ICHII ≥ 8, el valor es 0.
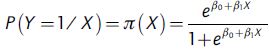
De acuerdo con Aziz (2017), el logit con estimador de máxima verosimilitud facilita comprender el cambio en la probabilidad de ocurrencia de un evento cuando las variables explicativas cambian. Esta regresión tiene ventajas como no establecer restricciones de normalidad ni en las variables ni en el término de error o la linealidad entre variables (Moscote & Arley, 2012). Si Y es una variable binaria y Xi, una variable independiente, el modelo se expresa así:

El término π(X) toma el valor de 1 con probabilidad P(Y= 1/X) o 0 con probabilidad (1-P(Y= 1/X)). La variable de interés (probabilidad de alcanzar el umbral del ICHII), representada por π(X), se transforma mediante la función logística definida como g(p) = ln[p/(1- p)]; donde p/(1- p) es la probabilidad de éxito asociada con las habilidades de innovación. El modelo logístico, lineal en los parámetros β0 y β1, toma la forma funcional g(π(X)) = β0+β1X. El campo de variación de g(π(X)) es entre los números negativos y positivos y el de π(Κ) entre 0 y 1. Se emplea el método de máxima verosimilitud para estimar β0 y β1. Cuando se tienen múltiples variables explicativas el modelo se reescribe así:

Los coeficientes estimados explican los cambios en la probabilidad y se expresan en logaritmos, por lo que para interpretarse se transforman mediante el antilogaritmo. Respecto a la significancia de las variables independientes, se emplea el estadístico Wald, en donde la hipótesis es que al menos un coeficiente influye en la probabilidad de alcanzar una alta habilidad individual para la innovación.
Se calcula un ICHII en las mypes de la ZMVM de 7,87. Esto es, la combinación de habilidades creativas, emocionales, de organización y de ejecución y mejora muestra un nivel de desarrollo inferior al umbral. Por entidad federativa, el Estado de México tienen el mayor índice (8,03) y la Ciudad de México (CDMX), el menor (7,70); Hidalgo se sitúa en medio (7,96) (tabla 1).

Considerando las habilidades por subíndice, se tiene que la principal fortaleza para las tres entidades reside en las relaciones humanas (subíndice más alto en los tres casos). Por tanto, los individuos en las mypes tienen habilidades de empatía, comunicación y colaboración desarrolladas que les facilita el proceso de innovación. Sobresale el hecho que los individuos en la CDMX -capital del país- no ocupan la primera posición en ninguna de las habilidades. En contraste, los colaboradores de las mypes en el Estado de México son los de mayores habilidades asociadas con el proceso creativo, la capacidad de liderazgo y la implementación.
La gráfica 1 muestra los datos del ICHII en el contexto municipal. Destacan Acolman, Tonanitla, Chicoloapan, Cuautitlán-Izcalli y La Paz con los mayores índices. En contraste, Milpa Alta, Cuautitlán, Tlalpan, Álvaro Obregón y Tultepec registran el menor desarrollo de habilidades. Iztapalapa y Ecatepec, los de mayor participación de mypes en la región, alcanzan índices de 7,7 y 7,9, respectivamente.

Cabe señalar que, contrario a lo que podría esperarse, dado el número de empresas y tamaño poblacional, los grandes municipios como Iztapalapa, Ecatepec, Cuauhtémoc, Gustavo Madero, Nezahualcóyotl, Venustiano Carranza, Naucalpan, Tlalnepantla y Tlalpan no aparecen en los primeros lugares del listado7. En contraste, los municipios más pequeños o con menor representatividad de mypes tienen fuerte presencia en el ranking.
Mediante máxima verosimilitud y luego de tres iteraciones se encontró la solución óptima de la estimación logit. Considerando el valor del estadístico chi-cuadrado (χ2=145,26) y del estadístico prob> χ2, se acepta que los coeficientes son conjuntamente significativos para explicar el índice de habilidades de innovación (se rechaza la hipótesis de que todos los coeficientes son iguales a cero).
En otras palabras, se tiene que los factores propuestos son determinantes del ICHII en las mypes de la ZMVM. La bondad de ajuste del modelo es alta, considerando que es una regresión logística en la que los resultados de las habilidades de innovación son binarios. Por ende, este tipo de Pseudo-R2 califica al modelo dentro del rango de confianza aceptable, indicando que tiene buen comportamiento (eficiencia predictiva del 64,8%). Por último, la estimación por clases identifica que el 77,3% de las variables están correctamente clasificadas.
La tabla 2 reporta los resultados. El nivel de estudios (est) influye significativamente en la probabilidad de alcanzar un alto nivel de habilidades de innovación, con coeficiente de 3,61 para el Test de Wald, con valor de significancia más bajo (p < 0,05). Las restantes variables con contribución a la probabilidad de elevados ICHII, ordenadas por significancia, son las siguientes: tamaño de la empresa, antigüedad, permanencia en el mercado, puesto laboral y género.

Estas dimensiones promueven las habilidades de innovación en el individuo y, en consecuencia, facilitan la creación de novedades para el mercado. Este resultado es consistente con otros estudios, por ejemplo, el nivel de estudios del trabajador (Fransen, 2013), las empresas con presencia femenina (Torchia et al., 2018), los propietarios de las empresas -y sus familias- (Minetti et al., 2015), y trabajadores satisfechos y su permanencia en la empresa (Adhikari et al., 2017) se relacionan positivamente con la capacidad innovativa.
Asimismo, Messeni et al. (2018) afirman, por un lado, que las empresas pequeñas exhiben una asociación positiva con la innovación basadas en conocimiento y, por otro, que las maduras permanecen con estándares de innovación elevados. Esto implica que el conocimiento y experiencia -antigüedad y tamaño- acumulada en el negocio contribuye a las habilidades innovativas del individuo. Por el contrario, la edad del colaborador es no significativa, sugiriendo que estas habilidades pueden crearse independientemente de los años de vida. Este hallazgo contrasta con el de Gunawan et al. (2013), quienes afirman que los jóvenes muestran mayores niveles de innovación.
Por otro lado, ni la variable sectorial ni regional influyen significativamente en la probabilidad de alcanzar valores altos del ICHII (ambos p mayores a 0,05). Esto significa que colaborar en empresas industriales o ubicadas en Iztapa-lapa, como categorías de referencia, no representa una ventaja en el desarrollo de habilidades de innovación. Estos resultados son similares, por una parte, al de Dahl y Rodríguez (2015), quienes encuentran escasas o nulas diferencias regionales en la innovación, puesto que la dotación de conocimientos regionales no ejerce efecto en esta y, por la otra, a Laforet y Tann (2006), quienes concluyen que las características innovativas de las pymes son similares en industria y servicios.
Los resultados obtenidos mediante la regresión logit confirman lo encontrado en el análisis descriptivo y lo señalado, al menos parcialmente, en la literatura del tema. Por ende, se soporta la premisa de que diferentes factores pueden, de forma independiente o en conjunto, influir en las habilidades de innovación a nivel individual en el contexto de las mypes. Estas dimensiones permiten que los colaboradores acumulen conocimiento, información, experiencias, responsabilidades, relaciones, etc., que se plasman en productos o procesos innovadores con efectos positivos en la capacidad de crecimiento de estas empresas.
De este modo, se estimó una relación directa entre estudios y habilidades de innovación. Resulta que los conocimientos adquiridos en estudios de posgrado representan una ventaja para desarrollar habilidades innovativas que, en última instancia, benefician a la empresa en sus procesos innovadores. Estas habilidades permiten entender que la mayoría de emprendedores innovadores en el país (54%) tengan este nivel de educación (Dosal, Gutiérrez, & Saracho, 2017).
Asimismo, si bien las mujeres son adversas al riesgo (Sundheim, 2013), traduciéndose en menor involucra-miento en actividades de innovación, se halla una relación positiva entre género femenino e ICHII alto. Este resultado explica el hecho de que en México las mujeres tienen mejor desempeño que los hombres en las ventas domésticas y que la mayoría de pymes sea liderada por mujeres (Velázquez, 2015). En cualquier caso, estas habilidades contribuyen a que participen con el 38,6% de los emprendimientos en el ámbito nacional (Instituto Nacional del Emprendedor [Inadem], 2017).
Se observa la existencia de un vínculo directo entre dueños y habilidades de innovación, posiblemente como consecuencia del papel determinante en la toma de decisiones que desempeñan. El tipo de decisiones que toman son principalmente no estructuradas (Navarrete, 2013), lo que se asocia con distintas habilidades captadas en el ICHII. Así, valores, pensamientos y motivaciones del dueño modelan acciones y actitudes ante la innovación. También los vínculos que establece el dueño con colaboradores significan un mecanismo de retroalimentación de habilidades de innovación.
Aparte, la permanencia del trabajador en la empresa contribuye al desarrollo de habilidades de innovación. En la medida que pasan más tiempo en las mypes adquieren habilidades generales que favorecen las de innovación, lo que se complementa con la asimilación de criterios, prácticas y enfoques desde el dueño, estimado como el de mayores habilidades innovativas. La antigüedad en la empresa se asocia con una cultura organizacional que genera trabajadores motivados, abiertos al cambio y con disposición para crear, lo que incentiva la innovación (Alvarado & Pumisacho, 2015).
La relación directa entre tamaño y habilidades indica que las personas que laboran en pequeñas empresas tienen ventaja sobre las que trabajan en microempresas. En las primeras, se alcanza una masa crítica de trabajadores que construyen sinergias, lo que favorece la comunicación, formalización, compromiso entre colaborador y empresa, y balance de autonomía y jerarquía entre colaborador y dueño, similar a lo señalado por Cleri (2013).
Por ende, las diferencias de tamaño entre micro y pequeñas empresas incentiva las actividades de innovación de los trabajadores, idea que se asocia con la argumentación de Briozzo, Vigier, Castillo, Pesce y Speroni (2016), quienes señalan que la diferencia de tamaño se refleja en aspectos como planificación, empleados con educación profesional, forma legal y acceso a financiamiento.
De igual forma, los años de operación de la empresa mantienen relación directa con la probabilidad de alcanzar mayores habilidades. Esto sugiere que conforme las mypes acumulen años en el mercado, amplían su stock de conocimientos para adaptarse a las nuevas condiciones, implicando reestructuraciones en procesos, en cantidades y calidades de los productos y en tareas de los colaboradores (Gálvez & García, 2012). En este proceso, los individuos desarrollan habilidades para participar en actividades de innovación. Por ende, el aprendizaje organizativo, derivado del tamaño y de los años de operar, incide en el aprendizaje individual.
El cálculo del ICHII y las estimaciones proporcionan una mayor comprensión de las características del individuo, de la empresa y del ambiente externo respecto a las habilidades de innovación. Categorizar la innovación por esta vía representa un enfoque sistémico comparado con metodologías previas, que cuantifican la innovación desde un nivel en el que el individuo solo juega un papel implícito, ofreciendo, en consecuencia, una visión más extensa para los hacedores de política y directivos de empresas.
A partir de las interrelaciones entre las siete dimensiones del ICHII, obtenidas a partir del análisis factorial, el ICHII describe la realidad del conjunto de capacidades y actitudes de los individuos en las mypes de la Zona Metropolitana del Valle de México, pudiendo aplicarse en otros territorios. Disponer de esta información tiene un doble valor: por un lado, permite que las mypes conozcan su potencial de innovación individual, a partir del cual pueden tomar decisiones respecto a la implementación de proyectos de cambio, formales o no; por otro, el ICHII provee información para diseñar políticas y programas de desarrollo de sistema productivos a partir de las habilidades de innovación para un grupo de empresas con características similares, propiciando la asociatividad necesaria para el desarrollo local.
El desarrollo de las habilidades individuales de innovación parece una alternativa cuando menos viable para este tipo de procesos en las mypes, que disponen de recursos económicos limitados. Por tanto, programas de fomento de las habilidades incluidas en el ICHII representan una estrategia de bajo costo, al posibilitar que las empresas, a partir de sus propias competencias y el contexto externo, generen innovaciones de valor.
En concreto, una alternativa transversal de política pública para el desarrollo de las habilidades de innovación a nivel individual es intensificar el fomento del emprendimiento-emprendurismo y el apoyo, económico o no, de las microempresas, de naturaleza familiar, principalmente lideradas por mujeres con estudios de posgrado. Este apoyo debe permanecer hasta que la unidad productiva alcance un umbral de años de operación y un nivel mínimo de trabajadores tal que trascienda hasta la fase de pequeña empresa. El apoyo puede indexarse al logro de metas económicas y al desarrollo de habilidades de innovación medidas por el ICHII.
*DIRECCIÓN DE CORRESPONDENCIA: Omar Neme Castillo. Plan de Agua Prieta n.° 66 Col. Plutarco Elías Calles, Unidad Profesional Adolfo López Mateos, Casco de Santo Tomás, Miguel Hidalgo, C.P. 11340, Ciudad de México, México.





