ARTÍCULO ORIGINAL
Criterios para el procesamiento y evaluación de datos experimentales para un motor de encendido provocado de alta relación de compresión
Processing Criteria and Experimental Data Quality for a High Compression Ratio Spark Ignition Engine
Criterios para el procesamiento y evaluación de datos experimentales para un motor de encendido provocado de alta relación de compresión
Ingeniería y Ciencia, vol. 12, núm. 23, 2016
Escuela de Ciencias y Humanidades y Escuela de Ingeniería de la Universidad EAFIT
Recepción: 14 Mayo 2015
Aprobación: 11 Noviembre 2015
Resumen: Este artículo presenta los resultados de la evaluación de estrategias de análisis desarrolladas para los motores de combustión convencionales aplicadas al estudio de un motor de encendido provocado de alta relación de compresión. El motor objeto de análisis ha sido obtenido a partir de la transformación a modo encendido provocado de un motor Diesel estacionario. Se ha analizado la precisión del cálculo del dosado relativo a partir de la composición de los gases de escape, el criterio para establecer el inicio de la combustión usando la fracción de calor liberado y el efecto del cálculo de la masa residual en el balance de energía al interior del cilindro. Los resultados sugieren que las estrategias de análisis utilizadas son aplicables a este tipo de motores, pese a tener diferencias de diseño y operacionales respecto a las tecnologías convencionales.
Palabras clave: metodologías de análisis, motores de encendido provocado de alta relación de compresión, dosado relativo, CA05, masa residual.
Abstract: This article presents the evaluation of some of these methodologies applied to a high compression ratio-spark ignition engine, which was achieved through modification of a commercial Diesel engine. The accuracy on calculation of equivalence ratio from exhaust gas analysis and the start of combustion from mass fraction burned has been tested. The effect of trapped mass on the in-cylinder energy balance was determined. The results suggest that the tested methodologies for calculation of equivalence ratio, start of combustion, and trapped are reliable tools for evaluation of quality of data and studying spark ignition engines with high compression ratios.
Key words: analysis methodologies, high compression ratio spark ignition engines, equivalence ratio, CA05, residual mass.
1 Introducción
Una de las metodologías de estudio de motores de combustión interna alternativos (MCIA) es la conocida como el Heat Release Analysis o diagnóstico de la combustión basado en la señal de presión 1. Esta metodología utiliza la señal de presión en el cilindro para realizar un balance de energía, que a partir de herramientas teórico-experimentales, permiten tener una aproximación a la forma en que se desarrolla la combustión. El grado de aproximación de estos modelos depende de los fenómenos que se tengan en cuenta y las simplificaciones que se realizan 2.
El estudio del desempeño y el diagnóstico de la combustión en MCIA requieren de la precisa cuantificación de diferentes parámetros que intervienen en los cálculos de los balances de energía y masa, como es el caso del dosado relativo. Heywood 1 propone una medición indirecta del dosado relativo, con una precisión aceptable, a partir del análisis de las especies de las emisiones contaminantes que salen del motor. Así mismo, los gases residuales son un factor importante en el análisis de dispersión cíclica, pero su medición directa requiere de equipos sofisticados 3. Existen diferentes métodos que permiten tener una aproximación de este parámetro a partir de variables como la presión en cámara y el volumen instantáneo. Yun y Mirsky 4 desarrollaron un método para estimar la masa de gases residuales, método que para Ortiz-Soto et al 5 presentó una mejor aproximación a las simulaciones realizadas para cuantificar este parámetro. La estimación apropiada de la masa total atrapada en el cilindro permite obtener resultados de validez técnica en el balance de energía, dado que la temperatura estimada en el cilindro depende de esta variable, y con ello diferentes parámetros que intervienen en el balance.
Uno de los parámetros que presenta mayor incertidumbre en los cálculos de diagnóstico de la combustión es el calor que se transfiere a las paredes, el cual se suele determinar a partir de un coeficiente promedio de transferencia de calor a partir de correlaciones desarrollada por 6, y Hohenberg 7. Estas correlaciones se diseñaron para condiciones de operación y geometrías específicas en donde las constantes empíricas obtenidas asocian la fluido-dinámica de la carga con la velocidad media del pistón, hipó-tesis que no aplica para todo tipo de motor 1. Los motores de encendido provocado con altas relaciones de compresión presentan variación en parámetros de operación como el dosado relativo, temperaturas de combustión, pérdidas de presión en la admisión y masa residual de gases de escape, respecto a los motores convencionales. Las herramientas teórico-experimentales, así como los criterios de calidad de la información se han ajustado para el estudio de las tecnologías tradicionales, sin embargo, para las tecnologías emergentes o tecnologías modificadas como es el caso de motores de encendido provocado de alta relación de compresión, los criterios de calidad y análisis de sensibilidad de parámetros requieren ser definidas para el óptimo diseño de estos motores.
Varios estudios sobre el desempeño y análisis de la combustión de los motores de encendido provocado con alta relación de compresión han sido publicados 8,9, pero en el mejor conocimiento de los autores, no se ha estudiado aún la validez de las metodologías de análisis convencionales usadas en estos tipos de motores. Este estudio evalúa la estimación del dosado relativo a partir de la composición de las emisiones como criterio de verificación del cálculo de este parámetros a partir de los flujos de aire y combustible, además se analiza el efecto de la masa residual con la masa total atrapada sobre variables del balance de energía como la temperatura promedio y el porcentaje de combustible quemado.
2 Metodología
Para la fase experimental se cuenta con un celda de medición moderno de investigación en los tema de MCIA y un conjunto de algoritmos de cálculo para el tratamiento de la señal de presión y el diagnóstico de la combustión 10. Estas herramientas fueron unificadas y ampliadas para integrar la información de los diferentes instrumentos de medición y disminuir los tiempos de pos-procesamiento con el fin de reducir los errores asociados a la convergencia de la información dada la alta transitoriedad del proceso de combustión en motores.
2.1 Montaje experimental
La puesta a punto y validación de la metodología fue desarrollada en un MEC transformado a MEP en el laboratorio del grupo de Ciencia y Tecnología del Gas y Uso Racional de la Energía -GASURE-, conservando su relación de compresión, acoplado a un generador y un celda de resistencias eléctricas para el control de la carga. Las pruebas se desarrollaron en la ciudad de Medellín, Colombia (1500 m.s.n.m.). La Tabla 1 muestra las características técnicas del motor.


La potencia fue disipada como calor en resistencias eléctricas. El combustible usado durante las pruebas fue gas natural vehicular comercializado en la ciudad de Medellín, el cual mediante medición de especies bajo el principio NDIR arrojó una composición aproximada de 98% CH4 - 0;28% CO2 - 1;72% N2 en base volumétrica. El flujo de combustible fue medido con un medidor tipo coriolis (MASS 2100, Siemens A. G.). El flujo de aire admitido se midió mediante un medidor de placa orificio conectado a un transductor de presión diferencial (P DS III, Siemens A. G.). La composición de los gases de escape en base seca fue medida mediante principio NDIR (MAIHAK S710, Sick Maihak Inc.) para CH4, CO2 y CO, y mediante principio paramagnético para el O2. La composición de NOx mediante principio quimicoluminiscente (THERMO 48i-HL, Thermo Scientific). La presión en cámara fue capturada mediante un transductor piezoeléctrico (KISTLER 6125C, Kistler Instrument A. G.) y la posición angular del cigüeñal fue mediada usando un encoder (KISTLER 2614C11, Kistler Instrument A. G.) acoplado a un multiplicador de pulsos para obtener una resolución de 3600 pulsos por revolución. Para el referenciado de la presión en cámara se usó un transductor piezoresistivo (KISTLER 4005B). Las señales de los instrumentos fueron grabadas en un computador, recolectadas a través de una tarjeta de adquisición, la cual recoge datos a una tasa de 250 kHz con una resolución de 16 bits. En la Figura 1 se presenta el montaje experimental.
2.2 Herramientas computacionales
Para el desarrollo de la metodología se diseñaron dos softwares. Uno de ellos se desarrolló en programa LabVIEW (Versión 2011) con el nombre de DICOMOTOR On-line para la obtención en línea de las variables externas del motor a partir de los instrumentos del celda de motores como el régimen de giro, temperatura de los gases de escape, dosado relativo, entre otros. En este programa se incorporó el cálculo del dosado relativo a través de los flujos de aire y combustible, así como la estimación de este parámetro a partir de la composición de los gases contaminantes. El segundo programa se desarrolló en el programa Matlab ®(Versión 2013a), con el nombre de DICOMOTOR Off-line, para el diagnóstico de la combustión en el motor. El diagrama de flujo del proceso llevados a cabo se presenta en la Figura 2.
En la primera etapa del DICOMOTOR Off-line es realiza el tratamiento de la señal de presión, implementando el método propuesto por Brunt y Pond (11) para el referenciado de las curvas de presión a partir de la medición de la presión en la admisión. En la segunda etapa se incorporan los modelos termodinámicos y las correlaciones semi-empíricas de transferencia de calor para las diferentes tecnologías estudiadas. El proceso del diagnóstico de la combustión se realiza para cada ciclo con el fin de tener una visión más precisa del proceso de combustión y observar las tendencias de las variables de interés, permitiendo incorporar cálculos de dispersión cíclica y combustión anormal. Adicionalmente el diseño experimental se muestra en la Tabla 2.


2.3 Balance de masa en el cilindro
Además de la masa de aire y combustible ingresada, la diferencia de presiones entre el cilindro y los múltiples de admisión y escape así como con el cárter genera un movimiento de fluido a través del ducto de escape y de los anillos del pistón, así como una masa remanente tras cada ciclo, lo cual puede generar diferencias notables entre la masa admitida y la masa que participa en el proceso de combustión. En el estudio, las masas de corto circuito y de fugas no se consideraron debido a la falta de parámetros para su cálculo, por lo tanto el balance de masa se puede ver en la Ecuación 1.
(1)Donde mf es la masa de combustible, ma la masa de aire y mr la masa de gases residuales.
2.3.1 Verificación indirecta de masa de aire y combustible mediante dosado relativo mediante análisis de emisiones El dosado relativo, cociente entre el dosado absoluto y el estequiométrico, permite tener una idea de la composición de la carga que se ingresa al motor. El dosado relativo se define en la Ecuación 2
(2)Al ser el aire el flujo de mayor presencia durante el proceso de combustión, la correcta medición de este parámetro está asociada a la calidad de información de los balances de energía desarrollados. Sin embargo este parámetro no se mide cerca del múltiple de admisión lo cual posibilita las infiltraciones de aire y por ello una sobre-estimación de este. Con el fin de constatar la correcta medición de este flujo y a su vez garantizar análisis confiables de la operación y desempeño del motor se incorporó el cálculo del dosado relativo a partir de las emisiones contaminantes (1),(12). Para el cálculo se define una composición molar equivalente del combustible que se está ingresando. La Ecuación (3) muestra el balance general de masa para las emisiones medidas en el celda y los elementos presentes en los combustibles gaseosos.
(3)Donde np son la moles de productos, nO2 son las moles estequiométricas de aire, Φ-e el dosado relativo determinado por emisiones contaminantes. La solución de este balance involucra el balance de las especies C, H, N y O, sin embargo los analizadores entregan la composición en base seca. A partir de la Ecuación (4) se obtiene la relación entre la composición en base seca y en base húmeda, yi y
, respectivamente. Para resolver el sistema de ecuaciones en se plantea la reacción de disociación para el hidrógeno, Ecuación (5), tomando una constante de equilibrio químico K de 3;5, valor apropiado para los rangos de temperatura alcanzados en MCIA.
(4)

Finalmente puede ser obtenida una relación para el dosado relativo mostrada en la Ecuación (6).
(6)2.3.2 Estimación de la masa residual La masa residual son los gases que no logran ser evacuados durante la carrera de escape. En la metodología diseñada se usó el método desarrollado por Yun y Mirsky (4), el cual asume que los gases de combustión experimentan un proceso isentrópico durante la carrera de escape, de modo que la masa en el instante del cierre de la válvula de escape (EVC) puede ser determinada a partir de las correlaciones de gas ideal para este tipo de procesos entre la apertura de la válvula de escape (EVO) y el EVC, obteniéndose la Ecuación 7.
(7)Donde
es la relación de calores específicos promedio, a partir de las temperaturas en EVO y EVC. m, V y p es la masa, volumen y presión, respectivamente, en el punto de interés durante el ciclo. La implementación de este método requiere de un proceso iterativo para determinar condiciones iniciales en EVC, para lo cual se usó la Ecuación de estado de gases ideales, asumiendo que la temperatura en este punto es aproximadamente igual a la temperatura de los gases de escape. En el proceso se usó una tolerancia igual a la incertidumbre del medidor tipo coriolis. La masa residual se suele presentar como porcentaje en relación con la masa total atrapada (RGF) durante el período de válvulas cerradas, Ecuación 8.
(8)2.4 Balance de energía en el cilindro
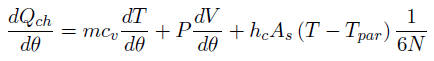
Dado que se aplica la metodología de diagnóstico del Heat Release Analysis, en el balance solo se toman en cuenta los términos del cambio en la energía interna, trabajo de frontera y transferencia de calor a la paredes, obteniendo la Ecuación 9 1.
(9)Donde dQch=d θ es la tasa de liberación de calor calor liberado, cv es el calor específico a volumen constante, As el área de transferencia de calor en una posición angular determinada, N el régimen de giro en el motor y Tpar la temperatura de paredes del cilindro. hc es el coeficiente convectivo promedio, el cual se calculó a partir de la correlación propuesta por Woschni 6, presentada en la Ecuación (10).
(10)Donde w es un factor de ajuste que relaciona diferentes propiedades cinemáticas y termodinámica del fluido durante los procesos de compresión y expansión y la curva de motor arrastrado. La Ecuación 9 solo tiene validez durante el período de válvulas cerradas.
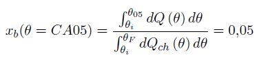
2.4.1 Duración de la combustión El proceso de combustión solo dura una pequeña fracción del ciclo termodinámico, por eso es necesario definir los instantes en los cuales inicia y finaliza la combustión. Existen diferentes técnicas para estimar estos instantes a partir del valor de gradientes de la presión en cámara o variables como la tasa de liberación de calor. En la metodología se definió el inicio de la combustión como el CA05, Ecuación (11), ya que este criterio no depende del tipo de tecnología sino del desarrollo temporal del proceso de combustión en sí y es robusto frente a los efectos del ruido de la señal de presión.
(11)Donde θ i y θ F son los intervalos de integración equivalente al período de análisis de dQch =d θ. El final de la combustión se definió como el ángulo en el cual se liberó el 95% de la energía (CA95), Ecuación análoga a la 11. Para dar cuenta de la validez de los resultados obtenidos a partir de la Ecuación 9, se implementó el uso de una variable denominada como el porcentaje de combustible quemado, Ecuación 12, la cual relaciona el calor liberado durante la combustión y la energía que ingresa con el combustible.
(12)Donde Cq es el porcentaje de combustible quemado y PCIf es poder calorífico inferior del combustible.
3 Resultados
3.1 Análisis de dosados relativos y masa residual
Los resultados obtenidos a partir del método propuesto para verificar indirectamente el dosado relativo se presenta en la Figura 3, en la cual se encuentra para las cargas evaluadas una proximidad entre la forma de calcular y estimar el dosado relativo, teniéndose siempre un valor mayor en el dosado estimado. Esta diferencia se asocia a varios fenómenos que no se tienen en cuenta al estimar el dosado relativo, como la masa de gases quemados remanente en el cilindro, que al contener concentraciones importantes de oxígeno y dióxido de carbono puede generar fácilmente cambios en el dosado, así mismo la masa que no interviene en el proceso de combustión puede tener una influencia importante sobre las estimaciones del dosado a partir de las emisiones.

Los resultados de la Figura 3 indican que para altos niveles de dilución o recirculación de gases (EGR), la implementación del método requiere un ajuste debido a las concentraciones que se tienen un instante después del IVC.
La estimación de la masa residual se incorporó al modelo de diagnóstico para evaluar su influencia sobre el balance de energía, además, esta variable permite entender tendencias en el proceso de combustión dado que la presencia de inertes en esta masa puede incrementar la resistencia al encendido de la mezcla ingresada o la formación de especies contaminantes. Los resultados obtenidos en la estimación de la masa residual se presentan en la Figura 4, en la cual se observa como esta tiende a incrementarse con el avance de la chispa. Como se observa en la Ecuación 7, la masa residual es directamente proporcional al cociente entre la presión en el EVC y el EVO, luego la tendencia encontrada en la gráfica derecha se debe al incremento de la presión a medida que se incrementa el avance en la chispa. El incremento de la presión con la carga para un avance dado y su efecto sobre las fugas y el proceso de evacuación de gases pueden permitir entender las tendencias de la gráfica izquierda.

Es importante resaltar como el método usado para estimar la masa residual presenta resultados acordes a los hallados experimentalmente por Sinnamon y Sellnau 13 para un motor diesel de características operativas similares al usado en el celda de pruebas.
3.2 Valores inicio de la combustión
Los resultados arrojados por el software de diagnóstico para el inicio de la combustión se muestran en la Figura 5, en esta se muestran los resultados obtenidos para calcular esta variable a partir de dos métodos ampliamente usados en las metodologías de diagnóstico y que están habilitadas en el DICOMOTOR Off-line.

Se observa como los valores obtenidos a partir del método dP=dθ presenta inconsistencias para varios puntos evaluados, donde el inicio de la combustión se da antes del salto de la chispa, esto asociado al ruido que acompaña la señal de presión, lo cual genera gradientes de presión que no corresponden a los del proceso que se llevan a cabo en el motor. Para el método del CA05 se obtuvieron resultados físicamente válidos y con tendencias claras, lo cual lo hace un método recomendable, el cual permite obtener buenos resultados sin la necesidad de aplicar un filtrado severo que pueda eliminar información valiosa de la señal de presión.
3.3 Análisis de parámetros del balance de energía
La importancia de realizar un balance de masa radica en el efecto que tiene sobre los cálculos de la temperatura promedio y las variables de la Ecuación 9, y dado que la temperatura promedio es inversamente proporcional a la masa atrapada, una subestimación de la masa conlleva a la obtención de temperaturas fuera del rango normalmente obtenidas en MCIA. En la Figura 6 se observa la influencia de incorporar la masa residual dentro de los cálculos de temperatura.

Es notable como ordenes de magnitud bajos de masa residual, como las observadas en la Figura 4, genera diferencias del orden de 100 K en la temperatura durante el intervalo de duración de la combustión. Esta diferencia genera cambios importantes en los resultados del balance de energía global como se observa en la Figura 7, en la cual se tienen diferencias de hasta el 4% en el porcentaje de combustible quemado, esto debido a que mayores temperaturas equivale a mayor energía liberada.

Ahora bien, la masa residual puede afectar solo al cambio de la energía interna y la transferencia de calor hacia las paredes, como se observa en la Ecuación 9. Observando el cambio en magnitud de estos elementos del balance con la inclusión de la masa residual, se encontró que para la mayoría de los puntos, la energía estimada por el modelo de transferencia de calor es el elemento que se ve afectado en mayor medida, Figura 8.

Así mismo se puede observar que a 6 kWse presentan incrementos notables en el calor transferido a las paredes para avances de chispa superiores, en los cuales se presenta un incremento considerable en el porcentaje de combustible quemado como se observa en la Figura 7, evidenciándose así el efecto del modelo de transferencia sobre el balance global de energía y la importancia de ajustar los modelos existentes al motor donde se desarrolla los estudios, en especial si su operación difiere para las tecnologías en las cuales se basaron la obtención de las correlaciones.
4 Conclusiones
Los resultados muestran que la estimación del dosado relativo mediante el análisis de emisiones contaminantes es un método útil y que permite la verificación en tiempo real de la relación combustible-aire con la cual opera el motor, sin embargo su precisión puede ser mejorada al considerar flujos que generalmente no se miden como es el caso de la masa residual y la masa de fugas. Esta última en la tecnología evaluada es necesario cuantificarla dada las modificaciones del motor y el incremento de la presión en cámara respecto a la operación original.
A partir del método implementado para el cálculo de la masa residual, no se encontró que la conversión del motor afecte el orden de magnitud de esta variable, así mismo, se evidencia la necesidad de incorporarla en el balance de energía, ya que fracciones del orden de 8% generan cambios de hasta del 4% en el balance global, debido a su efecto sobre la temperatura promedio y el modelo de transferencia de calor. Se encontraron diferencias significativas entre los métodos evaluados para estimar el inicio de la combustión, teniéndose tendencias anómalas y valores poco precisos al utilizar el método de la primera derivada de la presión.
El uso del método del CA05 presenta buenos resultados, lo cual evidencia que para la tecnología analizada no todas las estrategias para estimar la duración de la combustión son eficaces. El cálculo del porcentaje de combustible quemado permite generar criterios de validez acerca de los resultados obtenidos a partir del balance de energía. En el motor estudiado se obtuvieron valores atípicos en el porcentaje de combustible quemado, algunos valores que se asocian al modelo de transferencia de calor inferiores al 90% o muy cercanos al 100%, aunque los valores más pequeños pueden estar influenciados por inestabilidades de combustión y el tipo de combustible utilizado a los dosados usados en las pruebas.
Agradecimientos
Al programa de sostenibilidad 2014- 2015 de la vicerrectoría de investigación de la Universidad de Antioquia (UdeA). Al general al grupo ciencia y tecnología del gas y uso racional de la energía gasure por todo lo aportado para la realización de este trabajo
Bibliografía
1 J. Heywood, Internal Combustion Engine Fundamentals. McGraw-Hill Education, 1988. 108, 109, 114, 115, 116
2 W. M. William, ''Spark ignition engine combustion process analysis,'' Ph.D. dissertation, PhD thesis. University of Nottingham, 1990. 108
3 S. Karagiorgis, N. Collings, K. Glover, N. Coghlan, and A. Petridis, ''Residual Gas Fraction Measurement and Estimation on a Homogeneous Charge Compression Ignition Engine Utilizing the Negative Valve Overlap Strategy,'' SAE International, Oct. 2006. (Online). Available: http://www.sae.org/technical/papers/2006-01-3276 109
4 H. J. Yun and W. Mirsky, ''Schlieren-Streak Measurements of Instantaneous Exhaust Gas Velocities from a Spark-Ignition Engine,'' SAE International, p. 16, Feb. 1974. (Online). Available: http://papers.sae.org/741015/ 109, 115
5 E. A. Ortiz-Soto, J. Vavra, and A. Babajimopoulos, ''Assessment of Residual Mass Estimation Methods for Cylinder Pressure Heat Release Analysis of HCCI Engines With Negative Valve Overlap,'' Journal of Engineering for Gas Turbines and Power, vol. 134, no. 8, p. 082802, Aug. 2012. (Online). Available: http://gasturbinespower.asmedigitalcollection.asme.org/article.aspx?articleid=1430077 109
6 G. Woschni, ''A Universally Applicable Equation for the Instantaneous Heat Transfer Coefficient in the Internal Combustion Engine,'' SAE International, p. 19, Feb. 1967. (Online). Available: http://papers.sae.org/670931/ 109, 116
7 G. F. Hohenberg, ''Advanced Approaches for Heat Transfer Calculations,'' Feb. 1979. (Online). Available: http://papers.sae.org/790825/ 109
8 E. Porpatham, A. Ramesh, and B. Nagalingam, ''Investigation on the effect of concentration of methane in biogas when used as a fuel for a spark ignition engine,'' Fuel, vol. 87, no. 8-9, pp. 1651-1659, 2008. 109
9 E. Porpatham, A. Ramesh, and B. Nagalinga, ''Effect of compression ratio on the performance and combustion of a biogas fuelled spark ignition engine,'' Fuel, vol. 95, pp. 247-256, 2012. 109
10 I. D. Bedoya Caro, ''Estudio de la influencia del sistema de mezclado y la calidad del combustible piloto en el desempeño de un motor dual,'' p. 119, 2007. 110
11 M. F. J. Brunt and C. R. Pond, ''Evaluation of Techniques for Absolute Cylinder Pressure Correction,'' Tech. Rep. , Feb. 1997. (Online). Available: http://papers.sae.org/970036/ 112
12 H. Zhao and N. Ladommatos, Engine Combustion Instrumentation and Diagnostics. SAE International, 2001. (Online). Available: http://books.sae.org/r-264/ 114
13 J. F. Sinnamon and M. C. Sellnau, ''A New Technique for Residual Gas Estimation and Modeling in Engines,'' SAE International, p. 17, Apr. 2008. (Online). Available: http://papers.sae.org/2008-01-0093/ 120