Resumen: La investigación sobre alternativas de alimento para especies acuáticas con alto potencial económico, es uno de los principales temas de estudio en la acuicultura. En la presente investigación se evaluó el consumo de pre-adultos de mosquito por cuatro especies ícticas ornamentales: Carassius auratus, Pterophyllum scalare, Danio rerio y Xiphophorus helleri. El diseño experimental consistió en cuatro tratamientos, con tres réplicas. Cada ensayo se realizó de manera independiente entre especies. En cada acuario (1 l) se colocaron dos peces juveniles, con peso húmedo y longitud total (promedio ± desviación estándar) conocidos. Se suministraron en un tratamiento 100 larvas y en otro 100 pupas de mosquito. La tasa diaria de consumo de larvas y pupas se registró a un intervalo de tres horas durante un ciclo de 24 horas por especie. El peso húmedo de pre-adultos de mosquito difirió 5.20% y el seco 37.69%; en ambos casos, superior en las pupas (p < 0.001). Los peces fueron más activos durante la fase luminosa, 09:00-18:00 h, evidenciado por una mayor tasa de consumo de larvas y pupas de mosquito. Carassius auratus presentó el mayor consumo de larvas/pez/24 horas 131.33 ± 4.16 y de pupas/pez/24 horas 86.16 ± 3.20. Lo anterior difirió significativamente con respecto a P. scalare, D. rerio y X. helleri (p < 0.001). Finalmente, Carassius auratus presentó la mayor capacidad de consumo de pre-adultos de mosquitos.
Palabras clave:Peces ornamentalesPeces ornamentales,larvaslarvas,pupaspupas,pre-adultos de mosquitopre-adultos de mosquito.
Abstract: The research of alternative food for aquatic species with high economic potential is one of the main topics of study in aquaculture. The present study evaluated the consumption of preadult mosquitoes by four ornamental fish species Carassius auratus, Pterophyllum scalare, Danio rerio and Xiphophorus helleri. The experimental design consisted of four treatments with three replicates. Each assay was performed independently between species. In each aquarium (1 l) two juvenile fish were placed, the wet weight and total length (mean ± standard deviation) were known. 100 larvae were supplied in one of the treatments, and 100 pupae in the other one. The daily rate of larvae and pupae consumption was recorded at an interval of three hours during a 24-hour time period per each species. Pre-adult mosquitoes wet weight differed 5.20% and dry weight 37.69%, both were higher in mosquito’s pupae (p < 0.001). The fish were more active during the light phase, 09:00-18:00 h, as evidenced by a higher consumption rate of mosquito´s larvae and pupae. Carassius auratus had the highest consumption 131.33 ± 4.16 larvae/fish/24 hour and 86.16 ± 3.20 pupae/ fish/24 hour, which significantly different compared to P. scalare, D. rerio and X. helleri (p < 0.001). Finally Carassius auratus showed an excellent ability to ingest pre-adult mosquitoes.
Keywords: Ornamental fish, larvae, pupae, pre-adult mosquitoes.
Consumo de pre-adultos de mosquitos por peces ornamentales
Consumption of pre-adult mosquitoes by ornamental fish
Recepción: 31 Marzo 2014
Aprobación: 03 Febrero 2015
La investigación de nuevas alternativas de alimento vivo para solucionar los requerimientos nutritivos de especies ícticas con alto potencial económico es, hoy en día, uno de los principales temas de estudio en el área productiva de la acuicultura (Conceicao et al., 2010; Rønnestad et al., 2013). De tal forma que los culícidos son una alternativa, la cual requiere de la solución de varias incógnitas; principalmente, relacionadas con la aceptabilidad, disponibilidad y riesgo de transmisión de enfermedades.
En este sentido, la abundancia de estos organismos en localidades del estado de Morelos, México, es alarmante y el impacto sobre la salud es cada vez mayor (Narro-Robles y Gómez-Dantés, 1995; Fernández et al., 2012). Por lo anterior es que, se plantea aprovechar este recurso desde la perspectiva de la nutrición acuícola e incorporar de manera directa a los pre-adultos de mosquitos como parte de la alimentación de peces ornamentales.
Actualmente, los mosquitos se encuentran distribuidos en todo el mundo y son considerados vectores de importantes enfermedades (Bissaza et al., 1999; Borda et al., 2003; Luna-Figueroa y Figueroa, 2012). El cuerpo de estos insectos en su estado larval presenta una forma ligera, flexible y blanda; mientras que en su estado de pupa son más grandes, compactas y rígidas (Workman y Walton, 2003). Indicándonos así, que tanto la morfología, la conducta y el peso de estos pre-adultos de mosquito no son los mismos en ambos casos (Luna-Figueroa y Figueroa, 2012).
Es importante subrayar que, por obvias razones de salud no se recomienda el cultivo de estos organismos, sino su recolección y, posteriormente, su incorporación como alimento vivo a la dieta de peces ornamentales; esto, en función de que el estado de Morelos cuenta con 128 granjas de peces de ornato y es, en la actualidad, el principal productor nacional de especies ícticas ornamentales, con aproximadamente 20 millones de peces al año (Ramírez et al., 2010).
La nutrición es un factor de especial importancia en la acuacultura (Kaiser et al., 2003; Schlechtriem et al., 2004; Hamre et al., 2013), y juega un importante papel para mantener la buena salud y comportamiento normal, mejorando la apariencia externa y estimulando la reproducción de peces ornamentales (Mandal et al., 2010). A pesar de esto, frecuentemente, los alimentos comerciales no contienen los nutrientes que las especies requieren para un desarrollo óptimo (Conceicao et al., 2010); principalmente en su primer etapa de vida, que es la crítica en todas las especies, por presentar la mayor mortalidad (Castro et al., 2003).
En este sentido, el alimento vivo no sólo es estimado por ser un nutrimento fisiológicamente valioso, sino por ser un factor conductual importante en la dieta de peces y por constituir una “cápsula” nutritiva que contiene los elementos básicos de una dieta balanceada; con la ventaja de que conservan su valor hasta ser consumidos por los organismos acuáticos (Luna-Figueroa, 2009). Por lo que, en términos generales, se considera que el alimento vivo es mejor que el artificial como dieta de larvas de peces.
Las principales hipótesis fundamentan lo anterior en el hecho de que el alimento vivo induce estímulos visuales y químicos, además de que las enzimas presentes en los organismos vivos contribuyen a la digestión del alimento y a que existen diferencias en la digestibilidad entre los alimentos vivos y los artificiales; las cuales, son atribuidas a diferencias en la digestibilidad de la proteína (García-Ortega, 2000).
Respecto de los peces utilizados en el presente proyecto: después de consultar en más de 50 granjas productoras de peces ornamentales, se encontró que el “pez japonés”, el “pez ángel”, el “pez cebra” y el “pez cola de espada” se encuentran entre las especies más cultivadas hoy en día en las granjas del estado de Morelos, México; e, igualmente, es de las más comercializadas en el mercado nacional.
Sumado a lo anterior, el interés de los productores por conocer si estas especies son consumidoras efectivas de pre-adultos de mosquito, ha generado el planteamiento del presente estudio.
Por lo anterior, el objetivo fue evaluar el consumo de pre-adultos de mosquito, el horario de mayor ingesta y la sobrevivencia de Carassius auratus, Pterophyllum scalare, Danio rerio y Xiphophorus helleri.
Los pre-adultos de mosquitos se colectaron de medios de cultivo de la “pulga de agua” Moina wierzejski en las instalaciones del Laboratorio de Acuicultura del Centro de Investigaciones Biológicas, de la Universidad Autónoma del Estado de Morelos. En el experimento, larvas en instar IV y pupas fueron utilizadas como presas de juveniles de C. auratus, P. scalare, D. rerio y X. helleri. Las características físico-químicas del agua se mantuvieron en 25 ± 1°C, pH 7.2 ± 0.1, 154.5 mg/l CaCO3 y 5.2 ± 0.5 mg/l O2 (APHA, 1992). Durante la fase experimental se evitaron cambios abruptos en la calidad del agua con la finalidad de disminuir la influencia sobre la ingestión de larvas y pupas por los peces.
La identificación de larvas y pupas de mosquito se realizó en el Centro Regional de Control de Vectores de Cuautla, Morelos, México. Se utilizaron muestras vivas de larvas (n= 100) y pupas (n= 100), las cuales se transportaron en frascos de cristal de 100 ml. Las muestras se recolectaron al azar, con la intención de contar con la mayor variedad de organismos e identificarlas.
El peso de las larvas y pupas de mosquito se obtuvo como un indicador biométrico, utilizando una balanza digital (OHAUS Mod. 1500c ± 0.001 g), se colocaron 100 larvas o 100 pupas en una caja Petri con peso conocido y la diferencia entre el peso de la caja vacía y con las larvas o pupas indicó el peso húmedo de los pre-adultos de mosquito.
Para obtener el peso seco de estos culícidos, se tuvo una muestra de 100 larvas y 100 pupas con peso húmedo conocido, se colocaron en una estufa a 60°C durante 72 h, y por diferencia entre el peso inicial y final se obtuvo el peso seco. Tanto el peso húmedo como el peso seco se dividieron entre 100 para obtener el peso individual de las larvas y pupas de mosquito.
Los ensayos experimentales se realizaron en acuarios de cristal con un volumen de 1,000 ml, provistos de aireación constante. El diseño experimental consistió de cuatro tratamientos con tres réplicas. Los seis acuarios (1,000 ml) por especie, tres para larvas y tres para pupas, se colocaron dentro de un acuario de 100 l, equipado con termostato sumergible de 100 Watts para mantener la temperatura en 25 ± 1°C. Los residuos de alimento y las heces se retiraron mediante sifón y el volumen de agua fue recuperado con agua de características físico-químicas similares, mantenida ex profeso para el experimento.
La tasa diaria de consumo de larvas y pupas se registró a un intervalo de tres horas durante un ciclo de 24 horas por especie, sumando un total de ocho ciclos, cuatro para larvas y cuatro para pupas. En cada acuario (1,000 ml) se colocaron dos peces juveniles, con peso húmedo promedio conocido (promedio ± DE) y longitud total (Lt) (promedio ± DE), se suministraron en un tratamiento 100 larvas; y en otro, 100 pupas de mosquitos. Tres réplicas se utilizaron y el valor medio con desviación estándar fue calculado.
Durante las pruebas experimentales los pre-adultos de mosquito fueron suministrados vivos, debido a que la mayoría de los peces no las consumen muertas. En este sentido, el movimiento de estos culícidos en el agua es un estímulo para que los peces inicien su búsqueda (Bissaza et al., 1999).
Los peces se pesaron antes de cada prueba (cuadro 1), para calcular el número medio y máximo de larvas y pupas consumidas por gramo de peso del pez. Para determinar el número de larvas y pupas consumidas por gramo de peso, el número promedio se dividió entre el peso de los dos especímenes experimentales (Pamplona et al., 2007). Por otra parte, se midió la sobrevivencia de los peces de las cuatro especies por diferencia entre el número inicial y el final. Asimismo, se observó y registró el horario en que las especies ícticas experimentales consumieron la mayor cantidad de larvas y pupas.

Por otra parte, durante el ciclo de 24 h de cada especie íctica, las variaciones en el consumo de larvas y pupas entre las cuatro especies ícticas se contrastaron mediante el análisis de varianza de una vía, siempre y cuando se cumplan los supuestos de distribución normal y homocedasticidad de las varianzas; de lo contrario, se utilizará la prueba no paramétrica de Kruskal-Wallis, y la diferencia en el consumo de pre-adultos de mosquito por especie se determinó mediante la prueba de “t”, con el programa estadístico SigmaStat 3.5. Los resultados se organizarán en gráficos de caja en paralelo mediante el programa SigmaPlot 12.0.
Los pre-adultos de mosquito fueron identificados como Culex quinquefasciatus y Cx. stigmatosoma. El peso húmedo promedio por larva de mosquito fue 4.19 ± 0.08 mg y el peso seco 0.276 ± 0.03 mg, con una diferencia de 93.41% entre ambos pesos. El peso húmedo promedio por pupa fue 4.42 ± 0.04 mg y el peso seco 0.443 ± 0.04 mg, con una diferencia de 89.97% entre ambos pesos. El peso húmedo entre larvas y pupas difirió 5.20% y en peso seco 37.69%; en ambos casos, superior en las pupas.

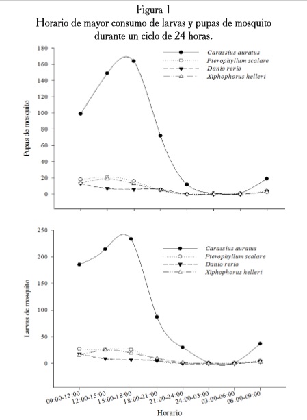
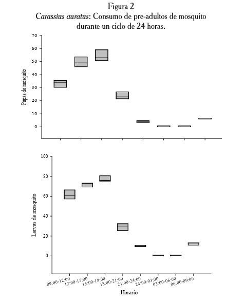
El peso de los peces no difirió significativamente (t= -0.065, p = 0.94) (cuadro 1). Carassius auratus presentó los mejores resultados del estudio (figura 1), la mayor ingesta de pre-adultos de mosquito fue entre las 15:00 y las 18:00 h (figura 2). No se encontraron diferencias significativas (p > 0.001) entre el consumo de larvas y pupas.
El consumo total de larvas/24 h fue 788.00 ± 6.08 y el de pupas 517.00 ± 5.22. El consumo de larvas/pez/24 h fue 131.33 ± 4.16 y 5.47 ± 1.01 larvas/pez/h y de pupas/pez/24 h 86.16 ± 3.20 y 3.59 ± 0.74 pupas/pez/h. La ingesta de larvas o pupas-Relación peso corporal pez (g/24 h) fue 289 larvas/g pez y 189.37 pupas/g pez. La sobrevivencia de los peces fue del 100%.
Por otra parte, los resultados indicaron diferencias significativas entre las cuatro especies ícticas en el consumo de larvas (H = 21.676, p < 0.001) y de pupas (H = 18.020, p < 0.001).

El peso de los peces no difirió significativamente (t = 1.26, p = 0.23) (cuadro 1). Pterophyllum scalare presentó la mayor ingesta de pre-adultos de mosquito entre las 09:00 y las 15:00 h (figura 1). No se encontraron diferencias significativas (p > 0.001) entre el consumo de larvas y pupas.
El consumo total de larvas/24 h fue 91.00 ± 3.63 y el de pupas/24 h 66.00 ± 2.87 (figura 3). El consumo de larvas/pez/24 h fue 15.16 ± 2.31 y 0.63 ± 0.01 larvas/ pez/h y de pupas/pez/24 h 11.00 ± 1.94 y 0.45 ± 0.09 pupas/h. La ingesta de larvas o pupas-Relación peso corporal pez (g/24 h) fue 56.52 larvas/g pez y 46.47 pupas/g pez. La sobrevivencia de los peces fue del 100%.

El peso de los peces no difirió significativamente (t = 1.05, p = 0.31) (cuadro 1). Danio rerio presentó los resultados más bajos del estudio (p < 0.05). Mostró la mayor ingesta de pre-adultos de mosquito entre las 09:00 y las 12:00 h (figura 1). No se encontraron diferencias significativas (p > 0.001) entre el consumo de larvas y pupas.
El consumo total de larvas/24 h fue 43.00 ± 2.51 y el de pupas 35.00 ± 2.38 (figura 4). El consumo de larvas/pez/24 h fue 7.16 ± 1.02 y 0.30 ± 0.02 larvas/pez/h y de pupas/pez/24 h fue 5.83 ± 1.08 y 0.24 ± 0.02 pupas/pez/h. La ingesta de larvas o pupas-Relación peso corporal pez (g/24 h) fue 31.15 larvas/g pez y 26.92 pupas/g pez. La sobrevivencia de los peces fue del 100%.

El peso de los peces no difirió significativamente (t = 0.114, p = 0.91) (cuadro 1). Xiphophorus helleri presentó la mayor ingesta de pre-adultos de mosquito entre las 12:00 y las 15:00 h (figura 1). No se encontraron diferencias significativas (p > 0.001) entre el consumo de larvas y pupas. El consumo total de larvas/24 h fue 76.00 ± 3.12 y el de pupas 54.00 ± 2.86 (figura 5).
El consumo de larvas/pez/24 h fue 12.66 ± 1.37 y 0.53 ± 0.01 larvas/pez/h y de pupas/pez/24 h fue 9.00 ± 1.08 y 0.37 ± 0.01 pupas/pez/h. La ingesta de larvas o pupas-Relación peso corporal pez (g/24 h) fue 56.29 larvas/g pez y 40.29 pupas/g pez. La sobrevivencia de los peces fue del 100%.

La presente investigación evaluó el consumo de pre-adultos de mosquito por cuatro especies ícticas ornamentales (C. auratus, P. scalare, D. rerio y X. helleri), todas exitosas en las granjas piscícolas del estado de Morelos, México (Ramírez et al., 2010). De manera específica, C. auratus presentó el mayor consumo de pre-adultos de mosquito (figura 1). No se encontraron diferencias significativas en el peso y la longitud por especie en los grupos de peces, lo que permitió trabajar con grupos de organismos homogéneos (cuadro 1). Es importante mencionar que al momento en que los peces se alimentaban con los culícidos denotaban ansiedad y gran actividad, por lo que se deduce su aceptación como alimento vivo.
Los resultados del presente estudio indican que en las cuatro especies ícticas hubo diferencias significativas entre el consumo de larvas y pupas de mosquito (p < 0.001), mostrando preferencia por las larvas respecto a las pupas (figuras 2, 3, 4 y 5). Esto, debido a que tanto el peso (37.69%) como el tamaño (9.12%) de las larvas son menores al de las pupas (Salazar y Moncada, 2004), y considerando el tamaño de la boca de los peces del estudio, que es de unos pocos milímetros, la larva presenta el tamaño apropiado para ser consumida por los peces juveniles (Schreck y Moyle, 1990). Asimismo, como consecuencia de la metamorfosis de los mosquitos, el estado pupal presenta la formación de estructuras quitinosas (Workman y Walton, 2003), lo cual dificulta su ingestión, y su posterior digestión requiere mayor esfuerzo por parte del pez, por lo que las pupas deben suministrase a peces adultos.
El análisis de los resultados permite afirmar que el consumo de larvas y pupas no fue influenciado por las condiciones del experimento, pero que las características propias de las especies provocaron diferencias en el consumo; es decir, que peces muy activos y de nado rápido como X. helleri y D. rerio, fácilmente atraparon e ingirieron a los culícidos. Por su parte, P. scalare especie pacífica y delicada, en la cual, el manejo influye en su conducta y por estrés disminuye el consumo de alimento. Mientras que, C. auratus especie muy resistente al manejo, no tuvo problema alguno para devorar a los culícidos.
Estas observaciones señalan la aceptación de larvas y pupas como alimento de los peces; lo que indica que, si esta práctica se llevará a cabo en las granjas piscícolas ornamentales, el consumo de pre-adultos de mosquitos sería mayor, considerando que la cantidad de peces en las granjas de producción es alta, pues ronda los cientos a miles (Ramírez et al., 2010); esto podría potenciar el impacto que tendría incorporar a estos culícidos a la dieta de peces.
El presente estudio aporta conocimiento sobre la nutrición de especies ícticas ornamentales. En este sentido, los pre-adultos de mosquito, son un recurso potencial en la alimentación de peces, debido a que constituyen una cápsula nutritiva; que, por lo general, contiene los elementos de una dieta balanceada, con influencia directa sobre el crecimiento, la reproducción y la sobrevivencia de los peces (Luna-Figueroa, 2002; Glencross et al., 2007; Conceicao et al., 2010).
En términos generales, estos culícidos reúnen las características apropiadas para su utilización como alimento vivo en la acuicultura; entre éstas se encuentra su alto valor nutritivo: proteína, 42.59%; lípidos, 10.64% y carbohidratos, 7.68% (Olascoaga y Luna-Figueroa, 2005), abundancia, movilidad y cuerpo blando (Luna-Figueroa y Gómez, 2005).
En el caso particular de Culex stigmatosoma y Cx. quinquefasciatus, especies identificadas para este estudio, no se recomienda su cultivo; sin embargo, mediante recolectas en hábitats naturales, preferentemente en áreas aledañas a las granjas de peces ornamentales, es posible incorporarlos como alimento vivo en la dieta de peces y, al menos, de manera local disminuir la hematofagia antropofílica (Reisen y Reeves, 1990; Workman y Walton, 2003).
Una característica importante en los procesos de alimentación de los organismos acuáticos y, en particular en los peces en cautiverio, es el horario de suministro de alimento (Conceicao et al., 2010; Hamre et al., 2013). Específicamente, en las granjas piscícolas conocer el horario de mayor actividad alimentaria de las especies en cultivo, representa hacer eficiente el recurso nutritivo, así como proveer a los peces la materia prima en cantidad y calidad en el momento apropiado. En este sentido, los resultados indican que el horario de mayor actividad alimentaria por especie es el siguiente: C. auratus, de 15:00-18:00 h; P. scalare, de 12:00-18:00 h; D. rerio, de 09:00-12:00 h, y X. helleri, 12:00-15:00 h (figura 2). Todos los peces fueron más activos durante la fase luminosa (09:00-12:00 h a 15:00-18:00 h), evidenciado por una mayor tasa de consumo de larvas respecto a las pupas de mosquito.
Los resultados indican que C. auratus son comedores competentes de larvas y pupas de mosquito. Por lo que es importante subrayar que la estimación de los pre-adultos consumidos por gramo de peso del pez, permite una comparación de la capacidad larvífaga de los peces (Pamplona et al., 2007); que, en este caso en particular, genera información valiosa referente a C. auratus como excelente consumidor de culícidos (figuras 1 y 2).
Al respecto, existen investigaciones relacionadas con el consumo de pre-adultos de mosquito, ya sea utilizados como alimento vivo: mediante la incorporación larvas de Cx. quinquefasciatus en la dieta de P. scalare (Luna-Figueroa y Gómez, 2005), evaluación del aprovechamiento de Cx. quinquefasciatus en la dieta de D. rerio (Olascoaga y Luna-Figueroa, 2005), estudio del consumo y efecto de pre-adultos de mosquitos como alimento vivo para Cichlasoma istlanum (Luna-Figueroa, 2007; Luna-Figueroa y Figueroa, 2012); en todos estos casos, con resultados positivos en crecimiento y sobrevivencia de los peces, o utilizados como control biológico.
En este sentido P. scalare en 24 h consumió 40 larvas y 112 pupas de Anopheles stephensi, Betta splendens 238 y 319, Pseudotropheus tropheops 247 y 186; y, Osphronemus gorami, 180 y 217 larvas y pupas (Ghosh et al., 2004), Trichogaster trichopteros consumió 47 larvas de Cx. quinquefasciatus/g/día (Jayasree y Panicker, 1992), Gymnogeophagus brasiliensis consumió 152 larvas/día de Cx. quinquefasciatus (Borda et al., 2003), Poecilia reticulata presentó mayor capacidad larvívora (A. aegypti) que C. auratus (Valero et al., 2006). Asimismo, especies ícticas como Poecilia sphenops, T. trichopteros, Astyanax fasciatus, P. reticulata y B. splendens han sido utilizados con buenos resultados para el control de larvas de A. aegypti (Hernández y Marques, 2006; Pamplona et al., 2007).
A pesar de que son producidas grandes cantidades de peces ornamentales (Ramírez et al., 2010), las tasas de sobrevivencia frecuentemente son bajas o muy variables (Valente et al., 2013). En este caso, la alta sobrevivencia de los peces indica que los pre-adultos de mosquito, como alimento vivo, no limitan el manejo de los peces. Se recomienda en momentos específicos del ciclo de vida de las cuatro especies de peces alimentar con larvas y en otros con pupas, dependiendo de la etapa de desarrollo. La sobrevivencia del 100% para los cuatro grupos ícticos indica que las condiciones experimentales y de manejo permitieron la adaptación de los peces y facilitaron el consumo de los pre-adultos de mosquito.
Finalmente, la utilización de C. auratus, P. scalare, D. rerio y X. helleri, es el primer paso para la incorporación de pre-adultos de mosquitos como alimento vivo, al menos en granjas piscícolas ornamentales. A pesar de la aceptación como alimento por los peces, es importante subrayar que por cuestiones de salud no es recomendable el cultivo de estos culícidos.
De igual manera, el conocimiento del consumo de pre-adultos por gramo de peso del pez indica la ingesta aproximada de culícidos, y es posible calcular o extrapolar el consumo de estos organismos en granjas piscícolas.
C. auratus resultó la especie con el mayor consumo de pre-adultos de mosquitos, por lo que es posible considerar a la especie como un modelo experimental para futuros ensayos relacionados con estos culícidos.
Carassius auratus es un excelente consumidor de pre-adultos de mosquitos.
El conocimiento del horario de mayor ingesta por especie contribuye a optimizar la alimentación en las granjas piscícolas.
El consumo preferente de larvas sugiere su suministro en la alimentación de peces juveniles y las pupas para adultos de mayor tamaño y peso.
La sobrevivencia en los peces fue del 100%.
El presente estudio fue financiado por el Centro de Investigaciones Biológicas (CIB) de la Universidad Autónoma del Estado de Morelos, México. Los autores agradecen al M. en C. José Figueroa Torres, Responsable del Laboratorio de Acuicultura (CIB-UAEM), por las facilidades y aportes para llevar a cabo la presente investigación.





