Ciencias Básicas
Análisis del impacto de las estrategias implementadas para ayudar a mejorar el aprendizaje de Matemáticas para los estudiantes que ingresan al primer semestre
Analysis of impact in implemented strategies to help improve in the learning of Mathematics for students who go into the first semester
Análisis del impacto de las estrategias implementadas para ayudar a mejorar el aprendizaje de Matemáticas para los estudiantes que ingresan al primer semestre
Scientia Et Technica, vol. 24, núm. 4, pp. 643-651, 2019
Universidad Tecnológica de Pereira
Recepción: 19 Enero 2019
Aprobación: 20 Octubre 2020
Resumen: El artículo muestra resultados de la investigación “Intervención integral en los procesos de enseñanza y aprendizaje de las matemáticas en la Universidad Tecnológica de Pereira” la cual surgió en respuesta a la necesidad de estudiar los procesos de enseñanza con profesores del Departamento de Matemáticas, como de aprendizaje con estudiantes de los programas de ingeniería y tecnología de la Universidad, debido a los bajos desempeños académicos evidenciados en los primeros semestres académicos. La investigación fue cualitativa de tipo descriptivo e interpretativo y desarrollada en varias fases, una de ellas es la que ocupa el propósito de este artículo en el cual se presentan conclusiones de las correlaciones obtenidas entre el rendimiento académico de una población de estudiantes que ingresaron a los programas de ingeniería y tecnología de la Universidad Tecnológica de Pereira en el I semestre de 2017, con la prueba diagnóstica, y la asistencia que tuvieron los estudiantes a través del programa “acompañamiento académico”, mostrando que hubo una correlación positiva, lo que se interpreta como una estrategia adecuada para contribuir a mejorar el aprendizaje de los estudiantes al fortalecer habilidades de estudio y una cultura de continua asesoría y preguntas permanentes.
Palabras clave: rendimiento académico, prueba diagnóstica, análisis discriminante.
Abstract: The present research work arises from the need to intervene both teaching and learning processes of mathematics due to the low academic performance shown by the students who enter the Technological University of Pereira to the Engineering and Technology Programs. Therefore, with the aim of establishing the influence which has on academic performance, the performing of some previous measurement and diagnostic processes, which generate detailed knowledge of the conditions surrounding student population in terms of their level of skills development and capabilities upon arrival at the institution. Among these elements of measurement found is the Diagnostic Test in Mathematics, whose purpose is to study the skills that students bring in the handling of numbers, operations and applications towards solving problems in depth. These results which were obtained from the study, have been socialized as for relationship of the Diagnostic Test in Mathematics and the academic performance of students who entered the Engineering and Technology Programs of the Technological University of Pereira in the first half of 2017 were determined, pointing out that this correlation showed that academic support was assuredly a positive strategy because it allowed them to have better academic achievements in the first mathematics subjects, which was reflected in the analysis of some strategies used to improve learning shortcomings connected with Academic Accompaniment Program.
Keywords: academic performance, diagnostic test, discriminant analysis.
I. INTRODUCCIÓN
La Universidad Tecnológica de Pereira en su proceso de admisión de estudiantes para los programas de ingeniería y tecnología tiene en cuenta el puntaje total de la prueba ICFES Saber 11. Desde la administración se han implementado procesos de medición y diagnóstico los cuales generan conocimiento preciso de las condiciones que rodean a la población estudiantil en cuanto a su nivel de desarrollo de competencias a su llegada a la institución. Entre estos elementos de medición se encuentra la prueba diagnóstica en matemáticas, cuyo propósito es conocer competencias de los estudiantes en el manejo de números, sus operaciones, y en su aplicación a la solución de problemas; con la cual se pretende identificar los estudiantes que cursarán las asignaturas: Matemáticas I, Matemáticas I Articulación Primera Asignatura y Matemáticas I Articulación Asignatura Dos, de acuerdo con los resultados obtenidos. Es de resaltar que no se está haciendo una discriminación de los estudiantes, sino una selección de los contenidos que cursarán, dependiendo de los conocimientos básicos que tienen, atendiendo a la zona de desarrollo próximo de cada uno y lo que logren hacer y avanzar con la ayuda de otros; con lo que se pretende contribuir a disminuir la mortalidad y repitencia en dichos cursos.
Existen diversos factores que influyen en el rendimiento académico, donde varias investigaciones así lo han demostrado, pero en este caso, el enfoque está centrado en el análisis de las competencias de los estudiantes que ingresan a la Universidad Tecnológica de Pereira y su rendimiento académico en el primer semestre, el mismo se hace a partir de los resultados de la prueba diagnóstica en matemáticas.
La prueba diagnóstica en matemáticas se diseña teniendo en cuenta los cinco tipos de pensamientos de matemáticas adoptados de los estándares del Ministerio de Educación Nacional (2003); estos son:
P.1. Numérico y los sistemas numéricos: se refiere a las actividades centradas en la comprensión del uso y del significado de los números; la comprensión del sentido, significado de las operaciones y de las relaciones entre números, y el desarrollo de diferentes técnicas de cálculo y estimación.
P.2 Métrico y los sistemas métricos o de medidas: Prepresenta la comprensión general que tiene una persona sobre las magnitudes y las cantidades, su medición y el uso flexible de los sistemas de medidas en diferentes situaciones.
P.3 Variacional y los sistemas algebraicos y analíticos: están relacionados con el reconocimiento, percepción, identificación y caracterización de la variación y el cambio en diferentes contextos, así como con su descripción, modelación y representación en distintos sistemas o registros simbólicos, ya sean verbales, icónicos, gráficos o algebraicos.
P4. Espacial y los sistemas geométricos: entendido como el conjunto de procesos cognitivos mediante los cuales se construyen y se manipulan las representaciones mentales de los objetos del espacio, las relaciones entre ellos, sus transformaciones, y sus diversas traducciones o representaciones materiales.
P.5. Aleatorio y los sistemas de datos: relacionado directamente con conceptos y procedimientos de la teoría de probabilidades y de la estadística inferencial, e indirectamente en la estadística descriptiva y en la combinatoria.
II. METODOLOGÍA
La investigación fue cuantitativa de tipo descriptivo, pretendió describir los resultados de la prueba diagnóstica en matemáticas y su relación con el rendimiento académico. La misma se hizo a partir de 3 etapas:
En la etapa I, se diseñó y aplicó una prueba piloto a una muestra de estudiantes que estaban terminando el primer semestre académico en la Universidad Tecnológica de Pereira en las asignaturas Matemáticas I, Matemáticas I Articulación Primera Asignatura y Matemáticas I Articulación Asignatura Dos.
La etapa II, ajustes de la prueba piloto para diseñar e implementar la prueba diagnóstica en matemáticas a la población estudiantil que ingresó a la Universidad Tecnológica de Pereira a los programas ingeniería y tecnología en el I semestre académico de 2017.
La etapa III, se hizo análisis de la prueba de salida, la misma prueba diagnóstica en matemáticas, y su correlación entre esta nota y la nota definitiva obtenida por los estudiantes en la asignatura de matemáticas que estuvieran cursando en primer semestre.
III. Análisis Y Desarrollo
Se muestra la descripción de los resultados obtenidos en cada una de las etapas mencionadas anteriormente.
Etapa I.
Este estudio se desarrolló por etapas, inicialmente con una prueba piloto para detectar las competencias en el manejo de números y en su aplicación para la solución de problemas aritméticos, lo que permitió la construcción de la prueba diagnóstica en matemáticas.
La población inicial para la prueba piloto contó con 1271 estudiantes del II semestre de 2016 de los programas: Administración Ambiental, Ing. de Sistemas y Computación, Ing. Eléctrica, Ing. Electrónica, Ing. Mecatrónica, Ing. Física, Ing. Industrial, Ing. Mecánica, Licenciatura en Matemáticas y Física, Tecnología Eléctrica, Industrial, Mecánica y Química.
Se utilizó el muestreo aleatorio estratificado, el cual se define por Scheaffer; Mendehall y Lyman (2006) como “Una muestra obtenida mediante la separación de elementos de una población en grupos no solapados llamados estratos y la selección posterior de una muestra irrestricta aleatoria simple de cada estrato”
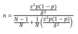
Este tamaño de muestra se obtuvo mediante la ecuación (Ec.1):
(1)Lo cual arrojó un tamaño de 142 estudiantes, y la calificación de la prueba piloto se realizó con una nota entre cero y cinco [0, 5].
El valor de p proviene de datos históricos, con una confiabilidad del 95% y un error máximo absoluto para la estimación de la proporción de 0.047.
Los estratos corresponden a las franjas horarias de los cursos de matemáticas las cuales se dividen en:
7 a 9 am
10 a 12 am
2 a 4 pm
4 a 6 pm
Jornada especial (programas de ingeniería autofinanciado en el horario nocturno)
Los resultados de esta prueba muestran que en promedio el 13% de los estudiantes encuestados identifican, reemplazan y llegan a la respuesta correcta. La nota media obtenida por los estudiantes es uno con ocho (1,8), la máxima de cuatro con cinco (4,5) y la mínima de cero (0,0). También es importante resaltar que un 68% de los estudiantes obtuvieron notas entre cero con ocho (0,8) y dos con ocho (2,8). Se observa que el 51% de los 142 encuestados no aprobó el tema 1, en el cual busca determinar la capacidad de realizar operaciones aritméticas combinadas teniendo en cuenta el uso de paréntesis, el orden en las operaciones y el manejo de los radicales.
El 63% respondió incorrectamente esta expresión

La pregunta 6 que corresponde al manejo de las fracciones se tiene que sólo un 25% respondió correctamente a este punto:

En el tema 2 (Fig.1) el propósito es establecer si el estudiante tiene claro el concepto de solución de una ecuación, para lo cual el estudiante tiene la opción de responder incorrectamente, identificar y reemplazar bien pero no llegar a la respuesta correcta y por último identificar, remplazar y llegar a la respuesta correcta, en el gráfico se observa que el 54% responde incorrectamente y solo un 12% llega a la respuesta correcta.

El tema 3.1 y 3.2 están relacionados con los objetivos del tema 2 pero incluye la solución de un sistema de ecuaciones. Los resultados obtenidos aparecen en los gráficos (Fig.2) y (Fig.3). Podemos observar en (Fig.2) tema 3.1 que sólo un 1% llega a la respuesta correcta.


El tema 4 pretende que el estudiante reconozca diversas representaciones de un número real y determine si puede leer un numero racional como una fracción un porcentaje o un decimal.
A este punto se tiene que una proporción de 0.55 con un 95% de confianza no resuelven bien la conversión de números a fracción, decimal y porcentaje.
Por último, el tema 5 (Fig.4) busca contextualizar a situaciones cotidianas, donde el estudiante plantee y resuelva problemas. En este punto observamos que el 47% de los estudiantes no identifican el modelo o lo resuelven incorrectamente.

| Resumen | Nota | |
| n | 142 | |
| Media | 1.79 | |
| D.E. | 1.01 | |
| Min | 0 | |
| Max | 4.5 | |
| Q1 | 1.1 | |
| Q3 | 2.5 | |
| Asimetría | 0.31 |
La información de esta tabla resumen (Tabla 1) indica que el 50% de los estudiantes obtuvieron notas entre uno con uno y dos con ocho [1.10, 2.8]
Es de resaltar que esta prueba piloto se hizo con estudiantes que estaban cursando asignaturas Matemáticas I, Matemáticas I Articulación Primera Asignatura y Matemáticas I Articulación Asignatura Dos, en la semana 14 de clase, (14 de 16 semanas de clase).
Esto nos lleva a las preguntas ¿será adecuada la transmisión de conocimientos para el logro de las competencias en la básica secundaria?, ¿es acorde el lenguaje utilizado con la edad de los alumnos para la asimilación y construcción del pensamiento?, ¿qué estrategias se pueden implementar para motivar al estudiante que la matemática es la base para el desarrollo del pensamiento?, ¿será que la asignatura de matemáticas de primer semestre no aporta fundamentos que permitan subsanar falencias en cuanto al manejo aritmético, sustitución y representación de un número racional?, ¿el curso de matemáticas de primer semestre aporta a la construcción del pensamiento lógico, aritmético de los estudiantes de primer semestre?, los resultados anteriores implican una reflexión tanto en la enseñanza, como en la metodología para el desarrollo de los cursos.
Los bajos desempeños de los estudiantes mostrados en los resultados de la prueba piloto llevaron a modificar la estructura del cuestionario, teniendo en cuenta estándares sólo de séptimo a noveno. Es de destacar que las preguntas de la prueba diagnóstica en matemáticas no trascienden los niveles bajos de pensamiento de acuerdo con la taxonomía de Bloom.
Etapa II.
La prueba diagnóstica en matemáticas es diseñada, revisada y respondida por un grupo de profesores del Departamento de Matemáticas quienes tienen la idoneidad académica tanto en matemáticas, como en didáctica, no sólo por su formación, sino por su amplia experiencia docente. Además, es avalada por un funcionario de la Secretaria de Educación Departamental, Licenciado en Matemáticas y Física, y quien es supervisor del área de matemáticas en el Departamento de Risaralda. Finalmente es aprobada por el Director del Departamento de Matemáticas.
Como segundo paso se desarrolló la prueba diagnóstica en matemáticas teniendo como población los estudiantes de I semestre de 2017. La población de esta prueba es de 1049 estudiantes, los cuales deben contestar un cuestionario de 25 preguntas, cinco de cada pensamiento con una calificación entre cero y cinco, [0, 5]. Las preguntas se enmarcan en los niveles bajos de pensamiento (Hipólito González, 2016, p.27):
• Conocimiento memorístico: reconocer hechos, términos, definiciones, conceptos y principios.
• Comprensión: Entender el significado del material de estudio
• Aplicación: Seleccionar un concepto o un principio y utilizarlo para resolver un problema.
Esta prueba se desarrolla en el mes de enero con la finalidad de ubicar al estudiante en uno de los tres cursos de matemáticas ofrecidos para primer semestre, anexando a los profesores quienes orientan las asignaturas las fortalezas y debilidades de los estudiantes a su cargo, con el fin de diseñar actividades extracurriculares las cuales son apoyadas por los profesores y monitores del programa acompañamiento académico con el propósito de contribuir a mejorar el aprendizaje.
Los resultados obtenidos muestran que el 67% no aprobó el examen diagnóstico y la nota promedio fue de dos comas siete (2,7). La siguiente figura (Fig.5) muestra los porcentajes de aprobación según el tipo de pensamiento.

Para el pensamiento numérico, P1, se observa un bajo nivel en las competencias de identificación y utilización de la potenciación para representar y resolver problemas. Las preguntas para este pensamiento evaluaron los estándares:
• Utilizo números reales en sus diferentes representaciones y en diversos contextos.
• Resuelvo problemas y simplifico cálculos usando propiedades y relaciones de los números reales y de las relaciones y operaciones entre ellos.
La pregunta que más bajo desempeño tuvo fue:
La expresión
es equivalente a (Fig.6):

En el pensamiento métrico, P2, las deficiencias en las competencias de selección y técnicas para medir longitudes, áreas de superficies, volúmenes con niveles de precisión apropiados.
Los estándares para este pensamiento son:
• Generalizo procedimientos de cálculo válidos para encontrar el área de regiones planas y el volumen de solidos
• Justifico la pertinencia de utilizar unidades de media estandarizadas en situaciones tomadas en distintas ciencias.
La pregunta con una deficiencia en la interpretación de las unidades fue:
A Jaimito le propusieron calcular el volumen de una roca de forma irregular. Dispone de un tanque cilíndrico, con base circular cuyo radio es 1 m. Jaimito, decide llenar el tanque hasta la mitad de la altura, como se ve en (Fig.7). Luego, introduce la roca en el tanque y el nivel del agua sube 10 cm. Después de efectuar los cálculos, deduce que el volumen de la roca es:

En el pensamiento variacional P3, existen deficiencias en la construcción de expresiones algebraicas equivalentes a una expresión algebraica dada y la simplificación de las mismas.
Los estándares para este pensamiento son:
• Construyo expresiones algebraicas equivalentes a una expresión algebraica dada.
• Uso procesos inductivos y lenguaje algebraico para formular y poner a prueba conjeturas.
• Analizo en las representaciones grafica cartesianas los comportamientos de cambio de funciones específicas pertenecientes a familias de funciones polinómicas, racionales, exponenciales y logarítmicas.
La pregunta con más bajo puntaje fue (Fig.8):

En el pensamiento espacial P4, es donde más bajo nivel se presenta en los estudiantes con un promedio de (2,1). Esta deficiencia está relacionada con el campo de la geometría.
Los estándares de este pensamiento son:
• Uso representaciones geométricas para resolver y formular problemas en la matemática y otras disciplinas.
• Aplico y justifico criterios de congruencia y semejanza entre triángulos en la resolución y formulación de problemas.
• Predigo y comparo los resultados de aplicar transformaciones rígidas (traslaciones, rotaciones, reflexiones y homotecias (ampliaciones y reducciones) sobre figuras bidimensionales en situaciones matemáticas y en el arte.
• Reconozco y contrasto propiedades y relaciones geométricas utilizadas en demostración de teoremas básicos.
La pregunta 4 es la que presenta más bajo rendimiento
En la figura (Fig.9) se muestran los rectángulos ABCD y AXYZ que son semejantes. Si |AB|=1 cm, |AX|=6 cm y |AZ|= 4 cm, entonces la medida del segmento (BC) ̅ es:

Para el pensamiento aleatorio P5, se observa una falla muy grande en las competencias de cálculo de probabilidad de eventos simples usando técnicas de conteo.
Los estándares de este pensamiento son:
• Interpreto analítica y críticamente información estadística proveniente de diversas fuentes (prensa, revista, televisión, experimentos, consultas, entrevistas).
• Interpreto y utilizo conceptos de media, mediana, dispersión y asimetría.
• Calculo probabilidad de eventos simples usando diversos métodos.
La pregunta 4 muestra las falencias indicadas anteriormente con un muy bajo puntaje:
Se quiere ordenar 7 bolas de diferentes colores en una fila. ¿De cuantas maneras diferentes se puede hacer esto, (Fig.10)?

Los bajos desempeños mostrados en la prueba diagnóstica en matemáticas llevaron a reflexionar sobre los contenidos de los cursos de matemáticas, lo que concluyó en la actualización de los mismos, haciendo énfasis no solo en los contenidos, sino en la metodología y los resultados de aprendizaje.
Etapa III
En esta etapa se utilizaron una serie de estrategias para mejorar las falencias en los estudiantes las cuales están vinculadas al Programa de Acompañamiento Académico, según la nota obtenida en la prueba diagnóstica el estudiante se clasifica en uno de los tres cursos de matemáticas a saber: Matemáticas I, Matemáticas I Articulación Primera Asignatura y Matemáticas I Articulación Asignatura Dos. Durante el semestre también cuentan con el acompañamiento de docentes y monitores previamente seleccionados ubicados en la Julita con un extenso horario para la comodidad de los estudiantes.
Finalizado el semestre se recopilaron las notas de los estudiantes que culminaron los cursos y cuyos datos fueron obtenidos de la división de Sistemas. Se utilizaron 2341 datos, de los cuales se analizó las notas de la prueba diagnóstica, asistencia al programa de acompañamiento y el rendimiento académico.
En la tabla 2 y la figura 11 se observan la cantidad de estudiantes que vieron el curso completo y los que cancelaron.
| Materia | Curso Completo | Cancelaron |
| Turismo | 96 | 47 |
| Básica Ambiental | 15 | 12 |
| Básica IA Ambiental | 79 | 7 |
| Básica IB Ambiental | 21 | 6 |
| Matemática I | 491 | 249 |
| Matemática IA | 596 | 169 |
| Matemática IB | 293 | 193 |
| Matemática IA mecatrónica | 42 | 7 |
| Matemática IB mecatrónica | 11 | 7 |
| Total | 1644 | 697 |

A continuación de los 2341 se tiene el porcentaje de participación en el acompañamiento académico

De el grafico anterior (Fig.12) se tiene que de 1061 que asistieron a monitorias 476 aprobaron la asignatura, 397 reprobaron y 182 cancelaron. El siguiente gráfico muestra el comportamiento del rendimiento académico de los estudiantes con acompañamiento y sin acompañamiento.

La Fig. 13 muestra que de 1061 estudiantes que asistieron al programa de acompañamiento académico 476 ganaron el curso, 397 perdieron y 182 cancelaron.
De 1280 estudiantes que no asistieron al programa de acompañamiento, 450 no aprobaron, 333 aprobaron y 494 cancelaron. De estos porcentajes de no asistencia, surgen algunas preguntas: ¿Por qué no asistieron al acompañamiento académico?, ¿Los docentes diseñaron actividades para que los estudiantes asistieran al programa de acompañamiento?, ¿Es la ubicación adecuada donde el programa de acompañamiento académico funciona en el campus universitario de acuerdo con el sitio de mayor concentración en las aulas? El resumen del trabajo realizado con el apoyo académico se muestra en las Tablas III y IV.
| Asistieron a las monitorias 615 | Prueba Diagnóstica | Ganó 232 (38%) | Curso de Matemáticas | Ganó | 104 (45%) | |
| Perdió | 67 (29%) | |||||
| Canceló | 61 (26%) | |||||
| Perdió 383 (62%) | Curso de Matemáticas | Ganó | 155 (41%) | |||
| Perdió | 172 (45%) | |||||
| Canceló | 56 (14%) |
| No asistieron a las monitorias 419 | Prueba Diagnóstica | Ganó 178 (42% ) | Curso de Matemáticas | Ganó | 79 (44%) |
| Perdió | 49 (28%) | ||||
| Canceló | 50 (28%) | ||||
| Perdió 241 (58%) | Curso de Matemáticas | Ganó | 53 (22%) | ||
| Perdió | 117(49%) | ||||
| Canceló | 71 (29%) |
Dentro de la práctica docente, se debe tener en cuenta la actividad interpersonal entre alumno y profesor. En este sentido, el acompañamiento académico debe buscar por medio del docente que el alumno realice el trabajo sin impedimentos en la clase, acortando la brecha generacional, creando mayor confianza con el docente para determinar las verdaderas falencias del alumno. Para esta labor se realizó una encuesta sobre la cantidad de horas consultadas con el docente las cuales se reflejan en la Tabla V.


• El gráfico (Fig.14) muestra que el 62% de los estudiantes encuestados no asistieron al programa de acompañamiento académico con el docente.
• El 7% de los estudiantes asistió más de 7 veces al acompañamiento con el docente.
En este sentido, debe tenerse en cuenta que las interacciones entre estudiantes y monitores se dan más fácil debido a la preparación psicológica que tienen para enfrentar las tareas y los exámenes en los cursos de matemáticas, ya que se sienten más cercanos en su funcionamiento mental, lenguaje oral y escrito que con un profesor. Con respecto a la cantidad de tiempo en que el estudiante aprovechó el asesoramiento con el monitor de acompañamiento académico, se tiene la Tabla VI.
| Número de consultas durante el semestre | Número de estudiantes | Porcentaje |
| 0 | 147 | 17% |
| 1 | 79 | 9% |
| de 2 a 6 | 391 | 46% |
| Mas de 7 | 228 | 27% |
| Total | 845 | 100% |

En (Fig.15) se observa que el 73% de los estudiantes asisten al acompañamiento académico en la Julita. El 17% de los estudiantes nunca ha asistido al programa de acompañamiento, el 9% asistieron con el docente 1 vez. ¿Qué estrategias se ha implementado desde el aula para que los estudiantes asistan a estos espacios de refuerzo?
IV. ANALISIS
Por medio del análisis de correlación medimos el grado de asociación entre la clasificación hecha por la prueba diagnóstica y el rendimiento académico (Fig.16).

El gráfico de dispersión entre la prueba diagnóstica y el rendimiento académico nos presenta un coeficiente de correlación de 0.024 lo cual indica una baja relación, pero positiva entre estas variables; como R2 es igual a 0.058 entonces el 5,8% es la variación en el rendimiento académico explicado por la prueba diagnóstica, mientras que el 94,2% esta explicado por otros factores.
VI. CONCLUSIONES
Los datos muestran que existe una tendencia positiva en términos de las estrategias aplicadas con el programa de apoyo académico y la prueba diagnóstica. Sin embargo, se requiere una reflexión de la planificación de las clases de matemáticas que involucran actividades extracurriculares en las que los estudiantes sigan procesos de investigación, lectura, libros de referencia y la asistencia al programa de acompañamiento académico, con lo cual se considera probable que genere cultura académica y hábitos de estudio.
Es importante seguir buscando estrategias que mejoren las probabilidades de éxito por parte de los estudiantes dado que, si bien la prueba diagnóstica no es la única solución, si tiene un aporte en este proceso, lo mismo que los refuerzos por parte de monitores y docentes.
Cabe resaltar que estas actividades son exitosas cuando el estudiante asiste por iniciativa propia con el deseo de trabajar las dificultades conceptuales como parte de la solución a su falencia.
Agradecimientos
En especial a la Vicerrectoría Académica, Vicerrectoría de Investigación, Innovación y Extensión, Facultad de Ciencia Basicas, Departamento de Matemáticas, y a los docentes cuya labor fue extraordinariamente importante para el desarrollo de este trabajo.
REFERENCIAS
[1] R. l. Scheaffer; W. Mendehall; R. Lyman. Elementos de muestreo. Madrid, España: Editorial Paraninfo Cengage Learning. ISBN 10: 8497324935. 2006.
[2] Cochran, William G. Técnicas de Muestreo. Compañía Editorial Continental. ISBN 10: 9682601517. 2000
[3] Anderson, David; Sweeney, Dennys; Williams, Thomas. Estadística para administración y economía.international thomson,2001, ISBN 10: 9687529415
[5] Codesocial. Organization of the Educational System, General Concepts of Preschool, Basic and Media Education. Educational Revolution Colombia learning, 11. 2009
[6] J.L. Devoree, Probability and statistics for engineering and science. Sexta edición, Thomson, 2006.
[7] J.H. Mayorga, Statistical Inference, Universidad Nacional de Colombia, Bogotá, D.C. Unilibros, 2003.
[8] Zacks, S. (1971), The Theory of Statistical Inference,1,Wiley, New York
Notas de autor

Doctora en Ciencias Pedagógicas, Magíster en Matemáticas, Especialista en Matemáticas aplicadas, énfasis matemática computacional, Licenciada en Matemáticas. Docente titular de la Universidad Tecnológica de Pereira. Directora del grupo de investigación “Estudios Metodológicos para la Enseñanza de la Matemática, incorporando las Tecnologías de la Información Comunicación, EMEMATIC”. Directora de la línea Didáctica de la Matemática en la Maestría en Educación de la Universidad Tecnológica de Pereira. Par académico del Ministerio de Educación Nacional. Directora del Semillero de investigación en Didáctica de la Matemática, SEDIMA.
Ha publicado artículos en revistas especializadas nacionales e internacionales, los últimos son: (1) La observación de la práctica pedagógica de estudiantes-practicantes desde las dimensiones disciplinar, ético-política y procedimental. (2) Cambios en la práctica docente en la enseñanza de las matemáticas aplicando la metodología de indagación. (3) Aprendizaje basado en problemas en didáctica de la matemática, caso: solución de ecuaciones cuadráticas por el método de aplicación de áreas, mediado por Cabri Geometre II plus. (4) Construcción y uso del concepto combinación lineal de vectores. (5) Algunas Concepciones de la Práctica Pedagógica en estudiantes practicantes de X semestre del programa Licenciatura en Matemáticas y Física de la Universidad Tecnológica de Pereira. (6) Algunas estrategias para mejorar la articulación de la educación media con la superior.
Autora de los libros: La indagación en la clase de matemáticas – investigación con base en la práctica (2018). Álgebra lineal desde un enfoque desarrollador (2015). Lecciones de Álgebra Lineal. Libro de trabajo del estudiante y guía didáctica para el docente (2010). Introducción a la programación orientada a objetos y el lenguaje Java (2004). Programando con Java – un recorrido rápido – (2000).

Magíster en Enseñanza de la Matemática, Ingeniera Industrial. Docente del Departamento de Matemáticas de la Universidad Tecnológica de Pereira.