Artículos
Bloque de suelo estabilizado en pequeño formato y tecnología de colocación en obra en vivienda de interés social
Soil block stabilized in small format and technology of placement in work, in housing of social interest
Bloque de suelo estabilizado en pequeño formato y tecnología de colocación en obra en vivienda de interés social
Ingeniería y Desarrollo, vol. 37, núm. 1, pp. 105-127, 2019
Fundación Universidad del Norte
Recepción: 16 Agosto 2018
Aprobación: 24 Octubre 2018
Resumen: La Universidad Nacional de Loja, ubicada en la frontera sur de Ecuador, investigó sobre la fabricación de bloque con suelo estabilizado en pequeño formato como una alternativa viable para contribuir a la solución de vivienda de interés social. La caracterización físico-mecánica del suelo determinó el uso del cemento para su estabilización. El diseño experimental se basó en el modelo multitabla en un hexágono mediante la manipulación de dos variables: cemento y agua. Los mejores resultados se obtuvieron con las mezclas con 13% y 9,75% de cemento, y 25% y 22% de agua, respectivamente, una resistencia a la compresión de 7,78 MPa y 4,66 MPa, y un coeficiente de ablandamiento superior a 0,5 que garantizan la resistencia a la humedad. Para confirmar el beneficio social del material desarrollado en el laboratorio y su comportamiento en el proceso de colocación en obra se construyó una vivienda prototipo en la parroquia rural de Chuquiribamba bajo la modalidad de autoconstrucción, para lo cual se cumplió con las fases de: 1. Diseño; 2. Producción; y 3. Construcción. Este proceso permitió un total involucramiento de la familia beneficiaria y de la comunidad.
Palabras claves: bloque de suelo estabilizado, construcción de vivienda, mampostería, vivienda, vivienda de interés social.
Abstract:
Researchers belonging to Universidad Nacional de Loja, located at the southern border of Ecuador, investigated about the manufacture of small-size hollow bricks with stabilized soil, as a viable alternative to contribute to the solution of affordable housing. The stabilization of cement was determined by physical-mechanical characterization of the soil. The experimental design was based on a multi-table hexagonal model through the manipulation of two variables: cement and water. The best results obtained were the mixtures with 13% and 9.75% of cement, and 25% and 22% of water, respectively; as well as by the compressive strength of 7.78 MPa and 4.66 MPa, and the softening coefficient above 0.5, what guarantee resistance to moisture. In order to confirm the social benefit of the laboratory-developed material and its behavior during the building process, a prototype house was built in a rural parish-called Chuquiribamba, under the modality of self-construction for which the following stages were completed: 1.Design; 2. Production; and 3. Construction, which allowed total involvement of the beneficiary family as well as the community.
Keywords: affordable housing, dwelling, housing construction, masonry, stabilized-soil hollow bricks.
Introducción
En la segunda década del siglo XXI, “un tercio de la humanidad habita en viviendas de tierra y en países en vías de desarrollo esto representa más de la mitad” [1]. Parte de esta realidad se da en el sector rural de la región andina sudamericana, lo que incluye la sierra de Ecuador, en donde el adobe es el material más utilizado, elaborado de forma artesanal y su uso está vigente por ser la solución más económica, de fácil acceso y no demanda complejos conocimientos técnicos. El adobe se reconoce por sus “características aislantes, inerciales y resistentes” [2], además se considera amigable con el ambiente. Sin embargo, tiene serios reparos en los siguientes aspectos:
Fragilidad frente a la humedad.
Material voluminoso por las dimensiones de fábrica (generalmente fluctúa entre 0,38 a 0,50 m de largo y de 0,17 a 0,22 m de ancho y alto).
Inadecuado comportamiento en sismos de gran envergadura, por lo que “ha perdido credibilidad y se ha puesto en tela de juicio sus propiedades mecánicas”.
A fin de superar los problemas presentados con el uso del adobe, las investigaciones se han orientado hacia la estabilización del suelo mediante una acción química y mecánica combinada técnicamente , la cual presente eficiencia energética, reducidos costos, sea amigable con el ambiente y contribuya al desarrollo sostenible . De este modo, es una solución eminentemente económica cuyos objetivos son:
Obtener mejores características mecánicas, aumentar la resistencia a la compresión seca, húmeda y a la tracción, así como al cortante.
Lograr una mejor cohesión, reducir la porosidad y las variaciones de volúmenes.
Mejorar la resistencia a la erosión del viento y de la lluvia.
Calva [6] investigó sobre la estabilización mecánica y física en especímenes de 300 mm x 150 mm x 70 mm, con resultados adecuados en resistencia a compresión (3,23 Mpa en promedio), pero no cubrieron los requisitos de durabilidad, por lo que recomienda trabajar con estabilización química (en la que el suelo se fuerza a cambiar con la adición), en concentración suficiente de productos con cationes de alta valencia, lo que se puede lograr al incrementar cal, cemento, productos asfálticos, cloruro de sodio o de calcio y polímeros.
Al emplear cemento Portland en la estabilización se logra una reacción con el agua, de manera que se forma una piedra que une el esqueleto de arena presente en el suelo. Por otra parte, en el proceso la arcilla interactúa con el gel de cemento hasta lograr una interpenetración íntima, de cuyo resultado se obtiene: una matriz arenosa aglomerada con cemento, otra arcillosa estabilizada y, además, la proporción no estabilizada [5] que permite la producción de un “ladrillo ecológico”, con una estructura difícil de alterar y de mejor resistencia que el suelo natural [7].
El bloque de tierra comprimida (BTC) “se obtiene a partir de la mezcla de tierra (82,75%), arena (6,20%) y cemento (11,03%), para luego ser compactada”; se prensa en una máquina bloquera, de la cual la más conocida, la CINVA-RAM, presenta una caja metálica de 16 cm de alto, 29 cm de largo y 14 cm de ancho [8].
Para la fabricación de bloques de suelo estabilizado con cemento Portland se reconoce que, en primer término, se debe calificar la idoneidad del suelo, la cual se define con la valoración de sus propiedades básicas [5]:
La textura del suelo se valora por medio de la granulometría. Se recomienda que el material a utilizar contenga entre el 25% y 35% de fraccción fina (arcilla y limo,) y de esta proporción el contenido exclusivo de arcilla debe estar alrededor del 10%; en cuanto a la fracción gruesa (arena y grava) el porcentaje cubrirá la diferencia que será entre el 65% y el 75%.
La plasticidad se califica con base en los límites de consistencia y de la
actividad de la arcilla, con rangos que se indican en la .

Actividad de la arcilla que caracteriza la capacidad para retener la humedad y resulta de la división del índice plástico entre el porcentaje de arcilla o de material menor de 0,002 mm, al existir la relación: a mayor retención de agua la arcilla se comportará como un aglomerante de mala calidad.

El cociente resultante facilita el ingreso y la clasificación, de acuerdo con los rangos establecidos en la Tabla 2. Existen recomendaciones para trabajar con inactiva para la confección de bloque estabilizado.

La compresibilidad del suelo se relaciona con la potencialidad para reducir al máximo su porosidad y se evalúa a través del ensayo Proctor estándar que determina el contenido óptimo de humedad y la densidad máxima, con base en lo cual en la Tabla 3 presenta el estabilizador recomendado.

Los rangos de la densidad y su valoración fijan el comportamiento del bloque estabilizado que es evaluado con base en la Tabla 4.

Bajo este marco, se planteó la investigación en la parroquia rural de Chuquiribamba (coordenadas: 9575083 de latitud norte y 683940 de longitud este), perteneciente a la provincia de Loja-Ecuador, con el objetivo de desarrollar en laboratorio la tecnología de fabricación de bloque de suelo con estabilización mecánica y química, fabricado con prensa manual en formato de 250 mm x 125 mm x 75 mm y, posteriormente, realizar la transferencia de tecnología para que, mediante el mecanismo de autoconstrución, una familia de baja economía, en las condiciones del sector rural, pueda adoptar el conocimiento y fabricar en cantidad suficiente los bloques de suelo estabilizado, y luego estar en capacidad de colocarlo en la obra como parte del proceso de construcción de la vivienda.
Metodología
Clasificación del suelo y definición del aglomerante
Previo al planteamiento del diseño experimental se realizó el estudio del suelo de la parroquia Chuquiribamba, con el fin de conocer su idoneidad. Los resultados consolidados se presentan en la Tabla 5, y se define como “arena limosa-S, M”, de acuerdo con la clasificación SUCS, y por la A. A. S. H. O. como “A-7-5 Suelo arcilloso”.

El suelo seleccionado, en cuanto a la textura, contiene 42,49% de limo y arcilla, valor superior al recomendado. El porcentaje de solo arcilla se ubica en 12,73%. En cuanto a la plasticidad, presenta límites líquido y plástico fuera del rango y en niveles superiores a los establecidos como tolerancia. Además, la arcilla tiene una actividad media bastante cercana a la inactiva y, en consecuencia, es caolinítica.
Selección del porcentaje de aglomerante a utilizar con relación al suelo
Una vez que el suelo ha sido clasificado, para el diseño experimental se adoptan las recomendaciones incluidas en la Tabla 6 [5], por las cuales se fija un rango con relación al porcentaje de cemento a utilizar.

Para el suelo A-7-5, de acuerdo con la clasificación A. A. S. H. O, el porcentaje recomendado se encuentra en el rango del 10% al 14% del peso del suelo. Se decidió adoptar el 13% de cemento, en razón al ambiente húmedo permanente y los periodos de lluvia prolongados que tiene Chuquiribamba. La decisión se tomó incluso al reconocer que algunos autores recomiendan no sobrepasar el 10%.
Adopción del porcentaje de agua
El porcentaje de agua a emplear tiene relación con los resultados de la prueba Proctor estándar y la presión que ejerce la máquina para moldeo de los bloques (prensa manual con molde de 250 x 125 x 75 mm, para bloques macizos y huecos machihembrados), lo que garantiza la humedad óptima con la energía a emplear y sirve de base para el diseño experimental.
Definición del diseño experimental
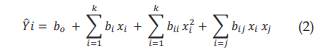
Para el estudio de los materiales, en el que, en la variación de sus características, existan dependencias no lineales, “se pueden utilizar modelos de segundo orden, en la forma de ecuaciones cuadráticas, cuya forma general para k factores es:


Cuando se analizan factores y se requiere el estudio a fondo de uno de ellos, se utilizan modelos multitabla en un hexágono [9] (Figura 1), cuya particularidad consiste en que un factor varía en cinco niveles y en tres el otro, de manera que se logra que sus vértices indiquen puntos experimentales, al igual que el centro permite disponer de réplicas para determinar el error experimental [10].

Con base en los cálculos anteriores, el diseño experimental para el suelo de Chuquiribamba corresponde al establecido en la Figura 2.

Agua en tres niveles, con los porcentajes contenidos con relación al suelo: 22%, 25% y 28%.
Cemento en cinco niveles que corresponden a los porcentajes de cemento con relación al suelo: 0%, 3,25%, 6,5%, 9,75%, y 13%.
Para cada punto del hexágono, incluidos los centrales, se decidió la preparación de 12 especímenes del bloque macizo de 250 x 125 x 70 mm, de acuerdo con el modelo indicado en la Figura 3. Una vez confeccionados los especímenes fueron sometidos a un periodo de curado en ambiente húmedo que permitió un proceso controlado de secado. Transcurridos los 28 días, las probetas fueron objeto de las pruebas para la determinación de densidad húmeda y seca, absorción, resistencia a la compresión a las diferentes edades y coeficiente de ablandamiento.

Resultados y discusión
Densidad húmeda y seca y porcentaje de absorción
La densidad de los bloques en estado húmedo, al término de su fabricación, fluctuó de 1,03 g/cm3 a 1,18 g/cm3, y la densidad seca entre 0,91 g/cm3 a 1,12 g/cm3.. El porcentaje de absorción fue de 6,45% a 11,16%.
Resistencia mecánica
La Norma Ecuatoriana de la Construcción NEC-15 no regula los bloques de tierra compactada o estabilizada, pero en el capítulo “Seguridad estructural de las edificaciones (SE)” se encuentra el, Diseño con mampostería confinada y el criterio para aceptación de las unidades de arcilla cocida. La norma indica que <las unidades que se empleen en la construcción de muros de mampostería confinada deben tener al menos las resistencias mínimas que se proporcionan en la Tabla 7. La resistencia especificada corresponde a la fuerza de rotura dividida entre el área bruta de bloque ó ladrillo> (NEC, 2011) [11].

Procesamiento estadístico
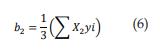
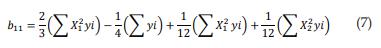
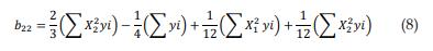
Procesar los resultados mediante métodos estadísticos y matemáticos tiene como objetivo “medir la variabilidad presente en el experimento” [12], con la ecuación cuadrática de regresión, dada la fórmula (3). Los coeficientes de la ecuación de regresión se calculan por las siguientes expresiones:






En donde:
yi = Resultados de los ensayos en las diferentes dosificaciones.
xi = Contenido de cemento para cada dosificación, en porcentaje del peso con relación al suelo.
xj = Contenido de agua para cada dosificación, en porcentaje del peso con relación al suelo.
La ecuación de regresión obtenida requiere de un análisis estadístico, pues el experimento siempre está asociado a errores, debido a las propias variables independientes que se estudian y a la condición probabilística incorporada.
Análisis estadístico
Realizados los ensayos de compresión sobre los especímenes correspondientes al diseño experimental, se halla la media de las diferentes dosificaciones (yi), utilizando la siguiente fórmula [5]:

n = Número de réplicas obtenidas del parámetro de salida.
Se procede al cálculo de la varianza de las réplicas obtenidas del parámetro de salida:





En el análisis de la significación se utiliza la t de Student y la validación a través del criterio de Fisher (Fc):

La ecuación de regresión resulta adecuada (para el nivel de significación asumido S %) si:
Fc < Ft, donde Fc es el valor de Fisher de cálculo y Ft el de la tabla.
Cuando la ecuación de regresión resulta significativa, esta se puede aceptar.
De acuerdo con la metodología planteada y al utilizar los resultados obtenidos de los ensayos de compresión a los 28 días, la matriz experimental adopta los valores señalados en la Tabla 8.

Con el procesamiento estadístico y los chequeos señalados en la metodología, la ecuación de regresión obtenida corresponde a:

Al sustituir en la ecuación los valores, según la matriz del experimento, se obtiene la resistencia a la compresión contra el porcentaje de cemento y agua (véase la Tabla 9).

En la Tabla 9 se observa que en la resistencia a la compresión en las dosificaciones con 13% de cemento todos los porcentajes de agua cubren ampliamente lo establecido en la norma ecuatoriana NTE INEN 0297 para ladrillo cerámico. Esta fija para muros portantes el requerimiento de 5 MPa, obteniéndose para el bloque de suelo estabilizado 6,35 y 7,78 Mpa, y en el caso de un 9,75% de cemento, solo es superior para la dosificación con 25% de agua.
Criterio de durabilidad
Las investigaciones realizadas al respecto recomiendan evaluar la durabilidad de los bloques de suelo estabilizado empleando el ensayo del coeficiente de ablandamiento, el cual es un índice, cuyo valor mínimo se establece en 0,50 [13], [5]. Para el caso de estudio, en la Tabla 10 se consolidan los resultados del coeficiente de ablandamiento.

De acuerdo con los criterios de resistencia y durabilidad de los ensayos y el procesamiento del suelo de Chuquiribamba, las mejores dosificaciones recomendadas corresponden a los puntos 4 (13% cemento y 25% de agua), y 5 (9,75% cemento y 22% de agua) del hexágono (cuyo comportamiento se visualiza en la Figura 4), los cuales garantizan resistencia y durabilidad.

Tecnología de colocación en obra del bloque de suelo estabilizado en pequeño formato
La tecnología para fabricación de bloque de suelo estabilizado desarrollada en laboratorio permitía cumplir el objetivo de construir una solución habitacional prototipo en el marco de la metodología de autoconstrucción, la cual se propuso como una alternativa para vivienda de interés social y como un desafio para el desarrollo de construcciones más sostenibles y un nuevo paradigma universitario [14], y se ejecutó en el sector de Chuquiribamba, en las etapas de: 1. Diseño; 2. Producción; y 3. Construcción.
Diseño de vivienda prototipo
La fase de diseño realizada sobre la base de un saber teórico [15] cubrió las siguientes etapas:
Negociación y alianzas estratégicas. Con instituciones representativas del sector como el Gobierno Autónomo Descentralizado (GAD), Parroquial Rural y la Cooperativa de Ahorro y Crédito “27 de Abril” de Chuquiribamba-Loja, quienes participaron en todo el proceso y asumieron la responsabilidad de seleccionar la familia beneficiaria y lograr la aceptación social del nuevo material.
Prediseño y diseño arquitectónico. Concebido en conjunto con los beneficiarios y propuesto con base en el conocimiento de la realidad campesina, la composición familiar (seis personas: dos padres y cuatro hijos), la actividad productiva del hogar y su economía sustentada en la agricultura y en el cuidado de animales menores y con apego a la ordenanza municipal en aspectos como, por ejemplo, retiros, coeficiente de utilización del suelo (CUS) y el coeficiente de ocupación del suelo (COS). Además, se tomaron en consideración para la implantación de la vivienda factores físicos ligados al clima, la luz y el soleamiento, así como los aspectos culturales. La distribución del espacio quedó definida en: área de cubierta 108,68 m2, de construcción 66,00 m2, y portal 16,00 m2 (véase la Figura 5).
Diseño a detalle. De los aparejos, tanto para identificar los mecanismos de trabe y la ubicación de cada bloque macizo y perforado.
Diseño estructural. La cimentación con muro corrido de mampostería de piedra, con alturas de entre 0,60 m a 1,00 m, y de ancho de 0,50 m, sobre el cual descansa una cadena de amarre inferior de 0,20 m x 0,20 m de hormigón armado que, además de proporcionar sujeción y anclaje, es el sobrecimiento necesario en todo paramento confeccionado con suelo, a fin de evitar la absorción de humedad.
Mampostería autosoportante. Reforzada internamente con hormigón armado en algunos orificios del bloque, especialmente en las esquinas, en el cruce de las mamposterías y junto a puertas y ventanas. Como elemento de amarre y sujeción se previeron dos riostras horizontales ubicadas a media altura y en la parte superior de la mampostería, sobre la cual descansa la estructura de cubierta.

Fase de producción del bloque de suelo estabilizado
Se adaptó la tecnología desarrollada en el laboratorio a una forma sencilla de producción del bloque de suelo estabilizado, a fin de transferirla a la familia beneficiaria, pues en la modalidad de autoconstrucción eran parte del proceso. La fase de producción fue un éxito, sin embargo, exige trabajo en un tiempo anterior a la fecha de inicio de la construcción para la fabricación, el curado y el secado de los bloques.
Como resultado, el beneficiario y su familia con su fuerza de trabajo y el respectivo adiestramiento elaboraron 9500 unidades, con un rendimiento promedio de 500 bloques/día utilizando tres jornales diarios. Luego de 28 días del proceso de curado se inició la construcción de la vivienda.
Pasta para pegado de bloque de suelo estabilizado
Para los morteros de asiento, Gatani [7] recomienda, entre otros aspectos, que sean suficientemente plásticos para deslizar y ubicar el mampuesto con facilidad, con aspecto homogéneo y sin fisuras, con buen comportamiento frente a la erosión e impermeables. En tales circunstancias, la pasta para pegar los bloques de suelo estabilizado fue una mezcla de cemento, suelo, cal y arena fina, en la proporción 1:3:0,5:1,5. El agua se utiliza en cantidad suficiente, y el aditivo plastificante (Sika plastiment BV40) de acuerdo con la recomendación del fabricante.
Hormigón para las columnas de pequeño diámetro
Las columnas de pequeño diámetro se confeccionaron con hormigón de resistencia media de 25 MPa, con la siguiente relación en peso 1: 1,74: 1,36. La relación a/c igual a 0,47, y el aditivo 5 cc x kg de cemento.
Colocación en obra del bloque de suelo estabilizado
La primera hilada del bloque de suelo estabilizado se colocó previamente humedecido y un momento antes de que concluya el fraguado de la cadena de amarre inferior, con el propósito de lograr un elemento monolítico del sobrecimiento y la mampostería, con especial cuidado de ubicar las unidades macizas y huecas, según el requerimiento definido en el diseño de aparejo (véase la Figura 6). Luego, se continúa con las siguientes filas, utilizando la pasta de pegado a una altura de 2 mm a 5 mm, a fin de que trabaje el machimbre. La pasta se coloca alrededor de los huecos y en el orificio que se forma entre dos unidades consecutivas.

Las mamposterías de bloque estabilizado tienen la característica de que deben ser levantadas todas las paredes al mismo tiempo, tanto para trabar los bloques, como para armar y fundir las riostras horizontales. En la unión o encuentro de las mamposterías longitudinales con las transversales y en las esquinas se recomienda la colocación de estribos en media altura entre la cadena de amarre y las dos riostras horizontales (Figura 7).

Sobre la riostra superior se colocó una placa metálica de 250 mm x 250 mm x 5 mm para anclaje de la estructura metálica de la cubierta (véase la Figura 8).

El revestimiento de las paredes de bloque de suelo estabilizado fue de tres tipos 1. Mampostería vista con media caña; 2. Paredes con revestimiento de mortero de cemento y cal, realizada en paredes interiores de baños; y 3. Embadurnado con brocha con pasta de pegado semilíquida.

El acabado final de todas la mampostería de bloque de suelo estabilizado se realizó con silicato de sodio o vidrio líquido diluido en una proporción 1: 2, actividad que permitió a estudiantes de la Universidad Nacional de Loja involucrarse, efectuar sus prácticas, socializar y compartir momentos de trabajo con los beneficiarios de la vivienda y la comunidad (Figura 9).
Conclusiones
La idoneidad del suelo para fabricación de bloques estabilizados químicamente debe, de manera previa, calificarse a través de sus propiedades como, por ejemplo, la textura, la plasticidad y la actividad.
Las mejores dosificaciones obtenidas para el suelo de Chuquiribamba, las cuales garantizan resistencia y durabilidad son las que contienen 13% y 9,75% de cemento, y 25% y 22%, respectivamente, con lo cual se logró material de calidad que supera las debilidades del adobe.
La metodología de autoconstrucción permite que los beneficiarios sean los artífices de la construcción de su vivienda, utilizar mano de obra familiar y lograr un trabajo mancomunado de técnicos y comunidad.
El bloque de suelo estabilizado es una opción válida para solucionar el problema de la vivienda en el sector rural, pues permite un abaratamiento en los costos de construcción al utilizar materia prima existente en el lugar y mano de obra de los beneficiarios.
AGRADECIMIENTO
La investigación se ejecutó gracias al apoyo brindado por la Secretaría de Educación Superior Ciencia y Tecnología-SENESCYT y la Universidad Nacional de Loja (UNL) de Ecuador, en el marco del Proyecto 818. Además, se deja constancia de la importante colaboración recibida de parte de Anabel de los Ángeles Calva Jiménez, Ramiro Rodríguez Imaicela y Guadalupe Roa Narváez, profesionales vinculados a la UNL, y del apoyo fundamental de las evaluadoras Karla Íñiguez Carrión y Verónica Sánchez Olmedo.
REFERENCIAS
1 F. Gatti, “Arquitectura y construcción en tierra. Estudio comparativo de las técnicas contemporáneas en tierra”, tesis de maestría, Universidad Politécnica de Catalunya, 2012.
2 L. I. Barros y F. A. Imhoff, “Resistencia sísmica del suelo-cemento post tensado en construcciones de baja complejidad geométrica”, Revista de la construccion, vol. 9 n.o 2, pp 26-38, 2010. En línea. doi: 10.4067/S0718915X2010000200004
3 B. Shehu Waziri, Z. Alhaji Lawan y M. Ma´aji Mala, “Properties of compressed stabilized earth blocks (CSEB) for low-cost housing construction: a preliminary investigation”, International Journal of Sustainable Construction Engineering & Technology, vol. 4, n.o 2. pp. 39-46. 2013. En línea. Disponible en http://penerbit.uthm.edu.my/ojs/index.php/IJSCET/article/view/659
4 B.N. Patowary., N. Nath, I. Hussain y H.J. Kakoti, “Study of compressed stabilised earth block”, International Journal of Scientific and Research Publications. vol. 5, n.o 6. Assam, 2015. En línea. Disponible en: http://www.ijsrp.org/research-paper-0615/ijsrp-p4281.pdf.
5 J. Acevedo, “Tres décadas de trabajo en el desarrollo sostenible de la construccción”, tesis doctoral, Instituto Superior Politécnico José Antonio Echeverría de La Habana, Cuba, 1999.
6 A. Calva Jiménez, “Determinación de la resistencia a la compresión y la durabilidad del adobe prensado a máquina para la construcción de infraestructura agropecuaria rural en la parroquia Chuquiribamba”, tesis de Ingeniería Agrícola, Universidad Nacional de Loja, Ecuador, 2015.
7 M. Gatani, “Ladrillos de suelo-cemento: mampuesto tradicional en base a un material sostenible”, Informes de la construcción, vol. 51, n.o 466, pp. 35-47, 2000. En línea. doi: 10.3989/ic.2000.v51.i466.
8 K. Arteaga Medina, Ó. Medina y Ó. Gutiérrez Junco, “Bloque de tierra comprimida como material constructivo”, Revista Facultad de Ingeniería, vol. 20,n.o 31, Universidad Tecnológica de Colombia, pp. 55-68, 2011. En línea. Disponible en: https://revistas.uptc.edu.co/index.php/ingenieria/article/ view/1421
9 L. A. Vargas Robles, “Uso de fibras de papel periódico, cal hidratada y alumbre, en la elaboración de un material compuesto”, tesis Universidad de Colima, México, 2007.
10 I. Bojórquez, Ma. M. Pérez y F. F. G. Bojórquez, “Resistencia a la compresión de compuestos a base de desperdicios de origen orgánico”, Revista Ingeniería de Construcción, vol. 18, n.o 2, 2003. En línea. doi: http://www.ricuc.cl/index.php/ric/article/view/161
11 A.V. Pinos Coronel, “Evaluación estructural del efecto del mortero de pega sobre probetas de muro de ladrillo de tierra compactada bajo esfuerzos de compresión axial”, tesis de maestría, Universidad de Cuenca, Ecuador, 2015.
12 P. Gutiérrez González, L. Díaz Caldera y Ma. de J. Guzmán Sánchez, Elementos de diseño de experimentos, Zapopan, Jalisco, México, Astra Ediciones, 2009. En línea. Disponible en: https://docplayer.es/10488406-Elementos-de-diseno-de-experimentos.html
13 I. Bojórquez, “Desarrollo de un nuevo material a base de fibras orgánicas del sudeste mexicano en matriz de cemento Pórtland para producir paneles ligeros”, tesis doctoral, Centro de Estudios de Construccion y Arquitectura Tropical, Instituto Superior Politécnico José Antonio Echeverría, Cuba. 2005.
14 I. Soto Izquierdo y M. A. Ramalho, “Application of residual ash and sisal fiber in the production of mortar and concrete: Review”, Ingeniería y Desarrollo, vol. 32, n.o 2, pp. 334-368, 2014. En línea. Disponible en: file:///Users/macbookpro/Downloads/6167-29892-1-PB%20(2).pdf.
15 M. Vélez Upegui, “La ingeniería: una cosa de ingenio”, Ingeniería y Desarrollo”, n.o 11, pp. 1-18. 2002. En línea. Disponible en: http://rcientificas.uninorte.edu.co/index.php/ingenieria/article/view/2306
Notas de autor
*Correspondencia: Emperatriz Isabel Bailón Abad. Área de la Energía, las Industrias y los Recursos Naturales No Renovables, Ciudadela Universitaria “Guillermo Falconí”, La Argelia, Loja, Ecuador. Tel. 0984996515.