Resumen
Introducción. :
Las tiosemicarbazonas y sus complejos de paladio (II) poseen actividad antineoplásica con pocos efectos secundarios, por lo cual se las considera como una nueva alternativa terapéutica. Sin embargo, existen diferencias en los rangos de la concentración inhibitoria media (CI50) asociada a la divergencia estructural y la solubilidad de los complejos, así como a la sensibilidad de los blancos celulares. La inclusión de fármacos en la beta-ciclodextrina con fines terapéuticos ha mejorado su solubilidad y estabilidad, pero los efectos de su combinación con los complejos de paladio (II) y las tiosemicarbazonas no se han comprobado aún.
Objetivo. : Estudiar el efecto citotóxico de los complejos de paladio en la beta-ciclodextrina.
Materiales y métodos. : La actividad citotóxica de los complejos de paladio en la beta-ciclodextrina se evaluó en la línea celular de cáncer de mama (MCF-7), empleando el método de la sulforodamina B.
Resultados. : Los ligandos MePhPzTSC y Ph2PzTSC, sus complejos de paladio (II) libres e incluidos en la beta-ciclodextrina y el cisplatino mostraron actividad citotóxica en la línea celular MCF-7; sin embargo, la citotoxicidad fue mayor con la inclusión en la beta-ciclodextrina ([Pd(MePhPzTSC)2]•ß-CD y [Pd(Ph2PzTSC)2]•ß-CD). La concentración inhibitoria media (CI50) para estos complejos se obtuvo en concentraciones de 0,14 y 0,49 μM, y con dosis hasta cinco veces inferiores comparadas con las concentraciones de los ligandos libres (1,4 y 2,9 μM), de los complejos de paladio (II) libres (0,57 y 1,24 μM) y del cisplatino (6,87 μM).
Conclusiones. : El uso de la beta-ciclodextrina mejoró significativamente la actividad citotóxica de las tiosemicarbazonas y sus complejos de paladio (II), lo cual probablemente está asociado al incremento de la solubilidad y biodisponibilidad del compuesto, estrategia que se puede sugerir para el diseño de futuros fármacos antineoplásicos.
Palabras clave: paladio, tiosemicarbazonas, beta-ciclodextrinas, neoplasias de la mama/terapia.
Abstract
Introduction: Thiosemicarbazones and palladium (II) complexes have antineoplastic activities with mild side effects, for which they are considered new alternative antineoplastic drugs. However, the IC50 ranges of these complexes vary due to differences in their structure and solubility and their sensitivities for various cellular targets. Beta-cyclodextrin is an additive used to improve the solubility and stability of various drugs for therapeutic use, but the combination of beta-cyclodextrin with palladium (II) complexes and thiosemicarbazones has not been tested yet.
Objective: To study the cytotoxic effect of palladium (II) inclusion complexes in beta-cyclodextrin.
Materials and methods: We tested the cytotoxic activity of palladium complexes combined with betacyclodextrin in the breast cancer cell line MCF-7 using a sulforhodamine B assay.
Results: We tested the antiproliferative activity of palladium (II) complexes with and without the ligands MePhPzTSC and Ph2PzTSC and with and without beta-cyclodextrin in MCF-7 cells and compared them to that of cisplatin. All combinations showed antiproliferative activity; however, the activity was greater for the combinations that included beta-cyclodextrin: ([Pd (MePhPzTSC) 2] • ß-CD and [Pd (Ph2PzTSC) 2] • ß-CD), at concentrations of 0.14 and 0.49 μM, respectively. The IC50 for this complex was 5-fold lower than that of the ligand-free combinations (1.4 and 2.9 μM, respectively). The IC50 for free palladium (II) complex was 0.571.24 μM and that for cisplatin was 6.87 μM.
Conclusions: Beta-cyclodextrin significantly enhanced the cytotoxic activities of palladium (II) complexes and thiosemicarbazones probably by improving their solubility and bioavailability. The addition of betacyclodextrin is a possible strategy for designing new anticancer drugs.
Key words: esENPalladium, thiosemicarbazone, beta-cyclodextrins, breast neoplasm/therapy.
ARTÍCULO ORIGINAL
Efecto citotóxico de los compuestos de inclusión de paladio (II) en la beta-ciclodextrina
Cytotoxic effect of palladium (II) inclusion compounds in beta-cyclodextrin
Recepción: 18 Junio 2015
Aprobación: 05 Mayo 2016
Se estima que alrededor de 1,3 millones de mujeres en el mundo tienen diagnóstico de cáncer de mama, el cual, por su frecuencia en las mujeres, constituye uno de los principales problemas de salud en términos de morbilidad, mortalidad y costo del tratamiento (1). Aunque son muchos los fármacos que se comercializan, la respuesta a ellos sigue siendo insatisfactoria y, por lo tanto, persiste la necesidad urgente de proponer nuevas alternativas terapéuticas. En la actualidad, se están ensayando numerosos complejos de paladio (II) (2) y tiosemicarbazonas (3) con actividad promisoria contra líneas celulares de tumores, debido a su notable actividad citotóxica y menores efectos secundarios en comparación con otros compuestos anticancerígenos de metales pesados (4-6). Además de su potencial actividad antineoplásica, tienen mayor solubilidad y menos efectos secundarios que el cisplatino (7-9).
Las tiosemicarbazonas son una clase importante de ligandos con átomos donadores de electrones, como el azufre y el nitrógeno, que actúan como agentes quelantes de metales de transición (10) y exhiben actividad antineoplásica (5,11,12). De hecho, las tiosemicarbazonas y sus complejos metálicos son de gran interés por su amplio rango de efectos biológicos (13,14), ya que tanto los ligandos derivados de ellas como los complejos metálicos de transición tienen otras propiedades farmacológicas antivirales, antibacterianas, antifúngicas, antiparasitarias y antitumorales (3,10,15-18).
Con las tiosemicarbazonas se han sintetizado compuestos como el paladio, el cual presenta una actividad citotóxica similar a los fármacos basados en platino (cisplatino, carboplatino y oxaliplatino) (5), pero cuya asociación con las tiosemicarbazonas (19), potencia su actividad biológica. Debido a sus propiedades farmacológicas, la síntesis de complejos con metales de transición y ligandos como la tiosemicarbazona suscitan un gran interés (8). Se han propuesto varios mecanismos para explicar la acción antitumoral de estos complejos, entre los cuales está la inhibición de la biosíntesis del ADN mediante el bloqueo de la enzima ribonucleótido reductasa, esencial en la conversión de ribonucleótidos en desoxirribonucleótidos, y su acción como agente intercalado entre las bases de pirimidina y de guanina del ADN, lo cual induce cambios en la conformación de la doble hélice y conduce a la muerte celular (5,7,20,21), y al bloqueo de la división de las células cancerosas (13).
A pesar de que la actividad citotóxica in vitro de los complejos de paladio (II) y las tiosemicarbazonas es mayor que la de sus respectivos ligandos, las dosis requeridas para lograr el efecto inhibitorio deseado en las células tumorales es muy variable y depende de la línea tumoral utilizada, por lo que se reportan rangos en las concentraciones inhibitorias que van de 0,08 a 38 μM para los complejos de paladio (II) y de 23 a 250 μM para las tiosemicarbazonas (9,10,12,15,22). En el caso de las células de cáncer de mama, por ejemplo la línea celular humana de adenocarcinoma de mama MCF-7, los complejos de paladio (II) y las tiosemicarbazonas muestran mayor actividad citotóxica; sin embargo, con estas se requieren concentraciones relativamente superiores para alcanzar la dosis inhibitoria deseada. Además, la diferencia en los rangos de las concentraciones inhibitorias se considera una desventaja, probablemente asociada a las divergencias estructurales entre los complejos, a la sensibilidad de los blancos celulares (9) o a la solubilidad de los complejos de paladio y de las tiosemicarbazonas.
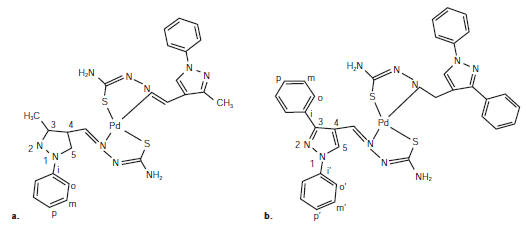
Tamayo, et al., propusieron recientemente una estrategia para mejorar su actividad biológica y su solubilidad, y disminuir su toxicidad. Estos investigadores lograron la inclusión parcial de los complejos en la beta-ciclodextrina, compuesto que mejora su solubilidad y le da estabilidad fisicoquímica (24). En este contexto, el objetivo del presente trabajo fue determinar el efecto citotóxico en la línea celular MCF-7 de los complejos Pd (MePhPzTSC)2 y Pd(Ph2PzTSC)2 (figura 1 a y b) parcialmente incluidos en la beta-ciclodextrina, para determinar si al mejorar las propiedades fisicoquímicas se incrementaba su actividad biológica contra dicha línea celular.

Se evaluaron los siguientes ligandos: 3-metil-1- fenil-1-pirazol-4-carboxaldehído tiosemicarbazona (MePhPzTSC) y 1,3-difenilpirazol-4-carboxaldehído tiosemicarbazona (Ph2PzTSC), así como los complejos de paladio Pd(MePhPzTSC)2 y Pd (Ph2PzTSC)2, y los compuestos de asociación o inclusión parcial en la beta-ciclodextrina [Pd(MePhPzTSC)2]
•ß-CD y [Pd(Ph2PzTSC)2]
•ß- CD. Estos compuestos se sintetizaron y caracterizaron en el Grupo de Investigación en Química de Coordinación y Bioinorgánica de la Universidad Nacional de Colombia (23,25).
La inclusión del complejo [Pd(MePhPzTSC)2]
•ß-CD se hizo en una relación molar de 1 a 1 con 15 mg de [Pd(MePhPzTSC)2] y 27,35 mg de beta-ciclodextrina en una disolución acuosa con agitación constante a temperatura ambiente durante 24 horas; en tanto que la inclusión del [Pd(Ph2PzTSC)2]•ß-CD se hizo en una relación molar de 1 a 1 con 15 mg de [Pd(Ph2PzTSC)2] y 22,8 mg de beta-ciclodextrina mezclados en un mortero de ágata hasta obtener un polvo homogéneo.
Con el propósito de comparar el efecto inhibitorio de la proliferación celular de estos compuestos con fármacos antineoplásicos comerciales, se utilizó el cisplatino (Cytoplatin(r)) bajo las mismas condiciones experimentales.
La línea celular humana de adenocarcinoma de mama (MCF-7) descongelada se repicó dos veces antes de exponerla a los compuestos y se cultivó en medio RPMI-1640 con 0,05 % de antibiótico con suplemento de suero fetal bovino al 10 % hasta obtener una confluencia del 80 %. Posteriormente, las células se disociaron con tripsina al 0,25 % y se sembraron en placas de cultivo de 96 pozos, a una densidad de 20.000 células por 100 μl por pozo. Se permitió la adhesión celular durante 24 horas y luego se añadieron los compuestos diluidos en dimetil sulfóxido (DMSO) en un rango de concentraciones de 0,1 a 10 μM. Este mismo procedimiento se aplicó simultáneamente para evaluar los compuestos en otras líneas celulares: la línea celular humana de adenocarcinoma de colon (HCT-15) y la línea celular humana de adenocarcinoma de próstata (PC-3). Los cambios en la morfología y la densidad celulares se observaron bajo el microscopio óptico invertido Nikon 37762.
Las células mononucleares de sangre periférica se purificaron mediante gradiente de densidad en medio Ficoll-Hypaque 1,077. Las células extraídas se lavaron tres veces con medio RPMI y su suspensión se repitió en el mismo medio para cuantificarlas y determinar su viabilidad mediante el método de exclusión del colorante azul de tripano. Las células se ajustaron con medio RPMI y suero fetal bovino al 10 % a 7 x 105 células/200 μl y se estimularon con 20 μg/ml de fitohemaglutinina (PHA) durante 48 horas. Posteriormente se añadieron los compuestos y 24 horas después se hizo la lectura.
Para la evaluación de la actividad citotóxica se siguió uno de los métodos propuestos por Skehan, et al. (26): al cabo de 24 horas de tratamiento con los compuestos, se evaluó la viabilidad celular mediante el ensayo de la sulforodamina B (SRB). Las células se fijaron con 100 μl de ácido tricloroacético al 10 % y se tiñeron durante 30 minutos con 50 μl de la solución de SRB al 0,4 % disuelta en ácido acético al 1 %; luego, las placas se lavaron cinco veces con ácido acético al 1 % y se extrajo el colorante celular utilizando 100 μl de solución tampón Tris Base a 10 mM (pH 10,5) durante cinco minutos en agitación suave. Por último, se examinó la densidad óptica de la solución solubilizada a 556 nm en un espectrofotómetro Tecan Spectra Classic. El efecto de los complejos sobre las células MCF-7 se expresó en términos de valores del porcentaje de inhibición, usando la siguiente formula: porcentaje de inhibición = [1 - (absorbancia media de células tratadas/absorbancia media del control)] x 100.
La concentración inhibitoria, es decir, la concentración de los complejos necesaria para inhibir el 50 % del crecimiento en las células MCF-7 (CI50), se midió mediante el cálculo de las curvas de inhibición de porcentaje y concentración. Se seleccionó el modelo no lineal hiperbólico para el ajuste de los datos. El análisis de regresión no lineal empleado permitió la obtención de los estimadores del modelo mediante mínimos cuadrados, usando como variable de respuesta la dosis inhibitoria y como variable de regresión la concentración de los complejos evaluados. Se utilizó este modelo por su gran utilidad en este tipo de ensayos y por tener el más bajo criterio de información de Akaike (AIC).
Uno de los parámetros más utilizados para medir el potencial antitumoral de los productos con efecto antineoplásico es la evaluación de la actividad citotóxica. Por ello, se ensayó la inhibición de la proliferación celular in vitro de la línea celular humana de cáncer de mama MCF-7 en presencia de los complejos de paladio. Los resultados iniciales indicaron que tanto los ligandos libres MePhPzTSC y Ph 2PzTSC, como los complejos de paladio (II) libres e incluidos [Pd(MePhPzTSC)2], [Pd(Ph2PzTSC)2], [Pd(MePhPzTSC)2] •ß-CD, [Pd(Ph2PzTSC)2] •ß-CD, presentaban acción citotóxica con valores de CI50 inferiores a 10 μM; se observó una disminución significativa en la proliferación celular en las diferentes concentraciones evaluadas. Además, la inhibición de la proliferación fue mayor con la unión del ligando al ion metálico y con la inclusión en la betaciclodextrina (cuadro 1).

En el caso de la inclusión parcial en la betaciclodextrina de los complejos [Pd(MePhPzTSC)2] •ß-CD y [Pd(Ph2PzTSC)2] •ß-CD, se logró una inhibición de 50 % del crecimiento celular en concentraciones de 0,14 y 0,49 μM, valores bajos en comparación con los valores de 1,4 y 2,9 μM de los ligandos MePhPzTSC, Ph 2PzTSC, y de 0,57 y 1,24 μM de los complejos de paladio (II) [Pd(MePhPzTSC)2] y [Pd(Ph2PzTSC)2]. Además, al comparar las concentraciones de los complejos incluidos parcialmente (0,14 y 0, 49 μM) con el cisplatino (6,87 μM), se evidenció que las concentraciones inhibitorias de los complejos incluidos fueron mucho más bajas que las del cisplatino. Estos resultados indican que los complejos de paladio incluidos parcialmente en la beta-ciclodextrina requirieron concentraciones hasta 10 veces menores que la del cisplatino para alcanzar la CI50 en la línea celular MCF-7 (cuadro 1). Este efecto probablemente esté asociado con la mayor solubilidad de los complejos, lo cual puede contribuir a incrementar su actividad sobre el blanco celular.
En la visualización con el microscopio de luz invertida, se evidenció que las células MCF-7 no tratadas con los complejos de paladio (II) parcialmente incluidos en la beta-ciclodextrina exhibían una morfología epitelial en monocapa. Sin embargo, al tratarlas con los complejos de paladio (II) parcialmente incluidos en beta-ciclodextrina, perdieron la morfología epitelial y el contacto con las células vecinas y adquirieron una morfología de células redondas, cambios que serían compatibles con el proceso de muerte celular (figura 2 a y b).

Con el fin de determinar si el efecto inhibitorio observado en las MCF-7 se producía en otras líneas celulares, se probaron los complejos de paladio con otras dos, la HTC-15 y la PC-3, y se evidenció que el complejo Pd(MePhPzTSC)2]•ß-CD en las MCF-7 requería una concentración inhibitoria menor que en las otras dos líneas celulares, mientras que el complejo [Pd(Ph2PzTSC)2] •ß-CD se comportaba de forma similar en las tres líneas evaluadas. Sin embargo, los compuestos incluidos parcialmente en la beta-ciclodextrina presentaron acción citotóxica en las líneas celulares exploradas con concentraciones inhibitorias inferiores a 10 μM (cuadro 2).

Para indagar sobre el posible efecto secundario de los complejos de paladio (II) en células normales no tumorales, se ensayaron también en células mononucleares de sangre periférica con los valores de CI50 determinados para cada uno. Como se evidencia en la figura 3, el complejo [Pd(MePhPzTSC)2]•ß-CD inhibió en un 5 % la proliferación celular inducida por 20 μg/ml del agente mitógeno fitohemaglutinina (PHA); estos datos indican que, aunque el complejo [Pd(MePhPzTSC)2]•ß-CD requirió una CI50 menor (0,14 μM), fue poco tóxico para las células normales y en ningún caso alcanzó a inhibir el 50 % de la población celular normal, porcentaje de inhibición que sí se evidenció en la línea tumoral MCF-7.

Desde los años 90, el National Cancer Institute de los Estados Unidos publica datos sobre la citotoxicidad en diversas líneas celulares con la finalidad de detectar in vitro medicamentos contra el cáncer. En este contexto, se han presentado como promisorios aquellos que recurren a compuestos de metales pesados (rodio, paladio, plata, iridio platino, oro, mercurio, estaño, plomo, antimonio y bismuto, entre otros) y de ligandos de las tiosemicarbazonas. Los resultados del perfil citotóxico indican que tienen especificidad frente a ciertas células tumorales, según sus propiedades (27).
Los resultados obtenidos en este trabajo sugieren que los ligandos libres MePhPzTSC y Ph2PzTSC, los complejos metálicos de paladio (II) libres Pd(MePhPzTSC)2 y Pd(Ph2PzTSC)2 y sus respectivos compuestos de inclusión parcial en la betaciclodextrina, presentan propiedades citotóxicas en la línea celular MCF-7 y en otras, como la HCT- 15 y la PC-3. Asimismo, la CI50 en las MCF-7 se logró con dosis menores que las de los compuestos de inclusión parcial de paladio (II) en la betaciclodextrina. Los complejos [Pd(MePhPzTSC)2]•ß- CD y [Pd(Ph2PzTSC)2]•ß-CD exhibieron un mayor efecto citotóxico contra la línea celular MCF-7 dependiente de la dosis, lo cual podría relacionarse con una mayor solubilidad y biodisponibilidad de los complejos cuando se forman los compuestos de inclusión. La inclusión parcial de los complejos de paladio (II) [Pd(MePhPzTSC)2] y [Pd(Ph2PzTSC)2] en beta-ciclodextrina facilita su transporte y aumenta su biodisponibilidad a través de la membrana y hacia el sitio de acción dentro de la célula por las interacciones entre moléculas del tipo de van der Waals o enlaces de hidrógeno.
Según el concepto de Overtone de permeabilidad celular, la membrana lipídica que rodea la célula favorece el paso de materiales solubles a lípidos, ya que esta característica es un factor importante de control de la actividad (28). La polaridad del ion de paladio (II) se reduce por la superposición de los orbitales del ligando y el intercambio parcial de carga positiva del ion metálico a los átomos donadores del ligando, lo que aumenta la deslocalización de electrones sobre el quelato, mejora el comportamiento lipófilo de los complejos y, en consecuencia, incrementa la penetración del complejo en la membrana de lípidos. De esta manera, los sitios de unión de metales en las enzimas de los organismos se bloquean, lo cual probablemente perturba el proceso de respiración de la célula e inhibe la síntesis de las proteínas, restringiendo el crecimiento celular (28,29). Además, el mecanismo de acción de los complejos de inclusión parcial puede implicar la formación de un enlace de hidrógeno mediante el grupo azometino (-C=N) del complejo con los centros activos de los componentes de las células, lo cual resulta en la interferencia de su proceso normal.
Uno de los efectos no deseados de muchos fármacos antineoplásicos es su efecto tóxico sobre los leucocitos de sangre periférica (30), por lo que su vigilancia durante la terapia oncológica es fundamental. Por ello, se decidió probar su efecto toxico sobre los linfocitos normales. Los resultados evidenciaron que ninguno de los compuestos analizados mostró actividad inhibitoria significativa sobre las células mononucleares de sangre periférica activadas, lo cual sugiere que tienen baja toxicidad en las células linfoides normales.
Los compuestos de inclusión parcial de paladio (II) disminuyen en 50 % la proliferación de las células MCF-7 con concentraciones menores de 3 μM (figura 2, cuadro 1), las cuales son inferiores a las reportadas en la literatura científica, pues la CI50 en la línea celular MCF-7 fluctúa entre 4,41 y 100 μM (9,31). La diferencia en la CI50 puede estar asociada con la mayor solubilidad y estabilidad fisicoquímica producto de la inclusión en la beta-ciclodextrina del complejo de paladio (II) (24,32). Otros autores han propuesto diferentes metodologías para mejorar la actividad de los complejos de paladio (II), por ejemplo, la modificación de la proporción del ligando de las tiosemicarbazonas, con una CI50 de 0,13 μM (10), comparable con las reportadas en este estudio en la línea celular MCF-7, y la del complejo [Pd(MePhPzTSC)2] parcialmente incluido en la beta-ciclodextrina, con una CI50 de 0,14 μM.
La adición de beta-ciclodextrina se ha ensayado en otros fármacos, como los antihelmínticos, y se ha evidenciado un incremento significativo de su eficacia con menores dosis (33), por lo que esta estrategia es una alternativa para el diseño de otros complejos de metales de transición que tengan potencial actividad antineoplásica. Las betaciclodextrinas son oligosacáridos cíclicos que forman complejos de inclusión en una variedad de moléculas hidrofóbicas (34), por lo cual se considera que confieren mayor solubilidad y estabilidad a las propiedades biológicas de las moléculas (30), efecto que se vería potenciado por las propiedades farmacológicas de los complejos de paladio (cuadro 1, cuadro 2) en la inhibición de la síntesis de ADN o por unión no covalente con el ADN, ocasionando así la muerte celular y logrando un mayor efecto con menores dosis, sin afectar de manera significativa las células linfoides normales.
Además, las células MCF-7 tratadas con los compuestos de paladio (II) de las tiosemicarbazonas mostraron una morfología similar a las células en apoptosis. Recientemente, se ha logrado discernir parte de los eventos moleculares asociados con la actividad citotóxica de estos complejos. Las células expuestas a ellos exhiben cambios asociados con la apoptosis, tales como la ruptura de la doble hélice de ADN, asociados con la activación de la caspasa 3/7, y la condensación y fragmentación de la cromatina nuclear, eventos que se observan incluso en ausencia del gen p53, el Bax o la caspasa 3 (35). Este hallazgo es prometedor, pues la mayoría de las células cancerígenas que son resistentes a la muerte celular se asocian con mutaciones en el p53, en la caspasa 3 o en miembros de la familia de las Bcl2 (36).
Por último, estos resultados sugieren que los complejos de paladio (II) modificados con la inclusión parcial en la beta-CD ([Pd(MePhPzTSC)2]•ß-CD y [Pd(Ph2PzTSC)2]•ß-CD), pueden considerarse como posibles agentes quimioterapéuticos debido a su potencial efecto citotóxico en las líneas celulares MCF-7, HCT-15 y PC-3, induciendo la muerte celular y, en consecuencia, el bloqueo de la división celular.
Se propone, entonces, estudiar la beta-ciclodextrina como una nueva alternativa de medicamento antineoplásico, optimizando su biodisponibilidad y reduciendo los efectos tóxicos no deseados en las células normales. Tales estudios deberán evaluar su acción citotóxica en otras líneas celulares, para establecer su sensibilidad frente a estos complejos y los eventos moleculares que determinan el efecto citotóxico de la inclusión parcial de los complejos de paladio (II) en la beta-ciclodextrina en las células neoplásicas.
A todos los miembros del Centro de Microscopía Electrónica "Dr. Ernesto Palacios Prü", Instituto de Inmunología Clínica, Facultad de Medicina, Universidad de Los Andes, Mérida, Venezuela, y al Centro Integral de Hematología y Oncología Médica C.A., por su apoyo y colaboración en el desarrollo de la investigación




