Resumen: La fabricación aditiva de fusión de haz de electrones o EMB, es una técnica usada para fabricar piezas fundiendo polvo metálico capa por capa con un haz de electrones en condiciones de alto vacío, generando así una impresión en 3D que permite obtener configuraciones complejas muy difíciles de obtener con métodos convencionales de fabricación. En esta investigación se estudia la caracterización a la fatiga a bajos ciclos para muestras de aleación Ti-6Al-4V obtenida por EBM y su extensión a la fatiga de altos ciclos. Se utilizan probetas cilíndricas mecanizadas bajo la norma ASTM E8, luego estas fueron sometidas a ensayos de tracción, en una maquina universal MTS Bionix®. Los resultados permitieron establecer las condiciones estáticas: esfuerzo de fluencia de 1023 MPa, y un esfuerzo máximo de 1143 MPa, a su vez una deformación unitaria máxima del 13%. Los ensayos de fatiga fueron realizados a aproximadamente una relación de inversión de carga R=-1 bajo desplazamiento controlado. El rango de ciclos a la ruptura se llevó hasta 13335 ciclos. Estos resultados se graficaron bajo la curva deformación unitaria vs número de ciclos a la falla (Ɛ -N.) usando dos versiones de la regla de Coffin-Manson. Estas dos reglas son reglas para aleaciones de Ti y Al y una de estas es exclusiva para aleaciones Ti-6Al-4V impresas por manufactura aditiva. Finalmente, datos de fatiga a altos ciclos, para la misma aleación y fabricada bajo el mismo proceso, se juntan con datos de esta investigación para ajustarlos a una regla tipo modelo de Manson-Coffin-Basquin, la cual arrojó como resultado ε.= 0.0364N -0.148.
Palabras clave:FatigaFatiga,fusión de haz de electronesfusión de haz de electrones,iniciación de grietasiniciación de grietas,manufactura aditivamanufactura aditiva,Ti-6Al-4VTi-6Al-4V.
Abstract: Electron beam fusion (EMB) is an Additive manufacturing (AM) technique used to produce parts by melting metal powder layer by layer with an electron beam under high vacuum conditions, thus generating a 3D topology that allows complex configurations that are very difficult to obtain with conventional manufacturing methods. This paper describes the low cycle fatigue behavior for samples of Ti-6Al-4V alloy obtained by EBM and its extension to high cycle fatigue. Cylindrical specimens machined under the ASTM E8 were used, then they were subjected to tensile tests, on a universal MTS Bionix® machine. The results allowed to establish the static conditions: yield stress of 1023 MPa, and a maximum stress of 1143 MPa, as well as a maximum strain of 13%. Fatigue tests were performed at approximately a load inversion ratio R = -1 under controlled displacement. The range of cycles to breakdown was up to 13335 cycles. These results were plotted in a strain vs. number of cycles to failure (Ɛ -Nf) curve using two versions of the Coffin-Manson rule. The two rules are rules for Ti and Al alloys and one of these is exclusive for Ti-6Al-4V alloys printed by AM. Finally, high cycle fatigue data for the same alloy and manufactured by EBM were appended to data from this research seeking an adjustment to a Manson-Coffin-Basquin model-type-of rule, which resulted in ε.= 0.0364N -0.148.
Keywords: Additive manufacturing, crack initiation, electron beam fusion, Fatigue, Ti-6Al-4V.
Mecánica
Estudio de fatiga a bajos ciclos de la aleación Ti-6Al-4V obtenida por fusión de haz de electrones y su extensión a altos ciclos
Ti6-Al4-V alloy low cycle fatigue study printed by electron beam melting and its extension to high cycles
Recepción: 21 Octubre 2020
Aprobación: 26 Septiembre 2021
LA fabricación aditiva (AM) ha comenzado una revolución en manufactura al permitir la fabricación de piezas con geometrías muy complejas sin necesidad de posprocesamiento. Una de las técnicas de AM para metales es la fusión por haz de electrones (EBM). Esta técnica utiliza un haz de electrones para fundir selectivamente un lecho de polvo metálico a partir de un modelo de diseño asistido por computador CAD [1-3]. Se estima un mercado de U$130 mil millones para el año 2024 [4].
La AM se caracteriza por su capacidad de trabajar diferentes materiales y permitir la construcción de geometrías complejas. La AM podría unir la optimización topológica y el producto final al entregar geometrías finales sin requerir procesamiento posterior [5]. Más aún, los costos de impresión son prácticamente los mismos tanto para una como para miles de piezas [6]. Finalmente, al ser una tecnología tan reciente, la AM es una técnica en constante desarrollo [4], y hay esfuerzos para integrarla efectivamente en las cadenas de fabricación [7].
Una aleación de uso común en EBM es Ti-6Al-4V [3], [8]. El Ti ha sido calificado como un material liviano y con alta biocompatibilidad. Por lo tanto, se usa en aplicaciones en bioingeniería, como prótesis e implantes dentales, además de la industria naval, aeroespacial y automotriz. Dichas aplicaciones implican tensiones fluctuantes. Por lo tanto, los materiales usados para fabricación por EBM deben caracterizarse por fatiga, la cual produce que nucleación de micro-fracturas que al propagarse en el tiempo, generan fallas catastróficas [9]
Hay trabajos previos que apuntan a comprender el comportamiento de fatiga Ti-6Al-4V producido por AM. Chastand y col. [10] descubrieron que la anisotropía no es relevante después de 6000 ciclos, con excepción de cargas aplicadas en un eje paralelo al haz de electrones; esto es para los procesos de fabricación de fusión selectiva por láser (SLM) y EBM. Agius y col. [11] probaron SLM en fatiga y compararon los resultados con datos de la misma aleación pero forjada. Bourell y col. [12] revisaron los resultados de varias técnicas de AM concluyendo que las superficies procesadas reducen la vida de fatiga porque evitan concentradores de esfuerzos que aceleran la nucleación y el crecimiento de grietas. Además, [13]–[16] han publicado datos de fatiga para Ti-6Al-4V impresos por EBM pero solo para ciclos altos o para diferentes factores de inversión de carga. Adicionalmente, Sterling y col. [17] presentan datos de fatiga a bajos ciclos pero para una aleación fabricada por conformación por láser (Laser Engineered Net Shaping, LENS). No se evidenciaron estudios de fatiga a bajos ciclos para Ti-6Al-4V fabricado por EBM.
Este trabajo presenta la caracterización a fatiga por el método deformación vida (Ɛ –N, como se detalla en el literal B) de una aleación Ti-6Al-4V y su extensión a altos ciclos fabricada por la novedosa técnica EBM.
En EBM, el haz de electrones se genera dentro de una cámara de vacío por medio de un filamento de tungsteno, a más de 2000 oC, sometido a una corriente eléctrica que se hace circular a través de él, permitiendo que los electrones escapen.
Los electrones son acelerados hacia el polvo metálico por un potencial eléctrico de hasta 60 kV. Los electrones se orientan por medio de bobinas magnéticas colocadas a lo largo de la trayectoria. A medida que la fuente de calentamiento se aleja, el metal en polvo fundido se enfría rápidamente solidificándose y formando la geometría buscada. Esto tiene lugar en una cama de polvo metálico, a aproximadamente 700 ° C, lo que reduce los gradientes de temperatura, y los esfuerzos residuales localizados [15]. El proceso se repite hasta que se construye cada corte de la pieza. El proceso de EBM es similar al funcionamiento un microscopio electrónico de barrido (SEM) pero la energía del electrón se utiliza para fundir el polvo de metal en lugar de usarse para detección. Por lo tanto, el EBM requiere un alto vacío, del orden de 5 x10-5 mbar, lo que reduce las posibilidades de difusión de O2 dentro de la parte producida [18]. EBM es capaz de producir piezas que pueden soportas cargas de ingeniería [19]. Un esquemático de equipo EBM se muestra en la Fig. 1, en donde las capas de material fusionadas son paralelas al plano XY y el haz de electrones avanza en el eje Z.

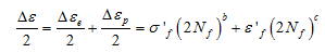
Cuando un componente estructural se somete a una carga repetitiva por encima del límite elástico este experimenta deformaciones elásticas y plásticas. Entonces, el método de diseño recomendado es la vida útil de deformación (Ɛ –N) o fatiga de bajo ciclos. De los lazos de histéresis, se obtiene la amplitud de tensión para cada ciclo hasta que se produce la falla del material. La regla de Coffin-Manson [9], mostrada en (1), es el método aceptado que describe la relación entre la amplitud de deformación y la vida a fatiga.
(1)en donde ε es deformación unitaria, σ es tensión, Nf es el número de ciclos de falla, σ'f es la tensión real de falla, los subíndices p y e se refieren a plástico y elástico respectivamente, b y c son constantes dependientes del material. Al graficar Ɛe y Ɛp contra N en una escala bilogarítmica se obtienen dos líneas rectas.
Existen múltiples métodos para estimar los parámetros b y c, l0s cuales han sido revisados por Meggiolaro y Castro [20] para más de 850 conjuntos de datos de fatiga de aleaciones ferrosas y no ferrosas. Los mismos autores [9], [20] han propuesto un modelo para aleaciones basadas en Ti y Al, después de analizar datos de más de 100 aleaciones, que es presentado en (2).
(2)en donde σu es tensión última, y E es módulo elástico. Sterling y col. [17] han propuesto un modelo para Ti-6Al-4V impreso por LENS, mostrado en (3).
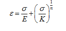
(3)De otro lado, el modelo de Ramberg-Osgood [9], mostrado en (4), describe la deformación monotónica de un material para toda la curva σ-ε.
(4)en donde K y n son constantes ajustadas en la región plástica. Es importante recalcar que el modelo cíclico de Ramberg-Osgood, a pesar de ser similar al monotónico, describe el comportamiento material bajo cargas dinámicas y tiene constantes diferentes.
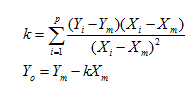
El método de los mínimos cuadrados (MMC) es un algoritmo de optimización que busca el valor de una constante que aproxime un conjunto de datos a una ecuación predeterminada. Un conjunto de datos tiene p pares de datos los cuales deben ser ajustados a una ecuación. Para el caso de ajuste de datos a una ecuación lineal, con pendiente k y corte Yo, se puede usar (5), donde Ym y Xm son los promedios de la cantidad p de pares datos ajustar.
(5)Para esta investigación, se usó polvo comercial de Ti-6Al-4V suministrado por ARCAM AB (GE Additive Technologies), obtenido por atomización de gas, y con una distribución de tamaño entre 45 y 100 µm. El polvo metálico es de forma predominantemente esférica ya que como Liu y Shin [3] lo afirman, una esfera de polvo no fundido es la forma que minimiza los factores de concentración de tensiones en comparación con las partículas aciculares. La Tabla I presenta la composición química de la aleación tal y como es reportada por el fabricante.

Para procesar el polvo metálico se utilizó un equipo ARCAM A2 (GE Additive Technologies). Este equipo EBM proporciona una potencia de haz de electrones de hasta 3000 W, con una corriente entre 0 y 50 mA, tamaño de punto focal de 0.2 a 1.0 mm, una velocidad del haz de electrones de hasta 8000 m / s, una velocidad de fabricación estimada entre 25 y 60 cm3 / h, y un volumen máximo de 250x250x320 mm.
Se imprimieron barras cilíndricas con un diámetro de 17,5 mm y 64 mm de altura que fueron mecanizadas en un torno Leadwell ® CNC según la norma ASTM E8.
Para ensayos monotónicos y de fatiga, se utilizó una máquina universal ensayos MTS Bionix® 370.02 servohidráulica con celda de carga de 25 kN, en un rango de temperatura entre 23 y 26 ° C y los datos se registraron con MTS TestSuite®.
Las pruebas de tracción se hicieron una velocidad de avance de 1 mm / min hasta la ruptura. Por otro lado, las pruebas de fatiga se hicieron por desplazamiento controlado, a una frecuencia de 5Hz y adquiriendo datos a 20 Hz. Finalmente, el análisis morfológico se realizó por SEM en un Quanta FEG ® 650.
Se presentan en esta sección los resultados de ensayos mecánicos y fractografía.
La Fig. 2 muestra un ejemplo de las tensiones de ingeniería y real en una gráfica de σ-ε para la aleación Ti-6Al-4V obtenida por EBM. La curva de tensión de ingeniería exhibe un posible comportamiento elástico-plástico con un esfuerzo de fluencia σy = 1023 MPa y un esfuerzo final σu = 1143MPa, valores bastante cercanos entre sí. Sin embargo, se observa que el material presentó un elongamiento plástico del orden del 11% y una εt de aproximadamente el 13%.
Se observa igualmente en la Fig. 2 como los valores de esfuerzo real son reproducidos satisfactoriamente por el modelo de Ramberg-Osgood monotónico, ver (4). Estas contantes fueron obtenidas al graficar la tensión real y ε después de fluencia en un plano bilogarítmico. La línea recta resultante representa una ecuación potencial que se ajusta por medio del algoritmo MMC, ver (5). El ajuste de datos a Ramberg-Osgood obtenido representa más del 98% de los datos experimentales, con contantes K=1337,06 y n= 0,0492, que son bastante cercanos a K=1320 y n= 0.06 reportados por Sterling y col. [17].

Los resultados de fatiga a bajo ciclos se analizaron usando el modelo de Meggiolaro y Castro (MC) [20] (2), así como el modelo de Sterling y col. [17](3). Los ajustes por los dos métodos se muestran en la Fig. 3a. Los dos modelos se acercan bastante a los resultados experimentales para el espectro menor de ciclos, mientras que para el espectro superior de ciclos MC se acerca más que el ajuste de Sterling y col. Adicionalmente, la Fig. 3b compara los componentes elástico y plástico para los dos modelos estudiados.
Los resultados de ensayos de fatiga de este estudio se agregaron a resultados de ensayos de fatiga a altos ciclos, para la misma aleación y fabricados por el mismo método, realizados por Kahlin y col. [14].
La Fig. 4 muestra estos resultados en una curva ε-Nf, en donde εexp son los datos de este estudio, εKahlid son los datos de [14], y εBasquin es la deformación prevista por una regla tipo Manson-Coffin-Basquin (MCB) [9]. Esta unión de datos se ajustó a un modelo tipo MCB [9] (6), que representa alrededor del 90% de los datos experimentales.


La Fig. 5 presenta detalles del aspecto macroscópico de falla para una muestra sometida a fatiga. Se aprecian claramente tres zonas: 1) nucleación de grietas, 2) crecimiento de grietas por fatiga y 3) crecimiento de grieta inestable. Se observa igualmente un plano de falla inclinado.

La Fig. 6a muestra la trayectoria de la grieta principal nucleada en el plano de la superficie, la cual crece dejando evidencia de estrías perpendiculares al crecimiento de la grieta. En este punto, la muestra no puede soportar más carga cíclica y presenta una fractura frágil, que es característica cuando se presentan sobrecargas [21] ya sea por disminución del área o por aumento de las condiciones de operación. Más aún, en la Fig. 6b se aprecian claramente los hoyuelos propios de la alta solicitación mecánica en la zona de fractura.
En la Fig. 7a, se aprecia la morfología de la fractura de una muestra solicitada a bajos ciclos de fatiga. Se observa una falta de fusión propio del proceso de EBM [14], previo a un tratamiento térmico. También se observan, zonas características de ciclos de fatiga donde se aprecian alguna aparente “marcas de playa”, una zona caracterizada por fragilidad. En la Fig. 7b se observan grietas secundarias entrando en el plano perpendicular con una cierta profundidad, las cuales muestran que el proceso de fatiga, caracterizado por alta deformación plástica, es capaz de nuclear la grieta en una dirección distinta al plano principal.
Finalmente, se debe reportar que no se observaron microporosidades esféricas, las cuales han sido documentadas [14] para EBM y que se han atribuido a burbujas de argón atrapadas en el polvo metálico.


El comportamiento cuasi elasto-plástico observado en la Fig. 2, en donde se observa un alargamiento plástico significativo, pero con muy bajo endurecimiento plástico para un material metálico, puede atribuirse al proceso de fabricación utilizado. Un comportamiento similar de la tensión se informó en [15,17], y adicionalmente en [2,13-14, 17] se reportaron valores de deformación unitaria similares. De otro lado, en [16] reportaron valores monotónicos ligeramente más bajos. El proceso de fabricación EBM funde el polvo metálico por capas, lo que hace que el material tenga una mayor porosidad [10], [17] que no se observa en otros procesos de fabricación convencionales [11]. Esta porosidad puede ser la causa del bajo endurecimiento por trabajo en frío como se evidencia en la prueba de tracción donde σy y σu presentan valores muy cercanos.
Se observa en la Fig. 3 que no existe diferencia apreciable en la deformación unitaria elástica, pero si en el componente plástico de los dos modelos evaluados, siendo mucho menos visible la diferencia a bajos ciclos. Adicionalmente, se observa como el componente plástico contribuye en menor porcentaje a la deformación total.
Una posible explicación a la diferencia entre los dos modelos puede originarse en el proceso de fabricación. Mientras que para aleaciones forjadas generalmente se hace un tratamiento térmico de alivio de tensiones residuales, en los componentes metálicos impresos por AM, las altas temperaturas producidas por el láser para fundir el polvo metálico y el sucesivo enfriamiento rápido generan altos gradientes de temperatura que se traducen en tensiones residuales [3]. Estas tensiones residuales tornan el material frágil, lo cual se aprecia en la poca diferencia entre el σy y σu. Según [9], cuando la relación σy/σu < 1,2, el material no debe presentar endurecimiento plástico apreciable. En este caso σy/σu = 1,1 y en la Fig. 2 se observa un endurecimiento plástico bajo corroborando dicha regla. Sin embargo, se evidenció también una elongación perceptible. Esto indica que el material en su zona plástica puede no endurecer, pero si puede entregar una deformación considerable.
Se realizaron ensayos de tensión y de fatiga a bajos ciclos para una aleación Ti-6Al-4V fabricada por EBM. A partir de los resultados de tracción, se observó que el esfuerzo de fluencia y el esfuerzo final son muy cercanos, lo que indica que el material presenta un comportamiento probablemente frágil. Sin embargo, las muestras en la prueba de tracción presentaron aproximadamente un 11% de deformación unitaria plástica y un 13% de deformación unitaria total. Este fenómeno puede atribuirse al proceso de fabricación. El EBM genera altos gradientes térmicos que pueden causar la formación de diferentes tamaños de grietas generando este comportamiento particular. Finalmente, se ajustó el comportamiento monotónico al modelo de Ramberg-Osgood encontrando que las constantes obtenidas representan más del 98% de los datos experimentales.
En cuanto a los datos de fatiga, estos se ajustaron a dos reglas tipo Coffin-Manson; una para aleaciones a base de Ti y Al propuesta por Meggiolaro y Castro y otra específica para Ti-6Al-4V fabricada por AM propuesta por Sterling y col. Los ajustes de datos mostraron que Meggiolaro-Castro representa mejor la relación deformación-vida. Se demostró que, a partir de los ajustes, las muestras no presentan una deformación plástica significativa. Aun así, la diferencia entre los dos modelos está en el componente plástico. Finalmente, los datos obtenidos en esta investigación se juntaron a datos de fatiga para la misma aleación fabricados por el mismo método, pero ensayados a alto número de ciclos. El conjunto de ensayos se ajustó a una regla tipo MCB relacionando ε y Nf.
Mediante un análisis morfológico de la zona de falla se evidenciaron zonas de nucleación, crecimiento y falla. Igualmente se documentaron marcas de playa propias de cargas cíclicas, así como grietas atribuidas a falta de fusión en el proceso de fabricación.
Los autores agradecen el apoyo brindado por el proyecto VIE 2704-2020, de la Universidad Industrial de Santander, al centro de microscopía electrónica de la UIS y al SENA-CIMI Girón en el mecanizado de las muestras. J. G. Díaz agradece al programa postdoctoral de VIE de la Universidad Industrial de Santander.

obtuvo su pregrado en la Universidad Industrial de Santander, Colombia en ingeniería mecánica. Actualmente se desempeña como Ingeniera de Diseño mecánico en fabrifeed para equipos de la industria alimenticia.

obtuvo su pregrado en la Universidad Industrial de Santander, Colombia en ingeniería mecánica. Actualmente se desempeña como Inspector de obra en
Jascom ingeniería S.A.S.

obtuvo su pregrado y maestría de la Universidad Central de Venezuela en ingeniería mecánica y de materiales, y su doctorado de la Universidad de Lille, Francia en ingeniería mecánica. En 2007 fue investigador postdoctoral en la State University of New York-Buffalo, EE. UU. Fue profesor en la Universidad Central de Venezuela desde 1990 hasta 2014 cuando fue designado como profesor titular en la Universidad Industrial de Santander: Bucaramanga, Colombia. Trabaja con análisis de fatiga, desgaste, fractura y falla.

Profesor Asociado, Escuela de Ingeniería Mecánica, Universidad Industrial de Santander. Posdoctoral Research Associate, Cardiff University, UK. Ph.D. y M.Sc. en Ingeniería Mecánica y de Materiales, Universitat Politècnica de València. Ingeniero Mecánico y de Manufactura, Universidad Autónoma de Manizales.

obtuvo su pregrado en la Universidad Industrial de Santander, Colombia en ingeniería mecánica, una maestría en ingeniería de la Universidad del North Texas, EE.UU y un doctorado en Ingeniería Mecánica en la PUC-Rio, Brasil. Fue investigador postdoctoral en la Universidad Industrial de Santander trabajando en caracterización mecánica de componentes fabricados por manufactura aditiva. Sus intereses de investigación incluyen fatiga, fractura, diseño mecánico y materiales compuestos












