Artículos
Recepción: 04 Septiembre 2014
Aprobación: 11 Abril 2016
DOI: https://doi.org/10.14482/inde.33.2.6368
Resumen: Se aplicó la mecánica de sólidos hiperelásticos al estudio del comportamiento del tubo arterial, ya que es un medio consolidado en la comprensión de fenómenos de interés para los profesionales de la medicina y de la ingeniería biomédica. En el caso del órgano en cuestión, su estudio se realizó mediante el modelado como un recipiente cilíndrico de pared gruesa, donde la función de energía empleada permitió considerar aspectos microestructurales como la anisotropía y la dispersión de fibras de colágeno. En el problema de equilibrio estático en el que se implementa esta caracterización se representaron las capas media y adventicia de la pared arterial. La solución expedita del problema de valores en la frontera resultante es posible gracias a la asunción de un patrón de deformación de simetría axial. Se encontró que el factor de dispersión de fibras y los demás parámetros adimensionales del mismo orden de magnitud tienen el rol dominante en la rigidez radial del tubo arterial. Los resultados se presentan utilizando grupos adimensionales, lo cual facilita la interpretación rápida del efecto de los numerosos parámetros que emergen.
Palabras clave: mecánica cardiovascular, hiperelasticidad, tejidos blandos, tubo arterial.
Abstract: A study of the behavior of the arterial blood vessel was performed by resorting to the mechanics of hyperelastic solids, for this is a currently well-established means to understanding a number of phenomena of concern among physicians and biomedical engineers. As regards this organ, it was modelled as a thick walled cylindrical vessel where the material energy function comprised the characterization of microstructural features of the tissue, such as anisotropy and fiber orientation dispersion. The static equilibrium problem for implementing this model represented the adventitia and media layers of the arterial wall, while its solution was simple thanks to assuming an axisymmetric deformation pattern. It is found that the fiber orientation factor along with the other dimensionless quantities of the same order of magnitude had the most influence on the arterial blood vessel radial stiffness. These results were processed using dimensional groups, thereby facilitating interpretation in the light of the many parameters that the whole model considers.
Keywords: cardiovascular mechanics, hyperelasticity, soft tissue, arterial tube.
INTRODUCCIÓN
La gran elasticidad y la variedad de características microestructurales del tejido biológico en humanos plantean un problema interesante a la luz de la mecánica de solidos hiperelásticos. Por este medio se han podido tratar cuestiones relevantes desde el punto de vista del funcionamiento de órganos del cuerpo humano y del diseño de dispositivos para atender procedimientos que les conciernen.
Los problemas de deformación de órganos asumidos hiperelásticos ya se han considerado con anterioridad [1]. Desde un principio una parte significativa de los esfuerzos se enfocó en las posibilidades que ofrece el método de los elementos finitos para capturar geometrías complejas y en la exploración de alternativas numéricas más eficientes dentro del método mismo [2]-[4]. Por otra parte, también se ha dado importancia a la interacción fluido-estructura, debido al contexto propuesto por la acción simultánea de fenómenos de flujo sanguíneo y de respuesta mecánica de la pared de los vasos [5], [6]. Finalmente, en la literatura existe un número de trabajos en el área de la formulación de funciones de energía de deformación que han puesto de manifiesto cada vez más aspectos del comportamiento mecánico de las distintas capas de tejido de la pared arterial, tal como viscoelasticidad, inelasticidad y modificación del tejido bajo estado de esfuerzo [7]-[10]. Esta disponibilidad constituye una motivación relevante para el trabajo realizado, pues es posible adaptar los resultados obtenidos a muchos problemas de interés.
En el contexto de la mecánica del tubo arterial, las funciones de energía de deformación son esenciales. En la actualidad las hay capaces de considerar explícitamente la contribución de las fibras de colágeno a la anisotropía del material y el papel que juega el grado de dispersión de su orientación angular. Vale la pena mencionar el trabajo de Gasser et al. [11], cuya función de energía considera una dispersión de fibras siguiendo una distribución de Von Mises, que se utilizó en este trabajo.
Lo anterior se implementa en ecuaciones de equilibrio que reflejan la geometría que se quiere tratar y que involucran simplificaciones en cuanto al patrón de deformación del órgano estudiado, de modo que el modelo matemático resultante es fácil de tratar y de interpretar.
En este trabajo se consideró una geometría cilíndrica de pared gruesa y una deformación de simetría axial, en las que la única componente relevante de la ecuación de equilibrio -que se asume cuasi estático- es la radial. Esta aproximación para la formulación del problema fue presentada de manera sistemática por Holzapfel et al. [13], quienes la utilizaron para probar la convexidad de funciones de energía típicas, a la vez que presentan una función nueva pero sin tener en cuenta la dispersión de las fibras.
Un asunto de importancia es la organización de resultados en problemas como el planteado en este trabajo. Barrera [14] aplicó esta función al problema de deformación con simetría axial bajo estado de carga de tensión y torsión, y luego bajo solo tensión e inflado y tomando en cuenta la dispersión de fibras [15]. La presión de inflado necesaria para lograr una deformación radial dada crece exponencialmente, como es típico de estas funciones de hiperelasticidad. Simultáneamente se observó que surge un gran número de parámetros, entre geométricos, de carga, de deformaciones prescritas y de propiedades del material, que dificultan la organización de resultados. Basado en esto se consideró relevante construir el escenario donde se presente inflado, torsión y extensión previa en un modelo que contenga una cuantificación de la dispersión de las fibras, junto con la presentación de resultados por medio de grupos adimensionales.
A pesar de que la mayor parte de la literatura relacionada con la solución de problemas de mecánica de tejidos biológicos blandos considera el uso de paquetes comerciales basados en el método del elemento finito, aquellos que disponen de estas facilidades son costosos y la curva de aprendizaje para su manejo apropiado es prolongada. Por el contrario, la estrategia de modelado propuesta en este trabajo es significativamente ventajosa en estos dos aspectos.
METODOLOGÍA
Geometría y deformación del modelo
Se considera un tubo cilíndrico, que pasa por tres momentos de deformación [13], llamadas "configuraciones":
Configuración relajada: la que resulta tras tomar un segmento de tubo arterial y aplicarle un corte longitudinal. El segmento queda abierto formando un ángulo α, liberando entonces una tensión previamente existente en la dirección circunferencial.
Configuración sin carga: el segmento de tubo se cierra produciendo una elongación circunferencial, en la que no hay cambio en el espesor de la pared ni en la longitud del segmento.
Configuración cargada: el segmento de tubo cerrado, de longitud original L, se estira una cantidad prescrita λz en la dirección axial, se tuerce alrededor de su eje un ángulo Φ y se le aplica presión interna Pi.
La figura 1 presenta las tres configuraciones descritas junto con la designación de las coordenadas de un punto material.

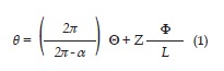
En la figura 1 se indica el ángulo de apertura α, por el cual se introduce la pre-tensión circunferencial al segmento de arteria. Esta se asume uniformemente distribuida en dicha dirección, luego la relación entre coordenadas circunferenciales de las configuraciones cargada y relajada está dada por una proporción lineal k más una torsión prescrita aplicada a la longitud del segmento Φ/L multiplicada por la coordenada axial Z [13]:

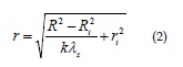
El estiramiento axial prescrito λz se utiliza junto con la asunción de incompresibilidad del material para producir una expresión que relaciona las coordenadas radiales de un punto material en las dos configuraciones:

Finalmente, la relación entre las coordenadas axiales se presenta por medio del estiramiento axial prescrito, que también se considera uniformemente distribuido:

En una deformación con simetría axial y con las ecuaciones (1) a (3) que la caracterizan, el tensor gradiente de deformación no es simétrico:

Relación esfuerzo-deformación
Por la incompresibilidad asumida para el tejido biológico blando, las únicas componentes relevantes del tensor de esfuerzos son las iso-volumétricas, que en adelante se identifican con el subíndice "iso". El tensor de esfuerzos de Cauchy, en términos del cual se plantean las ecuaciones de equilibrio estático, debe relacionarse con el tensor típico en el que se presentan las ecuaciones de la hiperelasticidad, el Segundo de Piola-Kirchoff S. Dicha relación es como sigue [12]:

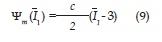
El determinante J del tensor gradiente de deformación es igual a uno, y el tensor Segundo de Piola- Kirchoff iso-volumétrico Siso se obtiene a partir de la función energía de deformación Ψ. Según el trabajo de Holzapfel et al. [13] se considera que Ψ es la suma de una contribución por la matriz isotrópica Ψm y una por las fibras de refuerzo Ψfi:

I1 es el primer invariante del tensor derecho de Cauchy iso-volumétrico Ciso = FTiso Fiso, mientras que por la incompresibilidad del material se tiene que F = Fiso[16]. El invariante Ei , donde el subíndice i se refiere a una familia de fibras en específico, es el resultado de la operación C : Hi - 1 ; Hi contiene información sobre la orientación preferente a0i de una familia de fibras en la configuración sin carga y el grado de dispersión alrededor de dicho valor, y está dado por [11]:

Gasser et al. [11] apelan al concepto de tensor generalizado estructural para producir la expresión (7). Aquí κ cuantifica el grado de dispersión de las fibras, con un rango de valores que depende de la distribución estadística que se asuma para ello. Considerando una distribución Von-Mises, κ va de cero para fibras perfectamente alineadas con la dirección a0i a 1/3 para fibras totalmente dispersas [11].
La forma específica de la función energía de deformación se obtiene a partir de estudios experimentales sobre muestras del material de interés [17]. Se puede considerar que las fibras confieren una rigidez de tipo exponencial al material:

Las expresiones (7) y (8) dejan ver que la dispersión de las fibras disminuye el valor del exponente, reduciendo entonces el aporte a la energía de deformación. Para la matriz isotrópica es usual considerar una función de tipo neohookeano:

Con esta función de energía el tensor Siso se calcula a través de [12]:

Donde se ha introducido el tensor proyección de cuarto orden P4, que puede representarse usando notación de índices para fines de implementación:

S se obtiene directamente a partir de la función energía de deformación, y se le denomina "tensor ficticio de Piola-Kirchoff" [12]:

La derivación se efectúa recurriendo a la regla de la cadena y utilizando las identidades para la diferenciación de invariantes de C con respecto de este mismo tensor [12], [18].
Ecuación de equilibrio
Por cuenta de la simetría axial del modelo de tubo arterial la única ecuación relevante es la del equilibrio en la dirección radial [13]:

La condición de frontera está dada por el esfuerzo radial igual a la presión de inflado pi sobre la pared interna. Adicionalmente, como las componentes diagonales del esfuerzo de Cauchy pueden descomponerse aditivamente en presión hidrostática y esfuerzo iso-volumétrico, por ejemplo, en σrr = p + σiso, r , se tiene por sustitución e integración de la ecuación (13) que

Donde (ri ,ro) son los radios internos y externos de la arteria deformada.
La ecuación (14) relaciona indirectamente la presión de inflado con alguna de las deformaciones axial, radial o circunferencial, ya que estas sirven de argumento a las componentes radial y circunferencial del esfuerzo de Cauchy del integrando.
En este escenario dado por la ecuación (14) se aborda la implementación de la solución. Puede dejarse en términos de un solo argumento de entrada, para lo que existen múltiples posibilidades. En este trabajo se observó, por la ecuación (2) y el componente (2,2) de F, que el estiramiento circunferencial λθ se puede dejar como una función de la coordenada radial r−variable de integración-, el radio interno y externo del tubo arterial sin deformar (Ri,Ro) -parámetros constantes- y el radio interno ri del tubo deformado, que constituye entonces el argumento de entrada para la producción de resultados. Luego, asumiendo un valor para ri la integración de la ecuación (13) produce el valor correspondiente de la presión de inflado en estado de equilibrio estático.
RESULTADOS Y DISCUSIÓN
Los resultados se presentarán por medio de grupos adimensionales generados a continuación. El planeamiento fundamental toma la siguiente forma, señalando que H es el espesor de la pared:

De los argumentos entre paréntesis el primero es la variable independiente; de c a k1 son constantes dimensionales; a partir de k2 se tiene constantes adimensionales. Luego son las seis primeras cantidades −más la variable de salida pi - aquellas con las que se trata de formar grupos adimensionales. Como algunas de ellas comparten dimensiones y exponentes, se puede generar varios grupos adimensionales del mismo tipo. Al tomar (c, Ф/ L) como variables repetidas, los grupos tomados como variable de entrada y salida son, respectivamente:

La variable k1 forma el mismo grupo adimensional que pi mientras que (Ri , H) forman el mismo grupo que ri . Adicionalmente, cada constante adimensional forma per se un grupo adimensional. Con lo anterior se proponen los siguientes grupos como factores de estudio:

En la figura 2 se muestra el efecto de los tres conjuntos de factores en la curva adimensional de radio de la arteria deformada-presión de inflado. Como datos típicos se han considerado los registrados en la tabla 1. Estos datos corresponden a una muestra de arteria carótida tomada de un conejo joven, sin evidencia de patología en cualquiera de los tejidos involucrados [13]. En la referencia citada los ángulos β de orientación de las fibras de colágeno son 29 y 62° para las capas media y adventicia, respectivamente.


Los distintos valores de los grupos adimensionales se produjeron con cuatro valores igualmente espaciados entre una quinta parte y el doble del valor para las variables no repetidas en cada uno de ellos. En el caso de tener una propiedad por cada capa de material, se utilizó el promedio de estas variables.
Se observa que ninguno de los parámetros modifica la forma exponencial de la curva de presión-inflado; sin embargo, la influencia de κ domina sobre la de H y k1. Para considerar la importancia de los demás factores basta considerar sus magnitudes relativas. Así, como Ri y H tienen el mismo orden de magnitud, su efecto en la curva de presión no será distinto. En conjunto, su efecto sobre la rigidez de la estructura es el menor dentro del grupo de parámetros considerados.
La tabla 1 muestra que los valores de los parámetros que forman grupos de la forma de ∏5 están dentro del mismo orden de magnitud, luego la figura 2 permite afirmar que el conjunto (k2, β, κ, λz, α) tiene el mayor efecto en la presión de inflado, al menos en los valores más altos de la deformación radial de la arteria. Finalmente, el parámetro k1 es el único que forma grupo de la forma ∏3 y su incidencia en la presión de inflado es la menor.

De los parámetros más influyentes se recurre a la pre-extensión axial y a la torsión Φ en la práctica de intervenciones por las que se tratan casos como la pseudocoartación [19], [20], [21], [22], [23].
En este momento resulta apropiado crear una situación concreta, con unidades apropiadas, que permita observar el efecto de uno de los parámetros más influyentes en la curva radio-presión de inflado del modelo arterial: la pre-extensión λz. En la figura 3 se muestra el caso para tres valores distintos de esta variable.
Esta figura hace evidente la diferencia en la deformación radial bajo distintos valores de λz en todo el rango de presiones, observándose su mayor efecto entre los 5 y 15 kPa (38 y 113 mm Hg). Lo anterior puede verse como muestra de la influencia que tiene este factor −y cualquiera de los demás pertenecientes al grupo ∏5- en la rigidez del modelo de tubo arterial.
Finalmente, como Ф participa de todos los grupos, el estudio de su incidencia puede lograrse reformulando los grupos adimensionales sacándole del conjunto de las variables repetidas.
CONCLUSIONES
La curva de presión de inflado-radio de la arteria deformada bajo el estado de tensiones considerado en este trabajo está mayormente influida por el conjunto de parámetros de pre-extensión axial λz, rigidez exponencial k2, orientación preferente de las fibras β, pre-tensión circunferencial k y dispersión de fibras κ. En este último caso, la menor dispersión de fibras conduce a la mayor rigidez del tubo arterial ante la presión interna.
El número de parámetros en la formulación de problemas de hiperelasticidad al modelar tejidos biológicos blandos crece muy rápido, lo cual sugiere la conformación de grupos adimensionales para estudiar la importancia relativa de ellos. Aunque en este apartado existe más de una posibilidad, es importante que se presten siempre a una interpretación física del fenómeno.
La simplificación hecha con la asunción de un patrón de deformación facilita la implementación de nuevos modelos constitutivos, en los que se ratifica la necesidad de considerar grupos adimensionales para la producción e interpretación de resultados. Adicionalmente, en la implementación realizada se separa claramente la ecuación de equilibrio estático de la función de energía, luego no resulta difícil adaptar el modelo en su conjunto para considerar otras geometrías u otros tipos de material. Debe tenerse en cuenta, no obstante, que los patrones de deformación utilizados deben ser representativos de lo que en la práctica ocurre con el órgano o dispositivo que se desee modelar.
REFERENCIAS
[1] G. Maurice, X. Wang, B. Lehalle, J.F. Stoltz, "Modeling of elastic deformation and vascular resistance of arterial and venous vasa vasorum", J. Mal. Vasc., vol. 23, n° 4, pp. 282-8, 1998.
[2] D. Brands, A. Klawonn, O. Rheinbach, J. Schroder, "Modelling of convergence in arterial wall simulations using a parallel FETI solution strategy", Comput. Methods. Biomech. Biomed. Eng., vol. 11, n° 5, pp. 569-583, 2008.
[3] F. Mosora, A. Harmant, C. Bernard, A. Fossion, T. Pochet, J. Juchmes, S. Cescotto, "Modelling the arterial wall by finite elements", Arch. Int. Physiol. Biochim. Biophys., vol. 101, n° 3, pp. 185-191, 1993.
[4] T. C. Gasser, C.A.J. Schulze-Bauer, G.A. Holzapfel, "A three-dimensional finite element model for arterial clamping", ASME: J. Biomech. Eng., n° 124, pp. 355-363, 2002.
[5] S. Till, "The effect of different artery wall models on arterial blood flow simulation", in First Hungarian conference on biomechanics, Budapest 2003.
[6] P. K. Siogkas, A. I. Sakellarios, T. P. Exarchos, K. Stefanou, D. I. Fotiadis, K. Naka, L. Michalis, N. Filipovic, O. Parodi, "Blood flow in arterial segments: rigid vs. deformable Wall simulations", J. Serbian Soc. Comp. Mech., vol. 5, n° 1, pp. 69-77, 2011.
[7] G. A. Holzapfel, T.C. Gasser, M. Stadler, "A structural model for the viscoelastic behavior of arterial walls: Continuum formulation and finite element analysis," Eur. J. Mech. A-Solids, n° 21, pp.441-463, 2002.
[8] T. C. Gasser, G. A. Holzapfel, "A rate-independent elastoplastic constitutive model for (biological) fiber-reinforced composites at finite strains: Continuum basis, algorithmic formulation and finite element implementation", Comput. Mech., n° 29, pp.340-360, 2002.
[9] C. A. J. Schulze-Bauer, G. A. Holzapfel, "Determination of constitutive equations for human arteries from clinical data", J. Biomech., n° 36, pp. 165-169, 2003.
[10] E. Kuhl, R. Maas, G. Himpel, A. Menzel, "Computational modelling of arterial wall growth", Biomech. Model Mechan., vol. 6, n° 5, pp. 321-331, 2007.
[11] T. C. Gasser, R. W. Ogden, G. A. Holzapfel, "Hyperelastic modelling of arterial layers with distributed collagen fibre orientations", J. R. Soc. Interface, n° 3, pp. 15-35, 2006.
[12] G. A. Holzapfel, "Compressible hyperelasticity" in Nonlinear Solid Mechanics: A Continuum Approach for Engineering, ch. 6. Chichester, UK: John Wiley & Sons, 2000, pp. 222-278.
[13] G.A. Holzapfel, T.C. Gasser, "A New Constitutive Framework for Arterial Wall Mechanics and a Comparative Study of Material Models", J. Elasticity, n° 61, pp. 1-48, 2000.
[14] M. Barrera, "Inflation-extension of a hyperelastic hollow cylinder as a model of the arterial tube", en IX Congreso Colombiano de Métodos Numéricos, Cali, Colombia, 2013.
[15] M. Barrera, "Effect of collagen fiber distribution on the inflation-extension of an arterial tube", en IX Congreso Colombiano de Métodos Numéricos, Cali, Colombia, 2013.
[16] J. Bonet, R. D. Wood, "Kinematics", in Nonlinear Continuum Mechanics for Finite Element Analysis, ch. 4. 1st ed. Cambridge, UK: Cambridge University Press, 2008.
[17] Y. C. Fung, "Bioviscoelastic solids", in Biomechanics: Mechanical Properties of Living Tissues, ch. 7, 2nd ed.: Springer, 1993, pp. 242-277.
[18] T. Belytschko, "Constitutive models", in Nonlinear Finite Elements for Continua and Structures, ch. 5, Chichester, UK: John Wiley & Sons, 2000, pp. 225-239.
[19] G. Szekely, G. I. Csecsei, "Anteposition of the Internal Carotid Artery for Surgical Treatment of Kinking", Surg. Neurol., n° 56, pp. 124-126, 2001.
[20] G. Illuminati, J. B. Ricco, F. G. Calio, A. D'Urso, G. Ceccanei, F. Vietri, "Results in a consecutive series of 83 surgical corrections of symptomatic stenotic kinking of the internal carotid artery," Surgery, n° 143, pp. 134-139, 2008.
[21] E. Ballotta, G. Thiene, C. Batracchini, M. Ermani, C. Militello, G. Da Giau, B. Barbon, A. Angelini, "Surgical vs. medical treatment for isolated internal carotid artery elongation with coiling or kinking in symptomatic patients: A prospective randomized clinical study", J. Vasc. Surg., n° 42, pp. 838-846, 2005.
[22] I. Adaletli, S. Kurugoglu, V. Davutoglu, H. Ozer, K. Besirli, A.G. Sayin, "Pseudocoarctation", Can. J. Cardiol., vol. 23, n° 8, pp. 675-676, 2007.
[23] W. B. Wang, G. M. Lin, "Pseudocoarctation and coarctation", Int. J. Cardiol., n° 133, pp. 62-64, 2009.
Notas de autor
Información adicional
Correspondencia: Helver Mauricio Barrera Cárdenas. Universidad Autónoma de Occidente, Km. 2 vía Cali-Jamundí, calle 25 # 115-85 Cali, Valle del Cauca (Colombia). Tel. (0572) 3188000 Ext. 11359.
Origen de subvenciones: Fondos asignados al Proyecto de Investigación "Modelado y simulación del comportamiento mecánico de la pared arterial en humanos". Código 11INTER-150 según la Convocatoria Interna de la Dirección de investigaciones y Desarrollo Tecnológico de la Universidad Autónoma de Occidente-2011.
Agradecimientos: Asignación de recursos y tiempo de descarga laboral por parte de la Dirección de Investigaciones y Desarrollo Tecnológico de la Universidad Autónoma de Occidente, 2012-2013.