Resumen: En este trabajo se presenta el análisis cinemático y cinético de un manipulador paralelo tipo Delta de tres grados de libertad. La validación cinemática y cinética fue desarrollada con un prototipo virtual, utilizando las herramientas Solidworks y Labview mediante cosimulación, considerando los datos experimentales tomados del prototipo físico. Utilizando la misma trayectoria, al comparar los resultados de la cinemática adquiridos en el prototipo físico con los datos obtenidos del prototipo virtual y del modelo teórico, se puede concluir que la posición de la plataforma móvil presenta valores similares respecto al sistema coordenado global. Por otro lado, los pares motores para los actuadores requeridos por modelo teórico y el prototipo virtual presenta un comportamiento conservativo, ya que el par motor del prototipo físico presenta requerimientos inferiores bajo las mismas condiciones. El trabajo en conjunto de las herramientas computacionales permite estudiar de forma coherente los sistemas mecánicos‚ logrando una comparación directa del modelo teórico, el prototipo físico y el prototipo virtual.
Palabras clave:CinemáticaCinemática, Cinética Prototipado virtual Cinética Prototipado virtual, NI LabVIEW NI LabVIEW, NI Softmotion NI Softmotion, Manipulador paralelo Manipulador paralelo, SolidWorks SolidWorks.
Abstract: This work presents the kinetics and kinematics analysis for delta-3 parallel manipulator. Kinematics and Kinetics validation was performed with a virtual prototype cosimulation using Solidworks and Labview and considering experimental data from physical prototype testing. In respect to the same testing path, comparisons of kinematics results from physical prototype against data of both virtual prototype and theoretical model, corroborate that positions of mobile platform have similar values in respect to the global coordinate system. On the other hand, actuator torques of theoretical model and virtual prototype reported conservative behaviors, whereas the torque of the physical prototype presents lower requirements under the same conditions. Work in unison of these computational tools allows a coherent study of mechanical systems and a direct comparison of the theoretical model, physical prototype and virtual prototype.
Keywords: kinematics, kinetics, NI LabVIEW, NI Softmotion, SolidWorks, Parallel manipulator, Virtual prototype.
Mecánica
Prototipado virtual y cosimulación aplicado a un manipulador paralelo tipo Delta de tres grados de libertad para estudios de comportamiento cinemático y cinético
Virtual prototype and cosimulation applied to a 3 DOF Delta Parallel Manipulator for Kinematics & Kinetics Behavior Studies
Recepción: 01 Septiembre 2017
Aprobación: 14 Junio 2018
El sector industrial se enfrenta cada vez más a la necesidad de integrar sistemas que incorporen el diseño mecánico, eléctrico y electrónico con la ayuda de las diferentes herramientas computacionales disponibles en el mercado, para lograr productos finales de mayor calidad. Sin embargo, para concebir estos sistemas es necesario crear prototipos para estudiar sus características de movimiento, evaluar dificultades constructivas o funcionales, que brinden información importante para evaluar alternativas de mejora o modificar aspectos de diseño de ser necesario.
El diseño integral del sistema mediante cosimulación, permite prevenir problemas potenciales en el producto final gracias a las múltiples variantes de diseño que se pueden analizar en un prototipo virtual. En el caso específico de los manipuladores robóticos se ha podido demostrar la importancia de integrar el diseño mecánico y el diseño electrónico desde las primeras etapas de desarrollo con el fin de encontrar los sistemas con el mejor desempeño [1,2]. Sin embargo, pocas publicaciones presentan un proceso de validación que compare el comportamiento de los prototipos reales y virtuales, los cuales se encuentren bajo situaciones de carga según propósito.
En este trabajo se presenta un estudio del comportamiento cinemático y cinético de un manipulador paralelo Delta, donde se busca validar los resultados obtenidos en un prototipo virtual frente al comportamiento del prototipo físico‚ utilizando en conjunto las herramientas Dassault Systemes Solidworks y NI Labview.
Para el diseño de detalle‚ selección y puesta a punto del prototipo virtual del manipulador Delta‚ se emplea la herramienta Dassault Systemes Solidworks‚ la cual por medio de la interfaz entre el solver Adams y el módulo Softmotion se obtiene el modelo de la planta del manipulador. Posteriormente‚ se utilizan las herramientas de propias de Labview para controlar el prototipo virtual o el modelo físico mediante el panel de control, lo cual permite monitorear la posición que experimenta la plataforma móvil y los pares motores demandados por el manipulador para una trayectoria dada. Por último, se utilizan los resultados de posición de la plataforma móvil y de los pares motores, obtenidos del proceso de cosimulación del prototipo virtual para compáralos con los obtenidos del prototipo real.
En la actualidad el manipulador DELTA es uno de los tipos de robots manipuladores paralelos más utilizaos en la industria [15] en aplicaciones de “pick and place”, los cuales se encuentran dentro de los más construidos a nivel comercial [10]. El manipulador paralelo DELTA 720 consta de una plataforma fija etiquetada como 0 y una plataforma móvil, etiquetada como 4, las cuales se encuentran conectadas entre sí por medio de tres cadenas cinemáticas idénticas, cada una compuesta por un brazo y un antebrazo, donde los brazos son los eslabones de entrada nombrados como 1A, 1B y 1C, quienes cuentan con una junta de revolución en uno de sus extremos y dos uniones esféricas en el otro extremo; los antebrazos están formados por las parejas de eslabones 2A y 3A, 2B y 3B, 2C y 3C, construidas en forma de paralelogramo articulado utilizando juntas esféricas. Para realizar el estudio morfológico, se considera que la totalidad de los eslabones son elementos rígidos.
Cada cadena cinemática se acciona por medio de actuadores rotativos acoplados a la plataforma fija del manipulador, los cuales se encargan de generar el movimiento angular en los brazos a través de los pares cinemáticos de revolución QA, QB y QC. Los brazos se articulan con los antebrazos por medio de las juntas esféricas A1 y B1. Conectado a cada par esférico se encuentran las parejas de eslabones que forman el cuadrilátero articulado, que finalmente en sus otros extremos se unen a la plataforma móvil por medio de las juntas esféricas C1 y D1. En la figura 1 se muestra la representación esquemática del manipulador, la enumeración de los eslabones y la identificación de los pares cinemáticos.
El manipulador DELTA (ver figura 1) consta de tres cadenas cinemáticas iguales, cada una de ellas formada por un brazo y un antebrazo. Los brazos del manipulador (1, 2, 3) presentan en uno de sus extremos una junta de revolución, donde se acopla a los actuadores que se encargan del movimiento del
manipulador. En los antebrazos del manipulador (4 y 5, 6 y 7, 8 y 9) poseen en sus extremos juntas esféricas; debido a la configuración en forma de paralelogramo se pierden dos de los tres grados de libertad que poseen este tipo de juntas, convirtiéndolo en un mecanismo 3RSS, [4,5,11].

El manipulador delta 720 recibe su nombre debido a que la longitud total extendida de un brazo y antebrazo mide 720 mm, y se clasifica dentro de los manipuladores paralelos de pequeña dimensión (Brazo + Antebrazo < 800 mm), [3]. En la figura 2. se muestra la configuración estructural y distribución de las cadenas cinemáticas en el prototipo físico o real

os tres actuadores rotativos se unen a la plataforma fija en los puntos A1, A2 y A3 (figura 3), para la ubicación de dichos puntos se toma como referencia el sistema coordenado OXYZ y las posiciones angulares φ1, φ2 y φ3, medidas a partir del eje x, donde φ1 = 30°, φ2 = 150°, φ3 = -90°, presentan una separación de 120° entre los actuadores, cada uno de ellos se encuentran a una distancia R = 200 mm.

Las tres cadenas cinemáticas son geométricamente idénticas, donde los brazos 1A, 1B y 1C, cuentan con una longitud a = 250 mm, mientras que los elementos que conforman el antebrazo 2A y 3A, 2B y 3B, 2C y 3C, poseen una longitud b = 470 mm; la plataforma móvil del manipulador está definida con seis vértices de conexión de las juntas esféricas y tres puntos característicos con morfología triangular equilátera.
Tomando como referencia el punto central P de la plataforma móvil y las posiciones de los puntos H1, H2, H3, se tiene definida una distancia r = 30 mm entre P y Hi. Lo anterior puede observarse en las figuras 4 y 5.


El prototipado virtual es el diseño y generación de un producto con suficientes características claves que permiten su evaluación frente a los requerimientos propios de su aplicación. La denominación “virtual” indica que el producto aun no es desarrollado físicamente; sin embargo, existe una representación visual que permite realizar observaciones sobre aspectos constructivos, análisis de movimientos relativos y absolutos. Se busca que el prototipo virtual posea el mismo comportamiento que el modelo físico; no obstante, éste se encuentra en un ambiente virtual generado por computador, [6].
Utilizando el programa SolidWorks se crearon las piezas y elementos necesarios para la construcción del manipulador, donde una vez creadas, se procede a ensamblarlas teniendo presente las condiciones y restricciones presentes en los pares cinemáticos.
En la figura 6 y 7 se puede observar el manipulador construido en su totalidad con la herramienta computacional SolidWorks, donde se consideraron con todas las restricciones de movimiento para que tenga un comportamiento consistente con el prototipo real durante las etapas de simulación. El prototipo virtual se ilustra en la figura 7, mientras que en la figura 6 se muestra el detalle constructivo de una de las cadenas cinemática que conforman el manipulador paralelo.

detalle cadena cinemática
Autor

Prototipo virtual
AutorCon el prototipo virtual construido, se utiliza el módulo “SolidWorks Motion” que está diseñado para realizar diferentes estudios de movimiento cinemático y cinético al prototipo virtual, donde su propósito principal es obtener un sistema o planta, con entradas y salidas definidas, que permita analizarlo bajo diferentes condiciones de funcionamiento acordes con los sucesos que se puedan presentar en el prototipo virtual. Cuando se definen todas las características que tendrá el movimiento, tales como trayectorias de movimiento para la plataforma móvil, funciones de entrada a las coordenadas generalizadas y condiciones de carga presentes en el manipulador, se procede con la configuración de la interface Solidworks-Labview.
Por otro lado, Labview trabaja con una metodología basada en proyectos, los cuales permiten añadir características propias para cada simulación. En este caso el módulo Softmotion permite la creación de bloques de función donde pueden ser desarrollados los perfiles de movimiento deseados para las coordenadas generalizadas del manipulador. Cada uno de estos bloques de movimiento se encuentran asignados a los denominados “Softmotion axis” que corresponden a los elementos de entrada del manipulador.
En la figura 8, se presenta el mando de operación del manipulador el cual es generado por medio de un instrumento virtual (VI). El panel de control cuenta con dos paneles auxiliares; a) Panel de ejecución de trayectorias (Figura 8.a) y b) Panel de monitoreo de los pares motores (Figura 8.b). Por otro lado, el instrumento virtual consta de dos instancias: a) panel de control y b) diagrama de bloques (ver figura 9); en el diagrama de bloques se encuentra el código de programación mediante el uso de funciones de entrada y salida.


Es necesario incluir el cálculo de la cinemática inversa dentro de la programación del diagrama de bloques del manipulador con el fin poder determinar las diferentes posiciones angulares de las coordenadas generalizadas para una trayectoria definida.
En primer lugar, se elige el sistema de coordenadas (x, y, z), localizado en la plataforma fija, donde desde la parte inferior se pueden definir los ángulos los cuales son parámetros constantes propios de la geometría del manipulador DELTA 720, en el que los actuadores se encuentran ubicados a 120° uno con respecto al otro (figura 10). De acuerdo con los ejes de referencia seleccionados, los ángulos son:

Para el estudio de las demás características geométricas del manipulador, se define un sistema coordenado adicional en la junta de revolución del brazo de una de las cadenas cinemáticas del manipulador. El eje se encuentra girado un ángulo con respecto al eje x del sistema de coordenadas global. El eje se sitúa en la dirección del eje de rotación de la articulación en (figura 11), y el eje está en la dirección perpendicular a la articulación, como se muestra en la figura 12. Se definen tres nuevos ángulos que actúan para determinar la posición del manipulador, se denominan .

El ángulo se mide desde el eje hasta la linea formada por el segmento . El ángulo está definido desde la extensión de la línea del segmento hasta la línea definida por la intersección del plano del paralelogramo y el plano . El ángulo se mide desde una línea paralela al eje , que pasa por la articulación , hasta la dirección formada por el segmento . Estos ángulos están definidos para las tres cadenas cinemáticas que constituyen el manipulador delta; en la tabla 1 se listan sus valores.

Debido a que el manipulador Delta posee tres grados de libertad, la posición de la plataforma móvil debe ser determinada por las posiciones angulares .

Otras características geométricas propias del manipulador delta, que se pueden apreciar en la figura 12,
· R: Distancia entre el centro de la plataforma fija hasta la articulación de rotación del brazo. En este punto se acoplan los brazos del manipulador a su respectivo motor.
· r: Distancia entre el centro de la plataforma móvil, y el punto de unión de las articulaciones esféricas inferiores con la plataforma móvil.
· a: Longitud del brazo del manipulador. Esta distancia se toma desde el eje de la junta rotacional hasta el eje del punto de unión de las articulaciones esféricas superiores.
· b: Longitud del antebrazo del manipulador. Esta distancia se mide desde los centros de rotación de las juntas esféricas superior e inferior
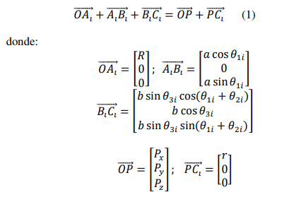
El contorno vectorial para cada cadena cinemática está definido por la siguiente expresión:
(1)Con las ecuaciones vectoriales de lazo cerrado, se determina la cinemática inversa que definir la posición de la plataforma móvil respecto a las coordenadas generalizadas del manipulador. A continuación, se muestran las ecuaciones que permiten determinar los ángulos de rotación de entrada para los brazos del manipulador, y así obtener una posición determinada del punto de la plataforma móvil, especificando las ecuaciones para cada cadena cinemática [9,14]:
Cadena cinemática 1:
(2)Cadena cinemática 2:
(3)Cadena cinemática 3:
(4)El análisis dinámico de los manipuladores paralelos es complicado debido a la existencia de múltiples cadenas cinemáticas de lazo cerrado. De las posibles formulaciones que se puede implementar para obtener el modelo dinámico del manipulador [16, 17], se utilizan ecuaciones de Lagrange de primer tipo, con coordenadas generalizadas adicionales y multiplicadores de Lagrange, lo que facilita los procesos de cálculo. Adicionalmente se realizan aproximaciones en el modelo matemático desplazando la masa de algunos de los elementos a sus articulaciones, lo que no genera errores significativos en los cálculos [7,8].
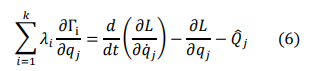
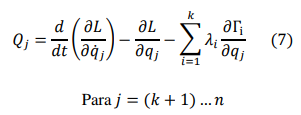
Para el análisis de los manipuladores paralelos espaciales se debe utilizar ecuaciones de Lagrange de primer tipo, las cuales se escriben en términos de un grupo de coordenadas redundantes. Por lo tanto, la formulación requiere un grupo de ecuaciones de restricción derivadas de la cinemática del manipulador. Estas ecuaciones de restricción y sus derivadas se adicionan a las ecuaciones de movimiento para producir un número de ecuaciones que es igual al número de incógnitas. Las ecuaciones de Lagrange de primer tipo se pueden escribir (ecuación 5):
(5)Donde denota la i-esima función de restricción, k es el número de funciones de restricción, y son los multiplicadores de Lagrange. El número de coordenadas n excede el número de grados de libertad por un numero k, las soluciones a las ecuaciones de movimiento se hace más fácil ordenando las ecuaciones de Lagrange en dos grupos. Uno contiene los multiplicadores de Lagrange como únicas incógnitas, y las otras contienen las fuerzas o momentos, que se necesitan por parte de los actuadores como incógnitas adicionales. Las primeras k ecuaciones se asocian con las coordenadas redundantes y las restantes n-k ecuaciones se asocian con las juntas de accionamiento del manipulador. El primer grupo de ecuaciones se puede escribir de la forma:
(6)Donde representa las fuerzas o momentos externos aplicados a la plataforma móvil del manipulador. Para la dinámica inversa es conocida, por lo tanto, todos los términos a la derecha de la ecuación (6) se conocen. Escribiendo la ecuación (6) para cada una de las coordenadas redundantes se obtiene un grupo de k ecuaciones lineales, que pueden resolverse para los k multiplicadores de Lagrange. Una vez que los multiplicadores de Lagrange son encontrados, los pares torsores o las fuerzas de los actuadores, pueden ser determinados directamente desde las ecuaciones restantes. Específicamente, el segundo grupo de ecuaciones puede escribirse (ecuación 7) [7,13]:
(7)Donde es la fuerza ó par asociado a las coordenadas generalizadas del manipulador. Para solucionar las ecuaciones 6 – 7, es necesario desarrollar la función de Lagrange, L (ecuación 8). La función L se construye con la diferencia entre la energía cinética del sistema, T, y su energía potencial, V:
(8)Adicionalmente, esta formulación requiere tres ecuaciones de restricción para . Las ecuaciones de restricción se obtienen a partir del hecho que las distancias entre las juntas B y C es siempre igual a la longitud del antebrazo del manipulador, esto es:
(9)El primer grupo de ecuaciones dinámicas permite determinar los multiplicadores de Lagrange, según lo establecido en la ecuación (6), de esta manera las expresiones obtenidas son:
(10)
(11)
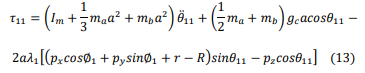
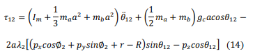
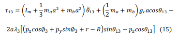
(12)Donde , y son las componentes x, y, y z de una fuerza externa aplicada en el punto P de la plataforma móvil. Una vez que se encuentran los multiplicadores de Lagrange, los momentos requeridos en los actuadores del manipulador pueden ser obtenidos por medio del grupo adicional de ecuaciones dinámicas establecidas en la expresión (7), estas son:
(13)
(14)
(15)Para validar el prototipo y la cinemática inversa empleada, se procede a realizar dos clases de pruebas; la primera consiste en ingresar tres puntos de coordenadas y determinar los ángulos de los brazos; la segunda es hacer que el manipulador siga una trayectoria en espiral.
Prueba numero 1: determinación de la posición angular de los motores a partir del punto conocido P de coordenadas Px=0 mm; Py=0 mm; Pz=400 mm.
Prueba numero 2: determinación de la posición angular de los motores a partir del punto conocido P de coordenadas Px=50 mm; Py=50 mm; Pz=300 mm.
Prueba numero 3: determinación de la posición angular de los motores a partir del punto conocido P de coordenadas Px=-50 mm; Py=-100 mm; Pz=350 mm.
En la figura 13 se muestra una trayectoria espiral diseñada con la ayuda de 50 puntos en coordenadas x, y z. Para cada punto, se determina los ángulos necesarios para las coordenadas generalizadas, las cuales permiten guiar la plataforma móvil a lo largo de la trayectoria espiral. Lo anterior se logra mediante la cinemática inversa del manipulador.
Durante el recorrido de la plataforma móvil, se calcularon los pares motores requeridos en los brazos del manipulador para el modelo teórico y el prototipo virtual. De la misma forma se medirán los pares motores requeridos por el prototipo físicos bajo las mismas condiciones de operación.

Inicialmente se calculan los ángulos de las coordenadas generalizadas para cada una de las pruebas, posteriormente se validan los valores de posición de la plataforma móvil en el prototipo físico y el virtual. Los resultados obtenidos de la cinemática inversa son las siguientes:
Para la prueba 1, para los ángulos para las coordenadas generalizadas del manipulador se obtienen los siguientes valores:
;
;
Para la
prueba 2, para los ángulos para las coordenadas generalizadas del manipulador
se obtienen los siguientes valores:
;
;
Para la
prueba 3, para los ángulos para las coordenadas generalizadas del manipulador
se obtienen los siguientes valores:
;
;
La figura 14 muestra la línea de referencia respecto a la cual se mide el ángulo requerido en la coordenada generalizada, para una determinada posición de la plataforma móvil del prototipo físico.

Los resultados obtenidos directamente en el prototipo físico son los siguientes:
Prueba 1:
;
;
Prueba 2:
;
;
Prueba 3:
;
;
Una tabla de resumen con los resultados máximos y mínimos de los pares motores demandados por los servomotores, incorporados en el prototipo virtual y físico, se encuentran en la tabla 2.

Con los valores obtenidos en la cinemática inversa para cada una de las pruebas, se determinó la posición de la plataforma móvil para el prototipo físico y el virtual. En la figura 15 se puede apreciar los resultados obtenidos.

En las figuras 16, 17 y 18 se muestran gráficos realizados para cada uno de los motores de los brazos en los cuales se muestra el par obtenido del modelo teórico, el par requerido por el prototipo virtual y el par demandado por el prototipo físico del manipulador. Prácticamente se presenta una superposición de los resultados para par obtenidos del modelo teóricos y los requeridos por el prototipo virtual, por lo tanto, solo se muestran los obtenidos del modelo teórico.



Esta primera aproximación permite establecer los pares motores mínimos requeridos por los actuadores del manipulador para el desplazamiento de la plataforma móvil. Por otro lado, se puede observar que los pares motores para los actuadores requeridos por modelo teórico y el prototipo virtual presenta un comportamiento conservativo, ya que el par motor del prototipo físico presenta requerimientos inferiores bajo las mismas condiciones.
Para la segunda prueba se repite la trayectoria en espiral, con una carga de 1,8 N en el punto P de la plataforma móvil. Los pares motores requeridos por el manipulador para mover cada uno de sus brazos con las nuevas condiciones de carga, se observan en las figuras 19, 20 y 21. Se puede observar que la demanda de par motor aumenta para los tres actuadores debido al efecto de la carga de trabajo ubicada en la plataforma móvil.



Una tabla de resumen con los resultados máximos y mínimos de los pares motores demandados por los servomotores, incorporados en el prototipo virtual y físico, se encuentran en la tabla 3.

Se integraron exitosamente los programas SolidWorks y LabVIEW mediante el módulo de LabVIEW Softmotion para la construcción del prototipo virtual de un manipulador paralelo tipo DELTA 720 de tres grados de libertad basado en el diseño del manipulador que se encuentra en el Laboratorio de Sistemas Dinámicos y Control de la Universidad Tecnológica de Pereira.
El análisis de posición para los diferentes modelos muestra la validez del análisis geométrico realizado la trayectoria estudiada. Este comportamiento se puede observar en los valores obtenidos para la posición angular y las gráficas del par motor requerido por los brazos bajo condiciones de carga y sin carga de trabajo. A partir de este análisis se pueden desarrollar estrategias de control que permitan obtener una mayor precisión en el desplazamiento del elemento terminal del manipulador para cualquier tipo de trayectoria.
La cosimulación es una técnica que facilita el estudio y análisis de la cinemática y cinético en los sistemas mecánicos‚ agilizando el procedimiento de validación. El trabajo en conjunto de las herramientas computacionales permite estudiar de forma coherente los sistemas mecánicos‚ logrando una comparación directa del modelo teórico, el prototipo físico y el prototipo virtual. La validación realizada entre los diferentes modelos‚ abre el paso a nuevos estudios que faciliten la incorporación en el prototipo virtual, de las diferentes etapas de diseño electrónico y de control‚ brindando la posibilidad de simular de manera integral todos los componentes principales en un sistema mecánico.






detalle cadena cinemática
Autor
Prototipo virtual
Autor















