Artículo científico
Efecto de la complementación de grasa protegida en la producción y composición de leche de cabras en pastoreo
Effect of protected fat complementation on production and composition of grazing goat
Efecto de la complementación de grasa protegida en la producción y composición de leche de cabras en pastoreo
Avances en Investigación Agropecuaria, vol. 21, núm. 1, pp. 77-85, 2017
Universidad de Colima

Resumen: El manejo de los rebaños caprinos en la región de la Comarca Lagunera se realiza, principalmente, en el sistema de producción extensivo, la alimentación consiste en especies forrajeras del agostadero y residuos agrícolas; esto provee un bajo aporte nutricional y, con ello, una baja producción de leche. Por esta razón, es necesario desarrollar estrategias de complementación que incrementen la producción y calidad de leche en este tipo de cabras. El objetivo de este estudio fue determinar el efecto de complementar con grasa protegida la producción y propiedades químicas de la leche en condiciones de pastoreo extensivo. Se utilizaron 12 cabras adultas, distribuidas aleatoriamente en tres grupos (Control, 40 y 80 g de grasa). El diseño experimental fue completamente al azar, con cuatro repeticiones. Las cabras tuvieron dos semanas como periodo de adaptación y diez semanas experimentales. Las muestras de leche se obtuvieron un día de cada semana experimental. Las variables medidas fueron: producción y concentración de grasa, proteína y lactosa en leche. El análisis estadístico se realizó con un modelo de medidas repetidas del MIXED, de SAS. La complementación con 40 y 80 g de grasa no mostraron cambios en la producción de leche, proteína y lactosa; sin embargo, hubo efecto en la concentración de grasa a partir de la semana ocho.
Palabras clave: Grasa láctea, pequeños rumiantes, Región Lagunera, sales de Ca.
Abstract: Management of goat herds in the Comarca Lagunera region mainly is on extensive system, feeding consist in rangeland species and agricultural waste, this provides a low input of nutrients and thereby low milk production. By this reason is necessary work up in supplementary strategies that increase goat milk production and quality. The aim of this study was to determine protected fat supplementation effect on production and chemical properties of milk in extensive grazing conditions. A total 12 lactating does were randomly assigned into three groups (control, 40 and 80 g fat). Experimental design was completely random with four repetitions. Goats had two weeks like adjustment period and ten experimental weeks. Milk samples were obtained one day in each experimental week. The variables measured were production milk and fat, protein and lactose concentration. Statistical analysis was with repeated measures model from MIXED from SAS. Supplementation with fat 40 and 80 g was no changes in milk production, protein and lactose; however, there was an effect on fat concentration since the week eight.
Keywords: Ca salts, Laguna region, milk fat, small ruminants.
Introducción
En México, la mayor parte de la población caprina se explota bajo el sistema extensivo de producción, alrededor del 64 % se encuentran en zonas áridas y semiáridas (Cantú et al., 1989), donde la alimentación depende de los forrajes en las áreas de pastoreo o residuos de cultivos agrícolas (Cantú, 2004). Esta situación ocasiona variaciones en la calidad y disponibilidad de alimento en el año, debido principalmente al régimen pluvial; ya que, la producción de forraje está significativamente relacionado con la precipitación tanto anual como estacional (Lauenroth y Sala, 1992); asimismo, un incremento en la precipitación media anual, aumenta la producción y la abundancia de especies forrajeras clave (Bai et al., 2008) para la alimentación del ganado caprino. Esta variación en calidad y disponibilidad de forraje (principalmente, en la época de seca) limita el crecimiento y desarrollo del ganado, teniendo efecto sobre las características reproductivas y, finalmente, provocando baja producción de leche y carne de las cabras (Sánchez et al., 2003).
La producción de leche depende de múltiples factores, tales como: raza, etapa de lactancia, estación del año, prácticas de manejo, estado de salud, entre otros; no obstante, la alimentación es uno de los principales (Salvador y Martínez, 2007).Mburu et al. (2014), señalan que prácticas alimenticias deficientes afectan la producción lechera en cabras; por su parte, Escareño et al. (2011) mencionan que el manejo de los caprinocultores del sistema extensivo requiere cambios respecto a cubrir los requerimientos nutricionales de las cabras; y así, propiciar una mejora en la producción de leche.
Ante esta situación, resulta necesario desarrollar estrategias de complementación alimenticia que ayuden a mitigar los efectos que se presentan por la baja calidad y disponibilidad de forrajes del sistema extensivo de producción caprina. Por lo que es necesario ubicar nutrientes que provean energía a los animales; ya que los requerimientos energéticos de este tipo de cabras —en virtud de la actividad de pastoreo— son mayores respecto de cabras estabuladas (NRC, 2007).
En este sentido, la suplementación de lípidos se ha utilizado en la alimentación de ganado lechero, con el objetivo de incrementar la ingesta de energía por parte del animal; propiciando una disminución de la movilización de reservas corporales durante el período de balance energético negativo. No obstante, ingredientes altos en ácidos grasos insaturados (semillas de oleaginosas y aceites vegetales) afectan la digestión ruminal, al inhibir la motilidad del retículo-rumen (Chilliard et al., 2003).
De igual forma, la fermentación de hidratos de carbono estructurales se ve afectada negativamente debido a que los lípidos forman una película alrededor de las fibras, lo que limita el acceso de los microorganismos ruminales (Maiga y Schingoethe, 1997); por último, existe un efecto tóxico de los ácidos grasos de cadena larga sobre los protozoos y bacterias Gram-positivas, deteriorando la actividad celulolítica (Palmquist y Mattos, 2011).
Debido a esto, se han propuesto alternativas que no alteren el metabolismo, ni la microbiota ruminal, como los jabones de calcio. Su inclusión en la dieta de cabras lecheras ha generado mejoras en la producción y composición de la leche de cabras; además, provoca un cambio en el perfil de ácidos grasos en beneficio de la salud del consumidor (Salvador et al., 2009).
Con base en las consideraciones anteriores, el objetivo de la presente investigación fue determinar el efecto de la complementación con grasa protegida, a dos niveles de inclusión sobre la producción, y las propiedades químicas de la leche de cabras manejadas en condiciones de pastoreo extensivo.
Materiales y métodos
Localización y fecha
El estudio se realizó de marzo a junio de 2010, en una granja particular en el Ejido Ignacio Zaragoza, municipio de Viesca, Coahuila (México). Ubicado dentro de la región denominada “Comarca Lagunera”, dentro de las coordenadas 102º 48’ de longitud oeste y 25º 20’ de latitud norte, a una altura de 1,100 msnm; con temperatura media anual de 21ºC y precipitación media anual de 300 mm; el clima se clasifica como semicálido con lluvias en verano (García, 1987).
Cabras, diseño experimental y tratamientos
Se utilizaron 12 cabras adultas locales (cruzas de razas Saanen, Alpina Francesa, Toggenburg y Nubia), de uno a cuatro años de edad, con peso promedio de 34 kg, condición corporal media de 2.5 (escala 1 a 5) y 39 a 54 días en lactación; distribuidas aleatoriamente en tres grupos de cuatro animales por grupo, usando un diseño completamente al azar. Las cabras tuvieron un periodo de adaptación de dos semanas (14 días), y diez semanas experimentales (70 días), donde las muestras de leche se obtuvieron un día de cada semana experimental.
Los tratamientos fueron; Testigo: pastoreo; Grasa 80 g: pastoreo + complementación con 80 g de una mezcla de ácidos grasos protegidos (Megalac®, Arm & Hammer Animal Nutrition) + 300 g de maíz rolado + 3.8 g de sales minerales (Superbayphos®, Bayer); Grasa 40 g: pastoreo + 40 g de la mezcla de ácidos grasos protegidos + 150 g de maíz rolado + 1.7 g de sales minerales. Cada 100 g de Superbayphos® contienen: Fósforo 10%, Calcio 12 %, Hierro 0.50 %, Magnesio 0.10 %, Cobre 0.15 %, Zinc 0.12 %, Manganeso 0.055%, Cobalto 0.05%, Yodo 0.02%, Selenio 200 ppb, Vitamina A 50,000 U.I. Al inicio del estudio, a las cabras se les realizó un examen clínico general para descartar cualquier patología.
Manejo de las cabras y ordeña
La ordeña se realizó manualmente una vez por día, de 6:00 am a 7:00 am; posteriormente, las cabras salían a pastorear de 9:00 am a 6:00 pm. Los recorridos fueron de 5 a 10 km día, dependiendo de la disponibilidad de forraje nativo y/o residuos agrícolas: melón (Cucumis melo L.) y sandía (Citrillus lanatus); a su regreso, se alojaron en corrales sin divisiones, junto al resto del hato del caprinocultor. El complemento fue ofrecido de forma individual en un recipiente fuera del corral, por la tarde, al regreso del pastoreo.
Producción y composición de leche
La producción de leche se midió individualmente con una báscula portátil (LS2000®, Ohaus) una vez por semana durante el periodo experimental. Simultáneamente, se obtuvieron muestras de leche de cada cabra; las cuales fueron colectadas en frascos con rosca (100 ml), para su análisis químico (grasa, proteína y lactosa), con un equipo automatizado que trabaja a través de señales sonoras (Milkoscope Expert®, Scope Electric) en el laboratorio de inocuidad del INIFAP C. E. La Laguna, Matamoros, Coahuila.
Análisis estadístico
El análisis estadístico se realizó utilizando el paquete estadístico SAS V. 9.4, se empleó un modelo de medidas repetidas con el procedimiento MIXED, para obtener mejores soluciones para los efectos fijos. Como componente aleatorio, se consideró el efecto del animal y las medias de mínimos cuadrados se calcularon con la prueba Tukey ajustada.
La estructura general del modelo es:
Yijkl=µ+IDi+Tj+ Sk+ Tj* Sk +Eijkl
Donde: Yijkl: Producción promedio de leche/cabra y/o componente de la leche (Grasa, Proteína, Lactosa), µ: constante que caracteriza a la población, IDi: efecto aleatorio del i-ésimo animal (i=1, 2, 3,…, 12), Tj: efecto fijo del j-ésimo tratamiento (j=1, 2, 3) Sk: efecto fijo de la k-ésima semana de tratamiento (k=1, 2,…,10), Tj* Sk: efecto fijo de la interacción semana*tratamiento, Eijkl: error aleatorio. Todos los componentes aleatorios se supusieron normalmente distribuidos.
Resultados
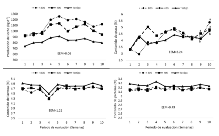
Los datos de producción de leche y concentración de grasa, lactosa y proteína en leche se muestran en el cuadro 1, sin diferencias estadísticas (P > 0.05) entre tratamientos.

En la figura 1, se muestra el efecto en el tiempo de la complementación de grasa protegida sobre la producción y componentes de la leche, además de la interacción tratamiento por tiempo; por lo que resulta estadísticamente significativa la concentración de grasa (P < 0.002). Dicha interacción indica que en las primeras ocho semanas experimentales no hubo efecto por incluir grasa protegida sobre la concentración de grasa en leche; no obstante, en la semana ocho, la grasa láctea del tratamiento con 80 g de grasa, fue superior 11.60 y 13.90 % respecto del tratamiento con 40 g de grasa de sobrepaso y testigo, respectivamente. Sin embargo, en la semana diez, los tratamientos con grasa protegida (80 g vs. 40 g) no fueron estadísticamente diferentes entre sí (P > 0.05); pero, fueron superiores (P < 0.01) 11.60 % al tratamiento testigo.

Discusión
La producción de leche (1 kg d-1) en este estudio fue menor a la reportada por Gómez y Tovar (2005) (±1.5 kg d-1), quienes trabajaron en la misma región, en condiciones de estabulación, con cabras de raza pura. La menor producción de leche de la presente investigación pudo estar relacionada con los mayores requerimientos energéticos de estas cabras respecto de estabuladas (NRC, 2007). Sin embargo, la revisión de la literatura especializada no mostró datos para cabras en pastoreo de la misma región de estudio.
La complementación con 40 y 80 g d-1 de grasa protegida a cabras lactantes en pastoreo no tuvo efecto sobre la producción de leche; estos resultados contrastan con los reportados por Titi (2011), quien complementó con grasa protegida la dieta de cabras lactantes estabuladas a niveles de 45 y 75 g d-1, y reportó un incremento (P < 0.05) de leche con la dosis alta respecto del tratamiento testigo; no así, para el nivel bajo de inclusión. De la misma forma, Salvador et al. (2009) reportan un incremento (P < 0.05) de leche al complementar la dieta de cabras canarias, con 80 g d-1 de grasa protegida respecto del tratamiento testigo. No obstante, Molina et al. (2015), ofrecieron a cabras lactantes Saanen en estabulación 12.50, 25, 37.50 y 50 g d-1 de grasa protegida, sin observar cambios en la producción de leche.
Gómez y Tovar (2005), suplementaron a cabras Alpinas lactantes en estabulación, en la misma región del presente estudio, con cantidades similares (0, 25, 50, y 75 g d-1) de Megalac® y no observaron efecto en producción de leche. Por su parte, Sanz-Sampelayo et al. (2002), complementaron a cabras lactantes mayores cantidades de grasa protegida (0, 90 y 120 g d-1) y tampoco observaron cambios en la producción de leche. Otro factor podría ser que, al incluir grasa protegida en la dieta, dicha protección sólo es parcial; lo cual puede tener repercusiones negativas en la fermentación ruminal de la materia orgánica. Al respecto, Geron et al. (2011) suplementaron grasa protegida a novillos de engorda y reportaron que dicha grasa disminuyó la digestibilidad del almidón presente en el maíz de la dieta; lo que ocasionó una disminución en la energía metabolizable, la cual es la principal fuente de energía para la producción de leche (NRC, 2007).
Respecto de la proteína y lactosa en la leche, no se esperaba un cambio, pues el complemento es una mezcla de ácidos grasos, cuya tendencia es a no afectar estos componentes de la leche (Molina et al., 2015). Por otro lado, la ausencia de diferencias en la concentración de proteína y lactosa puede deberse a que los requerimientos de nutrientes no fueron satisfechos en todos los grupos (Gómez y Tovar, 2005). Sin embargo, sí se observó un incremento en el contenido de la grasa en leche en las últimas semanas experimentales. Estos resultados son similares a los reportados por Yilmaz et al. (2009) y Salvador et al. (2009); estos últimos, usaron grasa protegida a nivel de 80 g día-1, bajo condiciones de estabulación.
La hipótesis para dicha respuesta sería que las dosis del complemento graso fueron insuficientes para modificar las grasas en las primeras semanas experimentales; no obstante, en las últimas semanas se presentó un efecto acumulativo del complemento. Al respecto, Sanz-Sampelayo et al. (2004) evaluaron el efecto de complementar a cabras lactantes con grasa protegida durante tres semanas; y nueve semanas después de retirar el complemento, reportaron que la grasa en leche de cabras complementadas fue mayor (P < 0.05) respecto de cabras sin complemento, y que tal tendencia continuó después de retirarlo; lo cual es indicativo del efecto acumulativo de las grasas protegidas.
Conclusiones
La complementación de grasa protegida a niveles de 40 y 80 g por día en cabras lactantes en pastoreo no modifica la producción de leche, ni la proteína, ni la lactosa. Sin embargo, sí hubo efecto en la producción de grasa en la leche de las cabras complementadas, a partir de la semana ocho. Éste representa un estudio pionero sobre la complementación de la dieta en cabras en pastoreo; por lo que se requieren estudios adicionales para detallar las dosis con respuestas óptimas que ayuden a mejorar la producción y calidad de la leche de este tipo de ganado.
Literatura citada
Bai, Y.; Wu, J.; Xing, Q.; Pan, Q.; Huang, J.; Yang, D. y Han, X. (2008). Primary production and rain use efficiency across a precipitation gradient on the Mongolia plateau. Ecology 89(8): 2140-2153.
Cantú, B. J. E. (2004). Zootecnia de ganado caprino. 2 Ed., Universidad Autónoma Agraria Antonio Narro. México. 303 pp.
Cantú, R. E.; Colín, N. M.; Contreras, M. y García, J. (1989). Estudios sobre la estacionalidad reproductiva de los machos caprinos de las razas Saanen y Alpina. En: Memorias de la V Reunión Nacional sobre Caprinocultura. Zacatecas, México. p. 67.
Chilliard, Y.; Ferlay, A.; Rouel, J. y Lamberet, G. (2003). A review of nutritional and physiological factors affecting goat milk lipid synthesis and lipolysis. J. Dairy Sci. 86(5): 1751-1770.
Escareño, S. L. M.; Wurzinger, M.; Pastor, L. F., Salinas, H.; Sölkner, J. e Íñiguez, L. (2011). La cabra y los sistemas de producción caprina de los pequeños productores de la Comarca Lagunera, en el norte de México. Revista Chapingo Serie Ciencias Forestales y del Ambiente 17(Ed. Esp.): 235-246.
García, E. (1987). Modificaciones al sistema de clasificación climática de Koeppen para adaptarlo a las condiciones de la República Mexicana. Universidad Nacional Autónoma de México. México. 246 pp.
Geron, L. J. V.; Zeoula, L. M.; Paula, E. J. H.; Ruppin, R. F.; Rodrigues, D. N. y Moura, D. C. (2011). Inclusão do caroço de algodão em rações de alto concentrado constituído de co-produtos agroindustriais sobre o desempenho animal em tourinhos confinados. Archives of Veterinary Science 16(3): 14-24.
Gómez, V. H. y Tovar, L. I. (2005). Comportamiento productivo de cabras lactantes consumiendo una dieta a base de nopal y ryegrass con cantidades crecientes de Megalac®. Revista Chapingo Serie Zonas Áridas 4(1): 47-50.
Lauenroth, W. K. y Sala, O. E. (1992). Long-term forage production of North American shortgrass steppe. Ecological Applications 2(4): 397-403.
Maiga, H. A. y Schingoethe, D. J. (1997). Optimizing the utilization of animal fat and ruminal bypass proteins in the diets of lactating dairy cows. J. Dairy Sci. 80(2): 343-352.
Mburu, M.; Mugendi, B.; Makhoka, A. y Muhoho, S. (2014). Factors affecting Kenya Alpine dairy goat milk production in Nyeri region. J. Food Res. 3(6): 160-167.
Molina, B. S. D. L.; Alcalde, C. R.; Hygino, B.; Santos, S. M. D. A.; Gomes, L. C. y Santos, G. T. D. (2015). Inclusion of protected fat in diets on the milk production and composition of Saanen goats. Ciência e Agrotecnologia 39(2): 164-172.
NRC (National Research Council) (2007). Nutrient Requirements of Small Ruminants: Sheep, Goats, Cervids, and New World Camelids. National Academy Press. United States. 384 pp.
Palmquist, D. L. y Mattos, W. R. S. Metabolismo de lipídeos. En: Berchielli, T. T.; Pires, A. V. y Oliveira, S. G. (Eds.). Nutrição de Ruminantes. Brasil. FUNEP. (2011). Pp. 299-322.
Salvador, A. y Martínez, G. (2007). Factores que afectan la producción y composición de la leche de cabra: Revisión bibliográfica. Rev. Fac. Cs. Vets. 48(2): 61-76.
Salvador, A.; Alvarado, C.; Contreras, I.; Betancourt, R.; Gallo, J. y Caigua, A. (2009). Efecto de la alimentación con grasa sobrepasante sobre la producción y composición de la leche de cabra en condiciones tropicales. Zootecnia Trop. 27(3): 285-298.
Sánchez, C.; García, M. y Álvarez, M. (2003). Efecto de la suplementación alimenticia sobre el comportamiento productivo de cabras al postparto en la micro-región Río Tocuyo, estado Lara, Venezuela. Zootecnia Trop. 21(1): 43-55.
Sanz-Sampelayo, S. M. R.; Martín, A. J.; Pérez, L.; Gil, E. F. y Boza, J. (2004). Dietary Supplement for lactating goats by polyunsaturated fatty acid-rich protected fat. Effects after supplement withdrawal. J. Dairy Sci. 87(6): 1796-1802.
Sanz-Sampelayo, S. M. R.; Pérez, L. y Martín, A. J. J. (2002). Effects of concentrates with different contents of protected fat rich in PUFAs on the performance of lactating Granadina goats: 1. Feed intake, nutrient digestibility, N and energy utilization for milk production. Small Rumin. Res. 43(2): 133-139.
Titi, H. (2011). Effects of varying levels of protected fat on performance of Shami goats during early and mid-lactation. Turk. J. Vet. Anim. Sci. 35(2): 67-74.
Yilmaz, A.; Corduk, M.; Toprak, N. N. y Pulatsu, S. (2009). Effects of the supplemental protected fat to concentrate feed on performance and some milk parameters in dairy goats. J. Anim. Vet. Adv. 8(11): 2143-2146.
Apéndices

Autor: Marisol Herrera
Técnica: Tinta china morada sobre papel
Dimensiones: 28x22 cm