RESUMEN: El presente trabajo aborda la relación entre tamaño de la firma y desempeño innovador desde un análisis de metarregresión (AMR). La diversidad de coeficientes de regresión estimados reportados por la literatura empírica lleva a preguntarse si dicha disparidad se debe a la variabilidad muestral o si existen otros factores que moderan esta relación. El AMR es una metodología que permite responder esta pregunta y mediante la cual se pueden detectar sesgos en la publicación de resultados de investigaciones empíricas. A partir de una intensa revisión bibliográfica y de la conformación de una muestra de 125 artículos que reportan un total de 880 estimaciones econométricas de la citada relación, se analiza la presencia de heterogeneidad y de sesgo de publicación. Los resultados señalan indicios de sesgos de publicación; una vez descontado dicho sesgo, se observa la persistencia de un efecto positivo del tamaño de la firma sobre el desempeño innovador.
PALABRAS CLAVE: análisis de metarregresiónanálisis de metarregresión,empresas industrialesempresas industriales,innovación tecnológicainnovación tecnológica,sesgo de publicaciónsesgo de publicación.
ABSTRACT: This work addresses the relationship between firm size and innovative performance from a meta-regression analysis (MRA). The diversity of estimated regression coefficients reported by the empirical literature poses the question of whether such disparity in results is due to sampling variability or if there are other factors affecting this relationship. MRA allows both answering this question and also identifying biases in the disclosure of empirical research results. Through the review of 125 articles that report a total of 880 econometric estimates of the aforementioned relationship, we examine the existence of heterogeneity and disclosure biases. The results show evidence of disclosure biases. Although once this situation is discounted, firm size shows a steady positive effect on companies' innovative performance.
KEYWORDS: Meta-regression analysis, industrial companies, technological innovation, disclosure bias.
RESUMO: Neste trabalho, aborda-se a relação entre tamanho da empresa e desempenho inovador sob a análise de metarregressão. A diversidade de coeficientes de regressão estimados relatados pela literatura empírica leva à pergunta de que se essa disparidade se deve à variabilidade amostral ou se existem outros fatores que interferem nessa relação. A análise de metarregressão é uma metodologia que permite responder a essa pergunta e mediante a qual podem ser detectados vieses na publicação de resultados de pesquisas empíricas. A partir de uma intensa revisão bibliográfica e da conformação de uma amostra de 125 artigos que relatam um total de 880 estimativas econométricas dessa relação, é analisada a presença de heterogeneidade e de viés de publicação. Os resultados dão indícios de vieses de publicação. Após se descontar esse viés , é observada a persistência de um efeito positivo do tamanho da empresa sobre o desempenho inovador.
PALAVRAS-CHAVE: análise de metarregressão, empresas industriais, inovação tecnológica, viés de publicação.
RÉSUMÉ: Ce travail aborde la relation entre la taille de l'entreprise et la performance innovante à partir d'une analyse de méta-régression (AMR). La diversité des coefficients de régression estimés rapportés par la littérature empirique soulève la question de savoir si cette disparité est due à la variabilité de l'échantillon ou s'il existe d'autres facteurs qui modèrent cette relation. L'AMR est une méthodologie qui permet de répondre à cette question et à travers laquelle on peut détecter des biais dans la publication des résultats de la recherche empirique. Sur la base d'une revue bibliographique intensive et de la conformation d'un échantillon de 125 articles qui rapportent un total de 880 estimations économétriques de la relation susmentionnée, on analyse la présence d'hétérogénéité et de biais de publication. Les résultats montrent des indices de biais de publication ; une fois ce biais écarté, on observe la persistance d'un effet positif de la taille de l'entreprise sur la performance innovante.
MOTS-CLÉ: analyse de méta-régression, entreprises industrielles, innovation technologique, biais de publication.
Innovación
Desempeño innovador y tamaño de la firma: heterogeneidad y sesgo de publicación abordados desde un análisis de metarregresión
INNOVATIVE PERFORMANCE AND FIRM SIZE: HETEROGENEITY AND DISCLOSURE BIASES VIA META-REGRESSION ANALYSIS
DESEMPENHO INOVADOR E TAMANHO DA EMPRESA: HETEROGENEIDADE E VIÉS DE PUBLICAÇÃO ABORDADOS SOB UMA ANÁLISE DE METARREGRESSÃO
PERFORMANCE INNOVANTE ET TAILLE DE L'ENTREPRISE: HÉTÉROGÉNÉITÉ ET BIAIS DE PUBLICATION ABORDÉS À PARTIR D'UNE ANALYSE DE MÉTA-RÉGRESSION
Recepción: 27 Diciembre 2018
Aprobación: 04 Mayo 2020
La literatura económica en temas de innovación postula el tamaño de la empresa como un factor que incide en su desempeño innovador (DI), que no es neutral. Por un lado, parte de la teoría económica respalda la relación directa entre ambas variables fundamentada, por ejemplo, en que las empresas grandes tienen ventajas como economías de escala y alcance o facilidades financieras a la hora de innovar; por otro lado, parte de la teoría justifica que la relación es inversa aduciendo, entre otros argumentos, el efecto negativo de la burocracia corporativa y la falta de incentivos o la flexibilidad de las pymes para hacer cambios en su operatoria. De lo anterior, surge la conclusión de que no hay una única relación entre estas variables1, lo que motiva profundizar su estudio. Asimismo, los resultados empíricos también dan cuenta de esta disparidad y, aún controlando por variables sectoriales, las estimaciones econométricas ofrecen coeficientes muy heterogéneos y con signo tanto positivo como negativo. Ahora bien, ¿dicha heterogeneidad es producto de diferentes muestras o puede explicarse por otros factores tales como particularidades contextuales o las metodologías de análisis empleadas?
Este trabajo constituye una aplicación del análisis de metarregresión (AMR), que permite comparar la evidencia proporcionada por trabajos que estiman econométricamente la relación de interés - i. e., el efecto del tamaño de la empresa sobre el DI- y, a partir de las diferencias entre los estimadores puntuales, explicar la variabilidad observada en función de variables a nivel estudio. Asimismo, es posible evaluar si existe asociación entre los coeficientes de regresión estimados y su nivel de precisión. En el campo de la economía de la innovación, hay cierto consenso de una relación positiva entre tamaño de la firma y DI. En este sentido, cabe preguntarse si existe algún mecanismo -i. e., sesgo de publicación- que privilegie la divulgación de ciertos resultados consistentes con la teoría por sobre otros, a costa de perder precisión en las estimaciones. Y, de ser así, ¿cuál es el efecto que persiste una vez descontado dicho sesgo? Este tipo de análisis es relevante, en tanto permite evaluar la evidencia generada por la comunidad académica que luego se incorpora en el diseño de políticas públicas.
El primer paso del AMR consiste en una revisión de la literatura, con el fin de obtener una muestra de trabajos aplicados que estimen econométricamente la relación entre DI y tamaño, a nivel de la empresa. La muestra final se compone de 125 artículos que reportan 880 estimaciones de dicha relación, con características diversas que, potencialmente, pueden contribuir a entender la heterogeneidad en las estimaciones: diferentes países, sectores, tipos de empresa y modelización econométrica empleada, entre otros2. La presente investigación tiene por objetivo i) cuantificar el grado de heterogeneidad no atribuible a variabilidad muestral en los estimadores puntuales; ii) indagar sobre la existencia de sesgos de publicación en la literatura revisada, y iii) estimar el efecto de tamaño promedio o "genuino", es decir, corregido ante dicho sesgo.
Luego de esta introducción, el trabajo continúa con la síntesis de los principales aportes teóricos sobre la relación entre tamaño de la empresa e innovación y describe la metodología del metaanálisis en general y del AMR en particular; después, se detalla la forma en que se conformó la muestra para, posteriormente, hacer referencia al análisis descriptivo y presentar los resultados del AMR. Finalmente, se concluye con algunas reflexiones.
La noción de que el tamaño de la empresa es un factor relevante para estudiar el cambio tecnológico tiene sus orígenes en los trabajos de Schumpeter (1935, 1942) y su interpretación del desarrollo capitalista, que es motorizado por la generación de nuevas combinaciones de factores productivos introducidas al mercado. Este mismo autor anticipa tanto una relación inversa como directa en su obra. En un primer momento, desarrolla el concepto de "destrucción creadora" a partir de emprendedores o nuevas empresas que irrumpen en el mercado mediante innovaciones y desplazan a las empresas grandes que dominan el mercado. En su obra de 1942, este modelo cambia y son las grandes corporaciones las que internalizan actividades de innovación y obtienen ventajas competitivas para dominar el mercado en una "acumulación creadora".
Estas dos dinámicas serán tomadas por Nelson y Winter (1982) para hablar de regímenes tecnológicos sectoriales, que permiten explicar el ritmo innovador en distintos sectores, cobrando relevancia los procesos internos de aprendizaje (Breschi et al., 2000; Leal-Rodríguez et al., 2015). Sin embargo, al interior de dichos sectores pueden encontrarse diferencias en el tamaño de las empresas, así como en su DI, sin que las investigaciones sean concluyentes acerca de la magnitud y la dirección de la relación entre ambas variables una vez que se controla por sector.
En la perspectiva de Cohen (2010), existe cierto consenso teórico acerca de un efecto positivo del tamaño de la empresa sobre su DI, que apoya el modelo de acumulación creadora. Esta relación positiva se explica comúnmente por las ventajas crediticias de las empresas grandes para financiar proyectos (de-Oliveira & Rodil-Marzábal, 2019), economías de escala y alcance de la actividad innovadora (Petruzzelli et al., 2018) y su complementariedad con actividades no operativas, como el marketing (Cohen, 2010). A estos argumentos se oponen aquellos que postulan a las pymes como organizaciones más flexibles y abiertas al cambio (Petruzzelli et al., 2018), sin las trabas burocráticas de las grandes empresas (Forés & Camisón, 2016), con el fin de explicar estimaciones de una relación inversa entre tamaño y desempeño innovador (Camisón et al., 2002). Un último argumento radica en la lógica subyacente al proceso innovador en las pymes: o bien los recursos disponibles limitan y definen los objetivos de innovación (Berends et al., 2014), o bien se pueden usufructuar recursos y capacidades externas para generar innovaciones en un proceso de innovación abierta (Teplov et al., 2019). Ambos ejemplos permiten entender la innovación sin hacer énfasis en los recursos internos disponibles, principal ventaja de las empresas grandes3.
En términos empíricos, hay una fuerte heterogeneidad entre los estimadores puntuales -i. e., coeficientes de regresión estimados- que surgen de la estimación econométrica de esta relación (Becheikh et al., 2006; Camisón et al., 2002). Revisiones recientes de la literatura (Cohen, 2010; Hall & Mairesse, 2006; Rosenbusch et al., 2011) señalan evidencia de una relación a veces directa, otras inversa, o aún no lineal entre el tamaño de la empresa y su DI.
La persistencia de estas disparidades ha motivado varios trabajos en el campo de la innovación en general (Damanpour, 1991; Duran et al., 2016; Montoya-Weiss & Calantone, 1994) y del problema de la relación del tamaño de la empresa con su DI en particular (Camisón et al., 2002; Damanpour, 1992, 2010) mediante técnicas de metaanálisis (tabla 1). El horizonte temporal de estos últimos dos antecedentes cubre hasta principios de la década del 2000, por lo que un primer aporte de la presente investigación es efectuar el análisis con publicaciones más recientes.

Las conclusiones de estos trabajos se enfocan en identificar aquellos factores que contribuyen a la variabilidad de resultados. Camisón et al. (2002) muestran que, si bien predomina una relación positiva, esta se ve influida por la forma de medir el tamaño de la firma, por las características sectoriales y por elementos internos como las estrategias adoptadas. En la misma dirección apuntan los resultados de Damanpour (1992), que añade la importancia del tamaño de la empresa en la fase de la implementación más que del inicio del proceso innovador. No obstante, cabe aclarar que ninguno de estos trabajos aplica AMR.
Finalmente, estas revisiones aportan dimensiones relevantes al estudio de la innovación, pero no incorporan dos cuestiones abordadas en el presente trabajo. En primer lugar, recuperan evidencia empírica para países desarrollados (como única excepción aparece China), lo que excluye del análisis a las economías emergentes en general y a América Latina en particular. En segundo lugar, no abordan el problema del sesgo de publicación, que se introduce en la siguiente sección.
Se define el AMR como la aplicación de un conjunto de técnicas estadísticas convencionales con el objetivo de sintetizar los resultados empíricos obtenidos en determinadas áreas del conocimiento científico (Krassoi et al., 2009). El AMR constituye una secuencia de pasos que inician en la recolección de datos secundarios -e. g., coeficientes de regresión estimados, cocientes de chances, riesgos relativos-y terminan en la estimación de un modelo econométrico que explica la heterogeneidad entre los resultados observados en los trabajos empíricos. El objetivo de esta metodología consiste en el estudio del conocimiento científico formalizado disponible en un determinado campo4 (Stanley, 2001; Stanley & Doucouliagos, 2012; Stroup et al., 2000). En consecuencia, se basa en la evidencia presentada en ámbitos científicos, ya sean publicaciones académicas -e. g., revistas especializadas o libros- o literatura "gris" -e. g., actas de congresos, working papers y trabajos no publicados- (Stanley, 2001; Stanley & Doucouliagos, 2012).
La población objetivo del AMR se compone de aquellos estudios académicos que presenten estimaciones de la relación entre las variables de interés, y que cumplan con los criterios de inclusión adoptados (Stanley & Doucouliagos, 2012). Una de las bondades del AMR es la posibilidad de su replicación, por ende, dichos criterios deben enunciarse explícitamente y contribuir a acotar la búsqueda y a minimizar los sesgos inherentes a esta (Stanley & Doucouliagos, 2012; Stroup et al., 2000). El tamaño de la población en algunos casos es tan grande que necesariamente hay que trabajarlo con una muestra representativa, como en este caso.
Una importante contribución del AMR al análisis de literatura cuantitativa consiste en estimar y controlar por sesgos de publicación para identificar los efectos de tamaño representativos (Dimos & Pugh, 2016). Según Card y Krueger (1995), el sesgo de publicación surge cuando los evaluadores o editores de una revista científica están más predispuestos a publicar trabajos consistentes con la visión tradicional, cuando los investigadores comparan sus resultados con los convencionalmente esperados a modo de contraste estadístico, o cuando cualquiera de ellos muestra predisposición a tratar los resultados estadísticamente significativos más favorablemente. Stanley (2005) identifica dos tipos de sesgos en los resultados: o bien van en la dirección propuesta por la teoría, o bien son estadísticamente significativos e "interesantes". Como consecuencia se observa una sobrerrepresentación de estimaciones -de un signo o nivel de significación determinados- en la evidencia publicada, mientras que otros tipos de resultados permanecen ocultos.
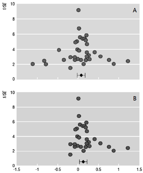
En ausencia de sesgo de publicación, la distribución de los efectos de tamaño en función de su nivel de precisión asemejará un embudo invertido (figura 1). Tal como explican Sutton et al. (2000), la forma de embudo indica que los efectos menos precisos, que son los más numerosos, tienen un mayor rango de valores. Sin embargo, como los estudios con estimadores de cierto signo o significatividad tienen menores chances de ser publicados, darán lugar a una distribución asimétrica5. A modo de ejemplo, la figura 1.B presenta la distribución de efectos de tamaño truncada, en la que los efectos de tamaño negativos no aparecen publicados.

Estos gráficos de embudo o funnel plots son diagramas de dispersión que muestran el valor del efecto de tamaño en función de su nivel de precisión (Stanley, 2005; Stanley & Doucouliagos, 2012; Sterne & Egger, 2001). La precisión del efecto, en términos prácticos, se refiere al error estándar, la varianza o el tamaño muestral relativos al coeficiente (Sterne & Egger, 2001; Sterne et al., 2011). En estos gráficos es posible identificar valores extremos y caracterizar la distribución de los efectos de tamaño y el grado de heterogeneidad entre ambos (Stanley & Doucouliagos, 2012). De existir un efecto de tamaño representativo de la relación estudiada, se espera que los efectos más precisos se concentren alrededor de dicho valor.
La población objetivo de esta investigación corresponde a artículos académicos de carácter cuantitativo con datos a nivel de la empresa, que estiman el DI en función del tamaño de la firma, entre otras variables explicativas. El objetivo es obtener estimaciones econométricas de dicha relación, ya sea como relación principal del artículo o donde el tamaño resulte una de las variables de control.
La muestra surge de una primera búsqueda realizada entre julio y octubre del 2017 y una búsqueda complementaria durante los meses de junio y julio del 20186. Previo a esta, se efectuó una prueba piloto a partir de las revisiones sobre la literatura de innovación de Becheikh et al. (2006) y Cohen (2010), que permitieron aclarar los criterios para buscar los artículos objetivo de este estudio (Stanley & Doucouliagos, 2012). En ambas revisiones se hace un análisis sobre los avances en este campo, en términos tanto empíricos como teóricos. Las referencias bibliográficas de estos dos trabajos sirvieron como punto de partida al tiempo que aportaron cerca del 27% de los artículos de la muestra.
Una vez garantizada la posibilidad de contar con información empírica comparable, se formalizaron los criterios de inclusión para completar la muestra, en la que se incluyen artículos con las siguientes características:
Con los criterios antes expuestos, se procedió a buscar en las bases de datos de la American Economic Association (Econlit), Jstor, SSRN y SciELO. Se consultó además el archivo de la revista Technovation, por considerarse de referencia en el tema. Para garantizar la representatividad de la literatura de América Latina, se buscó específicamente en Scholar Google aquella literatura para los países de la región. Finalmente, para la evidencia en Argentina se revisaron los Anales de la Asociación Argentina de Economía Política, de la revista PyMEs, Innovación y Desarrollo y actas de congresos. En una segunda instancia, se consultaron las bases de Scopus y los repositorios institucionales Bielefeld Academic Search Engine (BASE) y LA Referencia7. A continuación, se resumen las principales características de la búsqueda. Una síntesis se presenta en la tabla 2.

Del total de 125 artículos, se extrajeron 880 coeficientes de regresión estimados, siendo la media de siete estimaciones por artículo, con un mínimo de una estimación y un máximo de 36 estimaciones en un mismo artículo8. Es importante subrayar el hecho de que la relación estudiada entre DI y tamaño de la firma no es el objetivo del análisis econométrico de todos los artículos incluidos. Si bien el DI es la variable a explicar en todos los modelos, el tamaño de la empresa aparece frecuentemente como variable de control, dado que su importancia teórica es tal que se incluye en la estructura de medias de los modelos para evitar sesgos de variable omitida. En la metodología del AMR, la diferencia entre variable independiente y de control no es relevante, puesto que ambas aportan evidencia para explicar una misma variable dependiente (Stanley & Doucouliagos, 2012).
Con el fin de comparar la evidencia empírica disponible referida a una determinada hipótesis, es necesario conocer el efecto de tamaño que constituye la "medida que cuantifica la asociación entre variables" (Stanley & Doucouliagos, 2012, p. 20). Existen múltiples medidas de efectos de tamaño: coeficientes de regresión, correlaciones de orden cero y elasticidades, entre otros (Stanley & Doucouliagos, 2012). Si bien todas estas medidas dan cuenta de la dirección e intensidad de la asociación entre variables, es importante distinguir entre efectos estadísticos y económicos: los primeros son medidas de asociación sin unidad de medida y, por ende, comparables entre sí; los últimos miden efectos generalmente ligados a efectos marginales, lo que implica tener en cuenta la unidad de medida de las variables de interés.
Para lograr efectos de tamaño en una misma escala, una alternativa es el uso de coeficientes de correlación parcial (CCP). Estos carecen de unidad de medida y muestran la magnitud y dirección de la asociación entre variables (Dimos & Pugh, 2016; Stanley & Doucouliagos, 2012). Se define el CCP y su error estándar como:

Donde t es el valor del estadístico de contraste de significación del coeficiente de regresión y gl los grados de libertad del modelo del que se extrae (Dimos & Pugh, 2016; Stanley & Doucouliagos, 2012). El CCP tiene un rango de valores acotado entre -1 y 1, por lo que se interpreta de forma similar al coeficiente de correlación de Pearson, con la diferencia de que la intensidad de la asociación estadística se pondera por los grados de libertad del modelo del que se extrae el estimador. Esta medida estandarizada tiene la ventaja de calcularse fácilmente, puesto que se construye a partir de información usualmente disponible, tal como errores estándar o los propios valores t de los estimadores.
Una primera formalización del grado de heterogeneidad es la prueba Q estándar (Stanley & Doucouliagos, 2014). Bajo una lógica idéntica a la de la prueba chi-cuadrado, esta consiste en medir las diferencias entre los efectos observados y su distribución esperada (Viechtbauer, 2007). La hipótesis nula de la prueba es la de homogeneidad y el estadístico Q ~ X2n-1, siendo n la cantidad de observaciones. Si bien esta prueba es más objetiva que la inspección visual, lo cierto es que en aplicaciones económicas casi siempre se rechaza la hipótesis de homogeneidad (Stanley & Doucouliagos, 2012) y pierde potencia para muestras con menos de 40 casos (Viechtbauer, 2007).
A partir de la inspección visual de los datos y del contraste de heterogeneidad es que se procede a su análisis econométrico. Existen varios métodos para efectuar estas pruebas, y su objetivo radica fundamentalmente en determinar la existencia de un efecto de tamaño promedio o "genuino" y de sesgo de publicación (Stanley & Doucouliagos, 2012; Viechtbauer, 2010). Dichas pruebas constituyen la primera parte del AMR. El punto de partida es la regresión entre los efectos de tamaño y su error estándar:

Esta regresión se conoce como "prueba de Egger" de asimetría (Egger et al., 1997), y permite medir tanto la asimetría de la distribución (prueba FAT9), como efectuar el análisis del "efecto genuino" (prueba PET10) a partir del nivel de significación de los coeficientes estimados. La ausencia de asimetría se postula bajo la hipótesis nula H0) β1=0 y la ausencia de un efecto genuino bajo la hipótesis nula H0) β0 =0. Puesto que se espera que el error estándar de los efectos de tamaño no sea la misma para cada estudio, el término de error resulta heterocedástico. Por ende, debe estimarse vía mínimos cuadrados ponderados, utilizando como ponderador al error estándar la siguiente ecuación:

Al sustituir en (3) el error estándar por la varianza del estimador, se construye la prueba PEESE11, cuya hipótesis nula es la misma que la del análisis PET, pero permite corregir el valor del efecto promedio en la estimación (Stanley & Doucouliagos, 2012).

En síntesis, la estimación del modelo de regresión simple (3), corregido luego por heteroscedasticidad, tiene por objetivo identificar si existe un efecto de tamaño promedio distinto de cero en la relación estudiada y sesgos en la distribución de los efectos de tamaño12.
Un aspecto importante en la modelación reside en el hecho de que un mismo estudio reporte más de un efecto de tamaño. En este caso, los CCP no pueden ser tomados como independientes entre sí, sino que es esperable que estén correlacionados al interior de cada estudio o paper (Nelson & Kennedy, 2009; Stanley & Doucouliagos, 2012; Viechtbauer, 2010). Los modelos de regresión que mejor reflejan esta situación permiten que los coeficientes varíen aleatoriamente entre clústeres. Si bien estos modelos admiten tanto interceptos como pendientes aleatorias, el uso más difundido se limita a estimar interceptos aleatorios (Nelson & Kennedy, 2009).
La estructura de datos usada en el metaanálisis es semejante a un panel desbalanceado (Stanley & Doucouliagos, 2017), en el que el componente estocástico es análogo al efecto inobservable de cada individuo. La prueba de especificación de Hausman es la que permite determinar si los efectos de paper son fijos o aleatorios. La derivación de esta prueba puede encontrarse en Wooldridge (2002).
Mediante la comparación de los coeficientes estimados por efectos fijos y aleatorios, la hipótesis nula de la prueba es que la especificación por efectos aleatorios es consistente y eficiente, por lo tanto, preferible.
Se presenta a continuación una caracterización de los aspectos más relevantes de la muestra, en términos de estimaciones (880). En primer lugar, se observa variabilidad tanto en la cantidad de estudios como en el número de estimaciones por año (tabla 3). El rango de estimaciones va de 4 a 201, con menor evidencia empírica para artículos publicados en los periodos 1996-1997 y 2004-2005, así como un máximo en el periodo 2015-2016, explicado por una publicación del Banco Interamericano de Desarrollo (BID) para América Latina y el Caribe (Crespi et al., 2017).

En cuanto al ámbito geográfico de los datos que utiliza cada estudio, puede verse en la figura 2 que más del 50% de estimaciones son para Europa, y el 70% corresponde a países desarrollados13. Del 30% restante, un 25% corresponde a países emergentes, dado que el 5% de estudios "internacionales" utilizan bases de datos que incluyen empresas en diferentes países, generalmente desarrollados. Esta discrepancia no sorprende, puesto que en países emergentes tanto el estudio de estos temas como el diseño de encuestas nacionales de innovación es posterior al de los países desarrollados14, al tiempo que la continuidad en el relevamiento de estas encuestas ha sido mucho mayor en estos últimos.

La figura 2 muestra la estructura de los datos empleados para modelar. En primer lugar, se observa que solo un 1% de las estimaciones provienen de series temporales, repartiéndose la muestra en estimaciones con datos de corte transversal (54%) y datos de panel (45%). La continuidad de las encuestas de innovación europeas y el registro de patentes, que permite asignar la innovación a la empresa, explican una gran parte de los datos de panel. La otra mitad de la muestra consiste mayoritariamente en encuestas construidas ad hoc, análisis de una onda puntual de una encuesta de innovación o bases de datos que indagan tangencialmente sobre temas de innovación y hacen foco en otros asuntos.

Para describir las conceptualizaciones de la innovación halladas, resultan útiles las primeras dos etapas del modelo CDM (Crepon et al., 1998): inversión en actividades de innovación e intensidad de recursos invertidos (input), por un lado, y resultados del proceso innovador (output), por otro. A partir de esta clasificación se observa que existe cierto consenso en medir la innovación por resultados (figura 4): la empresa declara nuevos productos o procesos, tiene mayores ventas o genera patentes (73%). La poco frecuente medición a través de inputs (27%) es coherente con la lógica de que la innovación es la aplicación comercial de nuevas combinaciones de factores productivos (Schumpeter, 1935)15. Los recursos invertidos ayudan a explicar el éxito entre el desarrollo de proyectos de I+D y su concreción, pero no miden la innovación16. Es por esto que la realización de actividades y el presupuesto destinado se vean como las primeras etapas de un proceso, cuyo desenlace exitoso (y eventual impacto sobre la productividad del trabajo) es el verdadero objetivo de investigación de la literatura bajo análisis17.

En cuanto a la escala utilizada para medir el DI utilizada en las estimaciones econométricas incluidas en la muestra, se observa en el figura 5 que principalmente se la define como variable binaria (48%), en su mayoría en respuesta a la pregunta de "si la empresa innova o no".

Un 19% de los modelos de la muestra la definen como una variable de conteo, generalmente igual al número de innovaciones o de patentes. Si bien este último indicador ha sido blanco de numerosas críticas, su empleo se justifica en la riqueza informativa de las patentes, que permite analizar los flujos de conocimiento entre sectores, así como entre empresas y científicos (Hall et al., 2001). Adicionalmente, las patentes en empresas industriales son proxy de aquellos desarrollos que las empresas consideran innovadores, y que, por ende, vale la pena proteger (Salomon & Shaver, 2005). Cabe aclarar que debido a que el patentamiento está mucho más difundido en las economías industrializadas, no se observa que el DI se mida de este modo en las estimaciones con datos de economías emergentes.
La medición del DI como variable continua (33%) surge de su definición como el presupuesto destinado a I+D (input) o como las ventas derivadas de la innovación (output).
Para finalizar la descripción, se presenta la distribución de los diferentes tipos de modelos econométricos de los que surgen las estimaciones (figura 6). La preponderancia de los modelos lineales generalizados -CLM- (51%) es consecuencia de la modelación de las variables binarias en formulaciones logit y probit, así como la modelación de variable de conteo en modelos log-lineales. Le siguen en orden de importancia los modelos lineales para variables continuas (28%) y los modelos bietápicos que proponen corregir el sesgo de selección (11°%). El resto de la muestra (10%) consiste en estimadores que surgen de la aplicación de otros modelos (COX y método de los momentos generalizado [CMM]).

A nivel conceptual, todos los efectos de tamaño reflejan una única relación: el DI en función del tamaño de la empresa. Los estimadores que surgen de las distintas estimaciones que componen la muestra son exclusivamente coeficientes de regresión; por consiguiente, tanto el signo como el nivel de significación son comparables. En este sentido, sería posible estimar un único modelo de AMR incluyendo la totalidad de la muestra (Stanley & Doucouliagos, 2012).
No obstante, al indagar un poco más en las distintas conceptualizaciones de la innovación, es claro que la interpretación económica de estos estimadores no es la misma. Por lo tanto, se propone segmentar la muestra en cuatro subsets más homogéneos, definidos en función de la medición de la innovación como actividades, recursos invertidos o resultado, junto con la escala de medición de las variables, tal como surge de la tabla 4. Los subsets 1, 2 y 3 corresponden a estimaciones de los resultados del proceso de innovación, distinguiendo entre las distintas escalas de medida del DI. El subset 4 incluye a las estimaciones que captan a la innovación a través de los recursos invertidos y miden al DI como una variable continua.

Así, quedan definidos cuatro subsets de estudios homogéneos con los que se efectuará el AMR:
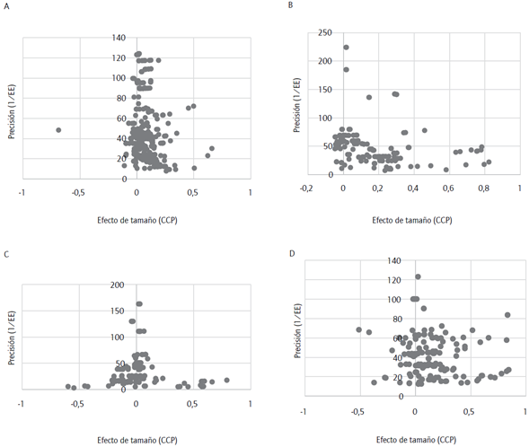
La figura 7 es el gráfico funnel para las 880 estimaciones que componen la muestra, en donde se observan estimadores tanto positivos como negativos con diversos niveles de precisión, lo que denota heterogeneidad en la evidencia recopilada. Se observa que los efectos se concentran en torno a un valor positivo a medida que son más precisos, aunque en promedio los efectos positivos son más precisos que los negativos. A medida que el CCP disminuye, lo hace también su nivel de precisión, aumentando su varianza.

Del AMR simple surge un primer resultado bien claro: el efecto "genuino" entre tamaño de la firma y DI es positivo (tabla 5), lo que se encuentra en línea con resultados de los metaanálisis publicados en el tema (Camisón et al., 2002; Damanpour, 2010). Dicho efecto se estima en 0,13, valor en torno al cual se agrupan los efectos de tamaño más precisos. Asimismo, hay evidencia de heterogeneidad, dado el bajo valor-p de la prueba Q.

Por otro lado, hay evidencia de sesgo de publicación: no se observan efectos de tamaño negativos y no significativos, lo que hace presumir que estos resultados son descartados por los propios investigadores o rechazados para su publicación. La prueba de asimetría derivada del coeficiente estimado para la varianza indica que los efectos de tamaño no se distribuyen en forma de cono, es decir, sim étricamente.
Entonces, si el efecto de tamaño "genuino" es positivo, no extraña encontrar estimadores positivos que sean estadísticamente significativos. Lo que induce a pensar en la existencia de sesgo de publicación es que, entre los resultados estadísticamente no significativos -es decir, poco precisos-, no haya valores estimados con ambos signos. No es posible ser concluyente acerca de por qué no se observan dichos coeficientes: si debido a que no han sido medidos, si solo surgen de modelos econométricos mal especificados y rechazados para su publicación, o si es porque van en contra del consenso académico. El modelo simple refuerza la noción de que las estimaciones más precisas son las de signo positivo. Los resultados son robustos bajo la especificación del modelo con el error estándar del efecto de tamaño como regresor, en lugar de su varianza.
Las figuras 8.A a 8.D son los gráficos funnel para cada uno de los cuatro subsets previamente definidos. En los cuatro gráficos se detectan efectos de tamaño (CCP) tanto positivos como negativos, aunque las distribuciones siguen patrones diferentes. La forma de cono puede identificarse más claramente en el panel 7.3, con efectos de tamaño en torno a cero y una distribución que tiene un grado de precisión promedio menor al resto. Las figuras 8.A y 8.B muestran mayor concentración de valores positivos, mientras que la figura 8.D muestra una mayor dispersión de los efectos. Con excepción de la figura 8.C, parece haber un indicio sobre la relación positiva entre tamaño e innovación.

El AMR bivariado para los cuatro subsets (tabla 6) permite verificar en parte lo expuesto en el análisis del figura 8. Se observa un efecto de tamaño promedio positivo distinto de cero para todos los casos, excepto para la obtención de ventas derivadas de la innovación. Es decir, tanto para obtener innovaciones, patentes o invertir en actividades innovativas (AI), se evidencia una relación directa con el tamaño de la firma (siendo mayor en el caso de patentes y más débil en el caso de obtener o no innovaciones). Nuevamente, los resultados van en la dirección de lo expuesto previamente; el tamaño incide claramente sobre los esfuerzos en innovación, pero no tanto en sus resultados. Diferente es el caso de generar ventas a partir de nuevos productos o procesos, donde el tamaño de la empresa parece perder relevancia; el efecto promedio no difiere de cero. Este resultado refleja la idea de que, para obtener resultados económicos, deben ponerse en juego otro tipo de capacidades, ligadas a lo comercial y organizacional (Damanpour, 2010; Nelson, 1991).

En cuanto al análisis de simetría, los resultados coinciden con lo expuesto para toda la muestra. Los coeficientes negativos y significativos de la varianza dan cuenta de distribuciones asimétricas, excepto en el caso de recursos invertidos (subset 4). En los tres primeros casos, a mayor varianza, menores efectos de tamaño: nuevamente son los efectos más pequeños (o negativos) los menos precisos. El subset "recursos invertidos" es el único que brinda evidencia de simetría, es decir, no existe correlación entre el efecto de tamaño y su grado de precisión.
Estos resultados no son concluyentes en tanto este tipo de análisis no toma en cuenta el efecto de las variables que podrían explicar dicha asimetría. Por ende, el rechazo o no de la hipótesis de asimetría debe complementarse con otras variables que moderen la relación estudiada y expliquen la heterogeneidad observada. Este es el objetivo final del trabajo cuyo avance se presenta en esta instancia.
El presente trabajo constituye la primera etapa de un análisis de metarregresión aplicado a estudiar la relación entre tamaño de la firma y DI. A pesar de ser uno de los aspectos más relevantes en la tradición de la economía de la innovación, los resultados de la investigación empírica no son concluyentes. La heterogeneidad de los efectos de tamaño ha dado lugar a argumentos igualmente diversos que tratan de explicar relaciones en uno u otro sentido, y es el objetivo de este trabajo sintetizar dichos resultados. Si bien existen antecedentes en la materia, la implementación de la metodología AMR resulta novedosa, ya que permite indagar acerca de posibles sesgos de publicación, al tiempo que se nutre de las publicaciones más recientes (1990-2017); es decir, actualiza los resultados anteriormente obtenidos.
Un primer aporte de este trabajo consta de la descripción de la literatura bajo estudio, sus matices y similitudes. Frente a posibles sesgos de publicación en la evidencia empírica, el AMR es una herramienta que permite sintetizar los avances académicos en un determinado campo, así como encontrar el efecto de tamaño "genuino". Tal como surge del marco teórico, el consenso académico tiende a defender la idea de un efecto positivo.
Merece aquí la atención la marcada disparidad entre las publicaciones de países desarrollados y emergentes en las bases de trabajos consultadas. Si bien es cierto que el estudio sistemático de la innovación mediante encuestas a nivel nacional se inicia antes y tiene una mayor continuidad en países desarrollados, ello no implica la ausencia de estos temas en la agenda de investigación en las economías emergentes, sino que gran parte de esta literatura es de más difícil acceso y constituye la llamada "literatura gris". Como consecuencia, es posible que dicho consenso académico se base en realidades ajenas a nuestros contextos y, por ende, no den guías precisas para la política industrial como herramienta para el desarrollo.
Asimismo, la distinta operacionalización de la innovación y la necesidad de reducir un fenómeno complejo en una sola variable contribuyen a parte de la heterogeneidad observada en los resultados. Si bien desde la década de los 90 se cuenta con un marco metodológico (el Manual de Oslo) que se ha actualizado y extendido a otras regiones -un ejemplo es el Manual de Bogotá (Jaramillo et al., 2001)-, dista de haber una única forma de medir la innovación (De Carvalho et al., 2017). También los diferentes criterios a la hora de incluir empresas en una encuesta (e. g., empresas grandes o familiares) añaden heterogeneidad.
Tanto los esfuerzos que hace la empresa para lograr innovaciones como los resultados de esos esfuerzos se toman como válidos -aunque estos últimos prevalecen por sobre los primeros-. En el ámbito de la innovación tecnológica, tales esfuerzos están asociados a actividades de I+D, paso previo a la obtención de nuevos productos o procesos. Estas diferentes conceptualizaciones se emplean como punto de partida para la construcción de subsets homogéneos para el AMR. Como indican los resultados, estas diferencias no son menores y pueden cambiar las conclusiones que del análisis se extraen. Si bien se detecta una relación directa entre tamaño de la firma y output innovador, dicho resultado no se mantiene cuando la innovación se mide mediante ventas.
Los primeros resultados de esta investigación muestran que la heterogeneidad observada excede la atribuible a la variabilidad muestral tanto para la muestra completa (880 observaciones) como para cada uno de los cuatro subsets, es decir, existen características que influyen sobre el resultado más allá de la variabilidad debida al empleo de diversas muestras. Los resultados econométricos dan cuenta de un efecto de tamaño promedio corregido positivo, acorde a los antecedentes antes citados. Por otro lado, la correlación negativa entre el signo de las estimaciones y su varianza (o error estándar) avala la hipótesis de sesgo de publicación, ya que los efectos de tamaño pequeños o negativos son los que mayor nivel de error poseen. El principal resultado de esta investigación ratifica el consenso académico de una relación directa entre tamaño de la firma y DI.
El objetivo último de este trabajo es poder explicar la heterogeneidad observada, esto es, modelar los efectos de tamaño que componen la muestra en función de características de los datos utilizados y de las decisiones metodológicas aplicadas. Con dicho fin, se han codificado diferentes características a nivel estudio (región, sectores incluidos, tipo de publicación) y estimación (tipo de modelo, controles efectuados, operacionalización del tamaño, entre otras) que potencialmente explicarían la heterogeneidad.
Ello constituye el paso posterior de esta investigación, aún en curso.















