Abstract
Introduction: The deterioration of cognition is highly predominant in older adults.
Objective: The aim of this study was to analyze the effects of a walking program on the cognition and blood concentration of lipids in women over 60 years of age who were being treated with lovastatin.
Materials and methods: Participants were distributed in two groups: An exercise group (EG, n=45) with aerobic training and an inactive sedentary group (SG, n=22). The cognitive state of the subjects was assessed through the Spanish Mini-Cog Test version of the MMSE; lipoproteins were quantified using a lipid profile test, and the cardiorespiratory fitness was measured using the six-minute walking test (6MWT).
Results: EG showed a significant increase (p<0.05) in cardiorespiratory fitness and in HDL-C concentrations. Furthermore, the results from the cognition tests showed a large effect size in spatial orientation and in and calculation. The decrease in LDL-C was not significant (p>0.05).
Conclusion: A controlled and progressive walking program for older women treated with Lovastatin may induce a boost of brain activity linked to HDL-C, which could delay cognitive impairment.
Key words: Exercise, cognition, dyslipidemia, hydroxymethylglutaryl-CoA reductase inhibitors, mental health, aging.
Resumen
Introducción. : El deterioro cognitivo tiene una gran incidencia en el adulto mayor.
Objetivo. : El principal objetivo de este estudio fue analizar los efectos sobre la cognición y la concentración de lípidos de un programa de caminatas en mujeres mayores de 60 años tratadas con lovastatina.
Materiales y métodos.: Las participantes se distribuyeron en dos grupos: uno con ejercicio (EG, n=45) sometido a entrenamiento aeróbico y otro inactivo o sedentario (SG, n=22). El estado cognitivo se evaluó mediante la versión en español del Mini-Mental Test. Los niveles de lipoproteínas se midieron con una prueba de perfil lipídico y la aptitud cardiorrespiratoria se valoró con la prueba de caminata de 6 minutos (Six-Minute Walking Test, 6MWT).
Resultados. : El grupo con ejercicio mostró una mejora significativa (p<0,05) de la aptitud cardiorrespiratoria y de las concentraciones de colesterol HDL. Además, en la prueba de cognición se observó un efecto de gran tamaño en la orientación espacial, en la atención y en el cálculo. La reducción del colesterol LDL no fue significativa.
Conclusión. : Un programa de entrenamiento progresivo y supervisado para mujeres mayores tratadas con lovastatina, podría mejorar la actividad cerebral relacionada con el colesterol HDL, lo cual podría retrasar el deterioro cognitivo.
Palabras clave: ejercicio, cognición, dislipidemias, inhibidores de hidroximetilglutaril-CoA reductasa, salud mental, envejecimiento.
ARTÍCULO ORIGINAL
Effects of exercise on the cognition of older women treated with lovastatin
Efectos del ejercicio físico sobre la cognición en mujeres mayores tratadas con lovastatina
A sedentary lifestyle is a determining factor for the appearance of dyslipidemia, which is associated with the development of atherosclerotic diseases 1,2. Recent studies have reported on the effects of supervised exercise on the improvement of blood pressure 3,4, the decrease in LDL-C 5,6, and the increase in HDL-C 7,8. The efficiency of cardiorespiratory fitness training has also been demonstrated, as it drives beneficial changes in the levels of serum lipoproteins in women and obese men 9.
Several studies have reported the beneficial effects of regular and systematic exercise to maintain normal lipid levels, to increase HDL-C concentrations, 10 and to prevent atheroma plaque formation reducing LDL-C 11. In this sense, it has been previously shown that the length and type the training program seem to be essential elements of the effect on plasma lipoproteins 12-14. However, despite all the physiological and enzymatic changes caused by training, the mechanisms by which exercise reduces atherogenic risk are still unknown 15. Apparently, its beneficial effects on the reduction of high plasma cholesterol 16,17 depend upon the characteristics of exercise training 18, which demands more research on the effects of the type and intensity of exercise for the reduction of blood lipids (Wells JR. Medium-intensity rhythmic exercise and high-intensity resistance exercise reduces fasting plasma cholesterol/HDL ratio. 37th Congress of IUPS (Birmingham, UK) (2013), Proc.37th IUPS, PCC236).
Statin treatments have also been shown to have a beneficial effect on the reduction of total cholesterol and LDL-C and on the prevention of arterial diseases and ischemic cerebrovascular accidents 19, thus becoming a cornerstone for the treatment of dyslipidemia 20,21. While some researchers have found mild adverse effects on cognition 22, others studies have reported a beneficial effect of statins on cognitive function 23-25, and others could not prove its beneficial effect on cognitive function in elders 26,27. Therefore, firm conclusions regarding whether statin use affects cognition function and dementia remain elusive.
Concern exists that statins may be a causative factor for cognitive problems; however, this adverse effect appears to be rare and likely represents a yet-to-be-defined vulnerability in susceptible individuals 28.
In this regard, it seems clear that there is a relationship between cognitive disturbance and increased concentrations of serum low-density lipoproteins 29-31; also, low levels of HDL-C seem to be linked to poor cognitive function 32,33.
It has been shown that exercise could reduce the risk of cognitive decline in older people 34,35, and although a systematic review concluded that there is no solid evidence that exercise improves cognition in older adults, some studies have also reported the need for further research with exercise to confirm its effect on cognition 36,37. Accordingly, a preventive effect on cognitive decline has been attributed to exercise 38, since it improves frontal lobe activity 39 and brain plasticity 40 favoring cognitive performance and executive function in adults 41. Moreover, it has been shown that exercise activates numerous molecular and cellular signals involved in multiple processes of the central nervous system 42 with large benefits for mental health and against depressive states 43, which also calls for further research to confirm its effects on cognition 37.
Likewise, low concentrations of HDL-C combined with inflammatory states are considered as predicting factors of a poor general cognitive performance and a decrease in information processing speed 44. On the other hand, an increase of HDL-C concentrations has been observed as a response to an exercise program of aerobic resistance 45 along with an adequate diet 46, where low concentrations of HDL-C were associated with memory decline, which is the first stage of mild cognitive decline 47, coronary diseases, and long-term depressive symptoms 48.
A recent study reported that the combination of statins and exercise appears to be associated with significant improvement in the cognition of patients with coronary artery disease and mild pre-existing cognitive dysfunction 49.
The associations between plasma lipids and cognition and the underlying mechanism, as well as the relationship between statins and cognitive function, are complex and currently not fully understood.
Therefore, more research will provide insights into the causes and interdependencies of cognitive impairment and dementia 28.
The purpose of this study was to analyze the effects of progressive walk-based cardiorespiratory exercise on cognitive function and the serum levels of HDL-C and LDL-C, in older women on antilipemic treatment with lovastatin.
We conducted a quasi-experimental, non-probabilistic prospective study in a two-group pre-testpost- test design. The sample (n=67) was composed of older adult women who were patients of the health center “La Estrella” at the commune of Pudahuel (Chile). These women were diagnosed with dyslipidemia and were following a lovastatin treatment (20 mg/day). The sample size was calculated with a 5 % alpha and a 95% confidence level. The women were randomly assigned to the exercise group (EG, n=45) with (X±SD) 67.8 ± 5.0 years of age and the sedentary group (SG, n=22) with (X±SD) 71.9 ± 5.4 years of age. The women in both groups showed a level of education that allowed them to read and write without help.
The biochemical profile to determine LDL-C and HDL-C concentrations was performed from 10 ml blood samples extracted from each subject after 12 hours fasting. Cognitive decline was assessed through the Mini-Cog Test Spanish version 50 based on the Mini-Mental State Examination (MMSE) 51, with a total score of three points. The cut-off for cognitive decline is 24/25 for the sum of the domains of temporal and spatial orientation, fixation-immediate recall, attention-calculation, delayed recall, and language 52.
The six-minute walking test (6MWT) was used to assess cardiorespiratory performance (VO2 max). It showed good validity and reliability at estimating maximum aerobic capacity in subjects with different pathologies 53-56 and accuracy at predicting maximum cardiorespiratory function in the healthy population 57 and assessing healthrelated physical fitness 58. It was applied before and after the intervention in homogenous groups of five people at a 400 m flat track.
The following inclusion criteria were considered: (i) Women between 60 and 80 years of age participating in the cardiovascular program of the health center “La Estrella” with their clinical tests updated; (ii) medical clearance compatible with the requirements of the cardiovascular training; (iii) patients diagnosed with dyslipidemia and treated with lovastatin (20 mg/day); (iv) pharmacological treatment length between 13 and 15 months; (v) MMSE score ≤24 points, i.e., “mild cognitive decline”; (vi) patients with reading and writing skills, and (vii) signed informed consent approved by the board of the health center and the Universidad Metropolitana de Ciencias de la Educación in Santiago de Chile.
The exclusion criteria considered were: (i) Depressive patients with medication; (ii) patients with pathologic conditions incompatible with exercise; (iii) patients without the basic educational level, and (iv) patients with severe pathologies during the study.
The cardiorespiratory training consisted of a progressive walk on a horizontal plane, throughout a period of 16 consecutive weeks distributed in three sessions per week one hour per session, with two active rest periods of 5 minutes.
The progressive walk training program included these phases: A 10-minute warm-up for joint mobility and general and specific flexibility. The following chart shows the main characteristics of the program:

The statistical processing of data was performed using the IBM SPSS 20™ software. The normality was tested with the Shapiro-Wilk test and the homoscedasticity with the Levene test. The two groups were compared using the Student´s t-test if they met the conditions of normality and equal variances, and the Mann-Whitney´s U-test was used otherwise. The Student´s t-test or the Wilcoxon test were used to compare paired data according to their normality. The effect size was calculated according to the Cohen´s equation 59. Regression and correlation among the variables of interest were calculated based on the regression curve and the correlation coefficient, respectively.
The project was approved by the Ethical Committee of the Universidad Pablo de Olavide in Seville and all the procedures met the indications of the Declaration of Helsinki approved by the World Medical Association 60.
Table 1 shows the mean values and standard deviations obtained before and after the intervention, as well as the differences between the pre-tests and post-tests in both groups. It also shows the statistical significance values of the intragroup comparisons (paired data) for the means between pre- and post-tests and the effect size of such intervention. SG showed a slight nonsignificant decrease (p=0.518) in the distance walked at the end of the experiment with the 6MWT; however, EG showed a remarkable and statistically significant increase (p<0.05) at the end of the intervention. It also presents the changes produced in cognition in both groups, showing a significant increase (p<0.05) and a large effect size in the MMSE scores in EG, whereas SG did not show significant changes (p=0.564) between pretest and post-test. With respect to HDL-C levels, there was a statistically significant decrease in SG (p<0.05), while EG showed significant increases in HDL-C plasma concentration (p<0.05). Finally, this table also shows the results obtained from LDL-C levels, with non-significant decreases and a small effect size in both groups.

Table 2 shows the intragroup differences of the cognitive dimensions assessed by the MMSE, with a large effect size (p<0.05) in spatial orientation, attention, and calculation and a moderate effect in temporal orientation, fixation, recall, and language in EG. In contrast, SG showed no significant differences in the measurements analyzed.

Figure 1 shows the percentages of change between pre-test and post-test comparing such changes between groups. Except for LDL-C concentrations, there were statistically significant differences (p<0.001) in the rest of the variables between SG and EG.

Figure 2 shows the association of the results obtained after the intervention between the variables “fitness expressed in distance walked in 6 minutes” and the MMSE scores in EG and SG.SG showed a negative correlation (r=-0.08; R2=0.007) with a wide scatter of the data with respect to the regression line. However, EG at the end of the study showed a positive although weak correlation (r=0.22; R2=0.049). In both cases, the results were not significant.

Figure 3 shows the results obtained in the linear regression analysis between the final results of the 6MWT and the HDL-C (mg/dl).

The association between these two variables at the end of the study in SG showed statistical significance (r=0.61; R2=0.37). However, the results of EG showed a weak (r=0.09; R2=0.009), non-significant correlation.
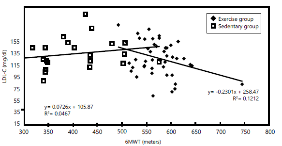
Figure 4 shows that the scatter between cardiorespiratory performance (6MWT) and LDL-C concentrations after the intervention presented a positive, weak correlation (r=0.21; R2=0.046) in SG that was not significant (p>0.05); in turn, EG showed a negative correlation coefficient (r=-0.34; R2=0.12) that was statistically significant (p<0.05).

The aim of this study was to analyze the effects of systematized exercise on cognitive decline and plasma lipoproteins concentrations. At the beginning of the study, the presence of mild cognitive impairment was verified in the two groups studied; however, at the end of the intervention, EG showed a normal cognitive state with a significant increase (p<0.05) in the comparison between the MMSE pre- and post-tests. SG did not show significant changes in cognition (table 1). Thus, the differences between groups in the percentages of change were statistically significant for this variable (p<0.001) (figure 1). Therefore, the group that combined a training program with a lovastatin treatment (EG) obtained a beneficial effect on mild cognitive decline with a large effect size in the increase of MMSE scores. These results are consistent with the study by Sparks, et al. 61, who reported that MMSE performance decreased significantly with time in those subjects that did not take any lipid reducing drug. They also observed a significant correlation between MMSE and HDL in subjects treated with statins, although the existing evidence to prove the role of physical activity in the improvement of cognition in older adults is limited 36.
The absence of changes in MMSE in SG could be associated with mild cognitive decline, considered as a precursor of cognitive decline, which in turn compromises one or more higher mental functions 62,63. In this sense, it has been reported that some statins have differentiated effects on brain function: they can deteriorate cognition or either have a neutral or beneficial effect. However, some findings reported in the literature contrast with the effects related to statins. A slight decrease in cognitive decline has been observed in older people 64 while another study reports on the differentiated effects on brain function 65, which suggest that further research is required to confirm or refute the possible effects of statins on cognitive function.
Delving into this argument, in this study no significant differences were found (p>0.05) for SG, neither in the MMSE scores nor in any of its measurements, whereas EG showed statistically significant differences (p<0.05) in six dimensions of the MMSE (table 2), with a large effect size in spatial orientation and attention and in calculation, and a moderate effect size for temporal orientation, fixation, recall, and language. Thereby, the lovastatin treatment combined with an improved level of cardiorespiratory fitness seems to induce a protective effect on cognition in older women, which is in line with other studies reporting that physical activities like walking may help improve cognitive function in patients with vascular cognitive impairment of subcortical origin 66, or with studies which state that greater cardiorespiratory fitness is strongly related to global cognitive function, attention/executive function, information processing speed, problem solving, and inhibition 67,68. It has also been demonstrated that exercise with moderate intensity improves cognitive function by influencing certain regions of the brain, like the prefrontal area and the hippocampus, increasing memory and executive function mainly through aerobic or cardiorespiratory exercise 69. In combination with the treatment with statins, exercise could have beneficial effects on blood lipid levels and, thus, on brain functions 70, although in this study no significant relationship was found between the total distance walked and the general MMSE score (figure 2). Even though physical activity has been associated with neurological improvements, other mechanisms could also be involved, like neurogenesis, synaptogenesis or changes in the levels of inflammatory markers 68, variables that were not monitored in this study.
Table 1 shows a significant decrease in HDL-C blood levels (p<0.05) in SG. This suggests that the treatment with lovastatin on its own did not increase HDL-C concentration, which is consistent with other studies reporting that statins do not alter the relationship between HDL-C and the level of cardiovascular risk 71. On the other hand, EG showed the opposite inclination, with a significant increase (p<0.05) in the levels of HDL-C and a medium effect size (table 1), which is in line with other studies reporting that statins could reduce the risk of cerebrovascular accidents (72), although in this case, the differential element was the exercise program carried out by the group.
Likewise, a positive relationship was found between cardiorespiratory fitness (6MWT) and HDL-C concentrations in both groups (figure 3). However, this correlation was statistically significant only in SG (p<0.05), i.e., those subjects with better cardiorespiratory fitness showed greater levels of HDL-C. Although it has been reported that cardiorespiratory exercise increases HDL-C concentrations 73, in the present study there was a weak, non-significant correlation (p>0.05) between physical performance and HDL-C concentrations in the group that carried out the exercise program (figure 3). Similar results have been found in a study reporting that a form of statin (simvastatin) attenuates the increase of cardiorespiratory fitness and the mitochondrial content in muscles when it is combined with exercise in patients under the risk of metabolic syndrome 74. Although the data of the correlations appear to be in contradiction, when the percentages of change between groups (figure 1) for the concentrations of HDL-C were compared, a significant difference (p<0.001) was observed between SG and EG, with a decrease of 9.3% and an increase of 10.8%, respectively.
With respect to the results obtained for LDL-C concentrations, table 1 shows a non-significant decrease (p>0.05) in SG with a small effect size. These results are in contrast with studies in which the use of statins produced significant reductions of LDL-C without severe side effects 75. Likewise, the differences in EG were not significant (p=0.509), even though it has been reported in patients with coronary disease that statin treatment combined with exercise resulted in the significant improvement of the arterial wall stiffness 76. After comparing the changes between groups, no significant differences were found in this variable (figure 1). In this sense, EG showed a statistically significant negative correlation (p<0.05) between cardiorespiratory fitness and LDL-C, whereas the correlation between the same variables was positive for SG, although not significant (p>0.05) (figure 4). These opposite trends between groups could be explained by the effect attributed to the lovastatin treatment on LDL-C, which may be due to the low dosage. In seventy-five studies related to coronary disease and the reducing effect of statins on cholesterol and its differentiated effects, it has been reported that a daily dose of 40-80 mg of lovastatin could decrease LDL-C by 30-40%, and 10-20 mg of lovastatin could decrease LDL-C by 20-30% 77, or it could be due to the effect attributed to the exercise program in EG 78.
Finally, regarding cardiorespiratory fitness, a nonsignificant decrease (p=0.518) was observed for SG in the distance walked (6MWT) after the intervention, whereas the distance walked by EG increased significantly (p<0.05), with a moderate effect size (table 1). On the other hand, the differences in the percentages of change in 6MWT between groups (figure 1) were significant (p<0.05). This could be related to a reduction in the risk of dementia due to the direct relationship between brain functionality and integrity 79.
The results obtained in the present study support the beneficial effects of a monitored walk exercise of moderate intensity performed regularly and systematically and combined with the intake of 20 mg of lovastatin on a better prognosis of cognitive performance associated with the increase in the concentrations of high-density lipoproteins in the sample studied.
Furthermore, these findings reveal that sedentary older women, even with the intake of lovastatin, are more vulnerable to atherogenic damage due to the low concentrations of HDL-C and to the exiguous decreases of LDL-C. Likewise, a positive correlation has been observed between the improvements in cardiorespiratory fitness and the levels of HDL-C in the population studied.
Regarding limitations, only participants from a single health center were selected, which lowers the generalizability of these findings. This correlation was more evident in the sedentary group than in the active group, which shows that it is necessary to modify the present research design to elucidate the selective effects of lovastatin and aerobic exercise in older dyslipidemic adults. In addition, an important number of participants from the sedentary group dropped out, probably because in this group the monitoring of the exercise program was not carried out.
*Corresponding author: José Antonio González-Jurado, Facultad de Ciencias del Deporte, Universidad Pablo de Olavide, Carretera de Utrera km 1, CP: 41013, Sevilla, España Telephone: (+34) 651 517 571 jagonjur@upo.es






