Ciencias Básicas
Estudio térmico de la función lagrimal en la superficie ocular humana utilizando termografía infrarroja
Thermal study of lacrimal function in eye human surface using infrared thermography
Estudio térmico de la función lagrimal en la superficie ocular humana utilizando termografía infrarroja
Scientia Et Technica, vol. 23, núm. 4, pp. 553-562, 2018
Universidad Tecnológica de Pereira
Recepción: 10 Octubre 2017
Aprobación: 15 Diciembre 2018
Resumen: El ojo humano ha sido el centro de numerosos estudios a nivel termográfico, tiene poca irrigación sanguínea, lo que permite demostrar que el cambio de temperatura en la superficie ocular puede ser un importante indicador para el diagnóstico de diferentes patologías. En este estudio se diseñó e implemento una metodología por medio de la cual se analizó a nivel térmico la influencia de la función lagrimal humana sobre la superficie ocular (córnea), utilizando para ello la termografía infrarroja en una muestra de 40 personas sin patologías oculares (20 hombres – 20 mujeres entre 18 y 28 años de edad). Se demuestra que la función lagrimal tiene un efecto térmico que se puede describir por la tasa de disminución de la temperatura de la córnea en el ejercicio del parpadeo; se demuestra que este efecto térmico es similar para hombres y mujeres y que se puede convertir en una base de tipo cuantitativo para el estudio y diagnóstico de patologías oculares, como el síndrome del ojo seco (SOS) en el cual la función lagrimal está gravemente afectada.
Palabras clave: Termografía, superficie ocular, caracterización térmica, función lagrimal.
Abstract: The human eye has been the center of many studies at thermographic level, has little blood supply, which allows to demonstrate that the change of temperature in the ocular surface can be an important indicator for the diagnosis of different pathologies. In this study, a methodology was designed and implemented by means of which the influence of human lachrymal function on the ocular surface (cornea) was analyzed at thermal level, using infra-red thermography in a sample of 40 people without ocular pathologies (20 men - 20 women between 18 and 28 years of age). It is shown that the tear function has a thermal effect which can be described by the rate of decrease of the corneal temperature in the blinking exercise; it is demonstrated that this thermal effect is similar for men and women and can be converted into a quantitative type base for the study and diagnosis of ocular pathologies such as dry eye syndrome (SOS) in which the tear function is severely affected.
Keywords: Thermography, ocular surface, thermal characterization, lacrimal function.
I. INTRODUCCIÓN
La termografía infrarroja es una técnica que permite obtener la temperatura de una superficie sin tener contacto con ella. Gracias a sus principios físicos se pueden convertir las mediciones de la radiación infrarroja en mediciones de temperatura, esto se logra midiendo la radiación emitida en la porción infrarroja del espectro electromagnético desde la superficie del cuerpo u objeto, convirtiendo estas mediciones en señales eléctricas que luego son procesadas y convertidas en imágenes (1). La termografía utilizada en medicina no es invasiva, es no ionizante, es libre de riesgo y amigable con el paciente (2). Distribuciones de temperatura de la superficie de la piel plasmadas en una imagen térmica se pueden utilizar para identificar áreas de anormalidad térmica para la detección temprana y monitoreo de los procesos de enfermedad y para controlar la eficacia de procedimientos de tratamiento (3); estas características, hacen que esta técnica sea una herramienta efectiva de diagnóstico, respaldada por treinta años de uso clínico y más de ocho mil estudios arbitrarios en publicaciones médicas. Se considera como una alternativa segura y eficiente en la examinación del cuerpo humano, pues las imágenes térmicas de la piel humana han sido utilizadas para controlar la distribución de la temperatura de la misma (4); los cambios característicos en los patrones normales del cuerpo se asocian a diferentes fenómenos patológicos dando la pauta para llevar a cabo investigaciones no invasivas que resulten valiosas para el diagnóstico de enfermedades. Anomalías como la inflamación y la infección y presencia de tumores malignos, se pueden localizar por aumentos de temperatura que se muestran como puntos calientes o patrones en una imagen térmica (1). A pesar de que no es específica, la termografía infrarroja es un potente detector de anormalidades que afectan la fisiología de un paciente. Si las imágenes térmicas son capturadas bajo parámetros específicos que pueden influir, como la edad, tomas en horas del día adecuadas y condiciones ambientales controladas entre otras (5), pueden ser interpretadas fácilmente para diagnosticar ciertas condiciones y para controlar la reacción de la fisiología de un paciente a las tensiones térmicas y otros estimulos del medio ambiente. La primera aplicación documentada de imágenes infrarrojas en medicina fue en 1956, cuando pacientes con cáncer de seno fueron examinadas analizando puntos asimétricos calientes y vascularización en imágenes infrarrojas de sus senos (6). Desde entonces, numerosos resultados de investigaciones se han publicado sobre aplicaciones médicas en diferentes áreas, donde se utiliza la termografía infrarroja con éxito, áreas como la neurología, perturbaciones vasculares, enfermedades reumáticas, lesiones de tejidos blandos (1), oncología (especialmente cáncer de mama) (7), trastornos dermatológicos, problemas en el sistema nervioso, en el área neonatal, cirugía y por supuesto trastornos oculares (4, 6, 8, 9); con base en todas estas investigaciones se han generado avances en el campo de la termografía biomédica que incluyen el desarrollo de una nueva generación tecnológica de infrarrojos, algoritmos inteligentes en el procesamiento de imágenes y la comprensión fisolopatológica basada en las imágenes térmicas.
El ojo humano ha sido el foco de numerosos estudios, tiene poca irrigación sanguínea, lo que permite demostrar que el cambio de temperatura en la superficie ocular es un importante indicador para el diagnóstico de patologías como el síndrome del ojo seco (SOS) [9]. El sistema lagrimal del mismo está compuesto por un grupo de estructuras relacionadas con la producción y el movimiento de las lágrimas; este sistema se divide en dos partes, una encargada de la producción de las lágrimas y la otra que las elimina. El líquido que se conduce por la superficie ocular se denomina película lagrimal, su composición debe mantenerse dentro de límites cuantitativos y cualitativos bastantes estrechos para preservar la integridad y el funcionamiento correcto de la superficie ocular (10, 11, 12). El parpadeo extiende de manera uniforme una delgada película lagrimal humectando la superficie ocular y eliminando las partículas extrañas (13). El número de parpadeos en un tiempo determinado, denominado frecuencia de parpadeo (FP), es un parámetro que varía substancialmente entre unos individuos y otros, y a lo largo del día dentro de un mismo sujeto. Estas diferencias inter e intrasujetos son debidas a la influencia de condiciones tanto visuales como ambientales. Los parpadeos se distinguen en función de si son completos o incompletos y de si se rigen por la voluntad del sujeto, o son completamente involuntarios. Los valores medios de la frecuencia de parpadeo en posición primaria de mirada y en reposo se encuentran entre 12 y 19 parpadeos por minuto y, en general, se suele hablar de 15 parpadeos/min; estos valores se ven alterados cuando el sujeto está realizando alguna actividad [14]. En efecto, son muchos los estudios que documentan diferencias en la frecuencia y tipo de parpadeo en función de las características cognitivas o la demanda de atención de la tarea, que no tiene por qué ser visual. Hasta el momento no se ha encontrado una variación de este parámetro en función del color de los ojos ni del defecto refractivo; en cuanto a la edad la frecuencia de parpadeo aumenta en los primeros años y se estabiliza entre los 20 y los 25 años (14).
Para este estudio, se hizo necesario caraterizar la dinámica térmica (variación de temperatura con respecto al tiempo) de la superficie ocular humana en personas sin patologías oculares, asociando esta caracterización con respecto a la función lagrimal, de tal manera que se pudiera tener una base comparativa para otros estudios de diagnóstico y detección temprana de patologías oculares como el sindrome del ojo seco (SOS) en donde la variación de temperatura de la superficie ocular es evidente. Con base en lo anterior se planteó para la realización de este estudio, la siguiente pregunta de investigación: ¿Cómo influye en la dinámica térmica (variación de la temperatura con respecto al tiempo) la función lagrimal en la superficie del ojo humano sano y cuál sería el protocolo experimental más adecuado que debería implementarse para estudiar y comprender esta influencia, utilizando la técnica de la termografía IR?
II. MATERIALES Y MÉTODOS
Para responder la pregunta de investigación, se realizó un estudio experimental utilizando la técnica de la termografía infrarroja, con un grupo de individuos sin ninguna patología ocular conocida; con edades comprendidas entre los 18 y 28 años, en el que la variable dependiente a ser estudiada correspondía a la variación de la temperatura de la superficie ocular (córnea) con respecto al tiempo, en la etapa de “fijación con parpadeo” que se describe más adelante, en la cual se induce la actividad lagrimal.

Se estudió de manera cualitativa el comportamiento térmico de la superficie ocular en zonas importantes, como la zona temporal conjuntiva, la zona nasal conjuntiva y el centro de la córnea. Para este estudio se utilizaron perfiles y marcadores térmicos provistos por el software Smartview de la cámra termográfica TI-32 [18], tal como se ilustra en la Fig. 1.
A. Equipo de Medición
La cámara termográfica que se utilizó en este estudio fue la Fluke Ti32 con certificado de calibración vigente. Esta cámara es un procesador de imágenes térmicas que puede capturar de forma rápida y sencilla imágenes de gran calidad, con un sensor de 320 x 240 pixeles. El rango de medición de temperatura comienza en los -20 °C y asciende hasta los 600 °C. Las imágenes térmicas se pueden analizar por medio del software SmartView y se pueden realizar informes a partir de las imágenes térmicas guardadas. La cámara termográfica proporciona funciones como: corrección de la emisividad, compensación de la temperatura reflejada de fondo y corrección de transmisión. Además ofrece paletas y modos de paletas especiales para mejorar y resaltar diferencias térmicas muy pequeñas en un escenario. La resolución de indicación de temperatura de este instrumento es de 0,01 (°F o °C) y el fabricante reporta una precisión ±2% o ± 2 °C [19, 20]. Una de las ventajas de esta cámara para este tipo de estudios es la de podersele adaptar una lente “gran angular” que permite mayores aproximaciones. Se ilustra en la Fig. 2 el montaje experimental con algunos de los individuos que participaron en el estudio mientras se tomaban algunas medidas.

B. Protocolo de medición para la toma de las imágenes térmicas.
Se diseñó un protocolo experimental que fue aplicado de igual manera para todos los participantes, con el fin de asegurar la reproducibilidad de este; para ello se estableció un formato que debía ser cumplido y tramitado con cada uno de ellos.
Para implementar el protocolo experimental se realizó un estudio, en el cual se seleccionaron 40 personas, 20 sujetos de sexo femenino; y 20 sujetos de sexo masculino; esta muestra poblacional se ubicó entre el personal estudiantil, de la Universidad Tecnológica de Pereira. A pesar de que la técnica de la termografía IR aplicada en seres humanos es no invasiva, se aplicó teniendo en cuenta consideraciones de tipo bioético a partir de las recomendaciones de la declaración de Helsinki de 1964 y la Resolución Nº 008430 de 1993 del Ministerio de Salud de la República de Colombia con respecto a los principios éticos para las investigaciones médicas en seres humanos. El proyecto del cual se presentan estos resultados parciales, cuenta con el aval del comité de bioética de la Universidad Tecnológica de Pereira.
Antes de realizar las mediciones cada sujeto fue informado sobre el objetivo del experimento y se le explicó claramente el procedimiento para participar en el estudio de investigación experimental, posteriormente el participante diligenció la carta de consentimiento informado, donde aceptaba la participación en el estudio y las condiciones para llevarlo a cabo [21,22]. Con base en una encuesta previa y en la información que recibía el participante en el consentimiento informado, se aseguró que los mismos contaran con buena salud; los sujetos con fiebre o antecedentes de migraña no se incluyeron en este estudio, al igual que pacientes con enfermedades vasculares sistemáticas como la hipertensión y diabetes ya que presentan una mayor elevación térmica del ojo por la taza de flujo de sangre en la retina y la coroides [23]. A la hora de realizar las pruebas, los sujetos de sexo femenino debían tener la cara sin maquillaje, ya que la aplicación de cosméticos puede cambiar la emisividad de la piel al momento de realizar la toma de las fotografías térmicas [5,24].
Se estableció que el entorno de medición, el laboratorio de Electrofisiología ubicado en las instalaciones de la Universidad Tecnológica de Pereira contara con las condiciones adecuadas para la toma de imágenes térmicas, teniendo en cuenta factores como la temperatura, la humedad relativa, las corrientes de aire, la luz y la polución [24]; por lo tanto fueron monitoreadas y controladas las variables de humedad relativa: 50% (- 10% y + 20%) “humedad relativa de confort” y temperatura ambiente de 22 °C (-3 °C y + 3 °C) “temperatura de confort”, de tal manera que estas variables estuvieran en el mismo rango para todas las personas que conformaron la muestra [25], además al recinto se le adecuó la intensidad luminosa para tareas visuales simples con el objetivo de que no molestara a los participantes (200 – 300 Lux) [26]; y se llevaron a cabo las mediciones en el horario 8 a.m. – 12 p.m. Cada individuo estuvo con 15 minutos de anticipación en la habitación en que se tomaron las medidas antes de iniciar la toma de las fotografías termográficas, tiempo necesario para una adaptación adecuada a la temperatura y humedad relativa del lugar, lo cual permitió una estabilización en la temperatura de la superficie ocular [25, 27 – 29].
Se tomaron las imágenes termográficas de la superficie ocular y se realizó el análisis de las mismas de manera aleatoria con respecto a los sujetos participantes. Para iniciar el procedimiento, la frente y el mentón de los participantes fueron ubicadas contra un soporte para cabezas de tipo oftálmico estándar, de manera que el centro geométrico de la córnea estubiera alineado con la cámara termográfica. Las imágenes térmicas se tomaron inicialmente en el ojo derecho y luego en el ojo izquierdo, con un descanso de un minuto entre cada ojo.
La toma de medidas se dividió en dos secciones: la primera sección (sección 1 – tabla 1) comprendió la toma de imágenes térmicas en estado normal, se hace referencia a tomar las imágenes térmicas de los ojos en estado de parpadeo cotidiano, los sujetos permanecieron con la posición primaria de mirada durante 5 minutos, la cual consiste en una posición de mirada al frente con el parpadeo espontáneo, por lo tanto con la frecuencia de parpadeo promedio; se tomaron imágenes térmicas en intervalos de un minuto. Luego de esta sección de 5 minutos, se obtuvieron cinco imágenes térmicas del ojo derecho y cinco imágenes térmicas del ojo izquierdo; este protocolo se realizó al inicio del procedimiento para estudiar el comportamiento cotidiano del ojo humano sin ninguna alteración y sin ninguna orden por parte del cerebro, y caracterizar la temperatura en la superficie ocular utilizando marcadores horizontal y vertical en cada ojo, con el objetivo de obtener los perfiles correspondientes de temperatura, tal como se observa en la Fig. 1A.
Luego los participantes tuvieron una etapa de descanso con los ojos en reposo; es decir, cerrados durante 10 segundos. Posteriormente los sujetos mantuvieron los ojos en posición de fijación sin parpadeo durante 20 segundos; esta posición se implemento básicamente para resecar la película lagrimal; durante este tiempo no se hacen mediciones de la temperatura de la superficie ocular. Inmediatamente después los sujetos estuvieron con la posición de fijación con parpadeo para estudiar el mecanismo de lubricación del ojo sano con parpadeos voluntarios; esta sección (sección 2 - tabla 1) comprendió tomar imágenes térmicas durante 60 segundos, es decir con la mirada al frente (hacia el lente de la cámara termográfica a una distancia de 7,5 cm como se ilustra en la Fig. 2), esta vez el investigador dio la orden a los sujetos de realizar parpadeos en tiempos determinados. Las fotografías se comenzaron a tomar desde el primer segundo en que el individuo abre sus ojos, dándole una señal de “parpadee” entre cada una de las termografías realizadas; se obtuvieron de 12 a 15 muestras fotográficas durante los 60 segundos [10, 16].

Para la implementación del protocolo experimental diseñado, se realizó de manera inicial el análisis de cada imagen térmica por medio del software de la cámara termográfica Ti32: “SmartView 3.10”, el cual provee la opción de dibujar marcadores de punto, línea, rectángulo, elipse y/o polígono sobre el área de interés de la imagen térmica que se está analizando; para cada uno de estos marcadores, el software también permite obtener los siguientes datos: el valor de la temperatura por cada pixel, el valor máximo, mínimo, promedio y la desviación estándar de la temperatura del marcador.
Esta opción de marcadores es ideal para el análisis de la superficie ocular, para la cual se realizó el análisis de perfiles horizontal, vertical y circular. Para los datos obtenidos a partir de la toma de medidas de la que se denominó primera sección, se analizaron los perfiles horizontal y vertical de toda la superficie ocular, es decir, el perfil horizontal comprendió desde la zona temporal conjuntiva a la zona nasal conjuntiva pasando por el centro de la córnea; y el perfil vertical desde la zona del borde del parpado superior hasta la zona del borde del parpado inferior como se ilustra en la Fig. 1A. En esta sección se hizo el análisis cualitativo para estudiar el comportamiento térmico de la superficie ocular en la posición de fijación con el parpadeo cotidiano, sin recibir orden del cerebro para realizar el parpadeo; y para estudiar el comportamiento de la temperatura en las diferentes zonas de la superficie ocular [18,27].
Para la segunda sección se realizó un estudio cuantitativo de la temperatura de la zona de la córnea con el marcador circular, determinando la temperatura promedio de esta región como se muestra en la Fig. 2B, esto con el fin de estudiar la lubricación de la córnea con cada parpadeo. Se hizo el análisis de esta manera para estudiar el comportamiento de la superficie ocular en la posición de fijación con el parpadeo, recibiendo la orden del cerebro para realizar el parpadeo en tiempos determinados. Es importante anotar que en el análisis de cada imagen térmica se tomó un número de datos de temperatura que correspondían al número de los pixeles correspondientes a la región de la fotografía termográfica que se quería analizar, con base en ellos se obtuvo el valor medio de la misma en la región de la superficie ocular analizada, así como la desviación estándar y la varianza de los datos de temperatura analizados (ver tablas 2A y 2B).
III. RESULTADOS
Se diseñó e implementó un protocolo experimental que permite realizar una caraterización térmica de las diferentes regiones del mismo; en éste artículo se presentan los resultados parciales y de manera cualitativa de la sección 1 (tabla 1), ya que el objetivo del mismo es presentar los resultados de la sección II en lo que respecta al estudio del efecto térmico de la función lagrimal sobre la superficie ocular (córnea) utilizando la técnica de la termografía infra-roja.
De la muestra escogida para el estudio se descartaron 3 pruebas (3 hombres) ya que estos participantes presentaron temperaturas superiores a los 37 °C [30], posiblemente por antecedentes de gripa; por lo tanto se tienen los resultados de 37 participantes, 20 mujeres (54,05%) y 17 hombres (45,95%).
Para la sección 1, a continuación se muestran los resultados de uno de los perticipantes del estudio tomado al azar; inicialmente se hizo el análisis del perfil horizontal y vertical de temperaturas de la sección 1 (tabla 1) para estudiar de manera cualitativa el comportamiento térmico de la superficie ocular; ver figura 3. Se observa que la región de la córnea presenta los valores más bajos de temperatura lo cual es lógico debido a la falta de irrigación sanguinea en esta zona; estos resultados en lo que respecta a los aspectos cualitativos fueron similares para toda la muestra.

En lo que respecta a la sección 2 como ya se mencionó se utilizó el perfil circular (Fig. 1B) para estudiar cuantitativamente la variación de la temperatura del área de la córnea en la posición de fijación con parpadeo en la cual se induce la actividad lagrimal. Para uno de los sujetos participantes del estudio, escogido aleatoriamente, la temperatura promedio inicial de la zona corneal (perfil circular) de la superficie ocular derecha fue de 35,07 °C (0,25 °C); la temperatura reportada es el promedio de los valores de temperatura de cada uno de los pixeles que están circunscritos por el perfil circular y entre parentesis se consigna la desviación estándar de este conjunto de datos de temperatura. Su temperatura descendió por efecto del ejercicio de fijación con parpadeo hasta un valor de temperatura de 34,82 °C (0,29 °C) y para la zona corneal izquierda fue de 35,08 °C (0,23 °C) a 34,85 °C (0,18 °C); por lo tanto se evidencia en este sujeto que la temperatura desciende para los dos ojos, a razón de un ΔT = 0,25 °C para el ojo derecho (Tabla 2A) y un ΔT= 0,23 °C para el ojo izquierdo (Tabla 2B) por efecto del ejercicio de fijación con parpadeo que estimula la producción lagrimal. Las condiciones ambientales que se registraron mientras se tomaron las pruebas de este sujeto fueron TAMBIENTE = 25,0 °C y HRELATIVA = 54%.

A – ojo izquierdo. B – ojo derecho.
AutorPara un análisis más profundo se decidió analizar los datos por medio de una regresión lineal que era la que mejor se ajustaba a los mismos, donde el valor de la pendiente de cada recta obtenida a partir de las mediciones de temperatura de cada individuo en la posición de fijación con parpadeo, determina la variación de la temperatura de la región estudiada (superficie ocular corneal) con respecto al tiempo. En la Fig. 4 se tienen las pendientes del sujeto escogido aleatoriamente para explicar lo realizado; se observa que la pendiente absoluta de la recta que se obtiene mediante la regresión lineal, con base en las mediciones de temperatura del sujeto en posición de fijación con parpadeo en el ojo derecho fue de 0,0044 °C/s y para el ojo izquierdo fue de 0,0035 °C/s. Este mismo comportamiento se visualizó en todos los sujetos por lo cual posteriormente se pasó a estudiar toda la muestra poblacional.

ojo derecho (A) y ojo izquierdo (B).
AutorPara la sección 2, se determinó de manera general, una disminución considerable de la temperatura de la zona corneal de los sujetos en posición de fijación con parpadeo; en la tabla 3 se pueden verificar los resultados obtenidos para los dos tipos de muestras estudiadas (hombres y mujeres). Al analizar la muestra total se encuentra que el rango absoluto de la disminución de temperatura de la superficie ocular de los sujetos de sexo femenino en posición de fijación con parpadeo fue de 0,06 a 0,47 °C y para los sujetos de sexo masculino fue de 0,06 a 0,43 °C; deduciendo de esos resultados que en la posición de fijación con parpadeo la temperatura tiende a disminuir considerablemente para los dos casos (hombres y mujeres), pero no hay diferencias significativas en esta disminución de temperatura entre ellos.
Sin embargo se realizó el análisis estadístico, donde se tomaron los datos correspondientes a la variación de temperatura experimentada por las mujeres y los hombres en la posición de fijación con parpadeo; se verificó la normalidad de los datos y con base en los resultados de la prueba de normalidad de los mismos se decidió realizar la prueba U de Mann Whitney, prueba no paramétrica, mediante la cual se identifican diferencias estadísticamente significativas entre dos poblaciones, basada en el análisis de dos muestras independientes. Con base en la aplicación de esta prueba se quería verificar si los resultados presentaban diferencias estadísticamente significativas entre la población femenina y la población masculina. La prueba U de Mann-Whitney se realizó por medio del software para análisis de datos OriginLab 8.6, donde se establecieron las siguientes hipótesis:

HNULA = La disminución de temperatura no es significativamente diferente en la posición de fijación con parpadeo tanto para los ojos derechos como izquierdos en las participantes mujeres con respecto a los participantes hombres.
HALTERNA= La disminución de temperatura es significativamente diferente en la posición de fijación con parpadeo tanto para los ojos derechos como izquierdos en las participantes mujeres con respecto a los participantes hombres.
Por lo tanto para saber cuál hipótesis aceptar se interpretaron los resultados a partir de los siguientes parámetros:
Nivel de significación: Para todo valor de probabilidad igual o menor que 0,05, se acepta HALTERNA y se rechaza HNULA.
Zona de rechazo: Para todo valor de probabilidad mayor que 0,05, se acepta HNULA y se rechaza HALTERNA.
Es decir:
Con p < 0,05 se rechaza HNULA.
Con p > 0,05 se rechaza HALTERNA.
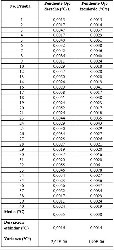
Para los ojos derechos de los dos tipos de sujetos se obtuvo un Z = 1,05304 y un p ≤ 0,29262, y para los ojos izquierdos un Z = 0,68795 y un p ≤ 0,49203. Lo que quiere decir que p resultó mayor que 0,05 por lo cual se acepta HNULA y se rechaza HALTERNA. Por lo tanto se determinó que no existe una diferencia estadísticamente significativa entre los grupos, pero si es claro que la temperatura tiende a disminuir considerablemente para los dos casos con el ejercicio del parpadeo, disminución que como ya se mencionón anteriormente fue analizada para la zona córneal de la superficie ocular. Analizando los datos de toda la muestra poblacional, se determinó de manera general, una disminución de la temperatura de la zona corneal de los sujetos en posición de fijación con parpadeo, la cual se denominó sección 2. El rango absoluto del valor medio de las pendientes de los sujetos en posición de fijación con parpadeo para el ojo derecho, fue de 0,0011 a 0,0086 °C/s, mientras que el rango absoluto del valor medio de las pendientes de las rectas obtenidas para el ojo izquierdo fue de 0,0014 a 0,0078 °C/s. En la tabla 4 se pueden verificar los resultados para las pendientes obtenidas para la muestra estudiada, en donde se ha discriminado el ojo derecho con el respecto al ojo izquierdo. [31]
Se realizó el análisis estadístico donde se tomaron los datos de pendientes correspondientes a la variación de temperatura experimentada en la posición de fijación con parpadeo; se verificó la normalidad de los datos y con base en los resultados de la prueba de normalidad de los mismos se decidió realizar la prueba de Wilcoxon para una muestra. La prueba de Wilcoxon es una prueba no parametrica para comparar la mediana de una muestra con una mediana teórica y determinar si existen diferencias entre ellas. Se utiliza para comparar las medianas y determinar que la diferencia no se deba al azar (diferencia estadísticamente significativa), para una muestra que se compara con un valor teórico. Esta prueba se hizo por medio software para análisis de datos OriginLab 8.6, inicialmente se define una mediana teórica, para el caso la definimos como cero, es decir se supone que con el ejercicio del parpadeo durante 1 minuto no hay variación de la temperatura en la superficie ocular sana de los sujetos participantes del estudio. Luego se establecieron las siguientes hipótesis:

HNULA = La mediana de la variación de la temperatura durante el ejercicio del parpadeo es igual a la mediana teórica es decir igual a cero.
HALTERNA= La mediana de la variación de la temperatura durante el ejercicio del parpadeo es significativamente diferente a la mediana teórica es decir diferente a cero.
Por lo tanto para saber cuál hipótesis aceptar se deben interpretar los resultados a partir de los siguientes parámetros:
Nivel de significación: Para todo valor de probabilidad igual o menor que 0,05, se acepta HALTERNA y se rechaza HNULA.
Zona de rechazo: Para todo valor de probabilidad mayor que 0,05, se acepta HNULA y se rechaza HALTERNA. Es decir:
Con p<0,05 se rechaza HNULA.
Con p>0,05 se rechaza HALTERNA.
Para este caso obtuvimos un p ≤ 1,45 x 10-11. Por lo tanto se acepta HALTERNA y se rechaza HNULA. Por lo tanto se determinó que la mediana de la población es significativamente diferente con la mediana teórica, lo que conduce a afirmar que con el ejercicio del parpadeo durante un minuto, la superficie ocular experimenta una variación significativa de temperatura, confirmando que el parpadeo estimula la función lagrimal e influye en la variación de tempertura de la superficie corneal.
Algo muy importante a tener en cuenta, es que la temperatura de la superficie ocular varía dependiendo de la temperatura ambiente y la humedad relativa; concluyendo que las condiciones ambientales pueden alterar la temperatura de la superficie ocular de los sujetos por lo que la luminosidad, temperatura y humedad relativa del recinto deben ser controladas continuamente; tal como lo afirma González M. en un trabajo realizado en 2008 en el cual se evaluaron los cambios en la superficie ocular derivados de la exposición a los distintos ambientes, en el cual se concluye que la baja humedad del medio ambiente ambiente, afecta negativamente a la superficie ocular” [32].
IV CONCLUSIONES
Se diseñó e implementó un protocolo experimental que permite realizar un análisis de la dinámica térmica de la superficie ocular en personas sanas, por efecto de la función lagrimal a partir la técnica de la termografía infrarroja utilizando una cámara termográfica (Fluke Ti32). Los resultados obtenidos en la aplicación del protocolo demostraron que el mismo es efectivo para la caracterización termográfica de la función lagrimal humana en personas sin patologías oculares, el cual puede llegar a resultar de gran utilidad para posteriores estudios como punto de referencia para el diagnóstico de patologías y detección temprana de problemas oculares en los cuales la función lagrimal se vea afectada.
Se establecieron diferencias térmicas entre las tres zonas principales de la superficie ocular, concluyendo con estos resultados, que la zona corneal de la superficie ocular siempre presenta menores temperaturas, las cuales son debidas a que en esta región no hay irrigación sanguinea y que por lo tanto es la región que podría tomarse como referencia al realizar estudios en que se quiera analizar la dinámica térmica por efecto de la función lagrimal.
Al analizar la muestra total se encuentra que de manera general existe una disminución de temperatura de la superficie ocular (córnea) de los sujetos de sexo masculino y femenino en la posición de fijación con parpadeo por efecto de la función lagrimal, pero no hay diferencias estadísticamente significativas en esta disminución de temperatura con respecto al tiempo entre ellos.
Se verificó experimentalmente mediante el protocolo diseñado que la variación de la temperatura de la zona corneal de la superficie ocular en la posición de fijación con parpadeo presenta una taza de disminución respecto al tiempo, permitiendo realizar una caracterización termográfica de la función lagrimal humana sana a partir de este método, la cual puede servir de base de comparación con patologías como el sindrome del ojo seco (SOS) en la cual la función lagrimal está gravemente afectada.
Las condiciones ambientales (luminosidad, temperatura y humedad relativa) deben ser controladas y consignadas en el momento de realizar las mediciones; por tal razón se hace necesario establecer un entorno de medición en el cual estas variables se encuentren adecuadamente controladas; ya que a partir de los resultados obtenidos se llegó a la conclusión de que la temperatura de la superficie ocular varía dependiendo de la temperatura ambiente [25,32].
La técnica de la termografía infrarroja aplicada en seres humanos es no invasiva, en ningún momento hay una manipulación directa del sujeto, a pesar de ello el estudio con una muestra de 37 personas que perseguía demostrar la validez física del método, se implementó teniendo en cuenta el diseño de protocolos acordes con especificaciones bioéticas pues se trabaja con seres humanos.
AGRADECIMIENTOS
A COLCIENCIAS, Departamento Administrativo de Ciencia Tecnología e Innovación por su programa de jóvenes Investigadores e Innovadores 2015-2016 y a la Universidad Tecnológica de Pereira por apoyar dicho programa y apoyar el proyecto de investigación “Estudio termográfico de la función lagrimal en la superficie ocular humana”.
REFERENCIAS
[1] A Szentkuti, H Kavanagh and S Grazio, “Infrared thermography and image analysis for biomedical use,” Periodicum Biologorum, vol. 113, no.4, pp. 385-392, 2011.
[2] J Tan, E Ng, R Acharya and C Chee, “Infrared thermography on ocular surface temperature: A review,” Elsevier, Infrared Physics & Technology, vol. 52, pp. 97-108, 2009.
[3] R Mapstone,“Ocular thermography,” British Journal of Ophthalmology, vol. 54, no. 11, pp. 751-754, 1970. P Morgan, M Soh and N Efron, “Corneal surface temperature decreases with age,” Contact Lens and Anterior Eye, vol. 22, no. 1, pp. 11-13, 1999.
[4] B Lahiri, S Bagavathiappan, T Joyakumar and J Philip, “Medical applications of infrared thermography: A review,” Elsevier, Infrared Physics & Technology, vol. 55, pp. 221-235, 2012.
[5] H Qi and N A Diakides, “Infrared imaging in medicine,” Electrical and Computer Engineering Departament, University of Tennessee, pp. 1-10, 2001.
[6] N Arora, D Martins, D Ruggerio, E Tousimis, A J Swistel, M P Osborne, et al, “Effectiveness of a noninvasive digital infrared thermal imaging system in the detection of breast cancer,” The American Journal of Surgery, vol. 196, pp.523-526, 2008.
[7] B F Jones, “A Reappraisal of the use of infrared thermal image analysis in medicine,” IEEE Transactions on medical imaging, vol.17, no.6, pp. 1019-1027, 1998.
[8] A A Kawali, “Thermography in ocular inflammation,” Indian Journal of Radiology and Imaging, vol. 23, no.3, 2013.
[9] A Garg, “Fisiopatología de la película lagrimal,” in Ojo seco y otros trastornos de la superficie ocular. Diagnóstico y tratamiento en Xerodacriología, Buenos Aires, Médica Panamericana, 2008, pp. 1-28.
[10] P Battaglini, “Fisiología de la visión,” in Fisiología Médica, México D.F, MacGraw-Hill Interamericana Editores, S.A, 2010, pp. 379-402.
[11] A Aguilar, Sociedad Argentina de Oftalmología. [Online] Available: http://www.sao.org.ar, [Accessed: Noviembre 2016].
[12] P Riordan, “Anatomía y embriología del ojo,” in Oftalmología General, 18a ed., México D.F, MacGraw-Hill Interamericana Editores, S.A, 2012, pp. 1-26.
[13] Instituto Químico Biológico, “Anatomía del aparato lagrimal y producción de lágrimas,” [Online]. Available: http://www.iqb.es/oftalmologia/aparato_lagrimal/anatomia01.htm, [Accessed: Enero 2016]
[14] N Efron, “Alteraciones de los párpados,” in Complicaciones de las lentes de contacto, 2nd ed., Madrid, Elsevier, 2005, pp. 12-13.
[15] N Quevedo. “Estudio del parpadeo durante la conducción de vehículos,” Trabajo de grado de Maestría en Optometría, Cataluña, Barcelona, Universidad Politécnica de Cataluña, Facultad de Óptica y Optometría de Terrassa, Departamento de Óptica y Optometría, 2012.
[16] F E León, C I Gutiérrez and V A Contreras, “El marcapasos del parpadeo en un abrir y cerrar de ojos,” Revista Ecuatoriana de Neurología, vol. 18, no.1, pp. 90-93, 2009.
[17] T Kamao, M Yamaguchi, S Kawasaki, S Mizoue, A Shiraishi and Y Ohashi, “Screening for dry eye with newly developed ocular surface thermographer,” American Journal of Ophthalmology, vol. 151, no.5, pp. 782-791, 2011.
[18] Fluke Corporation y The Snell Group. “Introducción a los principios de la Termografía,” Paises Bajos, American Technical publishers, 2009.
[19] Fluke Corporation, “Manual de uso Thermal Imager Ti32,” USA, 2009.
[20] Asociación Médica Mundial. Declaración de Helsinki, “Principios éticos para las investigaciones médicas en seres humanos. Junio 1964, enmendada 2008,” [Online] Available: http://www.wma.net/es/30publications/10policies/b3/17c.pdf.[Accessed: Marzo 2015].
[21] Ministerio de Salud. República de Colombia, “Resolución Nº 008430 de 1993, Titulo II, Capitulo 1, de los aspectos éticos de la investigación en seres humanos. Octubre de 1993,” [Online] Available: http://www.urosario.edu.co/urosario_files/a2/a24fb07a-f561-4fcc-b611-affff4374bb7.pdf [Accessed: Marzo 2015].
[22] C Buccella, V Satis and M Feliziani, “Prediction of temperature increase in human eye due to RF sources,” IEEE Transactions on electromagnetic compatibility, vol. 49, no.4, pp. 825-833, 2007.
[23] A G Testo, “Termografía, guía de bolsillo. Teoría, Aplicación Práctica, Consejos y Trucos,” 2008.
[24] L Kessel, L Johnson, H Arvidsson and M Larsen, “The relationship between Body and Ambient Temperature and Corneal Temperature,” Investigative Ophthalmology & Visual Science, vol. 51, no.12, pp. 6593-6597, 2010.
[25] Laboratorio de Producción. Facultad de Ingeniería Industrial, “Protocolo de Iluminación - Laboratorio de condiciones de trabajo,” Escuela Colombiana de Ingeniería Julio Garavito, 2008.
[26] L Tan, Z Cai and N Lai, “Accuracy and sensitivity of the dynamic ocular thermography and inter-subjects ocular surface temperature (OST) in Chinese young adults,” Elsevier, Contact Lens & Anterior Eye, vol. 32, pp. 78-83, 2009.
[27] P B Morgan, A B Tullot and N Efron, “Ocular surface cooling in dry eye - A pilot study,” Journal of the British Contact Lens Association, vol. 19, no. 1, pp. 7-10, 1996.
[28] P B Morgan, M P Soh and N Efron, “Potential Applications of Ocular Thermography,” Optometry and vision science, vol. 70, no.7, pp. 568-576, 1993.
[29] R Acharya, U Ng, G Yee, T Hua and M Kagathi, “Analysis of normal human eye with different age groups using infrared images,” Journal of Medical Systems, vol. 33, pp.207-213, 2009.
[30] J Fafard, “Dominancia ocular y su influencia, o ausencia de influencia en el rendimiento académico,” Cursos Monograficos XXI Congreso Internacional de Optometría, Contactología y Óptica Oftálmica, Madrid, 2010.
[31] M González, “Alteración de la superficie ocular tras la exposición a un ambiente adverso creado en una cámara de ambiente controlado (CAC),” Trabajo de grado doctoral en Ciencias de la Visión, Valladolid, Universidad de Valladolid, Instituto Universitario de Oftalmobiología Aplicada (IOBA), 2008.