Ciencias Ambientales
Phenol photocatalytic degradation over Fe-TiO2 materials synthesized by different methods
Phenol photocatalytic degradation over Fe-TiO2 materials synthesized by different methods
Scientia Et Technica, vol. 24, no. 3, pp. 523-531, 2019
Universidad Tecnológica de Pereira
Received: 06 December 2018
Accepted: 15 July 2019
Abstract: The photocatalytic activity and stability of 3% Fe-TiO. materials synthesized by incipient wet impregnation (% Fe-TiO.-DP25) and sol-gel (3% Fe-TiO.-sol-gel) were studied using the phenol degradation as test reaction. The effects of various operation parameters including photocatalyst concentration, solution pH and initial H.O. concentration on phenol degradation were also investigated. The higher phenol degradation was achieved using 26 mg of photocatalyst, H.O. initial concentration of 600 mg/l and initial pH of 3.0 with both materials. It was found that 3% Fe-TiO.-DP25 enhanced activity, achieving a 99% phenol degradation, in comparison with 70% phenol degradation with the 3% Fe-TiO.-sol-gel. Notwithstanding, the material prepared by incipient wet impregnation method, evidenced leaching of iron ions from the material surface. Therefore, this catalyst is not suitable for the phenol degradation for environmental and economic reasons. The catalyst prepared by the sol-gel method did not show iron leaching during the reaction and maintain its catalytic activity after several reuses.
Keywords: Fe photocatalyst, impregnation wetness incipient, photocatalytic stability, Sol-gel Method.
Resumen: Se estudió la actividad fotocatalítica y estabilidad de materiales 3% Fe/TiO. sintetizados por impregnación húmeda incipiente (3% Fe/TiO.-DP25) y sol-gel (3% Fe/TiO.-sol-gel), usando fenol como molécula modelo. Se evaluó el efecto de parámetros de operación como concentración de fotocatalizador, H.O. y pH de la solución. Los mayores porcentajes de degradación de fenol con ambos materiales se lograron utilizando 26 mg de fotocatalizador y 600 Mg/Ll de H.O. a un pH de 3.0. El mejor porcentaje de degradación de fenol (99%) se obtuvo usando el catalizador 3% Fe/TiO.-DP25, en comparación a un 70% con el material 3% Fe/TiO.-sol-gel. No obstante, el material preparado por impregnación húmeda incipiente fue inestable evidenciando lixiviación de hierro. Por lo tantio, este catalizador no es adecuado para la degradación de fenol debido a razones ambientales y económicas. El catalizador preparado por sol-gel no mostró lixiviación de hierro durante la reacción y mantuvo su actividad y estabilidad catalítica después de varios reúsos.
Palabras clave: estabilidad fotocatalítica, fotocatalizadores de hierro; impregnación húmeda incipiente, método sol-gel..
I. INTRODUCTION
DVANCED oxidation processes (AOPs) are suitable techniques in the degradation of organic pollutants since they can mineralize the pollutants completely into carbon dioxide and water. AOPs involving hydrogen peroxide, ozone and/or Fenton reagents, with or without a source of UV radiation have been used for the photo-oxidation of organic pollutants. These processes involve the generation of reactive hydroxyl free radicals that are potent enough to oxidize many organic contaminants. Moreover, such techniques are considered to be of low-cost, because the moderate temperature and pressure conditions required for complete mineralizing of pollutants in relatively short times [1]. Among those AOPs, processes using Fenton type reagent are relatively cheap and easy to operate and maintain.
Photo-Fenton techniques involve homogeneous systems widely used in the treatment of industrial wastewaters [2]. However, one of the drawbacks of the reaction is the draining of the ferrous catalyst and the hydrolysis of iron ions (limited pH range) [3, 4]. In addition, the homogeneous Fenton process requires up to 50-80 mg/L Fe in solution, which exceeds the limits set by EU directives that allow a maximum of 2 mg/L Fe in treated water to be discharged directly into the environment [5, 6]. Heterogeneous catalysis systems could solve part of these problems providing an easy separation and recovery of the catalyst from the treated wastewater, since most are noncorrosive and are environmentally friendly.
Up to date, TiO2 has been the heterogeneous photocatalyst most widely studied because of its high photocatalytic activity, photochemical stability, non-toxicity and low cost. However, the efficiency of using TiO2 is limited by its relatively large band gap energy (3.2 eV), matching to the wavelength of 370 nm where only 3-5% of solar energy can be used [7]. In addition, this material has a high degree of recombination of photogenerated species which limit the efficiency of the photocatalytic processes [8]. TiO2 doping with transition metals has been employed for solving this disadvantage [9]. In this sense, Fe3+ is widely used since it originates a localized narrow band above the valence band of titanium which makes the catalyst sensitive to visible light absorption [10]. Iron-doped TiO2 has gained attention due to the fact that Fe3+ radius (78.5 pm) is similar to that of Ti4+ (74.5 pm) resulting in easier insertion of Fe3+ into the crystal structure of TiO2 [11]. Thus, the heterogeneous photo-Fenton catalysts could solve the problem of removing Fe from the reaction system at the end of the process [12], nevertheless the iron stability on the photocatalyst will depend on the reaction conditions and/or on the catalyst synthesis method.
The sol–gel method is one of the most widely used techniques to prepare TiO2-based photocatalyst. The incorporation of metal ions (dopants) in the sol allows the ions to have direct interaction with the polycondensation of titanium alkoxide during the sol-gel process, and the lattice of TiO2 can be doped with metal ions. It presents advantages such as the use of relatively simple equipment, the possibility of using different substrates, and the ability to control the microstructure, homogeneity and density of materials [13]. On the other hand, incipient wet impregnation method is frequently used due to its simple execution and low waste streams.
In this context, in the present work it was studied the stability and activity of Fe-doped TiO2 photocatalysts prepared by incipient wet impregnation and sol-gel methods. These photocatalysts were used for the degradation of phenol as test reaction. Moreover, the effects of initial pH, H2O2 concentration, and photocatalyst concentration on the reaction system were also studied. Phenol degradation was selected as test reaction because phenol is considered to be one of the important organic pollutants discharged into the environment causing significant damage and threat to the ecosystem in water bodies and human health [14, 15]. It is moreover classified as a teratogenic and carcinogenic agent. Thus, phenol is listed in water hazard class 2 in several countries. Biodegradability is only 90% in surface waters after seven days, and the aquatic toxicity of phenol (LC50) is 12 mg/L [5, 16, 17].
II. MATERIALS AND METHODS
A. Synthesis of catalysts
The 3%Fe-TiO2-DP25 photocatalysts were synthesized by wet-impregnation method on commercial TiO2 (Degussa, P-25 powder) with the required amount of FeSO4.7H2O dissolved in water (5 mL water/g TiO2). Solids were dried at 100 °C for 1 h and calcined at 600 °C during 4 h under static air. The 3%Fe-TiO2-sol-gel photocatalysts were synthesized by sol-gel method, mixing 9.2 mL of titanium butoxide and 23 mL of butanol at room temperature. After adjusting the pH to 9 with NH4OH, 0.3 g of FeSO4.7H2O were dissolved in 11.5 mL deionized water, which was added dropwise. The gel was stirred under reflux for 23 h at 55 °C. Finally, the temperature was raised to 70 °C with constant stirring during 6 h. The solvent was removed from gels in a rotary evaporator at 70 °C for 2 h. Solids were dried and calcined as mentioned above. For comparison purposes in the catalytic tests, undoped TiO2 materials were prepared in a similar manner by omitting the FeSO4.7H2O precursor.
B. Characterization techniques
Loading of Fe in the fresh catalysts and in the catalyst after reaction was verified by Atomic Absorption Spectroscopy (AAS) (Agilent, model Spectra AA-240FS). In all cases the AAS value for fresh catalysts matched the nominal content within 3%. The crystalline phases were determined from X-ray powder diffraction patterns collected in air at room temperature with a Bruker D-8 Advance diffractometer (Bragg-Brentano q-q geometry, Cu Kα radiation, a Ni 0.5% Cu-Kβ filter in the secondary beam, and a one-dimensional position-sensitive silicon strip detector (Bruker, Lynxeye)). The diffraction intensity was measured in the 15-70° 2q range using a 0.02°/min 2q step rate. The identification of the phases was made with the help of the Joint Committee on Powder Diffraction Standards files (JCPDS), and the data was processed using Jade 6.0 software. Crystallite sizes were calculated from the line broadening of the main XRD peaks by using the Scherrer equation.
UV-vis spectra of the samples were recorded on a Varian Cary 5E UV-VIS-NIR Spectrophotometer with a Praying Mantis Diffuse Reflection Accessory. Band-gaps values were calculated from the corresponding Kubelka-Munk functions (F(R∞)), which are proportional to the absorption of radiation, by plotting (F(R∞) × hu)1/2 against hu. The surface areas of the materials were determined by the BET method from N2 isotherms measured at 75.2 K with a Quantachrome Autosorb Automated instrument. The pore diameter and volume distributions were determined using the BJH method (PD BJH and PV BJH, respectively). The point of zero charge (pzc) of the samples was determined by the method of mass titration, which involves finding the asymptotic value of the pH of an oxide/water slurry as the oxide mass content is increased. Different amounts of powders were added to water (typical values of oxide/water by weight were 20, 40, 60, 80 y 100 mg) and the resulting pH values were measured after 24 h of equilibration. The pH values of the point of zero charge (pHPZC) were estimated from potentiometric titration.
The X-ray photoelectron spectra of the samples were recorded using a SPECS® spectrometer with a PHOIBOS® 150 WAL hemispherical energy analyzer with angular resolution (< 0.5 degrees), equipped with a XR 50 X-Ray Al/Mg-x-ray and μ-FOCUS 500 X-ray monochromator (Al excitation line) sources. The binding energies (BE) were referenced to the C 1s peak (284.5 eV) to account for the charging effects. The areas of the peaks were computed after fitting of the experimental spectra to Gaussian/Lorentzian curves and removal of the background (Shirley function). Surface atomic ratios were calculated from the peak area ratios normalized by the corresponding atomic sensitivity factors.
C. Photocatalytic activity
The photocatalytic tests were performed in cylindrical glass reactors (diameter: 6.5 cm, depth: 4.5 cm) containing 200 mL of a 50 mg/L phenol solution under UV artificial irradiation by 3 hours. A cabin Centricol (with the following effective working area: width 74 cm, length 34 cm, height 35 cm) equipped with four 15 W Tecnolite fluorescent tubes with emission spectrum from 300 to 400 nm (maximum around 365 nm) as UV source in photocatalytic experiments. According to photo-catalytic phenol degradation studies available in the literature [2, 3, 6], all of the experiments were carried out at constant temperature (~ 30 °C) and a magnetic stirring speed of 260 rpm. In order to favor the adsorption-desorption equilibrium, prior to irradiation the suspension was magnetically stirred for 10 min in absence of light.
The final samples were analyzed by HPLC, using a Shimadzu Prominence CTO-20A chromatograph, which was equipped with a diode array DAD detector and a C18 reverse column (3 µm, 4.6 mm × 50 mm). The HPLC analysis was carried out using water acidified with phosphoric acid (pH 3.0)/methanol (95:5) as mobile phase, a flow rate of 0.8 mL/min and 40 °C.
Photolysis tests of phenol under UV light and in absence of photocatalyst were carried out. Under the experimental conditions used in this work, substrate photolysis was not observed in any case. In order to evaluate the effect of operative conditions during the photodegradation of phenol the photocatalytic measurements were evaluated following a three-level factorial experimental design (3x3) (Table 1) with 3%Fe-TiO2-DP25 and 3%Fe-TiO2-sol-gel photocatalysts. The factorial design and ANOVA statistical tests were carried out with Statgraphics Centurion XV (Stat Point Technologies, Inc.). In this work, the maximization of the phenol removal was selected as the optimization goal of the heterogeneous process whereas the initial pH, the amount of photocatalyst and the hydrogen peroxide concentrations were selected as independent variables. Maximun and minimum levels for the evaluated factors were selected according to literature reports regarding phenol degradation studies [2, 3, 6].
| Factors | Levels | |||
| i | j | k | ||
| α | H2O2 concentration (mg/L) | 200 | 400 | 600 |
| β | Initial pH | 3.0 | 5.0 | 7.0 |
| γ | Photocatalyst concentration (mg/L) | 32.5 | 65 | 130 |
III. RESULTS AND DISCUSSION
A. Photocatalyst characterization
Fig. 1 shows the XRD patterns of pure TiO2 (DP25 and sol-gel), 3%Fe-TiO2-DP25 and 3%Fe-TiO2-sol-gel photocatalysts. Peaks marked as ● and ◊ correspond to the anatase and rutile phases of TiO2, respectively. The rutile peak intensities decrease with the presence of Fe [5, 18, 13].
The 3%Fe-TiO2-DP25 revealed some peaks related to isolated iron-bearing phases, which correspond to hematite phase (α-Fe2O3), with diffraction peaks appearing at 2θ = 24.1, 33.1, 35.7 and 49.5. In contrast, 3%Fe-TiO2-sol-gel reveals only an extra weak peak at 2θ = 30.6°, which corresponds to the same hematite phase (α-Fe2O3).
This may due to the synthesis method, which favored that Fe2+ ions replace some of the Ti4+ ions into the TiO2 lattice, because the radii of Ti4+ and Fe2+ ions are very similar [7, 13, 19].

Peaks marked as ● and ◊ correspond to the anatase and rutile phases of TiO2, respectively.
AutorThe crystallite sizes of TiO2-DP25, TiO2-sol-gel, 3%Fe-TiO2-DP25 and 3%Fe-TiO2-sol-gel are 35.0, 26.6, 32.6 and 10.8 nm, respectively (Table 2), which is determined from the full-width at half maximum of the anatase (101) peak by the Scherrer’s formula. In comparison with the pure TiO2-DP25 and TiO2-sol-gel supports, the doped catalysts, both materials are of similar sizes.
| Property | Photocatalyst | |||
| TiO2-DP25 | TiO2-sol-gel | 3%Fe/TiO2-DP25 | 3%Fe/TiO2-sol-gel | |
| Band gap (eV) | 3.25 | 3.20 | 2.90 | 2.50 |
| Isoelectric point | 6.7 | 6.1 | 2.8 | 2.6 |
| SBET (m2/g) | 49.2 | 66.5 | 47.2 | 62.9 |
| PV BJH (cm3/g) | 1.34 | 0.91 | 0.62 | 0.26 |
| PD BJH (nm) | 5.7 | 7.8 | 3.9 | 6.5 |
| Crystallite size (nm) | 35.0 | 26.6 | 32.6 | 10.8 |
The textural properties of all materials are also shown in Table 2. Porosity parameters are also slightly affected by the presence of iron ions incorporated into the TiO2 lattice. The decrease in surface area after doping may be caused by a decrease in the regularity of the mesoporous structure of TiO2. However, whether the activity of a photocatalyst can be directly related to the catalyst surface area is still a debating issue since photocatalytic reactions are believed to proceed only on the illuminated surface. Therefore, between the prepared materials the separation efficiency of photo-generated hole/electron pairs could become one of the main factors to control the photocatalytic activity [11].
Thus, the band gap energies calculated by lineal regression of the plot (F(R∞) × hu)1/2 against hu (Table 2) show that the band gap energy of the 3%Fe-TiO2-DP25 and 3%Fe-TiO2-sol-gel are lower than the obtained for both undoped materials, which may be one of the reasons of the improvement in the photocatalytic activity. The isoelectric point of all materials are shown in Table 2. Presence of Fe ions in titania crystal lattice caused shifts in isoelectric point, this can be attributed to different phenomena as changes in cation coordination, structural charge, ion exchange capacity, among others.

UV-vis results are shown in Fig. 2. The wide absorption band between 200 and 400 nm is due to the electron transitions of the valence band to the conduction band of pure TiO2 (DP25 and sol-gel). When compared UV spectra of undoped materials with 3%Fe-TiO2-DP25 and 3%Fe-TiO2-sol-gel, differences are observed in this band. This is attributed to the charge transfer transition between the d-electrons of Fe and the conduction band of the TiO2, which indicates that Fe is present as a substitutional dopant inside the TiO2 particles, decreasing the electromagnetic radiation required for its excitation [13]. The improvement of the absorption in the visible light region (400-600 nm) for the Fe-doped TiO2 photocatalysts compared to that of the undoped TiO2, indicates their potential to absorb visible light and improve photocatalytic activities under visible light illumination [13, 19, 20].
The Fe 2p and Ti 2p core-level spectra of TiO2 sol-gel and 3%Fe-TiO2-sol-gel are shown in Fig. 3 and Fig. 4, respectively. Furthermore, the binding energy (BE) values of the Ti 2p3/2, Fe 2p3/2 core levels and surface Fe/Ti atomic ratio are summarized in Table 3.
| Sample | Ti 2p3/2 | Fe2p3/2 | Fe/Ti atomic |
| 3%Fe-TiO2-DP25 | 458.4 | 710.8 (74%) 709.1 (26%) | 0.0115 |
| 3%Fe-TiO2-sol-gel | 458.4 (81%) 459.7 (19%) | 710.4 | 0.0052 |
All samples showed an intensive Ti 2p3/2 peak at 458.4 eV, and it is associated with the presence of Ti4+ ions [21]. An additional Ti 2p3/2 peak at 459.7 eV was observed in the TiO2-sol-gel and 3%Fe-TiO2-sol-gel photocatalysts, which corresponds to tetrahedrally coordinated titanium, this is typically observed in titanium oxides synthesized by sol-gel method [22, 23].

For the case of the materials prepared by sol-gel method, the Ti 2p3/2 energy band of the Fe-doped photocatalyst shift to a lower binding energy compared with TiO2-sol-gel, indicating a higher electron density of the Ti atoms in the %Fe-TiO2-sol-gel photocatalyst. This is because the electrons of Fe3+ transfer toTi4+, which results in the increasing in the outer electron cloud densities of Ti ions and lower the binding energies of the Fe-doped photocatalyst [23].
The deconvolution of the Fe peak show that the Fe 2p3/2 and Fe 2p1/2 presents two main peaks: Fe2+ at 710.8 eV and Fe3+ at 718.1 together with their satellites [23].
The 3%Fe/TiO2-DP25 photocatalyst showed a BE for Fe 2p3/2 peak at 710.8 eV, this signal is characteristic of Fe3+ species. In the 3%Fe/TiO2-sol-gel sample the BE position of this band showed a lower BE value (710.4 eV). This displacement could indicate that occurs some enrichment in the electronic environmental of the surface iron cations [24, 25]. It can be assumed that strong interactions between Ti and Fe ions occurs since the Fe and Ti oxides were synthesized simultaneously by sol-gel method, which favored that Fe3+ ions substitute Ti4+ ions in the TiO2 lattice, as observed in DRS-UV-vis results.

Then, it is expected that a transfer transition from conduction band of the TiO2 toward the d-electrons of Fe occurs. Additionally, in the 3%Fe/TiO2-DP25 catalyst a minor BE signal was observed at 709.1 eV, which is characteristic to the presence of Fe2+ species. The presence of this signal could be related whit the presence of bigger α-Fe2O3 particles. The surface Fe/Ti atomic ratio has resulted 2.2 times higher in the 3%Fe/TiO2-DP25 catalyst in comparison with Fe catalyst synthesized by sol-gel method, this result reveals an important degree of surface segregation of the iron in consistency with the presence of the band at 535 nm in the UV-vis spectra. Thus it can be assumed that in the 3%Fe/TiO2-sol-gel sample, some fraction of Fe ions are located into of Ti oxide framework.
B. Photocatalytic performance
Prior to the photocatalytic degradation experiments, photodegradation of phenol on the pure TiO2-DP25 and TiO2-sol-gel was investigated. The results showed a low phenol photodegradation for both the TiO2-DP25 (15% removal) and TiO2-sol-gel (28% removal) after 3 hours of UV irradiation. The phenol degradation was only 26% and 35% for the TiO2-DP25 and TiO2-sol-gel, respectively when 200 mg/L of H2O2 was added at initial pH of 3.0, which is higher than that in the presence of either pure TiO2-DP25 or TiO2-sol-gel.
ANOVA results during photocatalytic process for the 3%Fe-TiO2-DP25 and 3%Fe-TiO2-sol-gel photocatalysts are presented in Table 4. ANOVA table decomposes the variability of the percentage degradation of phenol into contributions due to studied factors. With both materials the complete P-values are lower than 0.05, which means that the studied factors have a statistically significant effect on percentage degradation of phenol at the 95.0% confidence level.
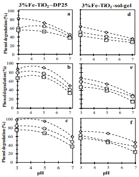
The dosage of photocatalyst is an important parameter in degradation processes. In this study, different concentrations of photocatalysts were tested. The Fig. 5 shows the degradation results of phenol at different pH and initial H2O2 concentration with several dosages for 3%Fe-TiO2-DP25 and 3%Fe-TiO2-sol-gel photocatalysts, in all cases within 3 hours of UV irradiation.
| Source | DF | SS | MS | F | P |
| 3%Fe-TiO2-DP25 | |||||
| a:H2O2 initial | 2 | 6563.8 | 3281.9 | 1304.3 | 0.0000 |
| b: initial pH | 2 | 857.38 | 428.69 | 170.37 | 0.0000 |
| g:Catalyst(mg) | 2 | 2730.4 | 1365.2 | 542.54 | 0.0000 |
| gb | 4 | 450.39 | 112.60 | 44.750 | 0.0000 |
| ga | 4 | 633.01 | 158.25 | 6.2900 | 0.0010 |
| bg | 4 | 650.38 | 162.60 | 6.4600 | 0.0009 |
| gba | 8 | 120.24 | 150.30 | 5.9700 | 0.0002 |
| Residual Error | 27 | 67.940 | 25.163 | ||
| Total (Corrected) | 53 | 10918 | |||
| 3%Fe-TiO2-sol-gel | |||||
| a:H2O2 initial | 2 | 1854.4 | 927.18 | 590.98 | 0.0000 |
| b: initial pH | 2 | 3939.3 | 1969.6 | 1255.4 | 0.0000 |
| g:Catalyst(mg) | 2 | 12445 | 6222.6 | 3966.3 | 0.0000 |
| gb | 4 | 656.56 | 164.14 | 10.460 | 0.0000 |
| ga | 4 | 517.13 | 129.28 | 82.400 | 0.0000 |
| bg | 4 | 145.72 | 364.29 | 23.220 | 0.0000 |
| gba | 8 | 165.49 | 206.86 | 13.190 | 0.0000 |
| Residual Error | 27 | 42.360 | 156.89 | ||
| Total (Corrected) | 53 | 19175 | |||
DF: degree of freedom, SS: Sequential sum of square, MS : Mean squared
AutorFor both materials, the results show that when photocatalyst concentration increases from 32.5 to 65 mg/L, phenol degradation slightly increases; however, further increase in photocatalyst concentration to 130 mg/L results in a significant increase in phenol degradation. The same tendency was observed for the different pH values evaluated. For the case of H2O2, phenol degradation increased with the increase in its concentration. Moreover, the photocatalysis show no significant differences at pH 3.0 and pH 5.0, but it decreased when the pH was 7.0, which could be attributed to the formation of non-active, poorly soluble iron species at pH = 7.0.
The best operation conditions found for the phenol degradation over 3%Fe-TiO2-DP25 (99%) and 3%Fe-TiO2-sol-gel (70%) were the same (H2O2 concentration of 600 mg/L and initial pH of 3.0). The higher photoactivity of 3%Fe-TiO2-DP25 in comparison with 3%Fe-TiO2-sol-gel would be explained by Fe3+ ions leached from the iron oxide-impregnated samples, which act as a homogeneous photocatalytic system for the phenol photodegradation. This phenomenon suggests the possibility that species originated from iron lixiviates can participate in the reaction mechanism [23]. Nevertheless, it is difficult to differentiate between homogeneous and heterogeneous photocatalytic effects.

(a and d are 32.5 mg/L, b and e are 65 mg/L and c and f are 130 mg/L), different solution pH and different initial H2O2 (à 600 mg/L, o 400 mg/L and ð 200 mg/L) over both 3%Fe-TiO2-sol-gel and 3%Fe-TiO2-DP25 materials.
AutorIt is well known that the complete mineralization of phenol occurs through the formation of several reaction intermediates, such as p-benzoquinone (yellow color), o-benzoquinone (red color), and hydroquinone (color-less) and/or maleic and other carboxylic acids, some of them being even more toxic than phenol itself, and the mixed solution of all intermediate compounds revealed a brown color [5, 23]. The final reaction solutions used with 3%Fe-TiO2-DP25 photocatalyst showed a certain brownish color, which is in agreement with the observations performed [23], and may point to the presence of p-benzoquinone and/or o-benzoquinone intermediates. However, this may also be due to the species originated from iron lixiviates. Therefore, the mineralization of phenol was thus evaluated through total organic carbon (TOC) measurements. The results evidence that phenol was not fully mineralized over 3%Fe-TiO2-DP25, while almost 100% TOC, total mineralization of phenol was obtained after 3 hours of photodegradation in the presence of the 3%Fe-TiO2-sol-gel (Fig. 6).
C. Photocatalyst stability
In order to determine the stability of the photocatalysts, the 3%Fe-TiO2-DP25 and the 3%Fe-TiO2-sol-gel materials were reused after recovering from the reaction system by simple filtering and water rinsing. When the 3%Fe-TiO2-DP25 was reused by first time, there was a significant decrease in percentage of phenol removal; it decreased from 99% to 55% after 3 h of UV irradiation. In addition, when the same material was reused by second time, the percentage of phenol degradation decreased slightly up to 45%, but then it was stabilized. Moreover, XRD characterization of 3%Fe-TiO2-DP25 after reaction showed the intensities of α-Fe2O3 diffraction peaks were decreased. In addition, AAS analysis of the reaction media showed that about 19.4% of Fe leached to the reaction solution (Table 5). These results suggest that the underlying deactivation mechanism involves the dissolution of some of α-Fe2O3 nanoparticles. On the other hand, the variation in phenol degradation during the first and second reuses appears to be caused by the initial loss of Fe from the fresh photocatalyst to the reaction solution. However, leaching of Fe decreased during further uses until Fe in the photocatalyst reached a stable residual level closer to 2.2 wt %. The fact that Fe was lixiviated from the photocatalysts is a proof that the photodegradation occurs on the surface of the semiconductor and that it is also catalyzed by dissolved Fe cations (Photo-Fenton process).

When the 3%Fe-TiO2-sol-gel photocatalyst was reused once, the activity decreased slightly (from 70% to 68%), and then it remained approximately constant during further reuses. This material did not exhibit Fe leaching during the phenol photodegradation.
| Photocatalyst | Fe load wt % | Fe leaching % | |||||
| Fresh | Used once | Used twice | Used once | Used twice | |||
| 3%Fe-TiO2-DP25 | 3.1 | 2.5 | 2.2 | 19.4 | 12 | ||
| 3%Fe-TiO2-sol-gel | 2.8 | 2.8 | 2.8 | 0.0 | 0.0 | ||
IV. CONCLUSIONS
It was shown that 3%Fe-TiO2-sol-gel prepared by sol-gel method, exhibited higher performance photocatalytic than 3%Fe-TiO2-DP25 synthesized by incipient wet impregnation method and supports TiO2. Moreover, the 3%Fe-TiO2-sol-gel photocatalyst exhibited better stability than 3%Fe-TiO2-DP25. The stability of the 3%Fe-TiO2-DP25 photocatalyst by recycled experiments revealed that the percentage degradation of phenol in the second cycle, is around 45%. The activity for the 3%Fe-TiO2-sol-gel showed a slight decrease with the recycling times (68%); thus, the 3%Fe-TiO2-sol-gel material prepared by sol-gel method has good stability in performance reaction.
Acknowledgment
This research was made possible by the financial support of Politécnico Colombiano Jaime Isaza Cadavid, Colombia.
References
[1] A. M. Abdullah, N. J. Al-Thani, K. Tawbi,. and H. Al-kandari, “Carbon/nitrogen-doped TiO2: New synthesis route, characterization and application for phenol degradation,” Arab. J. Chem, vol. 9, No. 2, pp. 229–237, 2016, DOI: 10.1016/j.arabjc.2015.04.027.
[2] M. Dopar, H. Kusic, and N. Koprivanac, “Treatment of simulated industrial wastewater by photo-Fenton process. Part I: The optimization of process parameters using design of experiments (DOE),” Chem Eng J., vol. 173, No. 2, pp. 267–279, DOI: 2011, 10.1016/j.cej.2010.09.070.
[3] Y. H. Huang, Y. J. Huang, H. C. Tsai, and H. T. Chen, “Degradation of phenol using low concentration of ferric ions by the photo-Fenton process,” J Taiwan Inst Chem Eng., vol. 41, No. 6, pp. 699–704, 2010, DOI: 10.1016/j.jtice.2010.01.012.
[4] S. Q. Liu, L. R. Feng, N. Xu, Z. G. Chen, and X. M. Wang, “Magnetic nickel ferrite as a heterogeneous photo-Fenton catalyst for the degradation of rhodamine B in the presence of oxalic acid,” Chem Eng J., vol. 203, pp. 432–439, 2012, DOI: 10.1016/j.cej.2012.07.071.
[5] H. B. Hadjltaief, P. Da Costa, P. Beaunier, M. E. Gálvez, and B. M. Zina, “Fe-clay-plate as a heterogeneous catalyst in photo-Fenton oxidation of phenol as probe molecule for water treatment,” Appl Clay Sci., Vol. 91–92, pp. 46–54, 2014, DOI: 10.1016/j.clay.2014.01.020.
[6] C. E. Diaz-Uribe, L. Vallejo and J. Miranda, “Photo-Fenton oxidation of phenol with Fe(III)-tetra-4-carboxyphenylporphyrin/SiO2 assisted with visible light,” J. Photochem. Photobiol., A. Vol. 294, pp. 75–80, 2014, DOI: 10.1016/j.jphotochem.2014.08.004.
[7] Z. Mesgari, M. Gharagozlou, A. Khosravi, and K. Gharanjig, “Spectrophotometric studies of visible light induced photocatalytic degradation of methyl orange using phthalocyanine-modified Fe-doped TiO2 nanocrystals,” Spectrochim Acta A Mol Biomol Spectrosc, Vol. 92, pp. 148–153, 2012, DOI: 10.1016/j.saa.2012.02.055.
[8] S. Ivanova, A. Penkova, M. Hidalgo, J. A. Navío, F. Romero-Sarria, M. A. Centeno, and J. A. Odriozola, “Synthesis and application of layered titanates in the photocatalytic degradation of phenol,” Appl Catal B., Vol. 163, pp. 23–29, 2015, DOI: 10.1016/j.apcatb.2014.07.048.
[9] A. Di-Paola, E. García-López, G. Marcì, C. Martín, L. Palmisano, V. Rives, and A. M. Venezia, “Surface characterisation of metal ions loaded TiO2 photocatalysts: Structure-activity relationship,” Appl Catal B., Vol. 48, No. 3, pp. 223–233, 2004, DOI: 10.1016/j.apcatb.2003.10.015.
[10] B. N. Shi, J. F. Wan, C. T. Liu, X. J. Yu, and F. W. Ma, “Synthesis of CoFe2O4/MCM-41/TiO2 composite microspheres and its performance in degradation of phenol,” Mat Sci Semicon Proc., Vol. 37, pp. 241–249, 2015, DOI: 10.1016/j.mssp.2015.03.048.
[11] C. Yu, Q. Fan, Y. Xie, J. Chen, Q. Shu, and J. C. Yu, “Sonochemical fabrication of novel square-shaped F doped TiO2 nanocrystals with enhanced performance in photocatalytic degradation of phenol,” J Hazard Mater., Vol. 237–238, pp. 38–45, 2012, DOI: 10.1016/j.jhazmat.2012.07.072.
[12] M. Minella, G. Marchetti, E. De Laurentiis, M. Malandrino, V. Maurino, C. Minero, D.Vione, and K. Hanna, “Photo-Fenton oxidation of phenol with magnetite as iron source,” Appl Catal B., Vol. 154–155, pp. 102–109, 2014, DOI: 10.1016/j.apcatb.2014.02.006.
[13] D. V. Wellia, Q. C. Xu, M. A. Sk, K. H. Lim, T. M. Lim, and T. T. Tan, “Experimental and theoretical studies of Fe-doped TiO2 films prepared by peroxo sol-gel method,”. Appl Catal A. Vol. 401, No. 1–2, pp. 98–105, 2011, DOI: 10.1016/j.apcata.2011.05.003.
[14] X. Feng, H. Guo, K. Patel, H. Zhou, and X. Lou, “High performance, recoverable Fe.O.ZnO nanoparticles for enhanced photocatalytic degradation of phenol,” Chem Eng J., Vol. 244, pp. 327–334, 2014, DOI: 10.1016/j.cej.2014.01.075.
[15] H. Ling, K. Kim, Z. Liu, J. Shi, X. Zhu, and J. Huang, “Photocatalytic degradation of phenol in water on as-prepared and surface modified TiO. nanoparticles,” Catal Today, Vol. 258, pp. 96–102, 2015, DOI: 10.1016/j.cattod.2015.03.048.
[16] S. Sohrabi, and F. Akhlaghian, “Modeling and optimization of phenol degradation over copper-doped titanium dioxide photocatalyst using response surface methodology,” Process Saf Environ., Vol. 99, pp. 120–128, 2016, DOI: 10.1016/j.psep.2015.10.016.
[17] Y. Zhang, R. Selvaraj, M. Sillanpää, Y. Kim, and C. W. Tai, “The influence of operating parameters on heterogeneous photocatalytic mineralization of phenol over BiPO.,” Chem Eng J., Vol. 245, pp. 117–123, 2014, DOI: 10.1016/j.cej.2014.02.028.
[18] R. L. Narayana, M. Matheswaran, A. A. Aziz, and P. Saravanan, “Photocatalytic decolourization of basic green dye by pure and Fe, Co doped TiO. under daylight illumination,” Desalination. Vol. 269, No. 1–3, pp. 249–253, 2011, DOI: 10.1016/j.desal.2010.11.007.
[19] Y. Liu, J. H. Wei, R. Xiong, C. X. Pan, and J. Shi, “Enhanced visible light photocatalytic properties of Fe-doped TiO. nanorod clusters and monodispersed nanoparticles,” Appl Surf Sci., Vol. 257, pp. 8121–8126, 2011, DOI: 10.1016/j.apsusc.2011.04.121.
[20] B. Babić, J. Gulicovski, Z. Dohčević-Mitrović, D. Bučevac, M. Prekajski, J. Zagorac, and B. Matović, “Synthesis and characterization of Fe3+ doped titanium dioxide nanopowders,” Ceram. Int., Vol. 38, No. 1, pp. 635–640, 2012, DOI: 10.1016/j.ceramint.2011.07.053.
[21] A. Montesinos-Castellanos, and T. A. Zepeda, “High hydrogenation performance of the mesoporous NiMo/Al(Ti, Zr)-HMS catalysts,” Micropor. Mesopor. Mat., Vol. 113, No. 1–3, pp. 146–162, 2008, DOI: 10.1016/j.micromeso.2007.11.012.
[22] M. C. Capel-Sanchez, J. M. Campos-Martin, J. L Fierro, M. P. de Frutos, and A. P. Polo, “Effective alkene epoxidation with dilute hydrogen peroxide on amorphous silica-supported titanium catalysts,” Chem. Commun. Vol.10, pp. 855–856, 2000, DOI: 10.1039/B000929F.
[23] M. Crisan, D. Mardare, A. Ianculescu, N. Dragan, I. Nitoi, D. Crisan, M. Voicescu, L. Todan, P. Oancea, C. Adomnitei, M. Dobromir, M. Gabrosvska and B. Vasile, “Iron doped TiO. films and their photoactivity in nitrobenzene removal from water,” Appl. Surf. Sci. Vol. 455, pp. 201–215, 2018, DOI: 10.1016/j.apsusc.2018.05.124.
[24] C. Adán, A. Bahamonde, I. Oller, S. Malato, and A. Martínez-Arias, “Influence of iron leaching and oxidizing agent employed on solar photodegradation of phenol over nanostructured iron-doped titania catalysts,” App Catal B. Vol. 144, pp. 269–276, 2014, DOI: 10.1016/j.apcatb.2013.07.027.
[25] Q. Wu, C. Yang, and R. Krol, “A dopant-mediated recombination mechanism in Fe-doped TiO. nanoparticles for the photocatalytic decomposition of nitric oxide,” Catal Today, Vol. 225, pp. 96–101, 2014, DOI: 10.1016/j.cattod.2013.09.026.
Author notes

was born in Itagüi Antioquia, in the year of 1996, she finished her basic studies in 2013, received her title of Technologist in Industrial Chemistry and Laboratory in 2019 at the Politécnico Colombiano Jaime Isaza Cadavid.
https://scienti.colciencias.gov.co/cvlac/visualizador/generarCurriculoCv.do?cod_rh=0000060782

Engineer in Energy from Universidad Autónoma Metropilitana (UAM - Iztapalapa), 2012. M.Sc. in Chemical Engineering from the same university, 2015. His research involves the synthesis and catalytic characterization of mono and bimetallic catalysts on basic supports suitable for biomass conversion. He has substantial experience in the field of environmental bioremediation. He has numerous national and international journal publications and has participated in some national and international conferences. Erasmo is Researcher Professor from Politécnico Colombiano Jaime Isaza Cadavid.
https://scienti.colciencias.gov.co/cvlac/visualizador/generarCurriculoCv.do?cod_rh=0000060915

was born in Medellín in 1994. She is a Technologist in Industrial and Laboratory Chemistry of the Politecnico Jaime Isaza Cadavid (2015), also an Environmental Engineering student at the University of Antioquia (2015-Present). Since 2016 she works as an analyst at the Environmental Laboratory of Water Resource Management (LAGREH), of the Politecnico Jaime Isaza Cadavid, she is also an active member of the CAMER research group - Environmental Catalysis and Energy Renewable. Among the activities she works as an analyst is the establishment and implementation of the quality management system and standardization and verification of methods for water analysis in the LAGREH laboratory.
http://scienti.colciencias.gov.co:8081/cvlac/visualizador/generarCurriculoCv.do?cod_rh=0001513117

was born in Mexico City in 1977. He is Chemical engineer graduated from the Universidad Autonoma Metropolitana-Iztapalapa (2004). Master in chemical sciences (2006) and PhD Chemistry 82012) in the same university. Since 2009 he has been a professor (currently in the ranks: Associate B) of the Department of Integral and Institutional Academic Training of Unidad Profesional Interdisciplinaria de Ingeniería Campus Guanajuato - Instituto Politécnico Nacional. In teaching, the performance focuses on the areas of Transport phenomena, Fluid - Fluid Bioseparations, Bioseprations Laboratory at an undergraduate level. In research the areas of interest focus on bioremediation using agroindustrial waste, biocatalysis using immobilized enzymes, obtaining biomaterials for the use of new excipients for medications and for bone regeneration. He has authored numerous scientific publications in indexed journals and since 2016 he is a member of the national system of researchers (SNI) of CONACYT

was born in Michoacán, Mexico in 1979. He is a Chemical Engineer, from the University of Colima. He completed his master's and doctoral studies in Chemical Engineering at the Faculty of Chemistry of the Autonomous University of Mexico, has made research stays in several national and international prestige laboratories. Since 2010, he joined the Center for Nanosciences and Nanotechnology at UNAM-Ensenada, where he is currently a senior researcher "B". His research work focuses on the study of nanocatalysts for obtaining of ultra-clean fuels. Within this research line: it has contributed to the production of ultra-low sulfur diesel and gasoline, both in basic science studies and in technological developments. In parallel, it studies and develops catalysts for the synthesis of light synthetic hydrocarbons (C1-C4 fraction) and of medium molecular weight (gasolines type fraction C5-C9) via Fischer Tropsch process. Additionally it contributes in obtaining hydrogen via reforming of light hydrocarbons and via water-gas shift reaction.
https://www.cnyn.unam.mx/index.php?option=com_perfil&view=perfil&Itemid=56&uid=138&lang=en

was born in 1984 in Pereira. She studied Chemistry Technology at Universidad Tecnológica de Pereira (2005), Chemistry at Universidad de Antioquia (2009) and Ph.D in Chemistry Sciences (2014) at the same University. Since 2018 she is working as Professor at Chemistry Department of Sciences Faculty at Universidad Nacional de Colombia Sede Bogotá and researcher in Solid State and Environmental Catalysis group. Her teaching areas are focused on Analytical Chemistry, specially treating instrumental analysis. Her research is focused on heterogeneous catalysis. She aims to gain an elemental understanding of active sites on the surface of catalysts to explain the behavior of chemical reactions and to develop new catalysts.
http://scienti.colciencias.gov.co:8081/cvlac/visualizador/generarCurriculoCv.do?cod_rh=0000974048

was born in Medellín in 1974. He is a chemical engineer graduated from the University of Antioquia (2003). Master in chemical sciences (2007) and Doctor in engineering (2010) from the same University. Since 2012 he has been a professor (currently in the ranks: associate) of the Department of Chemical Engineering of the Faculty of Engineering of the University of Antioquia and since 2014 he is also coordinator of the CERES Research Group - Agroindustry & Engineering. In teaching (both undergraduate and graduate), he focuses on the areas of chemical reaction engineering, numerical methods in applied mathematics and process simulation, . In research the areas of interest focus on modeling, simulation and process optimization; agroindustrial processes; extraction and valuation of natural products; thermochemical biorefineries, catalysis and kinetics of chemical reactions. He has authored several university text-books, numerous scientific publications in indexed journals and simulation software.
http://scienti.colciencias.gov.co:8081/cvlac/visualizador/generarCurriculoCv.do?cod_rh=0000147729

is PhD in Chemical Engineering from Universidad Autónoma Metropilitana (UAM - Iztapalapa), 2017. M.Sc. in Chemistry Sciences from Universidad de Antioquia, 2008. Specialist in Science Education with Emphasis in Mathematics and Physics, Universidad Pontificia Bolivariana, 2004. Specialist in Water Management, Universidad de Antioquia, 2010. Her research involves the synthesis and catalytic characterization of mono and bimetallic catalysts on basic supports suitable for biomass conversion. Her scientific interests are in the areas of nanotechnology and material science, biomass conversion, catalysis and photocatalysis. She has substantial experience in the field of analytical techniques, including analysis methods and equipment. She has received different awards and scholarships. She has also been awarded with different academic honors and prizes. She has numerous national and international journal publications and has participated in many national and international conferences. Alba is Researcher and Associate Professor at Politécnico Colombiano Jaime Isaza Cadavid.
http://scienti.colciencias.gov.co:8081/cvlac/visualizador/generarCurriculoCv.do?cod_rh=0000469815