Artículo original
Recepción: 13 Mayo 2016
Aprobación: 12 Septiembre 2016
DOI: 10.17230/ingciencia.12.24.1
Resumen:
En el presente artículo se analiza el efecto que tiene sobre la igualdad d(P, F
1) + d(P, F
2) = 2a siendo P un punto del plano, F
1 y F
2 los focos de esta figura plana llamada elipse y a una constante positiva, el uso de la suma κ-deformada en el sentido de Kaniadakis, la cual se define como
para
. La igualdad resultante d(P, F1)
d(P, F2
) = 2a recibe el nombre de elipse κ-deformada y tiene ecuaciones análogas a las de la elipse definida en el sentido usual. En el trabajo se hace el estudio sobre los vértices, los extremos relativos, las asíntotas, el lado recto, la representación gráfica para las cuatro secciones cónicas: elipse, hipérbola, circunferencia y parábola en el sentido κ-deformado. Se estudia también el área que encierran la elipse y la hipérbola para cualquier valor de κ.
Palabras clave: Suma y diferencia κ-deformada, elipse κ-deformada, circunferencia κ-deformada, parábola κ-deformada e hipérbola κ-deformada.
Abstract:
In this paper we study the effects of the κ-deformed sum, defined as
, on the Euclidean distance function d(P, F
1) + d(P, F
2) = 2a, where P is an arbitrary point in R
2 ; F
1 and F
2 are the focus of the curve named Ellipse. The points satisfying the resulting equality d(P, F
1)
d(P, F2) = 2a, describe a curve named κ-deformed ellipse for which the resulting analityc expression is analogue to the standard one. We make a deep study of the vertex, local extrema, asymptotes, the latus rectum and the graph of the resulting κ-deformed conic sections: Ellipse, hyperbola, circumference and parábola in the κ-deformed setting. We also make a study of the area of the regions limited by the κ-deformed ellipse and hyperbola for an arbitrary value of κ.
Key words: κ-deformed sum and difference, κ-deformed ellipse, κ-deformed circle, κ-deformed parabola, κ-deformed hyperbola.
1 introducción
Las secciones cónicas han sido objeto de estudio a lo largo de la historia, han servido para modelar diversos fenómenos físicos, astronómicos (1), acústicos, arquitectónicos (2), cartográficos (3) etc. Pueden ser estudiadas a partir de los cortes que se hacen a un cono, a partir del concepto de lugar geométrico (4), por medio de las coordenadas polares, de forma matricial, etc.; en cualquiera de los casos se analizan sus elementos: vértices, focos, excentricidad, ecuaciones canónicas y general, lado recto, directriz y asíntotas.

En la Tabla 1 se especifican algunos de los elementos de las secciones cónicas con centro en el origen y que abren sobre el eje x (5), la circunferencia es una elipse con eje mayor y menor iguales (a = b, c = 0).
Usando el concepto de lugar geométrico, la elipse es el conjunto de puntos del plano cuya suma de las distancias a dos puntos fijos llamados focos es constante d1(P, F1) + d(P, F2) = 2a, para la hipérbola la diferencia de las distancias es constante, esto es |d1(P, F1) − d2(P, F2)| = 2a, cuando el producto de las distancias es fijo (d1(P, F1) · d2(P, F2) = b2) la familia de curvas recibe el nombre de Óvalos de Cassini, donde la Lemniscata y la circunferencia son dos casos particulares de la misma (6), en estas definiciones se trabaja con la suma, resta y multiplicación en el sentido usual. Giorgio Kaniadakis introduce un parámetro κ en sus artículos (7),(8) el cual se puede interpretar en el marco de la relatividad especial en términos del momento de inercia en dos sistemas inerciales, así como en el estudio de los grados de libertad microscópicos del Sistema(9). Con base en este parámetro se define la suma κ-deformada (1) y partiendo de esta expresión se hará el estudio de los efectos que sufren las secciones cónicas al considerar la suma y diferencia en el sentido de la κ-deformación y los cambios que ésto conlleva a sus elementos: vértices, ecuaciones, lado recto y extremos relativos. Adicionalmente se hace un estudio del área limitada por la elipse κ-deformada.
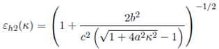
2 κ-deformación
En los artículos de Kaniadakis se encuentra un trabajo matemático sobre el parámetro κ; sin embargo, en (9),(10),(11),(12) se profundiza en el aspecto demostrativo y gráfico. Considere un número real −1 < κ < 1. Para cada real x se define la función
como
para
y
. La función inversa de
está dada po r
y
. La ley de composición interna
recibe el nombre de suma κ-deformada, cuando κ → 0 se obtiene la suma en el sentido usual. Por las propiedades de las funciones hiperbólicas y del álgebra la suma κ-deformada se escribe como
[1]
. La igualdad (1) es simétrica respecto del parámetro κ por ello se considera también valores entre 0 < κ < 1. El conjunto de los números reales con la suma κ-deformada es un grupo abeliano con módulo 0 y para cada x su inverso aditivo −x. Cada valor de κ en (1) genera una superficie como en la Figura 1. La diferencia κ-deformada se define como
; de acuerdo con (1) esta diferencia κ-deformada se escribe como
.

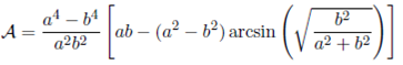
3 Elipse κ-deformada
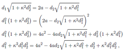
Sean F1(−c, 0) y F2(c, 0) dos puntos fijos y P (x, y) un punto arbitrario en el plano, d1 representará la distancia de P a F1 y d2 la distancia de P a F2. Haciendo el producto y diferencia de los cuadrados de las distancias d1 y d2 resulta
si la expresión (2a) está igualada al cuadrado de un valor fijo resulta la familia de Óvalos de Cassini. Considere la igualdad
[3]donde a es una constante positiva con
es la suma κ-deformada con 0 < κ < 1. El conjunto de puntos P que satisfacen la igualdad (3) forma una figura plana que se llamará elipse κ-deformada con eje mayor en el eje x. De acuerdo con la definición de suma κ-deformada (1), la igualdad (3) se escribe como
, aplicando operaciones algebraicas como se ilustra a continuación
resulta la diferencia de los cuadrados
, mediante manipulaciones algebraicas y usando la igualdad hallada en (2b) se tiene que
. Con el propósito de encontrar una igualdad que dependa de las variables x y y, se reescribe la ecuación como
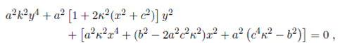
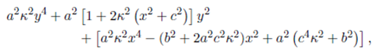
, se eleva al cuadrado y opera según el álgebra, (considere la igualdad (2a)) para tener
[4]Sea b 2 = a 2 − c 2 por lo que b > 0, entonces la expresión (4) se escribe como
[5]dividiendo por a2b2 ƒ= 0 se halla la ecuación canónica de la elipse κ- deformada
[6]Esta elipse κ-deformada presenta simetría respecto de los ejes coordenados y del origen. Si el eje mayor está sobre el eje y, la ecuación canónica tiene la forma
[7]Las ecuaciones canónicas de la elipse κ-deformada centrada en el origen (6) y (7) se pueden escribir como
donde
para el eje mayor en x, para eje mayor en y
, en los dos caso Bκ pueden ser negativo para valores adecuados de κ,
es positivo siempre y
puede tomar cualquier signo. Las traslaciones se hallan por medio de las transformaciones x = x′ − h y y = y′ − k siendo (h, k) el centro de esta cónica. En el caso en κ → 0 la ecuación (6) equivale a
que es la ecuación canónica de la elipse con la suma usual. Se despeja ahora la variable y en términos de x en la igualdad (5) vista como
una ecuación de cuarto grado en la variable y de la forma
[8]la cual es una ecuación de segundo grado en la variable y2 con discriminante
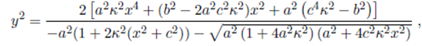
, y tiene por solución
[9]se omite el signo menos puesto que y2 debe ser no-negativo. Formas alternativas de escribir la igualdad (9) son
[10]
[11]El lado recto ρ de la elipse κ-deformada se halla cuando se sustituye x = ±c en la ecuación (10), en tal caso se llega a la igualdad
[12]si κ → 0 el lado recto de la elipse κ-deformada tiende a
que es el lado recto de la elipse usual (ver Tabla 1). Los vértices de esta cónica κ-deformada son los interceptos con los ejes, valores que determinan el dominio y el rango de esta relación. Si x = 0 en la ecuación (9) los interceptos con el eje y son
[13]Para los cortes con el eje x se soluciona la ecuación de segundo grado
que se obtiene de hacer y = 0 en (8); dicha ecuación tiene por solución
[14]La elipse κ-deformada tiene tiene cuatro puntos de corte con el eje x si
, la solución respecto de κ de la inecuación es
[15]Luego, la elipse κ-deformada tiene cuatro puntos de corte con el eje x si
y ninguno en y; tres puntos de corte si
(incluyendo el origen) y uno respecto del eje y; finalmente, dos puntos de corte cuando
y otros dos en el eje y. Con los vértices respecto del eje x hallados en (14) y la distance focal c se definen
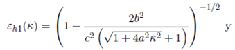
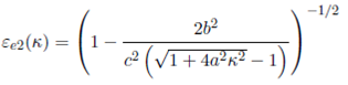
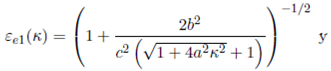
que se llamarán excentricidad 1 y 2 respectivamente. Una forma alternativa de escribir estas igualdades es
[16]
[17]con estos resultados se tiene que
tiende a
a medida que κ → 0; mientras que
tiene una asíntota vertical para
. En el gráfico 2 se representan ambas excentricidades.

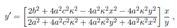
Para obtener los valores máximos y mínimos de la elipse κ-deformada se deriva implícitamente la igualdad (5) para tener.
[18]Por medio de la igualdad (11) se reescribe la primera derivada de la elipse
κ-deformada como
, donde, si
, entonces
que es la derivada de la elipse de forma usual. Los números críticos son
[19]En el caso que κ → 0 solo x = 0 es un número crítico, ya que
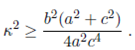
no existe en los reales ya que c < a, luego debe existe un valor de κ ƒ= 0 para el cual la elipse κ-deformada solo tiene a x = 0 como número crítico, este valor se encuentra al resolver para κ la inecuación
, cuya solución es
[20]Se concluye así que la elipse κ-deformada tiene tres números críticos si κ-satisface la desigualdad (20) y tiene un solo extremo si ocurre lo contrario.

En la Figura 3 se representan cuatro elipses κ-deformadas, para cada una se eligió a = 3, b = 2 y por tanto
, las elipses a graficar corresponden a los valores κ = 0,5, κ = 0,4, κ = 0,3 y κ = 0,1; el valor de κ = 0,4 se elige ya que es el término que satisface la desigualdad (15). Las líneas en rojo representan el lado recto que se determinan por medio de la igualdad (12), las líneas en azul son lo valores máximo y mínimos, donde el valor de x se calculó con la igualdad (19), en el caso κ = 0,1 solo x = 0 es un número crítico de acuerdo con la expresión (20). A medida que κ → 0 se recupera la forma de la elipse con la suma usual, los vértices con el eje x tienden a ±3 y con el eje y se aproximan a ±2. Estas representaciones gráficas son análogas a la familia de Óvalos de Cassini, sólo que la gráfica cuando κ = 0,4 no es una Lemniscata.
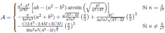
3.1 Área de la elipse κ-deformada
El propósito ahora es encontrar el área que encierra la elipse κ-deformada, para ello es necesario parametrizar, sea x = r cos θ y y = r sin θ, sustituyendo estos valores en la ecuación (5) se escribe como
[21]siendo A = b2 − 2a2c2κ2 = Bκ y B = a2 + 2a2c2κ2 = Cκ, la ecuación tiene por solución
[22]donde C = B − A. El área que encierra la elipse κ-deformada se analiza en dos casos, el primero cuando
y el segundo para
, los cuales se estudian de acuerdo con el valor obtenido en (15) que determinan las representaciones gráficas en (3). Para la primera condición la ecuación (22) se escribe como
donde A, B y C toman la forma
y
para este valor de κ. Por simetría, el área es
siendo θf el ángulo determinado en el primer cuadrante por la tangente en el polo (r = 0) y equivale a
.. Con los resultados hallados el área se escribe como
[23]Ya que sin
entonces por identidades trigonométricas se tiene
. La identidad del ángulo doble permite reescribir la ecuación (23) como
, que al sustituir los valores de A, B y C en función de a, b y c, se concluye que el área encerrada por la elipse κ-deformada para el caso en que
es
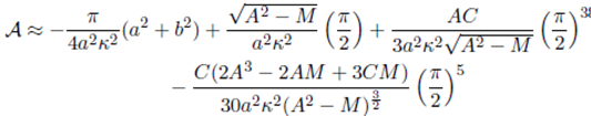
[24]Se considera ahora el caso en que . En la ecuación (22) se hace M = 4a4κ2(κ2c4 − b2) y la integral que describe
el área está definida para θ entre 0 y
como
[25]La integral del primer sumando en (25) tiene por solución
, para el segundo sumando es necesario hacer uso de series para tener el resultado
[26]se concluye que el área de la elipse κ-deformada es
[27]4 Circunferencia κ-deformada
Si en la ecuación (5) se hace
el resultado es una circunferencia κ-deformada centrada en (0, 0) y de radio
; como a = b entonces c = 0 y por tanto
[28]con la sustitución
[29]que equivale a un paraboloide circular en el sentido usual, la igualdad (28) se escribe como
cuya solución es
. En (29) resulta la ecuación de una circunferencia κ-deformada de radio
que se escribe como
[30]En (30) se tiene un conjuntode circunferencias concéntricas decrecientes, donde, a medida que
que es el valor esperado, ya que la ecuación (30) se escribe como
entonces el radio de esta circunferencia tiende
a y la ecuación de esta circunferencia es de la forma
. En el gráfico 4 se hace r = 3 y se dibujan circunferencias κ-deformadas para κ = 0,9, κ = 0,5, κ = 0,3 y κ = 0,1, las líneas discontinuas plantean los límites para κ en cero y uno.

5 Parábola κ-deformada
El concepto usual de parábola implica que la distancia de un punto P (x, y) a un punto fijo F (p, 0) llamado foco y a una recta fija L con ecuación cartesiana x = −p llamada directriz son iguales (asumiendo que el vértice está en el origen), es por ello que d(P, F ) = d(P, L) de forma equivalente d(P, F ) − d(P, L) = 0. De acuerdo con este concepto se considera que la parábola κ-deformada es el conjunto de puntos P (x, y) que satisfacen la igualdad
[31]para 0 < κ < 1. Por la definición de diferencia κ-deformada se tiene que d 2(P, F ) .1 + κ 2 d 2(P, L). = d 2(P, L) .1 + κ2d2(P, F )., cancelando términos comunes resulta la igualdad d(P, F ) = d(P, L), es decir, la parabola κ-deformada coincide con la parábola usual ya que no depende de κ.
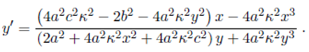
6 Hipérbola κ-deformada
En la misma vía que se definió la elipse κ-deformada, se define la hipérbola κ-deformada como el conjunto de puntos P (x, y) tales que
[32]donde c es la distancia focal, a > 0, c > a y 0 < κ < 1; en este caso se asume que la hipérbola tiene por eje transverso a x. Por medio de la definición de la diferencia κ-deformada, la igualdad (32) es equivalente a
; la cual es posible reducir a la expresión
.; definiendo a b2 como c2 − a2 y dividiendo luego por a2b2 ƒ= 0 se obtiene la expression
[33]que corresponde a la ecuación canónica de la hipérbola κ-deformada centrada en (0,0). En caso que el eje transverso esté sobre el eje y, la ecuación es de la forma
[34]Si κ → 0 en (33) resulta la igualdad
que es la ecuación canónica de la hipérbola con la diferencia usual. La ecuación canónica de la hipérbola κ-deformada es equivalente a la ecuación de cuarto grado
[35]cuyo discriminante
está dado por
, este valor es equivalente al discriminante para la elipse κ-deformada y la solución de la ecuación (35) es
[36]que coincide con la ecuación para la elipse κ-deformada (9), se diferencian las dos soluciones en el valor de la distancia focal c, c2 = a2 − b2 para la elipse κ-deformada y c2 = a2 + b2 para la hipérbola κ-deformada; es por ello que la ecuación para el lado recto es la misma en ambas cónicas κ-deformadas (ver (12)). Para hallar los interceptos con el eje y, se hace x = 0 en la ecuación (36) para tener la ecuación
ya que
entonces la hipérbola no corta al eje y (eje conjugado). Para los cortes con el eje x resulta la ecuación
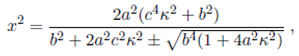
que tiene por solución
[37]independiente del valor de
, la hipérbola tendrá cuatro interceptos con el eje x, esto es cierto debido que
es una desigualdad cierta para todo a, b, c y κ. Además, se sigue que la hipérbola κ-deformada siempre será cerrada y que al tener cuatro puntos de corte, como las ecuaciones de la elipse e hipérbola κ-deformada coinciden entonces el área encerrada por ésta última también será la expresión encontrada en (26), donde la diferencia de los resultado radica en el valor de la distancia focal c. Estos cuatro puntos de corte respecto al eje x se pueden hallar de forma alternativa como
[38]donde, si κ → 0 se obtiene que x2 → a2 y x2 → ∞, es por esto que la hipérbola usual tiene dos puntos de corte (±a, 0). A partir de estos interceptos con el eje x se define las funciones
y
en términos de κ como
y
dichas funciones se llamarán excentricidad para la hipérbola κ-deformada. De acuerdo con la representación gráfica (ver gráfico 5) se puede concluir que
se acerca al término
(excentricidad de la hipérbola usual) siempre que κ → 0; mientras que
se acerca a cero para este valor del parámetro.

Por medio de derivada implícita aplicada a la igualdad (35) es posible encontrar y′ como
[39]se iguala a cero esta derivada, donde x = 0 es un número crítico que no se tiene en cuenta ya que la hipérbola κ-deformada no pasa por el origen (ver (38)) Otros posibles números críticos se logran al solucionar la ecuación
que se puede escribir equivalentemente como
y así los extremos relativos de la hipérbola κ-deformada resultan para los valores
Resolviendo la inecuación
se llega a la desigualdad
que siempre es cierta para cualquier valor de κ; por tal motivo, la hipérbola κ-deformada siempre tendrá dos valores máximos y dos valores mínimos. Las asíntotas de esta cónica κ-deformada resultan de resolver la ecuacoin
cuya solución es
[40]si κ → 0 en (40) se obtiene las rectas
que son las asíntotas de la hipérbola con la diferencia usual. Hallando los interceptos con los ejes de estas asíntotas se encuentra que no cortan al eje y y los puntos de corte con x son de la forma
Para las hipérbola de los gráficos (6) y (7) se eligió a = 2, b = 3 logrando
, los valores de κ seleccionados en ese orden son κ = 0,5 y κ = 0,1. En ambos gráficos se puede identificar el rectángulo de inspección (en la hipérbola usual, las asíntotas pasan por los vértices opuestos de este rectángulo), así como las asíntotas que son las curvas punteadas que aparecen en la parte exterior, donde, a medida que κ → 0 se acercan al centro de esta cónica deformada; independiente del valor de κ seleccionado las hipérbolas κ-deformadas tienen dos máximos y dos mínimos y las curvas son cerradas, lo mismo que las asíntotas.


7 Problemas abiertos
Un problema a considerar es el estudio de las secciones cónicas por medio de la entropía relativa de Tsallis (q-deformación) para la cual se define la suma como
(ver 13),(14),(15),(16)). Es necesario ahondar en el estudio de la longitud de arco para la elipse y la hipérbolas deformadas de acuerdo al índice κ por medio de integrales elípticas. Así mismo se pretende hacer el estudio de las propiedades ópticas para rayos que son tangentes a estas cónicas. Ya que las secciones cónicas han servido de modelos para el movimiento planetario, se pretende indagar sobre planetas (en sistemas binarios) o cometas (trayectorias hiperbólicas) que puedan tener trayectorias análogas a las representaciones encontradas en los gráficos 3, 6 y 7.
8 Conclusiones
Conceptos clásicos como circunferencia, parábola, elipse e hipérbola son generalizados al sustituir la suma o diferencia usuales por la suma o diferencia deformada en el sentido de Kaniadakis, la parábola permaneció invariante a esta transformación. Para la elipse κ-deformada se hallan tres casos posibles respecto del número de interceptos dependiendo del término
, se presenta la posibilidad de tres extremos (respecto del eje x) relativos o solo uno de acuerdo a la comparación de
. La hipérbola κ-deformada siempre tiene cuatro interceptos con el eje x y ninguno con el eje y, las asíntotas adoptan una forma similar a la de la hipérbola salvo que se acercan al origen a medida que κ → 0, a diferencia de la hipérbola usual es una figura cerrada y las asíntotas no son rectas. La circunferencia κ-deformada son trazas del paraboloide circular
para z entre y r. Las áreas de la elipse e hipérbola κ-deformada se hallan con la misma expresión (27) la diferencia en los resultados radica en el valor de c.
Referencias
1 () A. Castellón Serrano, "Astronomía y Matemáticas," Unión, Revista Latinoamericana de Educación Matemática, no. 20, pp. 113-116, 2009. (Online). Available: http://goo.gl/ov3Dt1 10
2 () P. Costa Buján, " Superficies cónicas: Aplicación a la arquitectura y el diseño (vídeo)," 2014. (Online). Available: http://hdl.handle.net/2183/12666 10
3 () P. Ramírez Granados, " Elementos de cartografía matemática y su aplicación en la elaboración de las cartas geográficas," Revista Geográfica de América Central, vol. 46, no. 1, pp. 15-36, 2011. (Online). Available: http://www.revistas.una.ac.cr/index.php/geografica/article/view/3290 10
4 () M. González and G. Patiño, " Método para obtener los elemen-tos de las secciones cónicas por medio de la derivación implícita," TecnoLógicas, no. 19, pp. 87-118, 2007. (Online). Available: http://itmojs.itm.edu.co/index.php/tecnologicas/article/view/305 10
5 () C. Lehmann, "Geometría Analítica," Noriega Editores, 1995. 11
6 () M. Karatas, " A multi foci closed curve: Cassini oval, its properties and applications," Doğuş University Dergisi, vol. 2, no. 14, pp. 231-248, 2013. (Online). Available: http://journal.dogus.edu.tr/index.php/duj/article/view/661 11
7 () G. Kaniadakis, " Statistical mechanics in the context of special relativity," The American Physical Society, Physical Review E, no. 66, pp. 1-17, 2002. (Online). Available: https://dx.doi.org/10.1103/PhysRevE.66.056125 11
8 () G. Kaniadakis, "Statistical mechanics in the context of special relativity II," The American Physical Society, Physical Review E , no. 72, pp. 1-14, 2005. (Online). Available: https://dx.doi.org/10.1103/PhysRevE.72.036108 11
9 () D. Deossa, " Sobre funciones exponenciales y logarítmicas deformadas según Kaniadakis," p. 96, 2011. (Online). Available: http://hdl.handle.net/10784/156 11
10 () J. C. Arango Parra, "Una variedad de información estadística κ-deformada," p. 121, 2012. (Online). Available: http://hdl.handle.net/10784/1307 11
11 () H. Quiceno and J. C. Arango, " K-exponential Statistical Manifold Modeled on Orlicz Spaces," Journal of Mathematical Analysis and Applications, vol. 2, no. 431, pp. 1080-1098, 2015. (Online). Available: http://dx.doi.org/10.1016/j.jmaa.2015.05.065 11
12 () J. Ramírez and Y. Hernández, " La matriz κ-exponencial y soluciones de algunos sistemas de ecuaciones diferenciales," Tesis de Maestría, Universidad Eafit, p. 82, 2014. (Online). Available: http://hdl.handle.net/10784/8108 11
13 () C. Tsallis, "Possible generalization of Boltzmann-Gibbs statistics," Journal of Statistical Physics, vol. 52, no. 1, pp. 479-487, 1988. (Online). Available: http://dx.doi.org/10.1007/BF01016429 27
14 () G. Loaiza and H. Quiceno, " A q-exponential statistical Banach Manifold," Journal of Mathematical Analysis and Applications, vol. 2, no. 398, pp. 466-476, 2013. (Online). Available: http://dx.doi.org/10.1016/S0378-4371(02)01018-X 27
15 () J. Naudts, " Deformed exponentials and logarithms in generalized thermostatics," Physica A. Statistical Mechanics and its Applications, vol. 1-4, no. 316, pp. 323-334, 2002. (Online). Available: http://dx.doi.org/10.1016/S0378-4371(02)01018-X 27
16 () H. Quiceno Echavarría, "Variedad de información estadística q-exponencial," p. 73, 2010. (Online). Available: http://hdl.handle.net/10784/153 27