Artículo original

K−álgebras finitas conmutativas con unidad

Finite Dimensional Commutative K−algebras with Unity

Claudia Granados-Pinzón
Universidad Industrial de Santander, Colombia
Wilson Olaya-León
Universidad Industrial de Santander, Colombia

K−álgebras finitas conmutativas con unidad

Ingeniería y Ciencia, vol. 12, núm. 24, 2016

Escuela de Ciencias y Humanidades y Escuela de Ingeniería de la Universidad EAFIT

Recepción: 04 Abril 2016

Aprobación: 12 Septiembre 2016

Resumen: En este artículo presentamos un estudio sobre las K−álgebras finitas, es decir las K−álgebras conmutativas con unidad que son espacios vectoriales de dimensión finita sobre un cuerpo K. Estas son suma directa de K−álgebras finitas locales. Caracterizamos la K−álgebra finita local , mostramos que ciertas K−álgebras finitas son isomorfas y descomponemos la K−álgebra finita en K−álgebras finitas locales.

Palabras clave: K−Álgebras de dimensión finita, suma directa, isomorfismos de álgebras.

Abstract: This paper is devoted to the study of finite K−algebras i.e. the commutative K−algebras with unity that are finite dimensional vector space over a field K. A finite K−álgebra is direct sum of local finite K−algebras. We obtain a characterization of the local finite K−algebra , show that certain finite K−álgebras are isomorphic and discompose the finite K−algebra in local finite K−algebras.

Key words: Finite-dimensional algebras, sum direct, isomorphism of algebras.

1 Introducción

Sea K un cuerpo. Una Kálgebra A con unidad es un conjunto dotado de dos operaciones (A,+, ·) cumpliendo que:

1. es un anillo con unidad

2. es un K−espacio vectorial

3. para todo αK y para todos a, bA, α(ab) = (αa)b = a(αb).

Decimos que A es una Kálgebra finita si es una K−álgebra conmutativa con unidad y de dimensión finita como K−espacio vectorial. Denotaremos por dimK A a su dimensión como K−espacio vectorial.

Un homomorfismo de Kálgebras es una aplicación lineal entre dos K−álgebras tal que

El homomorfismo structural

es inyectivo ya que K es cuerpo. Por lo tanto 1 K es parte libre en el K−espacio vectorial A y puedo extender {1 A } a una base de A.

Si dim K A = 2, tomamos γA \ K, luego {1 A, γ} es parte libre en A y por tanto {1 A, γ} es una base del K−espacio vectorial A. Además como 1 · γ = γ · 1, se tiene que el anillo A es conmutativo. Sin embargo, para dimensiones superiores, las K−álgebras no son necesariamente conmutativas. Por ejemplo, el cuerpo de los números cuaterniónicos es una R−álgebra de dimensión cuatro que no es conmutativa. En este artículo estamos interesados sólo en K−álgebras conmutativas.

Las K−álgebras finitas han sido un tema de investigación permanente en álgebra conmutativa, ver por ejemplo 1), (2), (3) y (4. Nosotros presentamos aquí un estudio sistemático y con menos teoría especializada de ellas en comparación con las encontradas en los textos tradicionales de álgebra conmutativa 5), (6), (7), (8) y (9.

Las K−álgebras son usadas en áreas muy diversas como representaciones de grupo, teoría de códigos, la ecuación de Yang-Baxter, álgebras de Hopf y las álgebras de Frobenius 10. Las K−álgebras no sólo son importantes en matemáticas, también encontramos en la literatura que se usan en otras áreas principalmente cuando el cuerpo K es el de los números complejos. Por ejemplo, las C∗−álgebras son fundamentales en física cuántica. En 11 y 12 se estudian algunas C∗−álgebras de dimensión finita donde se amplían resultados que se interpretan en mecánica cuántica. Además, en 13 y 14 se caracterizan ciertas C∗−álgebras cuyos resultados son relevantes para los fundamentos de la teoría cuántica.

Existen, salvo isomorfismos, tres álgebras de dimensión 2 sobre R:

Esto es debido a que en una extensión de grado 2 de R,

se pueden dar tres casos según x 2 + bx + c tenga dos raíces imaginarias, dos raíces reales distintas o una raíz doble. Los conjuntos C, P, D son, respectivamente, los números complejos, los números paracomplejos y los números duales, 2.

La teoría de funciones complejas es más estudiada que las otras dos. Algebraicamente, esto refleja el hecho de que C es un cuerpo, mientras que P y D no lo son pues P tiene divisores de cero y D tiene además elementos nilpotentes.

Las rectas proyectivas sobre las R−álgebras C, P, D generan las tres geometrías clásicas del plano, Moebius, Laguerre y Minkowski, ver 15. En general es poco lo que se conoce sobre las rectas proyectivas sobre las K−álgebras finitas. En 16 y 17 se estudió la interpretación proyectiva de estas métricas del plano real y en 1 se hizo una clasificación de todas las R−álgebras finitas. 18 es un trabajo reciente sobre la geometría correspondiente a la R−álgebra tridimensional pero en general estudiar la geometría sobre R−álgebras finitas es un problema abierto.

Iniciamos este artículo probando que las K−álgebras finitas son suma directa de K−álgebras finitas locales. Luego mostramos que toda K−álgebra finita se descompone en forma única, salvo isomorfismos, en suma directa de K−álgebras finitas locales. Seguidamente caracterizamos la K−álgebra

finita local , mostramos que ciertas K−álgebras finitas son isomorfas y descomponemos la K−álgebra finita en K−álgebras finitas locales.

2 K−algebras finitas

Sea A una K−álgebra finita. Un ideal p es primo si p ƒ= (1) y si ab ∈ p entonces a ∈ p o b ∈ p y un ideal m es maximal si m ƒ= (1) y no existe ningún ideal a tal que m ⊂ a ⊂ (1). Esto es equivalente a decir:

Por tanto un ideal maximal es primo pero el recíproco no es cierto en general. El ideal cero es primo si y sólo si A es un dominio entero. Cada elemento de A que no es unidad está contenido en un ideal maximal 5.

A toda K−álgebra finita A podemos asociar un espacio topológico llamado el espectro primo de A, Spec(A), que consiste en el conjunto de todos sus ideales primos. También asociamos a A el espacio Max(A) que consiste en el conjunto de todos los ideales maximales de A. Existen K−álgebras finitas con exactamente un ideal maximal, por ejemplo, el cuerpo de los números complejos Una K−álgebra finita A que tiene exactamente un ideal maximal se llama K−álgebra finita local.

Sea Σ un subconjunto parcialmente ordenado por una relación ≤. Las siguientes condiciones en Σ son equivalentes, (5):

Cada sucesión creciente x1 ≤ x2 ≤ ... en Σ es estacionaria (es decir, existe n tal que xn = xn+1 = ...).

Cada subconjunto no vacío de Σ tiene un elemento maximal.

Si Σ es el conjunto de submódulos de un módulo M , ordenado por la relación ⊆, entonces (i) se denomina la condición de cadena ascendente y (ii) la condición maximal. Un módulo M que satisface una de estas dos condiciones equivalentes se denomina noetheriano (de Emmy Noether). Si Σ está ordenado por ⊇, entonces (i) es la condición de cadena descendente y (ii) la condición minimal. Un módulo M que satisface una de estas dos condiciones equivalentes se denomina artiniano (de Emil Artin).

Toda K−álgebra finita A es artiniana y noetheriana, ver (5). En la Proposición 2.2 vamos a obtener un primer resultado de estructura para este tipo de K−álgebras. Una prueba de esta proposición resulta como consecuencia del teorema de estructura de anillos de Artin, ver [5, Teorema 8.7]. Nosotros presentamos una demostración distinta y con menos teoría especializada. Para esto primero demostramos el Lema 2.1. Decimos que e ∈ A es idempotente si e2 = e.

Lema 2.1. Si A es una K−álgebra artiniana, entonces A es local si y sólo si los únicos idempotentes de A son 0 y 1.

Demostración. ⇒: Si A es una K−álgebra local de ideal maximal y eA es idempotente, entonces e2 = e. Luego, e e2 = e(1 − e) = 0 y tenemos dos casos:

(i) Si e entonces 1 − e/. Como A es local, 1 − e es inversible luego e(1 − e)

(1 − e) −1 = 0 y por tanto e = 0.

(ii) Si 1 − e ∈ entonces e/ . Como A es local, e es inversible entonces e (1 − e)e−1 = 0. Por tanto 1 − e = 0 y e = 1.

⇐: A es artiniana y sus únicos idempotentes son 0 y 1, sea un ideal maximal de A y sea aA con a/. Si a es no inversible, aA es un ideal propio de A entonces

es una sucesión decreciente de ideales y como A es artiniana, A es estacionaria. Luego existe r tal que arA = ar+1A entonces ar ∈ ar+1A y existe λ ∈ A tal que ar = λar+1. Por tanto, ar(1 − λa) = 0 y

Entonces (λa)r es idempotente. Pero los únicos idempotentes de A son 0 y 1. Si

tenemos que a es inversible y esto es una contradicción. Si (λa)r = 0, entonces

Como a ∈/ m, λr ∈ pero es primo luego λ. Lo cual es un absurdo pues ar(1 − λa) = 0 implica que 1 − λa ∈ por tanto λ/.

En consecuencia, para todo a ∈ A tal que a ∈/ tenemos que a es inversible y A es local.

Proposición 2.2. A es una K−álgebra finita si y sólo si A es una suma directa de K−álgebras finitas locales.

Demostración. ⇒: Si dimK A = 1 como K−espacio vectorial, AK luego A es local. Si dimK A > 1 y no tiene mas idempotentes que 0 y 1, por el Lema 2.1, A es una K−álgebra local finita. En caso contrario, existe eA idempotente, e ƒ= 1 y e ƒ= 0. Entonces

(i) eA es un subanillo de A ya que eA es un ideal y por tanto es subanillo. Además el uno de eA es e pues e(ea) = e 2 a = ea, para todo eaeA.

(ii) Todo ideal de eA es ideal de A. En efecto, sea ideal de eA luego para todo α y para todo aA se cumple que eaα. Note que α = eb, b ∈ A. Entonces es ideal de A porque para todo α y para todo aA, se tiene que

Además, como A es artiniana, eA es artiniana ya que cualquier sucesión decreciente de ideales de eA es una sucesión decreciente de ideales de A y por tanto estacionaria.

(iii) eA y (1 − e)A son subespacios vectoriales de A y e(1 − e) = 0 entonces para todo aA, a = ea + (1 − e)a luego A = eA + (1 − e)A suma como K−espacios vectoriales. Además si βeA∩(1−e)A, β = ea = (1−e)b para a, bA entonces β = ea = e 2 a = e(1 − e)b = 0.

En consecuencia, A es suma directa de eA y (1 − e)A como K−espacios vectoriales y tenemos el isomorfismo de K−espacios vectoriales

Tomando en eA × (1 − e)A la estructura product

pues 1 − e es también idempotente. Luego

como K−álgebras.

Puesto que eA y (1 − e)A son subespacios no nulos y dimK A es finita, se tiene que

es decir las dimensiones de eA y (1 − e)A son menores que la dimensión de A.

Si eA y (1 − e)A no tienen más elementos idempotentes que 0 y 1, por el Lema 2.1, eA y (1 − e) A son K−álgebras locales finitas. De lo contrario y como las dos álgebras son de dimensión menor que la de A seguimos el proceso inductivamente hasta obtener el resultado deseado.

⇐: Se comprueba sin dificultad.

En el ítem (ii) de la demostración de la Proposición 2.2, observe que si p ∈ Spec(eA), no necesariamente p ∈ Spec(A). Por ejemplo, sea A = R3 y e = (1, 1, 0) entonces eA = {(a, b, 0) : a, b ∈ R}. Un ideal primo de eA es m eA = {(a, 0, 0) : a ∈ R} y m eA no es ideal primo en A pues (0, 1, 0) y (0, 0, 1) no pertenecen a m eA y su producto es cero.

Consideremos la K−álgebra finita Ai donde cada Ai es una K−álgebra finita local con ideal maximal Mi, i = 1, . . . , r. El Lema 2.3 presenta un isomorfismo entre cada Ai y el correspondiente anillo de fracciones o localización AMi , Mi ∈ Max(A), definido a continuación:

Diremos que un subconjunto S del anillo A es un sistema multiplicativo cuando 1 ∈ S y s, t ∈ S ⇒ st ∈ S. Se define en A × S la relación de equivalencia

En el conjunto cociente AS := A × S/ ∼ denotamos a la clase de equivalencia de (f, g) como y se definen las operaciones suma y producto como si fueran fracciones de Q:

Estas operaciones están bien definidas y hacen de AS un anillo conmutativo con unidad, donde el cero es , para sS y la unidad es , para sS. Más aún, se tiene un homomorfismo canónico de anillos dado por que en general no es inyectivo. Al anillo AS le llamamos anillo de fracciones o localización de A por S.

Lema 2.3. Sea Ai una K−álgebra finita donde cada Ai es una K−álgebra local finita. Para i = 1, . . . , r sea el ideal maximal de Ai . Entonces

(1) Max(A) = {M1, . . . , Mr} donde mj con mj = Aj, para todo y .

(2) Para todo i = 1, . . . , r se tiene que AMi ≃ Ai.

Demostración. (1) Es consecuencia de que los ideales maximales de una suma directa de r anillos tienen la forma Mi para todo i = 1, ..., r. Ver (1, Lema 1.2.6).

(2) Para todo i = 1, . . . , r,

Como Ai es local, bi es inversible y la aplicación

es un homomorfismo de anillos. Note que φi es inyectiva ya que si bi-1ai = 0, entonces existe tal que

y esto equivale a que

para Además, φi es sobreyectiva porque, para todo ai Ai,existe

∈ AMi tal que

La siguiente proposición muestra que una K−álgebra finita se descompone en forma única, salvo isomorfismos, en suma directa de K−álgebras finitas locales.

Proposición 2.4. Sean y dos K−álgebras finitas donde Ai, Bj son K−álgebras locales finitas. Entonces AB como K−álgebras si y sólo si r = s y, después de reordenar los Bj , para todo i = 1, . . . , r se tiene que Ai Bi como K−álgebras.

Demostración. ⇒: Como por el Lema 2.3, Max(A) = {M 1 , . . . , Mr } y para todo i = 1, . . . , r se tiene AMi Ai. Además, por hipótesis, luego por el Lema 2.3, Max(A) = {N 1 , . . . , Ns } y para todo j = 1, . . . , s se tiene ANj Bj . Entonces para todo i, existe j tal que Mi = Nj . Por tanto después de reordenar a los Bj, para todo i = 1, . . . , r,

⇐: Si para todo i = 1, . . . , r se tiene que es el isomorfismo entre Ai y Bi , entonces

es un isomorfismo.

En consecuencia, por la Proposición 2.4, estudiar la estructura de las K−álgebras finitas se reduce a estudiar la estructura de las K−álgebras locales finitas.

3 Caracterizaciones e isomorfismos

El ejemplo más simple de las K−álgebras finitas es el de las K−álgebras caracterizadas porque existe uA tal que 1 , u, . . . , un-1 es base de A como K−espacio vectorial. Obviamente no toda K−álgebra finita esde este tipo, por ejemplo ya que todo elemento al cuadrado de esta álgebra es cero, luego no puede existir uA tal que 1, u, u 2 sea base de A

como K−espacio vectorial.

Lema 3.1. La K−álgebra finita es local si y sólo si existe p(x) ∈ K(x), polinomio irreducible, tal que f (x) = p(x)n. En este caso su ideal maximal es y el cuerpo residual es .

Demostración. Los elementos de se escriben de forma única como con g(x) ∈ K[x] y grado(g) <grado(f ).

⇒: Si f (x) no es potencia de un irreducible, en particular f (x) no es irreducible, entonces f (x) = f 1(x)f 2(x) donde mcd(f 1 , f 2) = 1 por tanto existen g 1 , g 2K(x) tales que g 1 f 1 + g 2 f 2 = 1 luego 1 − g 1 f 1 = g 2 f 2 y

Enconsecuencia, es idempotente y que y . Pues de lo contrario, si es decir es inversible pero esto es absurdo pues es un divisor de cero de A. Por la misma razón . Usando el Lema 2.1 tenemos que A no es local y esto es una contradicción que proviene de suponer que f no es irreducible.

⇐: Si g(x) ∈ A es idempotente entonces y esto equivale a que p(x) n divide a g(x)(1 − g(x)) luego

Por tanto, p(x)|g(x) o p(x)|(1−g(x)) pero no a los dos a la vez pues p(x) ∤ 1. Si p(x)|g(x) entonces p(x) ∤ (1−g(x)) y por tanto p(x) n |g(x) luego y si p(x)|(1 − g(x)) entonces p(x) ∤ g(x) y por tanto p(x)n|(1 − g(x)) luego . En consecuencia, por el Lema 2.1, A es local. Además como p(x) es irreducible, el ideal (p(x)) es maximal y contiene a (p(x) n ). Luego es el ideal maximal de A y su cuerpo residual es .

Lema 3.2. Sean f (x), g(x) ∈ K[x] tales que mcd(f, g) = 1. Entonces existe un isomorfismo de K−álgebras

dotando al producto cartesiano de estructura de K−álgebra con las operaciones suma y producto componente a componente.

Demostración. Para todo f (x) ∈ K[x], sea el ho momorfismo natural definido por . Entonces

es homomorfismo de K−álgebras y ya que h si y sólo si h y pues mcd(f, g) = 1. Además, es sobreyectiva. En efecto, sea , como f y g son primos entre si, existen c 1 , c 2K[x] tales que c 1 f + c 2 g = 1, en .

La proposición siguiente presenta la descomposición en productos de K−álgebras locales y se demuestra usando iterativamente la prueba del Lema 3.2.

Proposición 3.3. Si es un producto de factores irreducibles distintos entonces

Lema 3.4. (1) Un homomorfismo de K−álgebras queda unívocamente determinado por .

(2) es un isomorfismo de K−álgebras si y sólo si con a, bK y a ƒ= 0.

Demostración. (1) Se sigue de que todo homomorfismo de álgebras está caracterizado por lo que le hace a sus generadores, en este caso a x.

(2) Es inmediato, pues todo isomorfismo de K[x] en K[x] preserva la graduación.

Definición 3.5. p(x) es equivalente a q(x), p(x) ∼ q(x), si y sólo si existen a, bK con a ƒ= 0 tales que q(x) = p(ax + b).

Proposición 3.6. (1) Si K = R, entonces los polinomios irreducibles de K(x) son equivalentes a x o x 2 + 1.

(2) Si K es algebraicamente cerrado, entonces para todo p(x) irreducible, p(x) ∼ x.

Demostración. (1) En R[x], los polinomios irreducibles son lineales de la forma p(x) = ax + b con a ƒ= 0 o de grado dos de la forma ax 2 + bx + c con b 2 − 4ac < 0. Si p(x) = ax + b con a ƒ= 0, por definición, p(x) ∼ x. Además, note que ax 2 + bx + c con b 2 − 4ac < 0 es equivalente a que p(x) = (xa′)2 + (b′)2 con b′ ƒ= 0. Luego,

(2) Si K es algebraicamente cerrado, los polinomios irreducibles p(x) son lineales y por definición, p(x) ∼ x.

Lema 3.7. Sea n ∈ N. Si p(x) ∼ q(x) entonces

Demostración. Como p(x) ∼ q(x), existen a, bK con a ƒ= 0 tales que q(x) = p(ax + b). Sea φ el homomorfismo

ya que para . Además, es sobreyectiva. Sea , por el Lema 3.4, existe ˜h(x) ∈ K[x] tal que h(x) = ˜h(ax + b) entonces .

El recíproco del Lema 3.7 no es cierto incluso bajo la hipótesis de que p(x) y q(x) sean irreducibles como lo prueba el ejemplo siguiente.

Ejemplo 3.8. Sean A = y . Entonces y son bases de A y B respectivamente como espacios vectoriales. Definimos el homomorfismo de álgebras

Note que .

Como induce un homomorfismo

Veamos que φ es un isomorfismo. En efecto, es inyectivo ya que si entonces a+b = 0, c = 0 y b+c = 0. Luego a = b = c = 0 y es inyectiva. Puesto que las álgebras tienen la misma dimensión, como espacios vectoriales, entonces se tiene el isomorfismo .

Observe que x3 + x2 + 2 ≁ y3 + 2y2 + 1 ya que no existe una transformación lineal que lleve un polinomio en el otro.

Corolario 3.9. (1) Si es producto de factores irreducibles distintos y pi (x) ∼ qi (x) para todo i = 1, . . . , r entonces

(2) En particular, si y K es algebraicamente cerrado entonces

Demostración. (1) Se tiene por la Proposición 3.3 y el Lema 3.7.

(2) Puesto que xai x y por el item (1) tenemos el isomorfismo.

Corolario 3.10. Sea K = R.

Si n ∈ N y a, b ∈ R con b ƒ= 0 entonces

(2) Si f (x) ∈ R(x) entonces existen n 1 , . . . , nr, m 1 , . . . , ms tales que

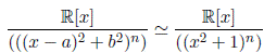
Demostración. (1) Puesto que (xa)2 + b 2x 2 + 1, por el Lema 3.7 tenemos el isomorfismo.

(2) Por la Proposición 3.6, existen n 1 , . . . , nr, m 1 , . . . , ms ∈ R tales que y por la Proposición 3.3 y el item (1) se sigue el resultado.

Observe que se presenta el problema de la unicidad de la descomposición. En el caso de cuerpos algebraicamente cerrados la descomposición es única y queda determinada por los números n 1 , . . . , nr es decir para todo f (x) ∈ K[x] existen n 1 , . . . , nr únicos con . En el caso real la situación es la misma como veremos mas adelante.

Lema 3.11. Para todos m, n enteros positivos,

Demostración. Por el Lema 3.1, el cuerpo residual de la R−álgebra es y el cuerpo residual de . Luego las álgebras no son isomorfas.

Lema 3.12. Si p(x) y q(x) son elementos irreducibles de R(x) las condiciones siguientes son equivalentes:

(1) p(x) ∼ q(x).

(2) para todo n ∈ N.

(3)

Demostración. (1) ⇒ (2) Se tiene por el Lema 3.7.

⇒ (3) Inmediato tomando n = 1. Entonces

(3) ⇒ (1) Puesto que p(x) y q(x) son irreducibles en R(x) entonces y en virtud del Lema 3.11, tenemos dos casos:

(i) p(x) ∼ x y q(x) ∼ x, entonces p(x) ∼ q(x).

(ii) p(x) ∼ x2 + 1 y q(x) ∼ x2 + 1, entonces p(x) ∼ q(x).

En consecuencia, para f (x) ∈ R(x), existen n1, . . . , nr, m1, . . . , ms únicos tales que . En el caso general lo que se puede decir es que:

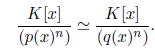
Lema 3.13. Sean p(x) y q(x) elementos irreducibles de K[x]. Para todo si y solo si

Demostración. ⇒: Por el Lema 3.1, son álgebras locales con cuerpos residuales respectivamente. Además como entonces

⇐: Sea

Por el Lema 3.1, son álgebras locales con cuerpos residuals , y con ideales maximales respectivamente. Por hipótesis es un isomorfismo, es decir los cuerpos residuales de las álgebras locales son isomorfos y por tanto los ideales maximales también lo son. En consecuencia .

El ejemplo 3.8 muestra que K[x]/(p(x)) ≃ K[x]/(q(x)) no implica que p(x) ∼ q(x) entonces la descomposición que puede obtenerse f (x) = en componentes irreducibles induce un isomorfismo

pero p 1(x), . . . , pr (x) no están unívocamente determinados salvo transformaciones lineales.

4 Conclusiones

Las K−álgebras finitas, es decir las K−álgebras conmutativas conunidad de dimensión finita como K−espacio vectorial, han sido un tema muy estudiado en álgebra conmutativa, ver por ejemplo 1), (2), (3) y 4, y en este artículo hemos hecho un estudio sistemático y sencillo de ellas en comparación con los encontrados en los textos tradicionales de álgebra conmutativa 5), (6), (7), (8 y 9. Iniciamos probando que las K−álgebras finitas son suma directa de K−álgebras locales finitas. Luego caracterizamos la K−álgebra local finite , mostramos que ciertas K−álgebras finitasson isomorfas e hicimos una descomposición de la K−álgebra finite en K−álgebras locales finitas.

Las K−álgebras son usadas en áreas muy diversas como representaciones de grupo, teoría de códigos, la ecuación de Yang-Baxter, álgebras de Hopf y las álgebras de Frobenius (10). Las K−álgebras no sólo son importantes en matemáticas, también se usan en otras áreas. Por ejemplo, las C∗−álgebras son fundamentales en física cuántica. En (11), (12), (13) y (14) se estudian algunas C∗−álgebras donde se amplían resultados que se interpretan en la teoría cuántica.

Las rectas proyectivas sobre las R−álgebras finitas de dimensión dos, y generan las tres geometrías clásicas del plano, Moebius, Laguerre y Minkowski, ver 15. 18 es un trabajo reciente sobre la geometría correspondiente a la R−álgebra tridimensional pero en general estudiar la geometría sobre las R−álgebras finitas es un problema abierto.

Agradecimientos

Los autores desean agradecer a los árbitros de la revista por sus comentarios y sugerencias. Agradecemos al profesor José Manuel Aroca Hernandez-Roz de la Universidad de Valladolid (España) por sus enseñanzas y colaboración constante en la realización de este trabajo.

Referencias

1 () C. Granados-Pinzón, Álgebras finitas sobre un cuerpo. La recta proyectiva. Tesis doctoral Universidad de Valladolid. Director: J.M. Aroca, 2015. (Online). Available: http://uvadoc.uva.es/handle/10324/12347 33, 34, 39, 47

2 () G. M. Morales, Métricas, compactificaciones y extensiones del cuerpo real. Tesis doctoral Universidad de Valladolid. Director: J.M. Aroca, 1996. (Online). Available: https://documat.unirioja.es/servlet/tesis?codigo=12772 33, 47

3 () B. Poonen, Isomorphism types of commutative algebras of finite rank over an algebraically closed field, K. Lauter, Kristin; Ribet, Ed. American Mathematical Society, 2006. (Online). Available: http://bookstore.ams.org/conm463/124 33, 47

4 () R. Vale, Topics in finite-dimensional algebras. Cornell University, 2009. (Online). Available: http://www.math.cornell.edu/~rvale/fdalgebras.pdf 33, 47

5 () M. F. Atiyah and I. G. Macdonald, Introducción al álgebra conmutativa. Barcelona: Editorial Reverté S. A., 1980. 33, 34, 35, 47

6 () N. Bourbaki, Commutative algebra. Paris: Hermann, Publishers in Arts and Science, 1989. 33, 47

7 () D. Eisenbud, Commutative Algebra, with a view toward Algebraic Geometry. New York: Springer-Verlag, 1995. 33, 47

8 () H. Matsumura, Commutative ring theory, 2nd ed. Cambridge: Cambridge University Press, 1989. 33, 47

9 () J. A. Navarro, Algebra conmutativa básica. Badajoz: Universidad de Extremadura, 1997. 33, 47

10 () W. Murray, " Nacayama automorphisms of Frobenius algebras," Journal of algebra, vol. 269, no. 2, pp. 599-609, 2003. (Online). Available: http://dx.doi.org/10.1016/S0021-8693(03)00465-4 33, 47

11 () A. J. Lindenhovius, " Classifying finite-dimensional C*-algebras by posets of their commutative C*-Subalgebras," Int. J. Theor Phys, vol. 54, no. 12, pp. 4615-4635, 2015. (Online). Available: http://dx.doi.org/10.1007/s10773-015-2817-6 33, 47

12 () C. Heunen and A. J. Lindenhovius, "Domains of commutative C*- Subalgebras," arXiv, p. 25, 2016. (Online). Available: https://arxiv.org/abs/1504.02730v4 33, 47

13 () C.Heunen, " Characterizations of categories of commutative C*-Subalgebras," Communications in Mathematical Physics, vol. 331, no. 1, pp. 215-238, 2014. (Online). Available: http://dx.doi.org/10.1007/s00220-014-2088-8 33, 47

14 () J. Hamhalter, " Isomorphisms of ordered structures of abelian Câˆ-- subalgebras of Câˆ--algebras," Journal of Mathematical Analysis and Applications, vol. 383, no. 2, 2011. (Online). Available: http://dx.doi.org/10.1016/j.jmaa.2011.05.035 33, 47

15 () E. Hartmann, Planar Circle Geometries: an introduction to Moebius-, Laguerre- and Minkowski-planes. Springer-Verlag, 2004. 34, 47

16 () S. Mazuelas , Interpretación proyectiva de las geometrías métricas, equiformes e inversivas. Tesis doctoral . Director: J.M. Aroca, 2008. (Online). Available: https://www.educacion.gob.es/teseo/mostrarRef.do?ref=676503 34

17 () S. Mazuelas , " Interpretación proyectiva de las métricas del plano real," Rev. Semin. Iberoam. Mat., vol. 3, no. VI fasc. 3, pp. 109-125, 2008. (Online). Available: http://ctri.uva.es/ctri/images/stories/documentos/rsim3v-vi.pdf 34

18 () H. Havlicek and K. List, " A three-Dimensional Laguerre geometry and its visualization," proceedinhs-Dresden Symposium geometry: constructive and kinematic, vol. Institut f, pp. 122-129, 2013. (Online). Available: https://arxiv.org/abs/1304.0223 34, 47

HTML generado a partir de XML-JATS4R por