Articles
Variabilidad espacial un suelo arcilloso del sector Sabana Centro para la confiabilidad de asentamientos por consolidación primaria: caso de estudio Campus Nueva Granada
Spatial Variability of a Soil Clayed from the Sabana Centro Sector for the Reliability of Primary Consolidation Settlements: Study Case Campus Nueva Granada
Variabilidad espacial un suelo arcilloso del sector Sabana Centro para la confiabilidad de asentamientos por consolidación primaria: caso de estudio Campus Nueva Granada
Ingeniería y Ciencia, vol. 14, núm. 27, 2018
Escuela de Ciencias y Humanidades y Escuela de Ingeniería de la Universidad EAFIT
Recepción: 06 Abril 2018
Aprobación: 07 Junio 2018
Resumen: El objetivo de este artículo es presentar un estudio de confiabilidad de los parámetros de consolidación de un suelo arcilloso de la Sabana de Bogotá. La metodología de trabajo comprendió la extracción de muestras de arcillas inalteradas y la ejecución de un plan experimental de laboratorio que incluyó treinta ensayos edométricos. Además, se estimaron las distribuciones de probabilidad de los parámetros de consolidación del suelo de la Sabana de Bogotá. Los resultados permitieron obtener la variabilidad de las propiedades de compresibilidad de dichos materiales. Por otra par- te, se realizaron simulaciones de Monte Carlo para estimar las curvas de confiabilidad de asentamientos. Se encontró que la magnitud de los asentamientos en los suelos arcillosos de la Sabana de Bogotá se ven afectados por la variabilidad espacial de las propiedades de compresibilidad de este tipo de suelo.
Palabras clave: Consolidación de suelos, curvas de pobabilidad de asentamiento, incertidumbre, simulaciones de Monte Carlo.
Abstract: The aim of this paper is to present a reliability study of the consolidation parameters of a clayed soil from the “Sabana de Bogotá” sector. The work methodology included the extraction of clay undisturbed samples and the development of an experimental plan in the laboratory, which included thirty oedometric tests. In addition, the probability distributions of the consolidation parameters for the “Sabana de Bogotá” soil were estimated. Results allowed obtaining the variability of the compressibility properties of such materials. Otherwise, Monte Carlo simulations were performed in order to estimate settlement reliability curves. It was found that the settlement magnitude in the “Sabana de Bogotá” clayed soils is affected by the spatial variability of the compressibility properties of this kind of soil.
Keywords: Monte Carlo simulations, settlement probability curves, soil consolidation, uncertainty.
1 Introducción
Los suelos son materiales naturales producto de procesos geológicos, ambientales, físicos y químicos. Por lo tanto, la variabilidad en las propiedades del suelo se atribuyen a dichos procesos y conducen a incertidumbres en los diseños de ingeniería [1]. La incertidumbre atribuida a la variabilidad de los perfiles de suelo puede tener influencia en el desempeño de estructuras geo- técnicas como taludes, muros de contención, terraplenes y cimentaciones tanto superficiales como profundas [2]. Asimismo, la variabilidad espacial y geométrica de las propiedades mecánicas del suelo puede inducir asentamientos diferenciales en el suelo.
Debido a lo anterior es necesario implementar metodologías de análisis probabilísticos que incluyan la incertidumbre de las propiedades del suelo en los diseños geotécnicos. Diversos trabajos que involucran la variabilidad de las propiedades del suelo en el análisis de estabilidad de estructuras geotécnicas se han realizado en los últimos años. Fenton y Griffiths [3] estimaron los asentamientos diferenciales de dos cimentaciones superficiales adyacentes. Su trabajo consideró la variabilidad del módulo de elasticidad de un estrato de arcilla por medio de simulaciones de Monte Carlo en un modelo de elementos finitos. Más adelante, Fenton y Griffiths [4] utilizaron una metodología similar a la anterior y calcularon los asentamientos de un par de cimentaciones superficiales en un modelo de elementos finitos tridimensional. Houy et al. [5] evaluaron la interacción suelo estructura de una viga hiperestática mediante modelos físicos en centrífuga geotécnica y la influencia de la variabilidad espacial del suelo en sus desplazamientos mediante simulaciones de Monte Carlo. Al-Bittar y Soubra [6] realizaron un modelo en FLAC3D para estimar los desplazamientos verticales y laterales de cimentaciones superficiales sometidas a cargas inclinadas. Además, dicho modelo incorpora simulaciones de Monte Carlo para generar campos aleatorios en los que se modifica el módulo de elasticidad del suelo de soporte.
Existen diferentes técnicas para establecer el índice de confiabilidad de un problema geotécnico. Prada et al. [7] mencionan tres en particular: método de primer orden segundo momento, método de estimación puntual y simulaciones de Monte Carlo. El primer método aprovecha la serie de Taylor de la función de desempeño para estimar el valor esperado y la varianza de dicha función; lo que permite obtener resultados expresados en términos de datos medios que abordan la variabilidad de los mismos. El segundo método permite obtener los puntos óptimos para evaluar los momentos de la función de probabilidad para cada variable aleatoria dependiente en función de las variables aleatorias independientes; por lo que le suma y resta la desviación estándar al valor medio de cada variable obteniendo un total de 2 n combinaciones de la función de desempeño, donde n representa el número total de dichas variables. El tercer método se describe con mayor detalle a continuación, debido a fue el que se seleccionó para implementar en este trabajo para obtener las curvas de probabilidad de asentamiento.
Las simulaciones de Monte Carlo son una herramienta que ha sido empleada para estudiar sistemas estocásticos y determinísticos en diversos campos de las ciencias básicas y de la ingeniería. La utilización de este método se remonta a los años cuarenta del siglo XX y su nombre se atribuye al carácter aleatorio de los juegos de azar en el principado de Mónaco [8]. El método está basado en el cálculo de la solución analítica del problema durante n veces. Además, la técnica involucra la entrada de valores aleatorios de los parámetros del modelo [9]. Dicha aleatoriedad se puede aplicar mediante la generación de números aleatorios que siguen una distribución de probabilidad previamente establecida.
El procedimiento para ejecutar las simulaciones de Monte Carlo consiste en [10]:
Phoon y Ching [11] definen que para la generación de números aleatorios se pueden utilizar software especializados como MATLAB, Wolfram Mathematica, SPSS, RStudio o Excel. Además, ellos sugieren realizar entre 5000 y 10000 simulaciones; es decir, 5000 < N < 10000. No obstante, la cantidad de simulaciones y variables aleatorias afectan directamente el desempeño y costo computacional en las simulaciones. Por otra parte, Baecher y Christian [12] recomiendan elaborar un algoritmo de cálculo, en algún software especializado (como los mencionados previamente), para las condiciones específicas de cada problema de análisis. Una de las ventajas de las simulaciones de Monte Carlo es el uso de la distribución de probabilidad de las variables involucradas en los cálculos, en lugar de un valor constante o determinístico del factor de seguridad. Asimismo, es posible estimar la variabilidad en el tiempo de un asentamiento por consolidación primaria.
Phoon y Kulhawy [13] recopilaron datos sobre la variabilidad de parámetros físicos y mecánicos de diferentes tipos de suelos; en dicho trabajo se relaciona confiabilidad sobre el valor del coeficiente de preconsolidación (OCR) y se menciona la obtención de otros parámetros de consolidación mediante correlaciones de límites de Atterberg. Huang et al. [14] combinaron la teoría de consolidación de Biot con el método aleatorio de elementos finitos y establecieron un estudio paramétrico entre el coeficiente de compresibilidad del volumen ( mv ) y la permeabilidad del suelo (k) como variables aleatorias que siguen una distribución lognormal, sus resultados permitieron evaluar el fenómeno de consolidación en depósitos de suelo con propiedades espacialmente variables en espacios unidimensionales (1D) y bidimensionales (2D). Bong y Stuedlein [15] abordaron dos métodos para el análisis probabilístico del fenómeno de consolidación, el método confiabilidad de primer orden (FORM) y método de superficie de respuesta estocástica (SRSM); en dichos métodos se tuvo en cuenta la variabilidad espacial del coeficiente de consolidación (Cv) y una técnica para calcular una parámetro Cv equivalente para la consolidación vertical y radial combinada.
Este trabajo de investigación se enfoca en el análisis de variabilidad espacial de un suelo arcilloso normalmente consolidado y el efecto de dicha variabilidad en el cálculo de asentamientos por consolidación primaria. De esta manera, se realizó una exploración geotécnica en la que se recuperaron muestras inalteradas de arcilla y se midió la resistencia al corte en campo mediante el ensayo de veleta. La exploración fue ejecutada en el Campus Nueva Granada, localizado en el Sector Sabana Centro de la Sabana de Bogotá (Colombia). Posteriormente, las muestras fueron llevadas al laboratorio con el fin de establecer las propiedades físicas del material recuperado. Paralelamente, se desarrolló un plan experimental, compuesto por una serie de ensayos edométricos, para identificar las propiedades de compresibilidad de este tipo de suelo. Con base en los resultados de laboratorio, se estimaron las distribuciones de probabilidad de dichas propiedades. Finalmente, se calcularon las curvas de asentamientos por consolidación primaria, mediante la aplicación del método de simulaciones de Monte Carlo, para un incremento de carga superficial y así definir la confiabilidad de los resultados obtenidos mediante métodos determinísticos.
2 Metodología
2.1 Descripción de la zona
La exploración geotécnica tuvo lugar en el Campus Nueva Granada de la Universidad Militar Nueva Granada, ubicado en Cajicá (Colombia). Allí se realizaron tres sondeos con barreno manual a 5 m de profundidad. Dichos sondeos se encuentran separados 3 m entre sí. Las coordenadas aproximadas del sitio de exploración son 4°56’20”N-74°00’36”W y la altitud de la zona es 2580 m [Figura 1].

La topografía del sector es plana y se encuentra dentro de la cuenca del Río Bogotá, el cual establece el límite oriental del Campus Nueva Granada. Las formaciones que conforman la geología del sector están asociadas a la Sabana de Bogotá. Dicha zona se localiza en la cresta de la cordillera Oriental de los Andes a altitudes entre 2500 y 2700 m. Además, está conformada por una planicie intramontañosa con una forma irregular de alrededor de 800 km 2 y con más de 500 m de sedimentos del Plio-Cuaternario que pertenecen, principalmente, a la formación Guadalupe [16].
Alrededor de la Sabana se presentan rocas sedimentarias estratificadas. Las partes elevadas están constituidas por areniscas cuarzosas del Grupo Guadalupe (Ksg) de edad Cretácea. Por lo general, dichas rocas, forman anticlinales; mientras que en los piedemontes y relieves bajos predominan rocas arcillolíticas blandas de edad Terciaria, las que por lo común conforman sinclinales. Estas unidades geológicas por lo general están cubiertas discordantemente por depósitos cuaternarios.
En su mayor parte de los suelos que conforman esta región son de origen Lacustre con bajo grado de consolidación y débilmente estructurados. Dentro de la Sabana de Bogotá es común encontrar materiales finos de alta compresibilidad que son producto de procesos de sedimentación [17]. No obstante, en el Campus Nueva Granda es probable encontrar depósitos recientes de rellenos fluvio - lacustres y aluviales debido a su proximidad con el Río Bogotá. La Tabla 1 presenta la descripción del perfil estratigráfico promedio del Campus Nueva Granada, junto con los resultados de ensayos de veleta de campo. Mediante dichos ensayos se identificó la resistencia al corte no drenada del material (Su) necesaria, más adelante, para comparar la calidad de las muestras recuperadas. No obstante, en algunas capas del perfil no se realizaron dichos ensayos debido al tipo de suelo que se encontró en los mismos.

2.2 Plan experimental en el laboratorio
Se extrajeron muestras de arcilla entre 2.5 y 3.0 m de profundidad mediante el método de Tubo Shelby. Así pues, se recuperó un espécimen de aproximadamente 30 cm de longitud en cada sondeo, para un total de tres especímenes. Posteriormente, se procedió a ejecutar ensayos de caracteriza- ción física del suelo proveniente de cada Tubo Shelby. Dicha caracterización tuvo como fin establecer valores necesarios para cálculos posteriores y clasi- ficar el suelo según el Sistema Unificado de Clasifiación de Suelos (SUCS). No obstante, únicamente se realizó un ensayo de cada tipo para cada espé- cimen debido a la disponibilidad de material dentro de los muestradores. Los resultados de la caracterización física se muestran Tabla 2. Los ensayos que se realizaron fueron: gravedad específica de sólidos conforme al procedimiento de la norma ASTM D854 [18], humedad natural medido según la norma ASTM D2216 [19] y límites de consistencia estimados de acuerdo con lo establecido en la norma ASTM D4318 [20]. Además, se estableció la distribución de tamaño de partículas con base en la norma ASTM D422 [21] [Figura 2].


Por otra parte, se realizaron diez ensayos edométricos o de consolidación unidimensional por cada sondeo, es decir se efectuaron treinta ensayos en total. Los ensayos se realizaron de acuerdo con el procedimiento de la norma ASTM D2435 [22] y mediante el método de raíz del tiempo [23].
La Figura 3 expone la respuesta y el comportamiento típico del suelo de la Sabana de Bogotá durante los ensayos de consolidación; donde la Figura 3a muestra la deformación en función de raíz del tiempo media de cada sondeo y la Figura 3b presenta las curvas de consolidación de todos los ensayos.
La cantidad de ensayos fue establecida con base en el criterio estableci- do en Wackerly [24] para cumplir con los supuestos de normalidad para la inferencia estadística de una muestra normal. Wackerly [24] menciona que a partir de treinta observaciones es posible obtener resultados representativos que permiten realizar inferencias sobre el patrón de comportamiento de la distribución de probabilidad de la población. Además, dicha cantidad permite obtener información confiable a partir de muestras relativamente pequeñas (menores a cincuenta observaciones) en estudios donde la obtención de datos es limitada.
Además, se realizó un ensayo de compresión inconfinada, según el pro- cedimiento de la norma ASTM D2166 [25], con el fin de establecer la resistencia al corte no drenada (Su) del suelo recuperado durante la campaña experimental. Sin embargo, únicamente se ejecutó un ensayo de compresión inconfinada, dado que el resultado de Su no se utilizará como un parámetro de caracterización estadística del material. Además, debido a la disponibilidad de muestras inalteradas que cumplieran con el criterio relación diámetro/altura establecido en de la norma ASTM D2166 [25] y que corresponde a 1/2. La Figura 4 presenta los resultados obtenidos en dicho ensayo. Se estableció que el suelo que se utilizó en este estudio tiene un valor Su = 22.77 kPa. Dicho valor presenta una diferencia de 2.37 kPa respecto al medido mediante el ensayo de veleta de campo para la capa de arcilla localizada entre 1.0 y 4.0 m de profundidad en el Campus Nueva Granada (ver Tabla 1].


3 Pruebas y resultados
3.1 Incertidumbre de parámetros
La Figura 5 presenta los estadísticos descriptivos de los parámetros obtenidos mediante los ensayos edométricos. Con base en dichos resultados se identificó que los parámetros de consolidación no presentaron datos atípicos; dado que ninguno de los diagramas de cajas revelaron puntos fuera de los rangos intercuantílicos, los cuales están representados mediante las líneas horizontales de dichos diagramas. Además, al examinar la posición relativa de la línea media (donde se localiza la mediana del conjunto de datos), la cruz que representa la media de los datos y las distancias entre los rangos intercuantílicos (líneas horizontales de los diagramas de caja) se encontró: (i) la media de los datos no coincide con la mediana del diagrama de cajas, y (ii) las distancias entre los rangos intercuantílicos no son las mismas en todos los diagrama de caja. Por lo tanto, existe evidencia estadística para establecer que los conjuntos de datos de todos los parámetros son ligeramente asimétricos. Por otra parte, el análisis descriptivo permitió establecer que probablemente no todos los parámetros de consolidación siguen una distribución normal. De esta manera, se requiere de un análisis con mayor detalle que permita identificar la distribución de probabilidad que mejor se ajusta a los conjuntos de datos de cada uno de los parámetros.
Así pues, se elaboró una rutina de importación de datos y cálculo de distribución de probabilidad para el procesamiento de los conjuntos de parámetros obtenidos en el laboratorio. Dicha rutina fue elaborada en RStudio, el cual es un software de análisis estadístico de uso libre. Además, RStudio es un entorno basado en un algoritmo orientado a objetos que permite modelar información por medio de una gran cantidad técnicas esta- dísticas. Asimismo, se puede usar fácilmente para producir gráficas técnicas de calidad junto con símbolos matemáticos y fórmulas. El lenguaje con el que trabaja RStudio proporciona una ruta de código abierto que permite actualizar continuamente la base de datos del programa, a través de la creación de nuevos paquetes de cálculo y análisis. En este trabajo se utilizó el paquete fitdistrplus propuesto por Delignette-Muller y Dutang [26].
De esta manera, se establecieron las distribuciones de probabilidad de los parámetros del suelo que dominan la velocidad y magnitud de los asentamientos por consolidación primaria. Dichos parámetros correspondieron al coeficiente de consolidación vertical (Cv), el coeficiente de compresión normal (Cc), el coeficiente de recompresión (Cr), el esfuerzo efectivo de preconsolidación (σpj ), la relación de vacíos inicial (e 0) y peso unitario saturado ( γsat ). Se encontró que las funciones de distribución de probabilidad (FDP) de los parámetros anteriores son la distribución normal (Ecuación (1)], la distribución log-normal (Ecuación (2)] y distribución Weibull (Ecuación (3)]. La Tabla 3 relaciona los parámetros del suelo con los valores de las constantes de cada distribución de probabilidad y la Figura 6 presenta las curvas de dichas FDP; donde para las Ecuaciones (1) y (2)µ es la media de los datos y σ es la desviación estándar, y para la 3 α es el parámetro de escala y β es el factor de forma de la distribución Weibull.





3.2 Probabilidad de asentamiento
Se estimó la probabilidad de un asentamiento, por consolidación primaria, inducido por incremento de esfuerzo ∆σ = 40 kPa sobre la superficie en el suelo de la Sabana de Bogotá. Dicho esfuerzo fue tomado con base en una suposición que aborda la construcción de una zapata corrida de 1 m de ancho y que tiene un factor de seguridad de 2.5 en condiciones no drenadas; es decir,
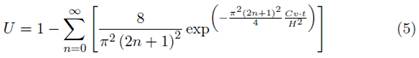
, donde el valor Su fue tomado a partir de los resultados del ensayo de compresión inconfinada. Asimismo, se evaluó la probabilidad de asentamiento mediante la ejecución de 5000 simulaciones de Monte Carlo. Por lo tanto, se generó la misma cantidad de números aleatorios que siguen las misma FDP de la Sección 3.1 para cada uno de los parámetros de consolidación. Posteriormente, se reemplazaron dichos valores aleatorios en las Ecuaciones 4 y 5 para obtener el asentamiento del suelo en función del tiempo.



donde, H corresponde al espesor del estrato de arcilla; σ0j es el esfuerzo in-situ en la mitad del estrato de arcilla; U representa el grado de consolidación del suelo; n es un factor integrador que corresponde a entero positivo con valores de 0 a ∞; y los demás parámetros ya fueron descritos en la sección 3.1.
Por otro lado, en las simulaciones de Monte Carlo se contemplaron las siguientes simplificaciones respecto a la estratigrafía del terreno: (i) el perfil estratigráfico está compuesto por el suelo arcilloso de estudio y una capa arenosa, sobre la que reposa dicha arcilla; (ii) el suelo arcilloso tiene un espesor de 4.5 m que va desde la superficie hasta la capa arenosa, lo que garantiza el drenaje doble del suelo; (iii) el espesor del suelo arcilloso no presenta variaciones espaciales; y (iv ) el nivel freático se localiza en la superficie del terreno. Las suposiciones anteriores tienen como propósito presentar, únicamente, el efecto de la variabilidad de los parámetros de consolidación del suelo arcilloso de la Sabana de Bogotá en el cálculo de asentamientos.
La Figura 7 muestra los resultados del cálculo determinístico del asentamiento por consolidación primaria, evaluado a partir de los valores medios de los parámetros de consolidación y el rango de probabilidad de asentamiento, obtenido mediante las simulaciones de Monte Carlo. Además, en dicha Figura se observa que los asentamientos por consolidación primaria en el tiempo de los suelos arcillosos de la Sabana de Bogotá no son determinísticos, dado que las curvas de asentamiento presentaron una variación del 33 %. De esta manera, se encontró que los diseños geotécnicos requieren ser complementados con análisis de confiabilidad, debido a la variabilidad espacial de los suelos que componen la zona. Orozco [27] recopiló datos, en el occidente de Bogotá, sobre el efecto del fenómeno de consolidación en edificaciones apoyadas sobre cimentaciones superficiales y observó que dichas construcciones presentaron asentamientos con valores cercanos a los 65 cm para un ∆σ = 46 kPa. Por otro lado, Garzón [28] estimó el tiempo necesario para alcanzar la consolidación primaria en el suelo de la Sabana de Bogotá, sus resultados revelaron que el asentamiento máximo por consolidación primaria se alcanza después de los tres primeros años de la variación del esfuerzo en el terreno. Lo anterior permite establecer que las suposiciones hechas para obtener la Figura 3.2 son válidas para describir el comportamiento deformación en el tiempo del suelo de estudio.

4 Discusión
El estudio y la caracterización de los suelos es un factor clave al momento de definir el diseño de cualquier estructura geotécnica. No obstante, las exploraciones geotécnicas están condicionadas, muchas veces, por las limitaciones de tiempo y presupuesto para su completa ejecución. Por lo tanto, se requiere el desarrollo de planes experimentales, detallados, que contribuyan a comprender mejor el comportamiento esfuerzo deformación de este tipo de materiales. Asimismo, dichos planes son pertinentes para el mejoramiento y calidad de las obras que se emplazarán en la zona de estudio.
Los análisis probabilísticos que consideran incertidumbre de las pro- piedades del suelo conllevan a una metodología racional que permite una mejor interpretación de la variabilidad de los resultados. Ahora bien, son pocos los estudios relacionados con la caracterización probabilística de los parámetros de consolidación, como sucede con los suelos de la Sabana de Bogotá. Lo anterior debido a que los estudios de variabilidad de suelos finos, usualmente, se desarrollan a partir de ensayos de rápida ejecución, tales como el SPT, CPTu, DMT, veleta de corte, contenido de humedad, límite plástico y límite líquido [29]. Sin embargo, Caicedo et al. [30] presentan una caracterización detallada de los depósitos lacustres de Bogotá con base en los resultados obtenidos a partir de un exhaustivo plan experimental de laboratorio que incluyó 2400 ensayos, incluidas pruebas físicas (distribución granulométrica, límites de Atterberg, densidad de partículas sólidas y contenido de materia orgánica) y pruebas mecánicas (compresión unidimensional, de compresión no confinadas y triaxiales).
En la actualidad, se cuenta con datos de caracterización de la variabilidad de suelos arcillosos de Ciudad de México, Boston y Londres [31]. En dichos trabajos se presenta la variabilidad de OCR, σpj , Cc y Cr. No obstante, la variabilidad del Cc está basada en correlaciones obtenidas a partir de ensayos de límite líquido y la variabilidad del Cr en una fracción del Cc. Además, allí se relaciona la incertidumbre de estos parámetros en términos de valores medios y coeficiente de variabilidad (COV).
Hidalgo y Pacheco de Assis [32] recopilaron datos sobre los rangos típicos de coeficientes de variación para algunos parámetros geotécnicos de interés [Tabla 4]. Aun así, dicha recopilación no presenta todos los parámetros de consolidación de este estudio y relaciona datos de diversos orígenes sin indicar la representatividad de los mismos para aplicar en todos los trabajos de diseño ingenieril. De esta manera, se calcularon los valores de COV para cada uno de los parámetros de consolidación del suelo del sector Sabana Centro de la Sabana de Bogotá en función del número de ensayos [Figura 8], tal como lo propone Charlton y Rouainia [33]. La Figura 8 se obtuvo mediante el cálculo de COV conforme aumentó el número de en- sayos u observaciones; es decir, se estimaron los valores de µ y σ desde el ensayo 1 hasta el ensayo 30 y, simultáneamente, se obtuvo el COV para los ensayos acumulados. Lo anterior, tuvo como propósito comparar los resultados del suelo de la Sabana de Bogotá con los reportados en la Tabla 4 y establecer si la cantidad de observaciones fueron suficientes mediante la estabilización del valor de COV en cada parámetro.
Se encontró que la variabilidad de Cv no se encuentra dentro del rango presentado para este parámetro, y que la variabilidad de Cc, γsat y σpj se ajusta a los rangos propuestos en la Tabla 4. Además, se clasificaron los valores de COV presentada por Phoon y Ching [11] [Tabla 5]. Dichos autores clasifican la variabilidad del suelo desde excelente hasta mala, donde excelente corresponde a un suelo con poca variabilidad y mala a un suelo con alta variabilidad (> 20 %). De esta manera, se encontró que el suelo del Sector Sabana Centro de la Sabana de Bogotá presenta variabilidad inherente espacial en sus parámetros de consolidación que se atribuyen a diferencias de composición, fábrica, estructura e historia de esfuerzos entre un punto y otro.

Asimismo, se observó que el valor de COV tiene a un valor constante a partir de 27 observaciones; lo que confirma que 30 observaciones fueron suficientes para asegurar la representatividad estadística en esta investigación. Sin embargo, no está de más complementar aumentando el número de observaciones mediante la ejecución de ensayos de laboratorio y así confirmar si la tendencia de los COV es estable para 30 observaciones.

Por otra parte, Phoon y Kulhawy [13] establecen que la variabilidad espacial de las propiedades físicas y mecánicas de los suelos no siempre se ajustan a la distribución normal. Por consiguiente, es necesario caracterizar los suelos mediante PDF apropiadas que describan dicha variabilidad para cada uno de sus parámetros [15]. Lo anterior se debe a que no siempre la distribución de datos es uniforme y el valor medio de los mismos coincide con la mediana.
En este trabajo la anterior afirmación se validó, inicialmente, mediante la evaluación de la simetría de los datos. La evaluación contempló el cálculo de las medidas de tendencia central y una comparación entre los estadísticos descriptivos de cada conjunto de datos. Posteriormente, se estimaron las PDF de cada uno de los parámetros de consolidación y se comprobó que, efectivamente, la variabilidad espacial de todos los propiedades del suelo de la Sabana de Bogotá no está descrita mediante una distribución normal.
De esta manera, se estableció que los parámetros de consolidación de dicho tipo de suelo siguen las distribuciones normal, log-normal y Weibull. Ching y Phoon [29], Caicedo et al. [30] y Bong y Stuedlein [31] establecen que dichas distribuciones son apropiadas para reducir la incertidumbre y caracterizar el comportamiento de materiales arcillosos durante el proceso de consolidación. Además, las anteriores distribuciones describen acertada- mente la variabilidad espacial de los parámetros de consolidación del suelo de la Sabana de Bogotá. Lo anterior, se debe a que el orden de magnitud de los números aleatorios se encuentra dentro de un rango de valores típicos admisibles para este tipo de parámetros [13]. No obstante, desde un punto de vista práctico y que involucra el sentido físico de las variables, la distribución log-normal es la que mejor representa la variabilidad de dichos parámetros; dado que dicha distribución no contempla valores negativos.
Por otro lado, se validaron los resultados de las simulaciones de Monte Carlo con la solución determinística (tradicional) del cálculo de asentamientos. Dicha validación fue realizada mediante la comparación del valor del asentamiento medio de la Figura 7 con el valor obtenido al
reemplazar los valores medios de los parámetros de consolidación (presentados en la Figura 5] en la Ecuación (4).
La comparación reveló que entre los resultados de ambos métodos existe un error relativo próximo al 5 %. De esta manera, se estableció que el procedimiento utilizado en las simulaciones de Monte Carlo fue correcto, dado que el valor del asentamiento final fue cercano al obtenido median- te el procedimiento tradicional determinístico. No obstante, la diferencia entre los resultados puede ser atribuida a que no todos los parámetros de consolidación, del suelo del Sector Sabana Centro de la Sabana de Bogotá, siguen una distribución normal. Por lo tanto, se recomienda utilizar parámetros cuyos valores involucren medidas de tendencia central diferentes a la media de los datos en casos en los que no se cuente con una distribución de probabilidad de los mismos; es decir, en cálculos basados en métodos determinísticos.
5 Conclusiones
Este trabajo de investigación se enfocó en la evaluación de los parámetros de consolidación de un suelos arcilloso proveniente del Sector Sabana Centro de la Sabana de Bogotá. En esta investigación se ejecutó una exploración geotécnica y un plan experimental que incluyó ensayos de consolidación unidimensional. De esta manera, se establecieron las FDP de dichos parámetros para aplicarlas en un modelo de confiabilidad basado en simulaciones de Monte Carlo. El modelo permitió estimar la probabilidad de asentamiento de una estructura geotécnica construida sobre este tipo de suelo. Las conclusiones del trabajo de investigación son las siguientes:
Se midieron las propiedades de compresibilidad de un material específico en laboratorio. De esta manera, se establecieron las distribuciones de probabilidad de tales variables con el fin de caracterizar el suelo del Sector Sabana Centro de la Sabana de Bogotá. Asimismo, se encontró que el comportamiento de dichas propiedades sigue un rango de valores que están acorde con el sentido físico de las mismas; dado que ninguna de las propiedades presentan resultados negativos y son acordes a los valores reportados en la literatura por Phoon y Kulhawy [13] e Hidalgo y Pacheco [32].
Debido a la incertidumbre en lo parámetros del suelo, se recomienda no utilizar valores de confiabilidad reportados en la literatura obtenidos a partir de ensayos ejecutados en materiales que no son similares a los que se está diseñando. Por lo tanto, es necesario realizar estudios de caracterización de variabilidad en suelos con características particulares. Sin embargo, es posible que las distribuciones de probabilidad que se obtengan no correspondan a las más conocidas y requieran metodologías de cálculo avanzadas.
Se calculó la magnitud de un asentamiento por consolidación primaria de un suelo recuperado del Sector Sabana Centro de la Sabana de Bogotá mediante el método clásico estocástico y un método de confiabilidad, simulaciones de Monte Carlo. Los resultados revelaron que la magnitud del asentamiento no es un valor constante, debido a la incertidumbre y la variabilidad del suelo de cimentación. Por lo tanto, se encontró que las metodologías basadas en el análisis de confiabilidad permiten identificar las propiedades más sensibles o con mayor efecto en los asentamientos por consolidación primaria y estudian de manera objetiva la influencia de su variabilidad en la respuesta general del suelo. Además, se estableció que los métodos estocásticos que abordan la variabilidad de las propiedades del suelo son más aproximados a lo que ocurre en campo, debido a que estos involucran la incertidumbre del material.
6 Nomenclatura
Agradecimientos
Los autores agradecen al Ingeniero Eduardo Dulcey Leal por su acompañamiento durante la ejecución de la exploración geotécnica y el desarrollo del plan experimental. El tercer autor agradece el apoyo financiero otorga- do por la Vicerrectoría de Investigaciones de la Universidad Militar Nueva Granada a través del Proyecto de Investigación IMP-ING-2131.
Referencias
1. L. X. Garzón, B. Caicedo, M. Sánchez-Silva, and K.-K. Phoon, “Physical modelling of soil uncertainty,” International Journal of Physical Modelling in Geotechnics, vol. 15, no. 1, pp. 19-34, mar 2015. 180
2. A. Viana da Fonseca, J. Carvalho, C. Ferreira, E. Costa, C. Tuna, and J. A. Santos, “Geotechnical characterization of a residual soil profile: the ISC’2 experimental site, FEUP,” in Geotechnical and Geophysical Site Characterization: Proceedings of the Second International Conference on Site Characterization, ISC-2 Porto, Portugal, A. Viana da Fonseca and P. W. Mayne, Eds. Porto: 9059660099, 2004, pp. 1361-1369. 180
3. G. A. Fenton and D. V. Griffiths, “Probabilistic Foundation Settlement on Spatially Random Soil,” Journal of Geotechnical and Geoenvironmental Engineering, vol. 128, no. 5, pp. 381-390, may 2002. [Online]. Available: https://doi.org/10.1061/(ASCE)1090-0241(2002)128:5(381) 181
4. G. A. Fenton and D. V. Griffiths , “Three-Dimensional Probabilistic Foundation Settlement,” Journal of Geotechnical and Geoenvironmental Engineering , vol. 131, no. 2, pp. 232-239, feb 2005. [Online]. Available: https://doi.org/10.1061/(ASCE)1090-0241(2005)131:2(232) 181
5. L. Houy, D. Breysse, and A. Denis, “Influence of soil heterogeneity on load redistribution and settlement of a hyperstatic three-support frame,” Géotechnique, vol. 55, no. 2, pp. 163-170, mar 2005. 181
6. T. Al-Bittar and A.-H. Soubra, “Probabilistic Analysis of Strip Footings Resting on Spatially Varying Soils and Subjected to Vertical or Inclined Loads,” Journal of Geotechnical and Geoenvironmental Engineering, vol. 140, no. 4, p. 4013043, 2014. [Online]. Available: https://doi.org/10.1061/(ASCE)GT.1943-5606.0001046 181
7. F. Prada, A. Ramos, D. Solaque, andB. Caicedo , “Confiabilidad aplicada al diseño geotécnico de un muro de contención,” Obras y proyectos, no. 9, pp. 49-58, 2011. [Online]. Available: http://dx.doi.org/10.4067/S0718-28132011000100006 181
8. R. Y. Rubinstein and D. P. Kroese, Simulation and the Monte Carlo Method, ser. Wiley Series in Probability and Statistics. Hoboken, NJ, USA: John Wiley & Sons, Inc., 2007. 182
9. M. Sánchez-Silva and G.-A. Klutke, Reliability and Life-Cycle Analysis of Deteriorating Systems, 1st ed. Springer International Publishing, 2016. 182
10. M. Sánchez-Silva , Introducción a la confiabilidad y evaluación de riesgos: teoría y aplicaciones en ingeniería. Bogotá: Universidad de los Andes, 2010. 182
11. K.-K. Phoon and J. Ching, Risk and Reliability in Geotechnical Engineering. London: CRC Press/Taylor & Francis, 2015. 182, 197
12. G. B. Baecherand J. T. Christian, Reliability and statistics in geotechnical engineering, 1st ed. Wiley, 2003. 182
13. K.-K. Phoon and F. H. Kulhawy, “Characterization of geotechnical variability,” Canadian Geotechnical Journal, vol. 36, no. 4, pp. 612-624, nov 1999. [Online]. Available: https://doi.org/10.1139/t99-038 183, 199, 201
14. J. Huang, D. V. Griffiths , andG. A. Fenton , “Probabilistic Analysis of Coupled Soil Consolidation,” Journal of Geotechnical and Geoenvironmen- tal Engineering, vol. 136, no. 3, pp. 417-430, mar 2010. 183
15. T. Bong and A. W. Stuedlein, “Efficient methodology for probabilistic analy- sis of consolidation considering spatial variability,” Engineering Geology, vol. 237, pp. 53-63, 2018. 183, 199
16. F. A. Molina Gómez, J. F. Camacho-Tauta, and O. J. Reyes-Ortiz, “Stiffness of a granular base under optimum and saturated water contents,” Revista Tecnura, vol. 20, no. 49, p. 75, jul 2016. [Online]. Available: http://revistas.udistrital.edu.co/ojs/index.php/Tecnura/article/view/10973 185
17. O. Coronado, B. Caicedo , S. Taibi, A. G. Correia, and J.-M. Fleureau, “A macro geomechanical approach to rank non-standard unbound granular ma- terials for pavements,” Engineering Geology , vol. 119, no. 1-2, pp. 64-73, 2011. 185
18. ASTM International, “D854 - Standard Test Methods for Specific Gravity of Soil Solids by Water Pycnometer,” pp. 1-8, 2014. 186
19. ASTM International, “ASTM D2216 Standard Test Methods for Laboratory Determination of Water (Moisture) Content of Soil and Rock by Mass,” pp. 1-7, 2010. 186
20. ASTM International, “D4318 - Standard Test Methods for Liquid Limit, Plastic Limit, and Plasticity Index of Soils,” pp. 1-14, 2010. 186
21. ASTM International, “D422 - Standard Test Method for Particle-Size Analysis of Soils,” pp. 1-8, 2007. 186
22. ASTM International, “ASTM D2435 - Standard Test Methods for One-Dimensional Con- solidation Properties of Soils Using Incremental Loading,” pp. 1-15, 2011. 187
23. D. W. Taylor, Research on Consolidation of Clays. Massachusetts Institute of Technology, 1942. 187
24. D. D. Wackerly, W. Mendenhall, and R. L. Scheaffer, Mathematical statistics with applications. Thomson Brooks/Cole, 2008. 188
25. ASTM International, “ASTM D2166 - Standard Test Method for Unconfined Compressive Strength of Cohesive Soil,” pp. 1-7, 2016. [Online]. Available: https://compass.astm.org/download/D2166D2166M.24011.pdf 188
26. M. L. Delignette-Muller and C. Dutang, “fitdistrplus: An R Package for Fitting Distributions,” Journal of Statistical Software, vol. 64, no. 4, pp. 1-34, mar 2015. [Online]. Available: http://dx.doi.org/10.18637/jss.v064.i04 191
27. L.F. Orozco, “Asentamientos de fundaciones en la arcilla de Bogotá,”in Encuentro de Suelos y Estructuras. Bogotá: Escuela Colombiana de Ingeniería Julio Garavito, 2006, p. 53. [Online]. Available: https://tycho.escuelaing.edu.co/contenido/encuentros-suelosyestructuras/documentos/cimentacion/05_luis_fernando_orozco.pdf 195
28. J. C. Garzón Rodríguez, “Evaluación de asentamientos por consolidación generada por descenso del nivel freático,” Ph.D. dissertation, Universidad Nacional de Colombia 2011,. [Online]. Available: http://www.bdigital.unal.edu.co/4143/1/296476.2011.pdf 195
29. J. Ching andK.-K. Phoon , “Correlations among some clay parameters - the multivariate distribution,” Canadian Geotechnical Journal , vol. 51, no. 6, pp. 686-704, jun 2014. 197, 199
30. B. Caicedo , C. Mendoza, F. López, and A. Lizcano, “Behavior of diatomaceous soil in lacustrine deposits of Bogotá, Colombia,” Journal of Rock Mechanics and Geotechnical Engineering, vol. 10, no. 2, pp. 367-379, 2018. [Online]. Available: https://doi.org/10.1016/j.jrmge.2017.10.005 197, 199
31. J. Ching and K.-K. Phoon, “Modeling parameters of structured clays as a multivariate normal distribution,” Canadian Geotechnical Journal, vol. 49, no. 5, pp. 522-545, may 2012. [Online]. Available: https://doi.org/10.1139/t2012-015 197
32. C. A. Hidalgo and A. Pacheco de Assis, “Herramientas para análisis por confiabilidad en geotecnia: La teoría,” Revista Ingenierías Universidad de Medellín, vol. 10, no. 18, pp. 69-78, 2011. [Online]. Available: http://revistas.udem.edu.co/index.php/ingenierias/article/view/338 197, 198, 201
33. T. S. Charlton and M. Rouainia, “A probabilistic approach to the ultimate capacity of skirted foundations in spatially variable clay,” Structural Safety, vol. 65, pp. 126-136, 2017. 197