Ciencias Básicas
Hardware-level calibration of the Chitaga Water Cherenkov Detector in the GUANE array for space weather studies
Calibración a nivel de Hardware de un detector Cherenkov de agua (Chitaga) en el arreglo GUANE para estudios de clima espacial
Hardware-level calibration of the Chitaga Water Cherenkov Detector in the GUANE array for space weather studies
Scientia Et Technica, vol. 23, no. 4, pp. 563-568, 2018
Universidad Tecnológica de Pereira
Received: 10 December 2017
Accepted: 20 October 2018
Abstract: Water Cherenkov Detectors (WCDs) play an essential role in space weather and cosmic rays studies around the world. In this article, we present a general methodology to calibrate a WCD based finding its optimum operation point and counting the delay time of the transmission cables. The dynode charge histogram of the WCD and CORSIKA simulations validate this methodology. Finally, to illustrate the capability of WCD to measure fluctuations in the secondary CR flux, we studied the 07.09.2017 Forbush and compared our measurements with data obtained from the Neutron Flux Monitor at UNAM and the Kyoto Dst index service.
Keywords: Cherenkov effect, cosmic ray, instrumentation.
Resumen: Los detectores Cherenkov de agua (WCD, por sus siglas en inglés) desempeñan un papel esencial en el estudio del clima espacial y los rayos cósmicos en todo el mundo. En este artículo, presentamos una metodología general para calibrar un WCD basado en encontrar su punto de operación óptimo y contar el tiempo de retardo de los cables de transmisión. El histograma de carga de dinodos de las simulaciones WCD y CORSIKA valida esta metodología. Finalmente, para ilustrar la capacidad de WCD para medir las fluctuaciones en el flujo de CR secundario, estudiamos el Forbush ocuurido el dia 07.09.2017 y comparamos nuestras mediciones con los datos obtenidos del Monitor de flujo de neutrones en la UNAM y el servicio de índice Dst de Kyoto.
Palabras clave: Efecto Cherenkov, Rayos cósmicos, instrumentación.
I. INTRODUCTION
THE Latin American Giant Observatory (LAGO) is an extended astroparticle observatory on a continental scale, promoting training and research in astroparticle physics in Latin America covering three main areas: search for the high energy component of gamma rays bursts (GRBs) at high altitude sites, space weather phenomena, and background radiation at ground level [1], and the Atmospheric Radiation at ground level.
The LAGO detection network consists of ground-level water-Cherenkov particle detectors (WCDs), spanning over several sites, located at significantly different latitudes and various altitudes --from Mexico to Patagonia and from mean sea level up to more than 5000, meters of altitude. LAGO covers a large range of geomagnetic rigidity cutoffs and atmospheric absorption/depths.
To pursue these purposes, scientists need confidence in the data provided by WCDs. The functioning of WCDs are based on the Cerenkov effect; when a charged particle is passing through a dielectric medium, faster than the speed light, it produces photons along its trajectory because of polarization and depolarization of the atoms surrounding the track of the particle. The number of photons generated in the path is proportional to the energy of the particle absorbed by the medium; this light signal is converted in a current pulse (by a photomultiplier tube (PMT)) which is proportional to the particle original energy.
Individual WCD allows us to study cosmic rays (CRs) by the “single particle” technique, which consists of counting all the particles hitting the detectors during fixed time intervals and identifying departures from the baseline[2], WCD arrays record information of Extended Air Showers (EAS) and, in this way, they obtain parameters of the muonic component and the front of the EAS[3]. WCD arrays, made of several surface detectors spread over some area, can estimate the arrival direction of the primary particle by comparing the arrival time of the shower front in different WCDs and evaluate primary energy by the number of secondary particles detected.
An essential aspect in the WCDs is the estimation of their energy response. Alarcon et al. [4] propose a method to calibrate WCDs based on the muon decay, which is characterized by two consecutive pulses related with the Cherenkov radiation stopping both muon and the electron. The time between both events is exponentially distributed with a decay constant 2.2s, this necessarily needs some complex electronics to discriminate and generate the time stamp.
Kutter et al. [5] present a method for multi-PMT WCDs. A variable threshold discriminates the signal coming from each PMT, and then a circumrotation in coincidence condition is applied to all PMT’s. However, gain matching in the PMTs, and an absolute calibration must be required
The most common methodology is determining the charge deposited by vertical muons (VEM) crossing the WCD. Bertou et al. [6] present this method for online calibration of a prototype array in the Pierre Auger Observatory and it has also been applied in the Large Giant Observatory [7], [8], [9], [10].
A trivial form to measure the VEM in the WCDs is through scintillator bars placed outside the detector. The scintillators are over and under the WCD forming a "muon telescope" for tracking muons passing through the detector and distinguishing vertical muons. The main issue with this method is that it is not suitable for large WCDs arrays. When a vertical muon passes the detector generates an asymmetric light beam, and a similar charge signal appears in the PMTs, [11], [12], [13], and then the HV of the PMTs is tuned individually to establish the same gain.
The Super-Kamiokande (SK) is a large detector (with 11000 PMTs Hamamatsu Photonics R3600-05(A)) used to study neutrinos. The hardware-level calibration of SK is divided into two parts: 1) determination of the high voltage (HV) value for each PMT and, 2) understanding the gain differences between individuals PMTs. The HV calibration was made by placing an isotropic light at the center of the detector, in such a way that all the PMTs have a similar charge response. Before this test, a random sample of PMTs was pre-calibrated individually inside a dark box with a controlled light beam; then these PMTs were mounted in the detector and served as references for the non-calibrated PMTs, [14].
In the last cases, we obtain the expected charge response of PMTs by setting the optimum operation region of the WCD. This paper presents a methodology at a hardware-level for the calibration of the WCD Chitaga in the GUANE array, based on determining the optimum region of PMT operation. This optimum region is in the plateau zone where the rate of events increases slowly. Then the calibration process is validated by measuring the 06.09.2017 Forbush decrease.
II. Methods
A. The WCD Chitaga
The GUANE array is a set of three WCD placed at the vertices of a 100-m side equilateral triangle, and located at 990 m.a.s.l. in the Universidad Industrial de Santander. Chitaga is one of these three detectors made of a plastic tank of 4000lts, covered inside by a highly diffusive material (Tyvek) to improve the probability of the Cherenkov photons to reach the PMT. See a sketch of this detector in Fig 1.

Chitaga detector uses an 8 inches Hamamatsu PMT (R5912) of 10 dynodes, powered by the C20 controlled EMCO DC-DC converter --which can reach 2000 V--, and distributed in a set of inter-dynode voltages using a linear resistive chain. Two output signals emerge from the anode and the last dynode (with an amplification factor of 20) of the PMT.
Both signals (anode and dynode) are inverted, and line base corrected through an adder with a variable DC level depending on the temperature conditions of the WCD. Next, the PMT signals are digitalized through a fast ADC (10 bits and 40 MSPS) simultaneously, and an FPGA Nexys II performs a discrimination process. This discrimination involves a trigger condition based on a variable threshold depending on the HV of the PMT, Fig. 2. If the pulse event accomplishes with the trigger condition, it is stored in a 12-bin vector together with a time stamp of 25 ns resolution, see Fig. 3. The time stamp is synchronized by the PPS (Pulse Per Second) signal from an external Motorola On-Core GPS to avoid phase shifts, and temperature and atmospheric pressure stamp from the HP03 sensor are printed in the data file each minute for the off-line data analysis.


B. The PMT Calibration
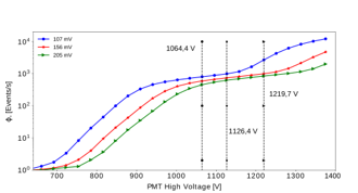
The main task in the calibration of WCD is to set the optimum PMT HV. This task was carried out by recording the event rate for different HV values in the range (597 V - 1372 V) with a 32 V step and three different discrimination thresholds (107 mV, 156 mV, 205 mV). The data for each configuration was recorded in 10 minutes per file.
A typical curve of event rate vs. PMT HV is shown in Fig. 4. The zone where the event rate increase is slowly depending on HV is called a plateau. The optimum HV for the PMT is in the middle of the plateau region where it behaves linearly.

The optimum HV was found through the minimization of the event logarithmic rate
(1)and performed over the three threshold curves, Fig. 5.

In this case, the optimum HV for the 107-mV threshold is 1064.4 V, for 156-mV is 1126.5-V and for 205-mV is 1219.7-V, Fig. 6¡Error! No se encuentra el origen de la referencia.. The optimum HV value increases, while the threshold value rises but the integrated event rate decreases since more energetic events to trigger the discrimination system, are needed.

C. The Calibration of Transmission line delay
The signals from the PMT basis are transmitted to the data acquisition electronics (DAQ) through RG58 50 Ohms coaxial cables. In any EAS study, it is essential an accurate time-stamp to identify the exact time when a particle hits each detector. Therefore, the delay time Δt between the PMT and the DAQ must be measured and considered for the off-line data analysis and EAS parameter reconstruction.

As displayed in Fig. 7, the time delay calibration test-bench consists of a two-output pulse generator with the variable frequency which emulates the output of the PMT basis. One of the generator outputs connects directly to a Tektronix TDS2002B oscilloscope, while the other goes, through a coaxial cable to the other channel. Then, we characterize the time delay between both signals changing the cable length l.
From the calibration plot, displayed in Fig 8, the time delay was found to be: Δt=0.045l+0.88. Thus, the delay time for a 4-m transmission cable is about 20 ns which is considerable in high-performance timing applications as EAS studies, where the time of event occurrence will suffer a phase shift.

III. Results
A. The Charge Histogram
The procedure to calibrate the energy response of the WCD is:
determine the spectrum of the cosmic rays flux at the location of the WCD based on CORSIKA simulations (software-level);
simulate the WCD response (number of Cherenkov photons reaching the PMT depending on time) with GEANT4; and
get the charge response of the WCD depending on different parameters: the amplification factor of the signal, the quantum efficiency of the PMT, the resolution of the analog-to-digital conversion and the frequency of sampling. Through the cosmic ray flux histogram, the energy of the VEM is determined, and subsequently, the charge histogram allows us to know the equivalent charge of the VEM. Then, it is a straightforward way to estimate the relation between charge and energy in the WCD, assuming a linear behavior.

The deposited charge, calculated by the integral of the PMT pulses generated by an charged particle passing through the WCD, is
(3)where N=12 is the number of samples (bins) for each pulse. Fig. 9, displays the charge histogram of a Chitaga WCD and it appears two overlapped Gaussian distributions. The first one is due to the electromagnetic component (electrons, positrons, and photons) of the secondary cosmic rays and the second one is the muonic component (muons and antimuons). A detailed composition of the particles at hitting the detector is shown in Fig. 10.
![Secondary cosmic ray flux at 990 m.a.s.l.[15].](../84959055016_gf11.png)
The relation between charge and energy through the VEM is
(4)
(5)
(6)B. The 07.09.2017 Forbush decrease
A Forbush decrease is a phenomenon caused by the interaction between the magnetic field of the solar wind, generated due to Coronal Mass Ejection (CME), and the primary CRs, this interaction produces a reduction of the secondary CRs at ground level.
In an unusual solar activity, multiple flares (M-class) occurred on September 4 and 5, [16], causing a CME that reached the Earth in 07-09-2017 at 22 UTC. The WCD Chitaga registered this Forbush event, meaning that the WCD Chitaga could measure changes in the secondary cosmic ray flux (electromagnetic and muonic component) because of variations in the geomagnetic field.
Several cosmic rays and geomagnetic experiments around the world detected this Forbush event. Fig. 11 dispIays a comparison between the data from the Neutron Flux Monitor at UNAM and the Kyoto Dst index service. The Dst is an index of magnetic activity derived from a network of equatorial geomagnetic observatories.

IV. Conclusion
In this paper, we have stated general methodology to calibrate --at a hardware-level- WCD based on finding its optimum operation point and the time delay of the transmission cables.
The calibration was validated using the dynode charge histogram of the WCD, contrasting it with several simulations made in CORSIKA for secondary CR flux at ground level in Bucaramanga. The most probable events, of the muonic component, hitting the WCD have a momentum about 3 GEV which is equivalent a charge of 230 ADC. bin.
Finally, the 07.09.2017 Forbush decrease was recorded and compared with data from the Neutron Flux Monitor at UNAM and the Kyoto Dst index service proving the functioning of the WCD Chitaga and its capability to measure fluctuations in the secondary CR flux.
Acknowledgment
The authors acknowledge the financial support of Departamento Administrativo de Ciencia, Tecnología e Innovación of Colombia (ColCiencias) under contract FP44842-051-2015 and to the Programa de Cooperación Nivel II (PCB-II) MINCYT-CONICET-COLCIENCIAS 2015, under project CO/15/02. We are also very thankful to LAGO and to Pierre Auger Collaboration for their continuous support. Finally, we would like to thank Vicerrectoría Investigación y Extensión Universidad Industrial de Santander for its permanent sponsorship. DSP wants to thank the Escuela de Física, the Grupo de Investigación en Relatividad y Gravitación, Grupo Halley de Astronomía y Ciencias Aeroespaciales and Vicerrectoría Investigación y Extensión of Universidad Industrial de Santander for the hospitality during my post-doctoral fellowship.
References
[1] H. Asorey, S. Dasso, L.A. Núñez, Y. Pérez, C. Sarmiento-Cano, M. Suárez-Durán, and the LAGO Collaboration. The LAGO space weather program: Directional geomagnetic effects, background fluence calculations and multi-spectral data analysis. In The 34th International Cosmic Ray Conference, volume PoS(ICRC2015), page 142, 2015.
[2] S. Vernetto. Detection of gamma-ray bursts in the 1 GeV–1 TeV energy range by ground-based experiments. Astroparticle Physics, 13(1):75–86, mar 2000.
[3] D. Kostunin. Reconstruction of air-shower parameters with a sparse radio array. PhD thesis, Karlsruher Instituts for Technologie (KIT), 2015.
[4] M. Alarcon, F. Alcaraz, J. Barrera, E. Cantoral, JC D'Olivo, A. Fernandez, M. Medina, L. Nellen, C. Pacheco, S Roman, et al. Calibration and monitoring of water cherenkov detectors with stopping and crossing muons. Nuclear Instruments and Methods in Physics Research Section A: Accelerators, Spectrometers, Detectors and Associated Equipment, 420(1):39–47, 1999.
[5] T. Kutter and C. Pryke. Self calibration of the water cerenkov tanks: Experimental results. Technical report, Pierre Auger Note GAP-97-025, 1997.
[6] X. Bertou. Calibration and monitoring of the pierre auger surface detectors. In 28th International Cosmic Ray Conference, volume 28, page 813, 2003.
[7] S. Vargas, N. Vásquez, Ó. Martínezb, et al. Implementation, calibration and operation of a water cherenkov detector at escuela politécnica nacional. 2017.
[8] Y. Pérez Caracterización de detectores Cherenkov en el Proyecto LAGO. PhD thesis, Master’s thesis, Universidad de los Andes de Mérida, 2009.(Cited on page 23.).
[9] A Velarde, R Ticona, P Miranda, H Rivera, and J Quispe. Proyecto lago bolivia. Revista Boliviana de Física, 15(15):32–38, 2009.
[10] L Otiniano and Ch Alvarado. Mejora del proceso de calibración para los wcd del proyecto lago usando modelo semieanalítico basado en simulaciones. Technical report, 2017.
[11] P Bauleo, CB Bonifazi, A Filevich, and A Reguera. Remote particle density calibration of a water cherenkov detector using crossing-through muons. Nuclear Instruments and Methods in Physics Research Section A: Accelerators, Spectrometers, Detectors and Associated Equipment, 463(1):175–182, 2001.
[12] M Aglietta, PS Allison, F Arneodo, D Barnhill, P Bauleo, JJ Beatty, Xavier Bertou, C Bonifazi, A Creusot, D Dornic, et al. Calibration of the surface array of the pierre auger observatory. In International Cosmic Ray Conference, volume 7, page 279, 2005.
[13] Carla Brenda Bonifazi. Instrumentación, calibración y simulación de detectores de superficie del observatorio Pierre Auger. PhD thesis, Facultad de Ciencias Exactas y Naturales. Universidad de Buenos Aires, 2004.
[14] Super-Kamiokande Collaboration. Calibration of the super-kamiokande detector. Nuclear Instruments and Methods in Physics Research Section A: Accelerators, Spectrometers, Detectors and Associated Equipment, 737:253–272, feb 2014.
[15] M.Súrez-Durán. Modulación de rayos cósmicos secundarios a nivel del suelo por cambios en el campo geomagnético. Master thesis, Universidad Industrial de Santander, Colombia, 2015.
[16] NASA. September 2017s intense solar activity viewed from space, 2017.
Notes