Artigos
Gift-giving, Estilos de Amor e Sacrifício: uma Análise Entre Parceiros Românticos
Gift-giving, Love Styles, and Sacrifice: An Analysis Among Romantic Partners
Gift-giving, Estilos de Amor e Sacrifício: uma Análise Entre Parceiros Românticos
Revista de Administração Contemporânea, vol. 24, núm. 1, pp. 25-48, 2020
Associação Nacional de Pós-Graduação e Pesquisa em Administração
Recepção: 24 Maio 2019
Aprovação: 16 Outubro 2019
Publicado: 2 Novembro 2019
Financiamento
Fonte: Ministério da Ciência, Tecnologia e Inovação
Fonte: Conselho Nacional de Desenvolvimento Científico e Tecnológico
Número do contrato: 140806/2019-9
Descrição completa: O presente trabalho obteve financiamento do Ministério da Ciência, Tecnologia e Inovação, Conselho Nacional de Desenvolvimento Científico e Tecnológico, Processo 140806/2019-9.
Resumo: Indo além da análise do ato de presentear a partir de uma única perspectiva amorosa, este artigo teve por objetivo compreender o gift-giving por meio dos tipos de amor vivenciados nos relacionamentos românticos, investigando a frequência, as razões do ato de presentear entre casais e a percepção sacrificial. Mediante um survey, 257 pessoas participaram da pesquisa. Os resultados revelaram que o amor caracterizado pelo erotismo e paixão (Eros) é o estilo primário predominante entre os casais, guiando os indivíduos a presentearem com maior frequência, mediante o motivo social. Já dentre os estilos secundários de amor, observamos que o altruísta (Ágape) tende a ser o que mais frequentemente induz o gift-giving, gerando uma percepção sacrificial do ofertante. Vimos também que o sacrifício pode ser percebido no ato de presentear em outras formas de amor para além do Ágape. O estudo contribui com a literatura ao revelar que o gift-giving pode variar conforme os estilos de amor e que a percepção de sacrifício no ato de presentear tem relação com tais estilos. Desse modo, propomos o desenvolvimento de reflexões e investigações voltadas às consequências das formas de amar no comportamento do consumidor, destacando a teoria dos estilos de amor pela sua capacidade de proporcionar novas interpretações sobre relações de consumo.
Palavras-chave: gift-giving, estilos de amor, frequência de presentear, motivos de presentear, percepção sacrificial.
Abstract: Going beyond analyzing gift-giving from a single love perspective, this paper aimed to understand the gift-giving from the love types experienced in romantic relationships, investigating the frequency, the reasons for the act of giving gifts among couples, and the sacrificial perception. Through a survey, 257 people participated in the research. The results revealed that the love characterized by eroticism and passion (Eros) is the predominant primary style among couples and is the one that guides individuals to gift more frequently through the social motive. Among the secondary love styles, we observed that the altruist (Agape) tends to be what most often induces gift-giving, generating a sacrificial perception of the offerer. We also saw that the sacrifice can be perceived in the gift-giving in other forms of love besides the Agape style. The study contributes to the literature by revealing that the gift-giving can vary according to the love styles and that the perception of sacrifice in this act is related to these styles. Thus, we propose the development of reflections and investigations focused on the consequences of love forms on consumer behavior, highlighting love styles theory for its ability to provide new interpretations of consumer relations.
Keywords: gift-giving, love styles, frequency of gift-giving, reasons of gift-giving, sacrificial perception.
Introdução
O ritual de presentear (gift-giving) acompanha a vida de qualquer indivíduo, demarcando momentos importantes de sua trajetória, do nascimento à morte. Ganhamos e ofertamos presentes em uma sequência paradoxal de dar, receber e retribuir (Joy, 2001) ao longo do processo de interação com os outros, refletindo, a partir do presentear, a natureza das relações com familiares, amigos, conhecidos e parceiros amorosos, de modo a construir vínculos sociais e obrigações morais (Mauss, 2002) que retratarão as características do gift-giving, sua frequência e motivação.
Ao longo da história, o gift-giving evoluiu de ações altruístas recíprocas e parentais, como o ato de compartilhar alimentos, para uma estratégia de seleção e manutenção de parceiros (Saad & Gill, 2003). Os presentes se tornaram, portanto, elementos-chave do ritual entre casais, atuando como veículos simbólicos focais (Belk & Coon, 1993) de modo a expressar e construir um relacionamento romântico (Minowa & Belk, 2019). Assim, dentre as relações humanas, destaca-se o envolvimento amoroso como aquela que comumente requererá trocas de presentes, enaltecendo a importância representativa desse mimo como modo de declarar a existência da relação e o comprometimento mútuo vivenciado pelas pessoas (Komiya, Ohtsubo, Nakanishi & Oishi, 2019).
De fato, os relacionamentos amorosos - aqui entendidos como "experiências fisiológicas e emocionais comumente compartilhadas por duas pessoas" (Huang & Yu, 2000, p. 180) que interagem intensamente - apresentam altas alocações de gastos com presentes quando comparados a outras formas de convivência existentes (Saad & Gill, 2003; Mende, Scott, Garvey, & Bolton, 2018). Essa maneira de relação, por envolver justamente questões evolutivas e reprodutivas, é mais significativa para o consumidor do que os vínculos com amigos ou colegas de trabalho (Kenrick & Trost, 1986), justificando o maior empenho em empregar dinheiro e presentes. Por essas razões, destacamos no artigo o gift-giving entre casais, de modo a analisar o elo triangular consumidor-objeto nesse contexto de relacionamentos românticos que fazem do ato de presentear uma premissa ritualística de interação.
A troca de presentes entre casais pode refletir desde a intenção de agradar ao receptor até a satisfação pessoal do doador (Hyun, Park & Park, 2016), externando, por meio de um objeto tangível, tanto carinho, atenção, afeto, celebração e altruísmo, quanto obrigação e reciprocidade (Minowa & Belk, 2019). Tais motivações orientam não somente a frequência do gift-giving, mas também, a percepção de sacrifício com essa prática, sendo esta última entendida como a abdicação de algo importante para o indivíduo (aqui, o que presenteia) em prol de outra coisa, como por exemplo, a satisfação de quem recebe (Belk & Coon, 1993; Joy, 2001; Pérez, Fiol, Guzmán, Palmer, & Buades, 2009).
Segundo Cheal (1987), Moufahim (2013) e Nguyen e Munch (2011), presentear, especialmente em contextos românticos, é uma maneira de externar o amor sentido na convivência com o(a) parceiro(a). Desse modo, o presente e o próprio ritual do gift-giving seriam reflexos das formas de amar existentes num relacionamento. Assim, consideramos neste artigo que as características constituintes da troca de presentes entre casais têm relação com os estilos de amor que eles vivenciam.
Reconhecendo a multiplicidade de maneiras de amar, adotamos a teoria dos estilos de amor proposta por Lee (1988) que estabelece seis tipologias ou cores para essa temática, englobando as perspectivas de erotismo/paixão, altruísmo, pragmatismo, companheirismo, dependência e diversão que podem existir num relacionamento amoroso. Destarte, tal teoria propõe uma taxonomia para o amor entre casais, grupo analisado neste estudo, reconhecendo esse sentimento como não singular, mas diverso. Por isso, objetivamos compreender o gift-giving a partir dos tipos de amor vivenciados nos relacionamentos românticos, investigando a frequência, as razões do ato de presentear entre casais e a percepção sacrificial.
Pesquisas de marketing e de consumo já buscaram elucidar o ato de presentear em relacionamentos amorosos (Belk & Coon, 1993; Huang & Yu, 2000; Mende et al., 2018; Minowa, Matsui & Belk, 2012; Otnes, Zolner & Lowrey, 1994; Saad & Gill, 2003), mas as diversas formas de amar nessas relações se apresentam como temática negligenciada (Batra, Ahuvia, & Bagozzi, 2012; Minowa & Belk, 2019), uma vez que os estudos nos campos citados se debruçam sobre uma maneira específica de amor (amor altruísta ou Ágape - Belk & Coon, 1993; Joy, 2001) ou enfatizam outros aspectos analíticos oriundos do gift-giving entre casais (ex.: estágios do relacionamento, jornadas de consumo, gênero, idade, cultura, divórcio e festividades específicas) que se distanciam da observação proposta neste artigo.
Esperamos entender como as tipologias de amor entre casais podem impactar na frequência, na motivação e na percepção sacrificial do gift-giving, com vistas a oferecer uma perspectiva ampla e multidimensional dessa temática que considera o ato de presentear em relacionamentos amorosos, uma expressão de várias formas de amor para além do Ágape; objetivo este até então não analisado nos estudos com consumidores ao qual tivemos acesso. Visamos, portanto, atenuar uma lacuna teórica encontrada, desenvolvendo e testando hipóteses por meio de uma pesquisa de cunho quantitativo. Essa abordagem também se mostra diferenciada dos estudos de relacionamento amoroso e gift-giving, que são, em sua maioria, de natureza qualitativa (Huang & Yu, 2000), podendo oferecer ao presente trabalho possibilidades distintas de interpretação a partir do prisma metodológico adotado.
Começamos nossa investigação descrevendo a prática da troca de presentes nos relacionamentos românticos e suas motivações, os estilos de amor e a percepção sacrificial existentes no gift-giving. Em seguida, apresentamos o método utilizado, os resultados, conclusões e contribuições do estudo.
Gift-giving e Relacionamentos Românticos
O ato de presentear é um fenômeno existente em todas as sociedades, sendo um ritual universal, com regras específicas variando entre culturas, que sinaliza o envolvimento e a conexão entre indivíduos (Cheal, 1987; Joy, 2001; Palmer, 2011; Saad & Gill, 2003). As primeiras contribuições sobre o gift-giving foram apresentadas na Antropologia, tendo no trabalho de Mauss (2002/1954) o seu principal expoente. Para o autor em questão (2002), dar algo a alguém representava oferecer uma parte de si, de modo que o outro receberia um fragmento da essência do ofertante. Nesses moldes, o presente é uma oferta, uma cerimônia de dar e receber, em que um bem ou serviço é fornecido voluntariamente a outra pessoa ou grupo que o aceita (Belk, 1979; Sherry, 1983; Belk & Coon, 1993).
Ainda que voluntário, o ato de presentear pode envolver algum senso de obrigação mediante certas regras, eventos e condutas morais, sociais ou religiosas, tais como aniversários, natal e dia das mães (Fischer & Arnold, 1990; Marcoux, 2009). De modo complementar, ainda que presentear possa expressar generosidade, o comportamento associado a ele pode ser pautado em um interesse de algum retorno com o gift-giving, derivando uma obrigação por parte destinatário em retribuir (Berking, 1999; Mauss, 2002; Palmer, 2011). Assim, coloca-se os indivíduos em um ciclo contínuo de obrigações pautadas em dar, receber e devolver presentes que sustentem a reciprocidade entre doador e receptor (Moufahim, 2013; Sherry, 1983).
Por isso, o gift-giving é entendido como um sistema social fundamental que gera distinções, normas de reciprocidade e aspectos simbólicos e ritualísticos para o desenvolvimento e continuidade de relações (Cheal, 1987; Giesler, 2006). Deveras, os presentes são tipificados por aspectos sociais, econômicos e pessoais (Boncinelli, Dominici, Gerini, & Marone, 2019), carregando significados que expressam sentimentos e compromissos variados entre o ofertante e o destinatário (Nguyen & Munch, 2011). Logo, o tipo de relacionamento gerado a partir das características do doador e do receptor influenciará os aspectos ritualísticos do gift-giving e a própria escolha do produto a ser ofertado (Boncinelli et al., 2019).
No contexto de análise dessa pesquisa, foram observados os relacionamentos românticos. Eles podem ser categorizados em graus crescentes de intimidade, partindo de um namoro ocasional até um casamento ou união estável, sendo induzidos por uma aptidão reprodutiva (Huang & Yu, 2000). As relações amorosas também são caracterizadas por interações pessoais intensas, geralmente ligadas à sensação de apego (Hazan & Shaver, 1987), de modo que a prática de presentear exerce efeitos poderosos sobre elas (Belk & Coon, 1993). Por isso, a alocação dos gastos com presentes é mais alta para parceiros românticos do que para indivíduos que possuem apenas algum grau de parentesco ou amizade com o doador (Saad & Gill, 2003), caracterizando a experiência do relacionamento amoroso como intimamente relacionada às jornadas intensas de consumo (Mende et al., 2018), sendo os homens mais propensos do que mulheres a usar presentes como parte do ritual de namoro (Huang & Yu, 2000; Saad & Gill, 2003).
Os presentes trocados em relações amorosas, diferentes do consumo geral de produtos, são altamente motivados (Faure & Mick, 1993). Essas motivações podem apresentar : (i) um viés econômico, um investimento feito para obter favores, dentre eles sexuais, (ii) um viés social, agindo como símbolo de compromisso, que visa estabelecer, fortalecer ou manter o relacionamento ou, (iii) uma expressão do amor Ágape, que celebra o relacionamento e que considera o presente como valor expressivo - celebração simbólica (Belk & Coon, 1993). As duas primeiras são julgadas como motivações instrumentais visando atingir determinado objetivo; já a terceira reflete motivos puramente altruístas (Belk & Coon, 1993).
Tal classificação varia em um contínuo entre os polos do altruísmo, em que a primeira intenção é agradar ao receptor, e do egoísmo, cuja preocupação primária é com a satisfação pessoal do doador (Huang & Yu, 2000; Hyun et al., 2016; Schiffman & Cohn, 2009). No entanto, segundo alguns estudos (Rugimbana, Donahay, Neal, & Polonsky, 2003; Aron, Lewandowski, Mashek, & Aron, 2013), quando relacionamentos amorosos são analisados, motivações de autointeresse, obrigatórias e altruístas podem estar intrinsecamente interligadas. Ou seja, a motivação dita abnegada pode estar acompanhada de uma motivação de autointeresse latente, visando a manutenção do relacionamento, por exemplo.
Deste modo, o ato de presentear entre casais permite expor razões conjuntamente relacionadas ao aspecto social, econômico e de altruísmo (Belk & Coon, 1993), impactando na frequência do ato e na percepção sacrificial a partir de sua realização, externando a forma característica de amar do indivíduo em determinado relacionamento. Essas possibilidades ou tipologias de amor são descritas no tópico seguinte.
Tipologias do Amor e o Sacrifício no Gift-giving
O amor é multidimensional (Minowa & Belk, 2019), sendo entendido como uma expressão de atitudes e sentimentos manifestados em afinidades físicas e emocionais (Hetsroni, 2012). Para compreendê-lo, várias teorias foram desenvolvidas, dentre elas, a teoria das cores ou estilos do amor proposta por Lee (1988), que representou um esforço inicial e particularmente influente na reflexão da diversidade humana de maneiras de amar (Lomas, 2018).
Segundo Lee (1988), é possível explicar o amor por meio de uma analogia com as cores, criando diversas variações (love-styles) a partir de seus componentes primários, nomeando-as com base nas palavras gregas para amor (Zeigler-Hill, Britton, Holden & Besser, 2014). Para os tons primários, Lee (1988) propôs os tipos de amor Eros (passionate love), Ludus (game-playing love) e Storge (friendship-like love). O primeiro se caracteriza como um amor erótico e apaixonado que guia o indivíduo a buscar, rápida e intensamente o envolvimento, expressando o prazer de estar com o outro de forma verbal e tátil. Já o Ludus é um tipo descompromissado de amor, uma espécie de jogo/diversão que se volta para o pluralismo e liberdade, não se prendendo a um único parceiro, tendo uma predisposição para enganar no relacionamento. Por fim, o Storge, descrito como amor companheiro, é expresso como um relacionamento construído lentamente a partir da confiança e do compromisso (Lee, 1988; Lomas, 2018; Zeigler-Hill et al., 2014).
O amor Eros é descrito por Minowa e Belk (2019) como aquele em que o parceiro buscará mais rapidamente demonstrar seu desejo de aumentar o envolvimento romântico, justificando uma frequência intensa de presentear (Mende et al., 2018). Essa procura por maior ligação retrata a vontade de obter algo do outro, caracterizando esse tipo de amor como aquele que nutre em suas práticas para com o(a) parceiro(a), dentre elas o ato de presentear, um interesse próprio, as vezes egocêntrico, que se satisfaz com a outra pessoa mediante o atendimento das necessidades e desejos que ela irá suprir (Hubbard, 2011), justificando a procura por manutenção ou não do relacionamento. Assim, considera-se que a frequência de presentear no Eros é maior do que nas outras tipologias de amor primário (hipótese 1a), graças à intensidade imposta no relacionamento (Lee, 1988; Mende et al., 2018; Minowa e Belk, 2019), e que as motivações do gift-giving nele são instrumentais, visando atingir determinado objetivo social (Hubbard, 2011) (hipótese 1b).
O Ludus, por sua vez, é considerado o tipo de amor mais narcisista (Campbell, Foster & Finkel, 2002), menos compromissado, que levará o indivíduo a controlar cuidadosamente o grau de envolvimento, evitando o ciúme e a cobrança (Proyer, Brauer, Wolf & Chick, 2018). Nessa perspectiva, presentear não parece ser a ação primordial buscada no relacionamento guiado por essa tipologia (hipótese 2a), de modo que, se o gift-giving existir, será orientado por uma concepção instrumental que contribuirá para recompensas, em grande parte sexuais (Koladich & Atkinson, 2016), se distanciando da perspectiva altruísta (hipótese 2b).
Já o Storge é indicado como estilo de amar que busca lentamente o desenvolvimento de uma relação, evitando a paixão autoconsciente (Proyer et al., 2018), afastando-se das demais tipologias descritas. Por tratar-se de um amor que preza pela amizade construída vagarosamente entre os parceiros (Sprecher, Aron, Hatfield, Cortese, Potapova, & Levitskaya, 1994), a troca de presentes buscará atender aspectos sociais baseados numa obrigatoriedade relacionada a regras e eventos morais, tais como aniversários e dia dos namorados (Fischer & Arnold, 1990; Marcoux, 2009), conduzindo ao desenvolvimento da hipótese 3a (ver Figura 1).
| Eros-giftgiving Love | Hipótese 1a: Indivíduos com maior percentual do estilo de amor Eros , dentre os estilos primários, ofertarão mais presentes aos seus parceiros. |
| Hipótese 1b : Os motivos do ato de presentear no amor Eros são de instrumentalidade social. | |
| Ludus-giftgiving Love | Hipótese 2a : Indivíduos com maior percentual do estilo de amor Ludus , dentre os estilos primários, ofertarão menos presentes aos seus parceiros. |
| Hipótese 2b : Os motivos do ato de presentear no amor Ludus não envolvem uma motivação altruísta. | |
| Storge-giftgiving Love | Hipótese 3a : Os motivos do ato de presentear no amor Storge são de instrumentalidade social |
Oriundos desses três estilos primários de amor, Lee (1988) propôs as tipologias: Mania (possessive love), Pragma (practical love) e Ágape (altruistic love); descritos na Figura 2.
| Estilo de Amor secundário | Junção | Característica |
|---|---|---|
| Mania | Eros + Ludus | Amor irracional, obsessivo e dependente - comportamento exagerado e ciumento. |
| Pragma | Ludus + Storge | Amor baseado na compatibilidade entre as pessoas - valoriza os interesses comuns. |
| Ágape | Eros + Storge | Amor fraternal, dedicado, altruísta e respeitoso- é baseado na concepção de dever com o outro. |
O amor Mania geralmente envolve experiências intensas e alternadas de alegria e tristeza, pois reflete uma obsessão pelo parceiro (Zeigler-Hill et al., 2014), uma dependência (Lomas, 2018) que justifica ações visando satisfazê-lo de modo a sustentar a relação. Por isso, o gift-giving atua como expressão da importância do relacionamento para o ofertante, de sua submissão a ele, apresentando uma relação negativa com a autoestima do indivíduo que presenteia (Campbell et al., 2002). O Mania tende a gerar maior insegurança no seu detentor (Proyer et al., 2018), remetendo-o ao pavor de ser deixado, justificando a alta frequência de ações que direcionem à conservação do relacionamento, dentre elas, o ato de presentear (Minowa & Belk, 2019; Saad e Gill, 2003) (hipótese 4a), refletindo motivos instrumentais sociais de troca (hipótese 4b).
O amor Pragma, por sua vez, é descrito como um estilo baseado na praticidade e adequação do parceiro; na questão racional do par ideal (Pérez et al., 2009). Assim, reforça-se nessa tipologia o caráter instrumental social e econômico como motivação de presentear (Fischer & Arnold, 1990; Marcoux, 2009) (hipótese 5a). Por fim, o amor Ágape envolve a consideração altruísta dos desejos do parceiro (Zeigler-Hill et al., 2014). Por conseguinte, o ato de presentear nesta tipologia engloba uma ação que, teoricamente, não se preocupa com considerações financeiras ou de equivalência (Joy, 2001). Ou seja, o doador não espera receber necessariamente outro presente em troca, pois visa satisfazer o parceiro, sendo o mimo um reflexo de um ser que se entrega a serviço do outro (Hubbard, 2011). É importante considerar que, ainda que seja expresso como um desejo desinteressado pelo bem de alguém, o Ágape pode fazer com que o próprio doador também se satisfaça por meio do gift-giving (Sherry, 1983) e pelas consequências geradas como, por exemplo, um simples agradecimento do parceiro (Moufahim, 2013). Por isso, considera-se tal estilo de amor como distante de uma visão egoísta (Hubbard, 2011) (hipótese 6a) (ver Figura 3):
| Mania-giftgiving Love | Hipótese 4a: Indivíduos com maior percentual do estilo de amor Mania , dentre os estilos secundários, ofertarão mais presentes aos seus parceiros. |
| Hipótese 4b : Os motivos do ato de presentear no amor Mania são de troca instrumental social. | |
| Pragma-giftgiving Love | Hipótese 5a : Os motivos do ato de presentear no amor Pragma são de troca instrumental social e econômica. |
| Ágape-giftgiving Love | Hipótese 6a : Os motivos do ato de presentear no amor Ágape não envolvem uma motivação egoísta. |
O amor Ágape é retratado na literatura como a tipologia que envolve um autossacrifício (Belk & Coon, 1993; Joy, 2001; Pérez et al., 2009), pois implica na abdicação de algo desejado ou possuído pelo indivíduo em prol de outra coisa, neste caso, a satisfação e felicidade do parceiro (hipótese 6b). No entanto, sustenta-se nesse artigo que o sacrifício pode ser percebido no ato de presentear em outras formas de amor para além do estilo Ágape. Por exemplo, segundo Nguyen & Munch (2011), um indivíduo que vê sua relação amorosa com ceticismo e tem preferência por sua autoconfiança, experimenta menor prazer em presentear seu(s) parceiro(s) romântico(s). Tais características parecem ser reflexos de um amor Ludus, descompromissado e cético enquanto o relacionamento. Por isso, estabelecemos a hipótese 2c considerando que o ato de presentear pode envolver certos sacrifícios para pessoas que amam de forma lúdica.
Ademais, pessoas com alto grau de dependência na construção de suas identidades são mais propensas a realizarem altos sacrifícios em seus relacionamentos amorosos. Elas se sacrificam, mesmo em face de altos custos e se sentem mais satisfeitos e autênticos ao fazê-lo (Day & Impett, 2017). Essa dependência identitária pode ser presenciado no amor Mania (Lomas, 2018), em maior grau, ou no amor Eros (Hubbard, 2011), em menor grau, orientando a possibilidade de existir percepção sacrificial no ato de presentear o parceiro quando uma dessas formas de amor são predominantes (hipóteses 4c e 1c, respectivamente). Em contrapartida, presumimos que as tipologias Pragma e Storge não envolvem a percepção sacrificial por serem estilos orientados pela praticidade e lentidão de relacionamentos amorosos (hipóteses 5c e 3c, respectivamente). Se algo se apresenta como sacrificante para indivíduos com tais estilos de amar no relacionamento, a relação não parecerá tão benéfica e poderá ser interrompida (Proyer et al., 2018) (ver Figura 4).

Com as hipóteses estabelecidas, desenvolvemos os procedimentos operacionais para testá-las. A descrição desses aspectos metodológicos se encontra na seção seguinte.
Método
Esta investigação é de natureza quantitativa e característica descritiva. Nos tópicos seguintes, apresentamos os procedimentos de coleta de dados, a caracterização da amostra e o instrumento para mensuração utilizado.
Coleta de dados e perfil dos participantes
Para coleta de dados, utilizamos um questionário estruturado fechado composto por três blocos de questões. O primeiro bloco envolveu variáveis referentes ao ato de presentear e ao estado conjugal; já o segundo bloco de questões contemplou perguntas que visavam avaliar o estilo de amor dos participantes. Por fim, o terceiro bloco foi composto por itens relacionados às características sociodemográficas dos participantes (gênero, idade, escolaridade, renda e filhos).
Os dados foram coletados no período de junho a setembro de 2018. Nesse processo, os respondentes foram orientados a responder as perguntas tendo em mente o(a) atual parceiro(a), e caso não existisse, deveria responder pensando no parceiro(a) mais recente. Para a análise dos resultados, inicialmente extraímos e analisamos estatísticas descritivas diversas, utilizando o pacote estatístico R. Ao todo, foram obtidas 257 respostas válidas. Na Tabela 1 são apresentadas as principais características do perfil da amostra.
| Gênero | Idade | ||
| FemininoMasculino | 152 (59,1%)105 (40,9%) | Até 20 AnosAcima de 20 até 25 anosAcima de 25 até 30 anosAcima de 30 até 40 anosAcima de 40 até 50 anosAcima de 50 | 13 (5,1%)111 (43,2%)76 (29,6%)39 (15,2%)12 (4,7%)6 (2,3%) |
| Filhos | |||
| SimNão | 58 (22,6%)199 (77,4%) | ||
| Renda | Relacionamento | ||
| Até R$ 1.000,00De R$ 1.000,01 até R$ 2.000,00De R$ 2.000,01 até R$ 3.000,00De R$ 3.000,01 até R$ 5.000,00De R$ 5.000,01 até R$ 10.000,00Acima de R$ 10.000,01 | 137 (53,3%)61 (23,7%)16 (6,2%)18 (7,0%)19 (7,4%)6 (2,3%) | Namoro (único parceiro) NoivadoCasamento Civil e/ou religiosoUnião consensualRelacionamento aberto | 146 (56,8%)20 (7,8%)65 (25,3%)16 (6,2%)10 (3,9%) |
| Grau de Escolaridade | Tempo de Relacionamento | ||
| 1 Ensino Fundamental2 Ensino Médio3 Técnico4 Graduação5 Pós-Graduação | 4 (1,6%)60 (23,3%)7 (2,7%)133 (51,8%)53 (20,6%) | Até 3 meses acima de 3 até 12 mesesacima de 12 até 36 mesesacima de 36 até 72 mesesacima de 72 até 120 mesesacima de 120 meses | 14 (5,4%)36 (14,0%)69 (26,8%)78 (30,4%)35 (13,6%)25 (9,7%) |
Medida
Para verificar o estilo de amor dos participantes, optamos por utilizar a versão traduzida para o português da Escala de Estilos de Amor - LAS (Andrade & Garcia, 2009), com 37 itens (1 = discordo fortemente; 5 = concordo fortemente), desenvolvida originalmente por Hendrick & Hendrick (1986). A decisão de utilizar a versão brasileira da escala se deu em virtude de a mesma ter demonstrado evidências de confiabilidade e validade do construto. No entanto, como procedimento de verificação dos dados, realizamos novas análises de confiabilidade e validade da escala por meio do coeficiente Alpha de Cronbach (Cronbach, 1951) e Análise Exploratória Fatorial (AFE).
Na AFE, utilizando o método de máxima verossimilhança, com o número de fatores definido pelo tamanho de autovalores maiores que 1 e rotação ortogonal pelo método Varimax, verificamos que as dimensões Mania, Eros e Ludus geraram mais de um fator por dimensão. Diante desse resultado e considerando a existência de outras propostas de redução do instrumento (e.g. Hendrick, Hendrick, & Dicke, 1998), optamos por eliminar um total de treze questões, sendo duas na dimensão Ágape, três na Mania, três na Eros, três na Pragma, uma na Storge e uma na Ludus. A retirada desses itens contribuiu para o melhor ajustamento de consistência da medida (ver Apêndice 1), conforme apresentado na Tabela 2.
| Dimensão | Itens | Variância explicada (%) | Alfa de Cronbach |
|---|---|---|---|
| Ágape | AG1: Não consigo ser feliz a menos que coloque a felicidade de meu parceiro (a) antes da minha. | 62,37 | 0,79 |
| AG2: Geralmente estou disposto a sacrificar meus desejos para deixar meu parceiro (a) realizar os seus. | |||
| AG3: Eu preferiria sofrer que deixar meu parceiro (a) sofrer. | |||
| AG4: Tudo que tenho pode ser usado por meu parceiro (a) como ele (a) quiser. | |||
| Mania | MN1: Quando meu parceiro (a) não presta atenção em mim, sinto-me mal. | 53,16 | 0,74 |
| MN2: Quando estou apaixonado, tenho problema para me concentrar nas outras coisas. | |||
| MN3: Não consigo relaxar se suspeito que meu parceiro (a) está com outra pessoa. | |||
| MN4: Se meu parceiro (a) me ignora por um tempo, às vezes faço coisas estúpidas para conseguir sua atenção de novo. | |||
| Eros | ER1: Sinto que meu parceiro (a) e eu fomos feitos um para o outro. | 69,99 | 0,85 |
| ER2: Meu parceiro (a) e eu temos a "química" certa entre nós. | |||
| ER3: Fazer amor com meu parceiro (a) é algo muito intenso e satisfatório. | |||
| ER4: Meu parceiro (a) e eu realmente entendemos um ao outro. | |||
| Pragma | PG1: Antes de me envolver com alguém, tento pensar no quão compatível a sua bagagem hereditária é com a minha, caso tenhamos filhos. | 55,82 | 0,75 |
| PG2: Uma consideração principal ao escolher um parceiro (a) é como ele (a) reflete na minha família. | |||
| PG3: Tento planejar minha vida cuidadosamente antes de escolher um parceiro. | |||
| PG4: Considero o que uma pessoa vai se tornar na vida antes de me comprometer com ela. | |||
| Storge | ST1: Meus relacionamentos de amor mais satisfatórios se desenvolveram a partir de boas amizades. | 60,77 | 0,78 |
| ST2: O melhor tipo de amor surge de uma longa amizade. | |||
| ST3: Nossa amizade fundiu-se gradativamente em um amor com o tempo. | |||
| ST4: É difícil saber onde termina a amizade e começa o amor. | |||
| Ludus | LU1: Gosto de jogar o "jogo do amor" com vários parceiros (as) diferentes. | 60,26 | 0,75 |
| LU2: Algumas vezes tive que evitar que dois de meus parceiros (as) descobrissem algo um sobre o outro. | |||
| LU3: Meu parceiro (a) ficaria desapontado (a) se ele (a) soubesse de algumas coisas que fiz com outras pessoas. | |||
| LU4: Tento manter meu parceiro (a) um pouco incerto sobre meu comprometimento com ele (a). |
Os resultados obtidos com o coeficiente Alpha de Cronbach (Cronbach, 1951) e a Análise Exploratória Fatorial (AFE) demonstraram evidências de validade e confiabilidade da escala utilizada.
Resultados
Os resultados obtidos (Tabela 3) indicam que o estilo de amor com maior grau de concordância entre os entrevistados é o Eros (78,4%), enquanto que o estilo de amor com o maior grau de discordância é o Ludus (76,26%). Por meio da análise isolada dos itens que compõem cada uma das dimensões dos estilos de amor (Figura 5), confirmamos os resultados da Tabela 3, ao demonstrar que os quatro itens do Estilo de amor Eros obtiveram o maior grau de concordância, enquanto três itens do estilo de amor Ludus obtiveram maior grau de discordância. Tais achados são condizentes às análises feitas por Pérez et al. (2009) e Ubillos, Zubieta, Páez, Deschamps, Ezeiza, & Vera (2001) em que o amor Eros foi descrito como estilo que gerou maior nível de concordância nas amostras analisadas e o Ludus, um entre os que obtiveram menor grau de aprovação.
| Tipo de Amor | Discordo Fortemente | Discordo | Indiferente | Concordo | Concordo Fortemente |
|---|---|---|---|---|---|
| Ágape | 154 (14,98%) | 170 (16,54%) | 274 (26,65%) | 242 (23,54%) | 188 (18,29%) |
| Mania | 236 (22,96%) | 185 (18,00%) | 192 (18,68%) | 190 (18,48%) | 225 (21,89%) |
| Eros | 27 (2,63%) | 52 (5,06%) | 143 (13,91%) | 301 (29,28%) | 505 (49,12%) |
| Pragma | 242 (23,54%) | 153 (14,88%) | 220 (21,40%) | 202 (19,65%) | 211 (20,53%) |
| Storge | 235 (22,86%) | 139 (13,52%) | 205 (19,94%) | 177 (17,22%) | 272 (26,46%) |
| Ludus | 683 (66,44%) | 101 (9,82%) | 88 (8,56%) | 52 (5,06%) | 104 (10,12%) |

O Eros é justamente o estilo primário ligado à paixão, ao prazer tátil e verbal de estar em uma relação, sendo tal tipologia associada intimamente aos relacionamentos amorosos entre parceiros e a ligação sexual/corporal entre eles (Lee, 1988; Lomas, 2018). O Ludus, em contrapartida, ao refletir um descompromisso e ceticismo referente à relação (Nguyen & Munch, 2011; Proyer et al., 2018), representa uma visão deturpada da ideia esperada de relacionamento, fazendo com que o nível de discordância da amostra sobre esse estilo primário de amor fosse o maior dentre as tipologias propostas por Lee (1988).
Verificação das hipóteses
Visando testar as hipóteses relacionadas ao estilo de amor e a frequência de presentear, realizamos o teste Qui Quadrado (Tabela 4). Para tanto, agrupamos os quatro itens de cada uma das dimensões, totalizando um conjunto de 1028 respostas (257 x 4). Também foram agrupadas as alternativas de respostas visando facilitar a apresentação dos resultados, assim as respostas 'Discordo Fortemente' e 'Discordo' foram reunidas em uma única categoria 'Discorda'. De forma semelhante, fizemos o mesmo procedimento com as opções de respostas 'Concordo Fortemente' e 'Concordo'.
| Frequência que presenteia | Significância | |||||
|---|---|---|---|---|---|---|
| Não costumo presentear | Entre 1 e 3 vezes ao ano | Entre 4 e 6 vezes ao ano | Acima de 7 vezes ao ano | |||
| n=64 | (n= 360) | (n= 436) | (n= 168) | |||
| Ágape | Discorda | 59,38% | 29,72% | 30,96% | 26,19% | X2 (6) = 34,581p<0,001Coef.de cont.= 0,180 |
| Indiferente | 26,56% | 26,94% | 27,98% | 22,62% | ||
| Concorda | 14,06% | 43,33% | 41,06% | 51,19% | ||
| Total | 100,00% | 100,00% | 100,00% | 100,00% | ||
| Mania | Discorda | 57,80% | 40,00% | 41,30% | 35,70% | X2 (6) = 10,564p>0,05Coef.de cont. = 0,101 |
| Indiferente | 10,90% | 18,10% | 19,00% | 22,00% | ||
| Concorda | 31,30% | 41,90% | 39,70% | 42,30% | ||
| Total | 100,00% | 100,00% | 100,00% | 100,00% | ||
| Eros | Discorda | 29,70% | 10,00% | 3,90% | 4,20% | X2 (6) =91,598p<0,001Coef. de cont. = 0,286 |
| Indiferente | 26,60% | 9,20% | 18,60% | 7,10% | ||
| Concorda | 43,80% | 80,80% | 77,50% | 88,70% | ||
| Total | 100,10% | 100,00% | 100,00% | 100,00% | ||
| Pragma | Discorda | 53,10% | 35,00% | 37,40% | 42,90% | X2 (6) =11,646 p>0,05Coef.de cont.= 0,106 |
| Indiferente | 17,20% | 21,40% | 21,10% | 23,80% | ||
| Concorda | 29,70% | 43,60% | 41,50% | 33,30% | ||
| Total | 100,00% | 100,00% | 100,00% | 100,00% | ||
| Storge | Discorda | 40,60% | 31,40% | 38,80% | 39,30% | X2 (6) = 8,856p>0,05Coef.de cont.= 0,092 |
| Indiferente | 25,00% | 20,80% | 19,70% | 16,70% | ||
| Concorda | 34,40% | 47,80% | 41,50% | 44,00% | ||
| Total | 100,00% | 100,00% | 100,00% | 100,00% | ||
| Ludus | Discorda | 53,10% | 78,30% | 76,40% | 80,40% | X2 (6) = 37,728p <0,001Coef.de cont.=0,188 |
| Indiferente | 6,30% | 8,90% | 9,90% | 5,40% | ||
| Concorda | 40,60% | 12,80% | 13,80% | 14,30% | ||
| Total | 100,00% | 100,00% | 100,10% | 100,10% | ||
O teste do Qui Quadrado mostrou que houve uma associação significativa entre a frequência de presentear e o grau de concordância com estilos de amor Ágape χ2 (6) = 34,58, (p < 0,001), Eros χ2 (6) = 91,60, (p < 0,001) e Ludus χ2 (6) = 37,73, (p < 0,001). Tais resultados geram evidências de que as pessoas com maior concordância com os estilos de amor Ágape e Eros e, maior discordância com o estilo Ludus apresentam uma maior tendência em presentear.
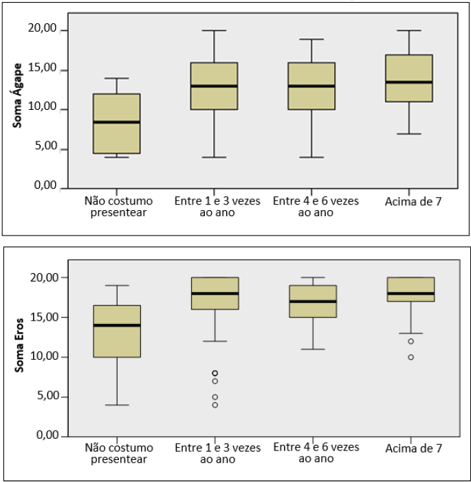
Visando se obter maiores evidências e, conforme já exposto, seguindo as recomendações de Haig (2005), realizamos um novo teste estatístico operacionalizado por meio do teste de Kruskal-Wallis, cujo resultado demonstrou existir um efeito do estilo Ágape χ2 (3) = 16,335; (p < 0,001) e Eros χ2 (3) = 17,608, (p < 0,001) sobre a frequência de presentear (Figura 6). As comparações em pares do teste Post hoc demostraram que há diferença entre os grupos que não presenteiam.

Assim, dentre os estilos primários, o Eros é aquele que gera maior frequência do ato de presentear num relacionamento amoroso, demonstrando, assim, evidências de que a hipótese 1a não pode ser rejeitada. Em contrapartida, o Ludus é o estilo de amor em que o parceiro terá menor frequência de ofertar presentes para seu(sua) companheiro(a), conforme teste Qui Quadrado, dando suporte para aceitação da hipótese 2a. De um lado, tem-se no Eros a intensidade relacional que orienta uma maior frequência no ato de presentear como meio de demonstrar rapidamente o desejo de aumentar o envolvimento (Lee, 1988; Mende et al., 2018; Minowa e Belk, 2019); por outro lado, tem-se no Ludus o descomprometimento e o controle do grau de vivência entre os parceiros (Zeigler-Hill et al., 2014; Proyer et al., 2018), justificando a menor periodicidade do ato de presentear pelo narcisismo característico dessa tipologia de amor (Campbell et al., 2002).
Em relação aos estilos secundários, foi evidenciado que o amor Ágape existente em uma relação amorosa levará o indivíduo a presentear seu(sua) parceiro(a) com maior frequência, refutando a hipótese 4a. Por tratar-se de uma forma de amar dedicada e altruísta, a constatação do ato de presentear com maior constância nesta tipologia secundária reflete o dever com o outro característico do próprio estilo (Lee, 1988; Joy, 2001), sendo o presente uma forma de entrega do ofertante (Mauss, 2002) que se mostra a serviço do parceiro (Hubbard, 2011).
Ademais, com vistas a testar as hipóteses relacionadas ao estilo de amor e a motivação de presentear, realizamos o teste Qui Quadrado (Tabela 5). Verificamos a existência de uma associação significativa entre as dimensões Ágape χ2 (12) = 33,531, (p < 0,001), Eros χ2 (12) = 52,940, (p < 0,001), Pragma χ2 (12) = 24,425, (p < 0,05) e Ludus χ2 (12) = 33,531, (p < 0,05) com os motivos de presentear.
| Celebração Simbólica | Troca Social | Troca Econômica | Troca Social e Econômica | Celebração Simbólica e Troca Social | Celebração Simbólica e Troca Econômica | Todos os estilos primários | Significância | ||
|---|---|---|---|---|---|---|---|---|---|
| (n=208 ) | (n= 576 ) | (n= 44 ) | (n= 60) | (n=100 ) | (n=28 ) | (n=12 ) | |||
| Ágape | Discorda | 21,3% | 50,3% | 7,4% | 7,7% | 9,3% | 1,9% | 2,2% | X2 (12) = 33,531 |
| Indiferente | 19,7% | 59,9% | 3,3% | 6,6% | 7,7% | 1,5% | 1,5% | p<0,001 | |
| Concorda | 19,8% | 57,9% | 2,6% | 4,0% | 11,4% | 4,2% | 0,2% | Coef.de contingência = 0,178 | |
| Mania | Discorda | 21,4% | 53,2% | 5,2% | 6,4% | 10,2% | 1,9% | 1,7% | X2 (12) = 16,245 |
| Indiferente | 19,8% | 53,6% | 5,7% | 7,3% | 10,9% | 1,6% | 1,0% | p>0,05 | |
| Concorda | 19,3% | 60,0% | 2,7% | 4,6% | 8,7% | 4,1% | 0,7% | Coef.de contingência = 0,125 | |
| Eros | Discorda | 17,7% | 55,7% | 13,9% | 2,5% | 5,1% | 1,3% | 3,8% | X2 (12) = 52,940 |
| Indiferente | 19,6% | 54,5% | 10,5% | 7,0% | 5,6% | 1,4% | 1,4% | p<0,001 | |
| Concorda | 20,6% | 56,3% | 2,2% | 6,0% | 10,9% | 3,1% | 0,9% | Coef.de contingência = 0,221 | |
| Pragma | Discorda | 17,0% | 53,7% | 6,1% | 8,6% | 11,6% | 1,8% | 1,3% | X2 (12) = 24,425 |
| Indiferente | 24,1% | 55,0% | 2,3% | 4,1% | 10,0% | 3,2% | 1,4% | p<0,05 | |
| Concorda | 21,3% | 58,8% | 3,6% | 4,1% | 7,7% | 3,4% | 1,0% | Coef.de contingência = 0,152 | |
| Storge | Discorda | 17,9% | 56,7% | 5,1% | 7,5% | 9,4% | 2,4% | 1,1% | X2 (12) = 11,966 |
| Indiferente | 20,0% | 58,0% | 5,9% | 4,9% | 8,8% | 1,5% | 1,0% | p>0,05 | |
| Concorda | 22,3% | 54,6% | 2,9% | 4,9% | 10,5% | 3,6% | 1,3% | Coef.de contingência = 0,107 | |
| Ludus | Discorda | 20,3% | 57,0% | 2,8% | 6,4% | 9,8% | 2,3% | 1,4% | X2 (12) = 28,454 |
| Indiferente | 25,0% | 48,9% | 6,8% | 2,3% | 11,4% | 4,5% | 1,1% | p<0,05 | |
| Concorda | 17,3% | 55,1% | 10,3% | 5,1% | 8,3% | 3,8% | 0,0% | Coef.de contingência = 0,164 |
A partir da Tabela 5, encontramos evidências que dão suporte para a não rejeição da hipótese 1b, apontando que, entre os motivos do ato de presentear no amor Eros, destaca-se o viés social, reforçando essa tipologia como forma de amar baseada em necessidades e desejos, nesse caso sociais, a serem supridos pelo destinatário do presente (Hubbard, 2011). Os demais estilos também evidenciaram a troca social, demonstrando que indivíduos com maior concordância dos tipos de amor Ludus, Pragma e Ágape veem como principal motivação do gift-giving a demonstração de compromisso, ofertando o presente como símbolo de comprometimento com vistas ao estabelecimento, fortalecimento ou manutenção do relacionamento (Belk & Coon, 1993; Komiya et al., 2019; Saad & Gill, 2003). Tais constatações geram evidências para aceitação da hipótese 2b, para suporte parcial da 5a (somente a dimensão social foi observada, não sendo comprovado o viés econômico) e da refutação da suposição 6a.
A refutação da hipótese 6a demonstra que mesmo em relacionamentos românticos guiados por um amor Ágape, motivações instrumentais poderão estar presentes. A doação do outro como oferta (Sherry, 1983; Hubbard, 2011) pode vir acompanhada de uma ação orientada que visa alcançar consequências sociais de manutenção e fortalecimento da relação por meio da felicidade do parceiro, sendo necessária uma abdicação de algo desejado pelo ofertante (Belk & Coon, 1993; Joy, 2001; Pérez et al., 2009). Assim, tal constatação reforça a normativa de reciprocidade, de se esperar algo em troca, existente no sistema social do ato de presentear (Cheal, 1987; Giesler, 2006; Moufahim, 2013; Sherry, 1983), independentemente dos componentes altruístas que possam existir concomitantemente, reforçando o viés social como orientador do gift-giving, sendo o presente um símbolo de comprometimento mútuo (Komiya et al., 2019).
De forma semelhante às análises apresentadas, buscamos novas evidências que refutassem ou não as hipóteses de pesquisa. Nesse sentido, realizamos o teste de Kruskal-Wallis, tendo como variáveis as motivações para presentear e o estilo de amor. Os resultados demonstraram existir um efeito do Eros χ2 (1) = 14,362, (p < 0,05) sobre os motivos do gift-giving. As comparações em pares do teste Post hoc demostraram que as diferenças estão entre troca econômica e troca social, celebração simbólica e, celebração simbólica e troca social (Figura 7).

Percebemos, por meio da Figura 7, que os indivíduos que têm maior grau de concordância com o estilo Eros discordam em relação à troca econômica como motivação no ato de presentear. Logo, essa tipologia de amor afasta a percepção do gift-giving como investimento em prol de favores, dentre eles sexuais (Hyun et al., 2016, Koladich & Atkinson, 2016) e a aproxima da perspectiva de celebração simbólica e do presente como sinal de comprometimento que expressa um desejo de manter o relacionamento (Belk & Coon, 1993; Komiya et al., 2019).
Por fim, realizamos o Qui Quadrado para testar as hipóteses referentes ao estilo de amor e a percepção sacrificial (Tabela 6). Identificamos a existência de uma associação significativa entre as dimensões Ágape χ2 (2) = 37,896, (p < 0,001) e Eros χ2 (2) = 10,220, (p < 0,05) e a percepção de realização de sacrifício no gift-giving.
| Dimensão | Já realizou sacrifícios | Significância | ||
|---|---|---|---|---|
| Não | Sim | |||
| Ágape | Discorda (n=324) | 68,2% | 31,8% | X2 (2) = 37,896 |
| Indiferente (n=274) | 62,0% | 38,0% | p<0,001 | |
| Concorda (n=430) | 46,7% | 53,3% | Coef.de contingência = 0,189 | |
| Mania | Discorda (n=421) | 61,8% | 38,2% | X2 (2) = 5,355 |
| Indiferente (n=192) | 56,3% | 43,8% | p>0,05 | |
| Concorda (n=415) | 54,0% | 46,0% | Coef.de contingência = 0,072 | |
| Eros | Discorda (n=79) | 73,4% | 26,6% | X2 (2) = 10,220 |
| Indiferente (n=143) | 60,8% | 39,2% | p<0,05 | |
| Concorda (n=806) | 55,5% | 44,5% | Coef.de contingência = 0,099 | |
| Pragma | Discorda (n=395) | 55,2% | 44,8% | X2 (2) = 1,764 |
| Indiferente (n=220) | 57,7% | 42,3% | p>0,05 | |
| Concorda (n=413) | 59,8% | 40,2% | Coef.de contingência = 0,041 | |
| Storge | Discorda (n=374) | 59,6% | 40,4% | X2 (2) = 1,003 |
| Indiferente (n=205) | 56,6% | 43,4% | p>0,05 | |
| Concorda (n=449) | 56,3% | 43,7% | Coef.de contingência = 0,031 | |
| Ludus | Discorda (n=784) | 58,2% | 41,8% | X2 (2) = 3,111 |
| Indiferente (n=88) | 48,9% | 51,1% | p>0,05 | |
| Concorda (n=156) | 59,6% | 40,4% | Coef.de contingência = 0,055 | |
Deduzimos que, no Ágape, há a percepção de sacrifício entre aqueles que apresentaram maior grau de concordância com tal estilo de amor, indicando evidências para não rejeição da hipótese 6b, a qual alega que indivíduos com maior percentual do estilo de amor Ágape percebem sacrifício no ato de presentear. Tal constatação reforça os aspectos de autossacrifício já mencionados na literatura quando observada essa tipologia de amor (Belk & Coon, 1993; Joy, 2001, Minowa & Belk, 2019; Pérez et al., 2009), realçando o aspecto de abdicação de algo desejado ou possuído do ofertante no processo de gift-giving nas relações românticas.
Identificamos, ainda, a refutação da hipótese 1c que presumia a existência do sacrifício no ato de presentear em indivíduos com maior percentual do estilo Eros. Indo de encontro ao que foi teorizado, percebemos a prevalência da percepção não sacrificante do gift-giving em tal tipologia de amor. Talvez, por estar relacionado intimamente a ideia de prazer e de paixão, movendo o indivíduo a um envolvimento rápido e intenso (Lee, 1988; Zeigler-Hill et al., 2014; Lomas, 2018), o estilo Eros possa encobrir ou suprimir as percepções dos custos ou das abdicações realizadas no gift-giving, dando mais ênfase aos aspectos hedônicos e benéficos de estar profunda e rapidamente envolvido com o parceiro, gerando satisfação e autenticidade ao ofertante do presente (Day & Impett, 2017).
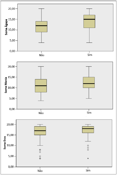
Ainda realizamos o teste de Kruskal-Wallis. Os resultados dele demonstraram existir um efeito dos estilos Ágape χ2 (1) = 17,121, (p < 0,001), Mania χ2 (1) = 4,068, (p < 0,05) e Eros χ2 (1) = 4,112, (p < 0,05) sobre a percepção de sacrifício (Figura 8).

Como demonstrado na Figura 8, constatamos a existência de uma percepção sacrificial no gift-giving por indivíduos que possuem maior grau de concordância com o amor Ágape, já reconhecido pela literatura (Belk & Coon, 1993; Joy, 2001, Pérez et al., 2009), mas também Mania e Eros, gerando evidência para aceitação das hipóteses 1c, 4c e 6b.
As tipologias Mania e Eros podem levar à percepção sacrificial no ato de presentear, pois segundo Day e Impett (2017), em relacionamentos amorosos, a dependência na construção identitária pode gerar sacrifícios dos parceiros. Tal dependência existe em maior ou menor grau nesses estilos de amor, mediante obsessão e dependência presentes no Mania ou intensidade vivenciada a partir do Eros (Campbell et al., 2002; Lomas, 2018; Mende et al., 2018; Proyer et al., 2018; Zeigler-Hill et al., 2014).
Logo, a partir do teste de Kruskal-Wallis, a percepção de abdicação no ato de presentear é identificada em indivíduos que são orientados em seus relacionamentos amorosos pelos estilos Eros, Mania e Ágape, demonstrando os custos percebidos ao realizarem o gift-giving e o valor dos benefícios gerados que justificam essa ação de mimosear.
Os resultados do teste de hipóteses descritos estão resumidos na Figura 9.
| Hipóteses | Qui-quadrado Pearson | Kruskal-Wallis |
|---|---|---|
| Hipótese 1a: Indivíduos com maior percentual do estilo de amor Eros , dentre os estilos primários, ofertarão mais presentes aos seus parceiros | Suportada | Suportada |
| Hipótese 1b: Os motivos do ato de presentear no amor Eros são de instrumentalidade social. | Suportada | Suportada parcialmente |
| Hipótese 1c: Indivíduos com maior percentual do estilo de amor Eros percebem sacrifício no ato de presentear. | Refutada | Suportada |
| Hipótese 2a: Indivíduos com maior percentual do estilo de amor Ludus , dentre os estilos primários, ofertarão menos presentes aos seus parceiros. | Suportada | Sem evidência |
| Hipótese 2b: Os motivos do ato de presentear no amor Ludus não envolvem uma motivação altruísta. | Suportada | Sem evidência |
| Hipótese 2c: Indivíduos com maior percentual do estilo de amor Ludus percebem sacrifício no ato de presentear. | Sem evidência | Sem evidência |
| Hipótese 3a: Os motivos do ato de presentear no amor Storge são de instrumentalidade social | Sem evidência | Sem evidência |
| Hipótese 3b: Indivíduos com maior percentual do estilo de amor Storge não percebem sacrifício no ato de presentear. | Sem evidência | Sem evidência |
| Hipótese 4a: Indivíduos com maior percentual do estilo de amor Mania , dentre os estilos secundários, ofertarão mais presentes aos seus parceiros. | Refutada | Refutada |
| Hipótese 4b: Os motivos do ato de presentear no amor Mania são de troca instrumental social. | Sem evidência | Sem evidência |
| Hipótese 4c: Indivíduos com maior percentual do estilo de amor Mania percebem sacrifício no ato de presentear. | Sem evidência | Suportada |
| Hipótese 5a: Os motivos do ato de presentear no amor Pragma são de troca instrumental social e econômica. | Suportada parcialmente | Sem evidência |
| Hipótese 5b: Indivíduos com maior percentual do estilo de amor Pragma não percebem sacrifício no ato de presentear. | Sem evidência | Sem evidência |
| Hipótese 6a: Os motivos do ato de presentear no amor Ágape não envolvem motivação egoísta. | Refutada | Sem evidência |
| Hipótese 6b: Indivíduos com maior percentual do estilo de amor Ágape percebem sacrifício no ato de presentear | Suportada | Suportada |
Conclusões
Neste artigo, buscamos compreender o ato de presentear em suas características de frequência, motivação e sacrifício por meio dos tipos de amor existentes em relacionamentos românticos. Para isso, desenvolvemos hipóteses e as testamos por meio dos testes Qui-Quadrado de Pearson e de Kruskal-Wallis. Neles, encontramos evidências que deram suporte para aceitação ou refutação das hipóteses 1a, 1b, 1c, 2a, 2b, 4a, 4c, 5a, 6a e 6b, levando-nos a estabelecer as principais contribuições do estudo. Primeiramente, identificamos que o amor Eros é o estilo predominante entre casais participantes da amostra, sendo também, dentre as tipologias primárias, o que guia esses indivíduos a presentearem com maior frequência, mediante motivo social, conforme resultado do teste Qui-quadrado de Pearson, ou qualquer outro motivo que exclua uma perspectiva econômica, de acordo com teste de Kruskal-Wallis, perpassando o desejo de aumentar o envolvimento romântico com o parceiro (Minowa & Belk, 2019).
Também reconhecemos, dentre os estilos secundários de amor, que o Ágape tende a conduzir o indivíduo a praticar mais frequentemente o gift-giving, gerando uma percepção sacrificial do ofertante, como já mencionado em trabalhos anteriores (Belk & Coon, 1993; Joy, 2001, Pérez et al, 2009). Entretanto, a motivação, segundo resultado do teste Qui-quadrado de Pearson, não se restringe às razões altruístas conforme até então era apresentado pelas pesquisas aqui mencionadas. Ampliando essa perspectiva, identificamos os vieses sociais como motivações do Ágape para presentear, objetivando reforçar o comprometimento existente na relação. Assim, ainda que questões altruístas se façam presentes, a normativa de reciprocidade (Cheal, 1987; Giesler, 2006; Moufahim, 2013; Sherry, 1983) conduzirá a outras motivações instrumentais.
Outra contribuição relevante foi a descoberta de que o sacrifício pode ser percebido no ato de presentear em outras maneiras de amor para além do estilo Ágape. Por meio do teste de Kruskal-Wallis, identificamos a existência da percepção sacrificial nas tipologias Mania e Eros, que podem emergir mediante grau de dependência do parceiro ou da intensidade da relação (Campbell et al., 2002; Zeigler-Hill et al., 2014; Day & Impett, 2017; Proyer et al., 2018). Tais hipóteses, no entanto, se apresentaram respectivamente como sem evidência para aceitação e refutada mediante Qui-quadrado. Por sua vez, o mesmo teste demonstrou evidências de que o amor Ludus foi o estilo mais dissociado dos relacionamentos amorosos da amostra, influenciando a uma baixa periodicidade do gift-giving que, quando é feito, se distancia da motivação altruísta.
Destarte, o presente artigo contribui com a literatura ao revelar que o ato de presentear em relacionamentos amorosos tende a ser influenciado pelos estilos de amor vivenciados e que a percepção de sacrifício varia de acordo com tais estilos, tanto os primários (Eros, Ludus e Storge) quanto os secundários (Mania, Pragma e Ágape). De modo especial, o estudo incentiva o desenvolvimento de reflexões e investigações voltadas às consequências das formas de amar no comportamento do consumidor. Como revelado, as tipologias de amor influenciam a periodicidade de certas compras, sugerindo possibilidades de pesquisas futuras que observem o impacto delas no tipo de produto adquirido e na percepção de satisfação com ele. Além de tudo, destacamos a teoria de Lee (1988) como capaz de proporcionar novas interpretações sobre relações de consumo, tais como entre indivíduo e marca. De fato, o amor para com as marcas tem sido objeto de análise de vários estudos (Albert & Merunka, 2013; Batra et al., 2012; Carroll & Ahuvia, 2006), mas quais tipos de amor podem estar presentes nesse relacionamento ainda permanecem desconhecidos.
Por fim, destacam-se como limitações, o perfil da amostra, ao se tratar em sua maioria, de jovens que estão vivenciando predominantemente o namoro e que não possuem filhos. Portanto, os resultados refletem as características desse grupo, mas não inviabilizam possíveis reflexões acerca da população. Além disso, a não identificação em relação à classe socioeconômica pode ter sido limitante por ser uma variável relevante nesse tipo de análise, já que o sacrifício da compra é relativo, alterando-se de acordo com os provimentos financeiros das pessoas. Todavia, isso não limita as conclusões aqui realizadas. Porém, para pesquisas futuras, sugerimos que a amostra seja ampliada considerando o perfil da população, sobretudo em suas condições socioeconômicas.
Os achados deste estudo também contribuem para o desenvolvimento de ações mercadológicas. Ao conhecer os estilos de amor e as práticas de presentear das pessoas, os profissionais de marketing podem desenvolver ações segmentando as campanhas a partir do que há de melhor em cada estilo, ou evidenciando aqueles mais positivos, para atenuar as percepções de sacrifício por parte de alguns, gerando no momento da compra e no ato de presentear momentos memoráveis.
Referências
Albert, N., & Merunka, D. (2013). The role of brand love in consumer‐brand relationships. Journal of Consumer Marketing, 30(3), 258-266. https://doi.org/10.1108/07363761311328928
Andrade, A. L. de, & Garcia, A. (2009). Atitudes e crenças sobre o amor: Versão brasileira da Escala de Estilos de Amor. Interpersona: An International Journal on Personal Relationships, 3(1), 89-102.
Aron, A., Lewandowski, G. W., Jr., Mashek, D., & Aron, E. N. (2013). The self-expansion model of motivation and cognition in close relationships. In J. Simpson & L. Campbell (eds.), The Oxford handbook of close relationships (chap. 5, pp. 90-115). New York: Oxford University Press.
Batra, R., Ahuvia, A., & Bagozzi, R. P. (2012). Brand Love. Journal of Marketing, 76(2), 1-16. https://doi.org/10.1509/jm.09.0339
Belk, R. W. (1979) Gift giving behavior. In: J. N. Sheth (Ed.), Research in marketing (Vol. 2, pp. 95-126). Greenwich, CT: JAI Press
Belk, R. W., & Coon, G. S. (1993). Gift giving as agapic love: An alternative to the exchange paradigm based on dating experiences. Journal of Consumer Research, 20(3), 393-417.
Berking, H. (1999). Sociology of Giving. London: SAGE.
Boncinelli, F., Dominici, A., Gerini, F., & Marone, E. (2019). Consumers wine preferences according to purchase occasion: Personal consumption and gift-giving. Food Quality and Preference, 71, 270-278. https://doi.org/10.1016/j.foodqual.2018.07.013
Campbell, W. K., Foster, C. A., & Finkel, E. J. (2002). Does self-love lead to love for others? A story of narcissistic game playing. Journal of Personality and Social Psychology, 83(2), 340-354.
Carroll, B. A., & Ahuvia, A. C. (2006). Some antecedents and outcomes of brand love. Marketing Letters, 17(2), 79-89.
Cheal, D. (1987). Showing them you love them: Gift-giving and the dialectic of intimacy. Sociological Review, 35(1), 150 - 169. https://doi.org/10.1111/j.1467-954X.1987.tb00007.x
Cronbach, L. J. (1951). Coefficient alpha and the internal structure of tests. Psychometrika, 16(3), 297-298.
Day, L. C., & Impett, E. A. (2017). Giving when it costs: How interdependent self-construal shapes willingness to sacrifice and satisfaction with sacrifice in romantic relationships. Journal of Social and Personal Relationships, 35(5), 722-742. https://doi.org/10.1177/0265407517694965
Faure, C, & Mick, D. C. (1993). Self-gifts through the lens of attribution theory. In L. McAlister, M. L. Rothschild (Eds.), Advances in consumer research (vol. 20, pp. 553-556). Provo, UT: Association for Consumer Research.
Fischer, E., & Arnold, S. J. (1990). More than a labor of love: Gender roles and christmas gift shopping. Journal of Consumer Research, 17(3), 333-345. http://dx.doi.org/10.1086/208561
Giesler, M. (2006). Consumer gift systems. Journal of Consumer Research, 33(2), 283-290. https://doi.org/10.1086/506309
Haig, B. D. (2005). An abductive theory of scientific method. Psychological Methods, 10(4), 371-388. https://doi.org/10.1037/1082-989X.10.4.371
Hazan, C., & Shaver, P. (1987). Romantic love conceptualized as an attachment process. Journal of Personality and Social Psychology, 52(3), 511-524.
Hendrick, C., & Hendrick, S. (1986). A theory and method of love. Journal of Personality and Social Psychology, 50(2), 392-402. https://doi.org/10.1037/0022-3514.50.2.392
Hendrick, C., Hendrick, S. S., & Dicke, A. (1998). The love attitudes scale: Short form. Journal of Social and Personal Relationships, 15(2), 147-159. https://doi.org/10.1177/0265407598152001
Hetsroni, A. (2012). Associations between television viewing and love styles: An interpretation using cultivation theory. Psychological Reports, 110(1), 35-50. https://doi.org/10.2466/17.PR0.110.1.35-50
Huang, M.-H., & Yu, S. (2000). Gifts in a romantic relationship: A survival analysis. Journal of Consumer Psychology, 9(3), 179 - 188. https://doi.org/10.1207/S15327663JCP0903_5
Hubbard, K. (2011). The unity of Eros and Agape: On Jean-Luc Marion's erotic phenomenon. Essays in Philosophy, 12(1), 130-146.
Hyun, N. K., Park, Y., & Park, S. W. (2016). Narcissism and gift giving: Not every gift is for others. Personality and Individual Differences, 96, 47-51. https://doi.org/10.1016/j.paid.2016.02.057
Joy, A. (2001). Gift giving in Hong Kong and the continuum of social ties. Journal of Consumer Research, 28(2), 239-256. https://doi.org/10.1086/322900
Kenrick, D. T., & Trost, M. R. (1986). A biosocial model of heterosexual relationships. In D. Byrne, K. Kelly (Eds.), Males, females, and sexuality (pp. 59-100). Albany, NY: SUNY Press.
Koladich, S. J., & Atkinson, B. E. (2016). The dark triad and relationship preferences: A replication and extension. Personality and Individual Differences, 94, 253-255. https://doi.org/10.1016/j.paid.2016.01.023
Komiya, A., Ohtsubo, Y., Nakanishi, D., & Oishi, S. (2019). Gift-giving in romantic couples serves as a commitment signal: Relational mobility is associated with more frequent gift-giving. Evolution and Human Behavior, 40(2), 160-166. https://doi.org/10.1016/j.evolhumbehav.2018.10.003
Lee, J. A. (1988). Love-styles. In R. J. Sternberg & M. L. Barnes (Eds.), The psychology of love (pp. 38-67). New Haven, CT: Yale University Press.
Lomas, T. (2018). The flavours of love: A cross-cultural lexical analysis. Journal for the Theory of Social Behaviour, 48(1), 134-152. https://doi.org/10.1111/jtsb.12158
Marcoux, J.-S. (2009). Escaping the gift economy. Journal of Consumer Research, 36(4), 671-685. https://doi.org/10.1086/600485
Mauss, M. (2002). The gift: The form and reason for exchange in archaic societies. Albany, NY: Routledge. (Original work published 1954)
Mende, M., Scott, M. L., Garvey, A. M., & Bolton, L. E. (2018). The marketing of love: How attachment styles affect romantic consumption journeys. Journal of the Academy of Marketing Science, 47(2), 255-273. https://doi.org/10.1007/s11747-018-0610-9
Minowa, Y., & Belk, R. W. (2019). Gifts, romance, and consumer culture. Albany, NY: Routledge .
Minowa, Y., Matsui, T., & Belk, R. W. (2012). I would want a magic gift: Desire for romantic gift giving and the cultural fantasies of baby boomers in Japan. In Z. Gürhan-Canli, C. Otnes, R. Zhu (Eds.), Advances in Consumer Research (vol. 40, pp. 901-902). Duluth, MN: Association for Consumer Research
Moufahim, M. (2013). Religious gift giving. Marketing Theory, 13(4), 421-441. https://doi.org/10.1177/1470593113499698
Nguyen, H. P., & Munch, J. M. (2011). Romantic gift giving as chore or pleasure: The effects of attachment orientations on gift giving perceptions. Journal of Business Research, 64(2), 113-118.
Otnes, C., Zolner, K., & Lowrey, T. M. (1994). In-laws and outlaws: The impact of divorce and remarriage upon christmas gift exchange. In C. T. Allen, D. R. John (Eds.), Advances in Consumer Research (vol. 21, pp. 25-29) Provo, UT: Association for Consumer Research .
Palmer, D. A. (2011). Gift and market in the Chinese religious economy. Religion, 41(4), 569-594. https://doi.org/10.1080/0048721X.2011.616703
Pérez, V. A. F., Fiol, E. B., Guzmán, C. N., Palmer, M. C. R., & Buades, E. G. (2009). The concept of love in Spain. Psychology in Spain, 13(1), 40-47.
Proyer, R. T., Brauer, K., Wolf, A., & Chick, G. (2018). Beyond the ludic lover individual differences in playfulness and love styles in heterosexual relationships. American Journal of Play, 10(3), 265-289.
Rugimbana, R., Donahay, B., Neal, C., & Polonsky, M. J. (2003). The role of social power relations in gift giving on Valentine's day. Journal of Consumer Behaviour, 3(1), 63-73. https://doi.org/10.1002/cb.122
Saad, G. & Gill, T. (2003). An evolutionary psychology perspective on gift giving among young adults. Psychology & Marketing, 20(9), 765-784. https://doi.org/10.1002/mar.10096
Schiffman, L. G, & Cohn, D. Y. (2009). Are they playing by the same rules? A consumer gifting classification of marital dyads. Journal of Business Research, 62(11), 1054-1062. https://doi.org/10.1016/j.jbusres.2008.09.012
Sherry, J. F., Jr . (1983). Gift giving in anthropological perspective. Journal of Consumer Research, 10(2), 157-168. https://doi.org/10.1086/208956
Sprecher, S., Aron, A., Hatfield, E., Cortese, A., Potapova, E., & Levitskaya, A. (1994). Love: American style, russian style, and japanese style. Personal Relationships, 1(4), 349-369. https://doi.org/10.1111/j.1475-6811.1994.tb00070.x
Ubillos, S., Zubieta, E., Páez, D., Deschamps, J.-C., Ezeiza, A., & Vera, A. (2001). Amor, cultura y sexo. Revista Electrónica de Motivación y Emoción (REME), 4(8-9) (s/p). Recuperado de http://reme.uji.es/articulos/aubils9251701102/texto.html
Zeigler-Hill, V., Britton, M., Holden, C. J., & Besser, A. (2014). How will I love you? Self-esteem instability moderates the association between self-esteem level and romantic love styles. Self and Identity, 14(1), 118-134. https://doi.org/10.1080/15298868.2014.960445
ANEXO
APÊNDICES
Apêndice 1 - Ajustes na escala A tabela abaixo apresenta na coluna (A) as dimensões avaliadas por intermédio da versão traduzida para o português da Escala de Estilos de Amor - LAS (Andrade & Garcia, 2009). A coluna (B) expõe os trinta e sete itens da escala original. Nas colunas (C) e (D) são apresentados os resultados da análise de confiabilidade e validade da escala por meio do coeficiente Alpha de Cronbach e Análise Exploratória Fatorial (AFE). O texto dos itens da coluna (B) destacados em vermelho representam as questões eliminadas visando o melhor ajustamento da medida, conforme os resultados expostos nas colunas (E) e (F).
| (A) Dimensão | (B)Item | Original | Adaptada pelos autores | ||
|---|---|---|---|---|---|
| Agape | Não consigo ser feliz a menos que coloque a felicidade de meu parceiro (a) antes da minha. | 55,649 | 0,837 | 62,365 | 0,789 |
| Geralmente estou disposto a sacrificar meus desejos para deixar meu parceiro (a) realizar os seus. | |||||
| Eu preferiria sofrer que deixar meu parceiro (a) sofrer. | |||||
| Eu resistiria a todas as coisas por meu parceiro (a). | |||||
| Tudo que tenho pode ser usado por meu parceiro (a) como ele (a) quiser. | |||||
| Quando meu parceiro (a) fica bravo comigo, ainda o (a) amo completa e incondicionalmente. | |||||
| Mania | Às vezes fico tão empolgado por estar apaixonado que não consigo dormir. | 39,848 | 0,744 | 53,163 | 0,744 |
| Quando meu parceiro (a) não presta atenção em mim, sinto-me mal. | |||||
| Quando estou apaixonado, tenho problema para me concentrar nas outras coisas. | |||||
| Não consigo relaxar se suspeito que meu parceiro (a) está com outra pessoa. | |||||
| Se meu parceiro (a) me ignora por um tempo, às vezes faço coisas estúpidas para conseguir sua atenção de novo. | |||||
| Quando um caso de amor termina, fico tão deprimido que até já pensei em suicídio. | |||||
| Quando as coisas não estão bem entre meu parceiro (a) e eu, sinto dores de estômago. | |||||
| Eros | Sinto que meu parceiro (a) e eu fomos feitos um para o outro. | 50,401 | 0,810 | 69,995 | 0,854 |
| Meu parceiro (a) e eu temos a "química" certa entre nós. | |||||
| Fazer amor com meu parceiro (a) é algo muito intenso e satisfatório. | |||||
| Meu parceiro (a) e eu realmente entendemos um ao outro. | |||||
| Meu parceiro (a) se encaixa nos meus ideais de beleza. | |||||
| Meu parceiro (a) e eu nos envolvemos emocionalmente rapidamente. | |||||
| Meu parceiro (a) e eu nos sentimos atraídos um pelo outro imediatamente depois de nos conhecermos. | |||||
| Pragma | Uma consideração ao escolher um parceiro (a) é como ele (a) vai refletir na minha carreira. | 42,642 | 0,772 | 55,820 | 0,754 |
| Antes de me envolver com alguém, tento pensar no quão compatível a sua bagagem hereditária é com a minha, caso tenhamos filhos. | |||||
| Um fator importante na escolha de um parceiro (a) é se ele (a) será um bom pai ou mãe. | |||||
| Uma consideração principal ao escolher um parceiro (a) é como ele (a) reflete na minha família. | |||||
| Tento planejar minha vida cuidadosamente antes de escolher um parceiro. | |||||
| Considero o que uma pessoa vai se tornar na vida antes de me comprometer com ela. | |||||
| É melhor amar alguém de um contexto semelhante. | |||||
| Storge | Meus relacionamentos de amor mais satisfatórios se desenvolveram a partir de boas amizades. | 53,501 | 0,779 | 60,772 | 0,779 |
| O melhor tipo de amor surge de uma longa amizade. | |||||
| Nossa amizade fundiu-se gradativamente em um amor com o tempo. | |||||
| O amor é na verdade uma amizade profunda, não uma emoção mística e misteriosa. | |||||
| É difícil saber onde termina a amizade e começa o amor. | |||||
| Ludus | Gosto de jogar o "jogo do amor" com vários parceiros (as) diferentes. | 51,110 | 0,724 | 60,260 | 0,747 |
| Algumas vezes tive que evitar que dois de meus parceiros (as) descobrissem algo um sobre o outro. | |||||
| Quando meu parceiro (a) fica muito dependente de mim, prefiro distanciar-me um pouco. | |||||
| Meu parceiro (a) ficaria desapontado (a) se ele (a) soubesse de algumas coisas que fiz com outras pessoas. | |||||
| Tento manter meu parceiro (a) um pouco incerto sobre meu comprometimento com ele (a). | |||||
Notas
O presente trabalho obteve financiamento do Ministério da Ciência, Tecnologia e Inovação, Conselho Nacional de Desenvolvimento Científico e Tecnológico, Processo 140806/2019-9.

Todos os dados e materiais foram disponibilizados publicamente por meio da plataforma Mendeley e podem ser acessados em: Gomes, Jairo de Pontes; Brito, Marianny; Farias, Salomão; Melo, Vicente (2019). "Gift-giving, Love Styles, and Sacrifice: An Analysis Among Romantic Partners", Mendeley Data, Recuperado de http://dx.doi.org/10.17632/99ytkx8sr3.2
Autor notes
1º autor: Liderou a conceitualização, curadoria de dados, rascunho do texto original e revisão e edição da escrita. Participou igualitariamente na análise formal, investigação, e metodologia. 2º autor: Liderou a aquisição de recursos, os recursos, administração de projetos e supervisão. Participou igualitariamente na visualização, revisão e redação. Participou como apoio à conceitualização e investigação. 3º autor: Liderou a metodologia e software. Participou igualitariamente da curadoria de dados, análise formal, investigação e revisão e edição de textos. Participou como apoio ao rascunho do texto original e conceitualização. 4º autor: Participou igualitariamente na supervisão, visualização, revisão e edição de textos. Participou como apoio na análise formal e metodologia.
Os autores informaram que não há conflito de interesses.
Autores: Marianny Silva, Av. Prof. Moraes Rego, nº 1235, 50670-901, Recife, PE, Brasil. E-mail: marianny.jbrito@gmail.com, https://orcid.org/0000-0001-5567-3657Salomão de Farias, Av. dos Funcionários, s/n, 50670-901, Recife, PE, Brasil. E-mail: saf@ufpe.br, https://orcid.org/0000-0001-5415-2606Jairo de Pontes Gomes, Rua João Pessoa, s/n, 58220-000, Bananeiras, PB, Brasil. E-mail: jairopontes@yahoo.com, https://orcid.org/0000-0003-2658-0317Francisco Vicente Sales Melo, Rua Cassilândia, nº 331, Ap. 301, 50670-901, Recife, PE, Brasil. E-mail: vicsmelo@gmail.com, https://orcid.org/0000-0003-0329-668XContribuições1º autor: Liderou a conceitualização, curadoria de dados, rascunho do texto original e revisão e edição da escrita. Participou igualitariamente na análise formal, investigação, e metodologia. 2º autor: Liderou a aquisição de recursos, os recursos, administração de projetos e supervisão. Participou igualitariamente na visualização, revisão e redação. Participou como apoio à conceitualização e investigação. 3º autor: Liderou a metodologia e software. Participou igualitariamente da curadoria de dados, análise formal, investigação e revisão e edição de textos. Participou como apoio ao rascunho do texto original e conceitualização. 4º autor: Participou igualitariamente na supervisão, visualização, revisão e edição de textos. Participou como apoio na análise formal e metodologia.