Artículo de investigación
Influencia de la altura en la consideración de la interacción dinámica suelo-estructura en edificaciones con tipología mixta ubicadas en zonas de alto peligro sísmico
Influence of Height in the Consideration of the Dynamic Soü-structure Interaction in Bváldings with dual Typology Located in Areas of High SeismicHazard
Influencia de la altura en la consideración de la interacción dinámica suelo-estructura en edificaciones con tipología mixta ubicadas en zonas de alto peligro sísmico
Ingeniería y Desarrollo, vol. 40, núm. 1, pp. 6-27, 2022
Fundación Universidad del Norte
Recepción: 01 Noviembre 2021
Aprobación: 26 Abril 2022
Resumen: El comportamiento estructural de las edificaciones ante la acción de cargas sísmicas en ocasiones puede modificarse con la consideración de la Interacción Dinámica Suelo-Estructura (IDSE), aspecto que demuestra la importancia del estudio de sus efectos en la misma. Este estudio fue realizado, utilizando el software ETABS V17, para edificios de cinco, 10 y 15 niveles ubicados sobre un suelo tipo D en la provincia de Santiago de Cuba, catalogada como de alto peligro sísmico según la NC 46: 2017[1]. Las edificaciones se caracterizan por presentar tipología estructural mixta de hormigón armado con igual distribución en planta y elevación. Para las tres alturas propuestas se llevó a cabo la comparación de los valores de periodo de oscilación, fuerzas sísmicas por piso, desplazamientos en el tope de la edificación y derivas considerando dos condiciones de la base: empotrada y con IDSE mediante las formulaciones de Sargsian. La interpretación de los resultados reveló mayor influencia de la consideración de la IDSE para las edificaciones de 10 y 15 niveles.
Palabras clave: desplazamientos, derivas, hormigón armado, interacción dinámica suelo-estructura (IDSE), período de oscilación, respuesta sísmica.
Abctract: The structural behavior of buildings under the action of seismic loads can sometimes be modified with the consideration of the Soil-Structure Dynamic Interaction (IDSE), an aspect that demonstrates the importance of studying its effects on it. Considering the Dynamic Soil-Structure Interaction (dssi) in the structural behavior of buildings exposed to seismic activity can be of great importance in some cases. The present study was developed using the software ETABS V17, for buildings with 5, 10 and 15 stories respectively, located on type D soil in Santiago de Cuba province, classified as a seismic high-hazard zone in the NC 46:2017[1]. Buildings are characterized by a reinforced concrete dual system, with the same distribution in plan and elevation. For the three different heights models, a comparison was made taking into account the values of the vibration periods, seismic loads by level, displacements at the top of the building and drifts considering two boundary conditions at the base: Fixed and with Dynamic Soil-Structure Interaction (dssi) using the formulations of Sargsian. The results showed a greater influence of the DSSI consideration on the structural response of the 10 and 15 stories buildings.
Keywords: displacements, drifts, Dynamic Soil-Structure Interaction (dssi), reinforced concrete, seismic response, vibration periods.
INTRODUCCIÓN
Mediante la ingeniería sísmica y el estudio de zonas de alto riesgo se han establecido procedimientos para diseñar estructuras que tengan un comportamiento adecuado durante la acción de sismos intensos, así como para evaluar la capacidad de las ya existentes, con el fin de minimizar pérdidas humanas y materiales o, de ser posible, evitarlas.
Entre estos procedimientos y tecnologías pueden destacarse el empleo de funciones de vulnerabilidad sísmica, la consideración de la Interacción Dinámica Suelo-Estructura (IDSE) y el aislamiento sísmico de base. El empleo de funciones de vulnerabilidad sísmica se basa en la determinación un índice de vulnerabilidad en función de características propias de la edificación, y a partir de este valor se estima el posible daño que puede ocasionar un evento sísmico [2], [3]. El aislamiento sísmico de base propone la incorporación de una serie de dispositivos (aisladores), altamente flexibles en dirección horizontal y rígidos en la dirección vertical, entre el suelo de cimentación y la estructura [4]. IDSE es el conjunto de efectos cinemáticos e inercia-les producidos entre la estructura y el suelo ante solicitaciones dinámicas [5]. Considerarla, tiene como objetivo tomar los efectos acoplados a ella, donde juegan un rol fundamental los efectos elastodinámicos y la propagación de ondas, las propiedades del suelo y su modificación ante cargas cíclicas, así como la dinámica estructural [6]. Esta última considera la implicación que posee la superestructura al no estar apoyada en una base completamente rígida.
La Interacción Dinámica Suelo - Estructura se define a partir de dos efectos que tienen lugar de manera simultánea: la interacción cinemática y la interacción inercial. La componente cinemática de la interacción depende de la relación entre la rigidez del suelo y la cimentación. En los casos en los que se considera la base de la edificación indeformable, la respuesta de la superestructura dependerá solamente de sus características propias: masa, rigidez y amortiguamiento [7], [8]. Por el contrario, en los casos en los que la base de la edificación se considera deformable se deben analizar los tres efectos que, de manera general, involucra la IDSE: efectos de sitio, interacción cinemática e interacción inercial [9].
Para una correcta evaluación del fenómeno de IDSE es necesaria la utilización de modelos con la mayor exactitud posible. Entre estos se destacan el modelo de Winkler, el elástico continuo, el de péndulo invertido sin peso y los dinámicos d. d. Barkan - o. a. Savinov, v. a. Ilichev, y el propuesto por a. e. Sargsian. Existen, además, algunos modelos avanzados, como los de idealización elasto - plástica, no lineal y viscoelástica.
El modelo dinámico propuesto por Sargsian ha sido implementado en varios programas de cálculo sísmico de edificaciones con el empleo del Método de Elementos Finitos. Este considera el suelo como un medio inercial elástico, homogéneo e isotrópico, y la cimentación como un cuerpo sólido. Este modelo incorpora parámetros cuasiestáticos de rigidez de la base de cimentación [9], [10].
La metodología de cálculo propuesta por Sargsian está basada en un esquema dinámico que describe la interacción suelo-estructura y las vibraciones de la edificación, considerando la resonancia y disipación en las capas del medio, difracción de ondas en la superficie de contacto de la edificación con el suelo, considerando las fases de desplazamiento entre diferentes puntos y la respuesta de la reacción de la edificación hacia los estratos del suelo, como solución a los problemas dinámicos de contacto con las condiciones de borde, en la interacción con la base de fundación heterogénea [9], [11].
La IDSE ocasiona diversos efectos en las edificaciones. El aumento del periodo fundamental de vibración [12], [13], el incremento o reducción del amortiguamiento, la modificación de la demanda de ductilidad estructural son producidos por la interacción inercial debido fundamentalmente a la inercia y elasticidad del sistema acoplado [14]. Por tanto, si el cimiento es suficientemente rígido, se reducen los movimientos de traslación de la cimentación, así como el cabeceo y la torsión de esta.
El giro que la deformación permite a la base de la estructura reduce la rigidez efectiva de esta y da lugar, por tanto, a un aumento de su periodo. El giro en cuestión, por otra parte, hace que el desplazamiento total de la estructura sea mayor que el determinado considerando la cimentación empotrada [15]. Este aumento de los desplazamientos influye en los efectos de segundo orden y en la distancia necesaria entre dos edificios para que estos no colapsen durante un sismo. No obstante, a pesar de que el desplazamiento total aumenta, la deformación disminuye, ya que parte de ella se concentra en la cimentación.
Por otro lado, el suelo, al no ser infinitamente rígido, es capaz de absorber parte de la energía liberada por los sismos. Esto se debe a que el trabajo conjunto suelo estructura constituye una fuente adicional de disipación de energía que reduce la respuesta de la estructura, por lo que las deformaciones que esta tiene que sufrir para disipar la energía del sismo son menores que si no existiera la interacción [13], [16]. De esta forma, la energía absorbida por el suelo no llegaría a la superestructura, lo cual redunda en una disminución de las solicitaciones [12]. Esto implicaría que el hecho de no tener en cuenta la IDSE conduciría a un diseño seguro, pero si se atiende a los desplazamientos, se observa que existen casos en los que se hace necesaria su consideración.
No existe un criterio uniforme acerca de la pertinencia de considerar o no la IDSE, por lo que ha sido tema de análisis recurrente entre los investigadores. De forma general se plantea que la IDSE debe tenerse en cuenta en el análisis de edificios altos ubicados sobre suelos blandos, pues en suelos rocosos pierde sentido la consideración de cierto grado de flexibilidad de la base [9].
Sin embargo, otros autores, como [17], plantean que edificaciones con baja y mediana altura ubicadas en suelos de rigidez media y alta la consideración de IDSE puede ser significativa; incluso, en el caso de edificaciones de mediana altura, estas pueden entrar en resonancia con el suelo producto de la proximidad entre los periodos del suelo y de la estructura. Para este análisis los autores proponen el parámetro R, definido como el cociente entre los periodos fundamentales de vibración de la estructura y el suelo.
En la medida que este parámetro tiende a la unidad aumenta la probabilidad de que la edificación entre en resonancia con el suelo, esto genera amplificaciones significativas en las aceleraciones del sistema, por lo que se afirma que la condición de resonancia es la que domina en los problemas de Interacción Sísmica Suelo-Estructura [9].
La investigación que se presenta tiene como objetivo determinar la influencia de la altura en la respuesta estructural de edificaciones de tipología mixta de hormigón armado bajo la acción de carga sísmica a partir de la consideración de la IDSE. Para ello se analizan tres edificaciones de 5, 10 y 15 niveles ubicadas en Santiago de Cuba, considerada como zona de alto riesgo sísmico y suelo d según la clasificación que para estos establece la NC 46: 2017 [1]. Se introduce la IDSE mediante las formulaciones de Sargsian y se comparan los resultados con la base empotrada. En la comparación se verifican los parámetros periodo de oscilación, distribución de fuerzas por pisos, desplazamiento en el tope y derivas.
METODOLOGÍA
Descripción de la edificación
Geometría
Se analizan tres edificios destinados a viviendas con 5, 10 y 15 niveles. En todos los casos el puntal del primer nivel es de 3,00 m y el resto de 2,70,para un total de 13,8, y 40,8 m, respectivamente. Estos están conformados por pórticos y muros de hormigón armado que responden a una tipología mixta.
En planta las edificaciones cuentan con 12 módulos de 7,2 m x 7,2 m, dispuestos de forma simétrica, representando una estructura regular tanto en planta como en elevación (figura 1).

Las losas de entrepiso y de cubierta cubren paños de 7,20 m x 7,20 m con 20 cm de espesor. Las columnas del edificio de cinco niveles presentan una sección transversal de 50 cm x 50 cm; el de 10 niveles, 65 cm x 65 cm, y en el de 15 niveles, 70 cm x 70 cm. En el caso del primer nivel, estas cuentan con 3,00 m de altura, y en el resto de los niveles con 2,70.
Las vigas de las tres edificaciones presentan una sección transversal de 60 cm x 40 cm y cubren luces de 7,20 m. Las losas son de 20 cm de espesor y los tímpanos de 25cm, presentando estos últimos continuidad estructural en todos los niveles.
En proceso de modelación de las edificaciones se consideraron dos variantes: una con empotramiento perfecto en la base y la segunda con la inclusión de la IDSE en el modelo mediante las formulaciones de Sargsian, ubicado sobre un suelo tipo D según la clasificación propuesta por la norma NC 46:2017 [1]. Esta clasificación considera perfiles de suelos rígidos de cualquier espesor que cumpla con el criterio de velocidad de la onda de cortante entre 180 y 360 m/s. Las propiedades del suelo se presentan en la tabla 1.

Para las variantes en las que se incluyó la IDSE, se modeló una losa de cimentación que responde a las propiedades del suelo utilizado. Las dimensiones de la misma para cada edificación se muestran en la tabla 2.

Material
En todos los elementos se empleó como material el hormigón armado hormigonado "in situ", con una resistencia característica f'c = 35MPa, peso específico de 24kN/m3, módulo de elasticidad E = 27.805MPa y coeficiente de Poisson O = 0,17.
Condiciones de borde
Las uniones columna-columna y viga-columna se consideran continuas. Las bases de las columnas se consideraron empotradas en una variante, y para la consideración de la IDSE se emplearon resortes con un valor de rigidez en el que intervienen los parámetros de la losa de cimentación y el suelo.
Cargas
Cargas permanentes y de uso
Las cargas permanentes impuestas a los modelos fueron obtenidas a partir de lo establecido en la NC 283:2003 [18]. Las mismas resultaron de 2,90 y 1,87 kN/m2 en entrepiso y cubierta, respectivamente. Como cargas de uso fueron considerados valores de 1,5 y 2 kN/m2 en entrepiso y cubierta, respectivamente, según lo establecido en la NC 284:2003 [19].
Carga sísmica
Las edificaciones se encuentran ubicadas en la ciudad de Santiago de Cuba, considerada de alto peligro sísmico según la clasificación de la NC 46:2017 [1]. El cálculo de la carga sísmica fue realizado mediante el Método Estático Equivalente (mee), dado que las edificaciones no presentan irregularidades en planta o elevación y no exceden los 50 m de altura sobre la base [1].
Los parámetros propios del sitio donde se encuentran ubicadas las edificaciones se muestran en la tabla 3.

Se realizaron los ajustes por clase de sitio y por intensidades sísmicas especiales y se hallaron los periodos de esquina utilizando las expresiones que aporta la norma (NC-46, 2017). En la figura 2 se muestran los espectros de diseño horizontal y vertical obtenidos.

Periodo fundamental de oscilación
A partir del modelo realizado para cada edificio caso de estudio en el programa de análisis y diseño etabs v.17 se obtuvieron los valores del periodo fundamental de oscilación de la estructura en ambas direcciones de análisis, considerando como masa la carga permanente total de la edificación y el 25 % de la carga de uso. Se alcanza un por ciento de participación de la masa de más del 90 % a partir de los modos 14, 21 y 28 para los 5, 10 y 15 niveles, respectivamente.
En ninguna de las tres edificaciones analizadas tienen lugar correlaciones modales entre los modos fundamentales de la edificación, dado que los valores de periodo no se encuentran en el mismo orden y que, para grandes participaciones de masa en una dirección, en las respectivas direcciones ortogonales no aparecen valores significativos. Esto indica que la estructura no se excita simultáneamente en ambas direcciones, por lo que no hay riesgo de superposición de efectos en los componentes más críticos de la estructura.
En la tabla 4 se reportan los valores de los períodos fundamentales de oscilación para el primer modo de oscilación, en las direcciones x y y para cada edificación analizada al considerar la base empotrada.

Los valores reportados
Inclusión de la IDSE
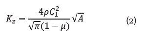
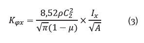
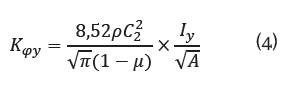
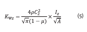
Las formulaciones para la inclusión de la IDSE mediante modelo de Sargsian incorporan parámetros cuasiestáticos de rigidez de la base de cimentación que, ajustado para plateas de cimentación, pueden determinarse mediante las expresiones 1 a la 5 [20].





Donde
A: área de la platea de cimentación.
ρ: densidad del suelo.
μ: coeficiente de Poisson del hormigón.
Ix, Iy momentos de inercia de la losa de cimentación respecto a los ejes "X" y "Y".
Iz: momento de inercia de la losa de cimentación respecto al eje vertical "Z" (momento polar de inercia).
C1: velocidad de propagación de las ondas longitudinales.
C2: velocidad de propagación de las ondas transversales.
De acuerdo con la concepción de semiespacio elástico, las velocidades de propagación de las ondas longitudinales y transversales se pueden calcular mediante las expresiones 6 y 7, respectivamente.


Donde
E: módulo de elasticidad del suelo.
En la tabla 5 se muestran los valores de rigidez obtenidos.

Determinación del cortante basal (VB)
El cortante basal se determinó mediante la expresión 8,

Donde
Ws: Peso sísmico efectivo obtenido para la combinación G + 0,25Q.
Cs: Coeficiente sísmico al límite de cedencia de diseño. Este término fue determinado mediante la expresión 9:

Donde
Sa (T): demanda sísmica de diseño para una estructura con periodo T(s). R: factor de reducción de respuesta sísmica.
Para realizar la distribución de las fuerzas sísmicas por niveles fueron utilizadas las expresiones 10 y 11:


Donde Fx es la fuerza horizontal que actúa en el nivel "x" de la edificación, Wx y W son el peso sísmico efectivo del nivel " z", hx y h son la altura del nivel "x" sobre la base y n es la cantidad de niveles de la edificación. El factor k, exponente de la altura, depende del periodo de oscilación de la estructura. A los efectos del análisis se considera el 100 % en una dirección concurrente con 30 % en la dirección ortogonal y la combinación complementaria [1].
RESULTADOS
Los efectos de la consideración de la IDSE en el análisis de cada edificación se comprueban en las modificaciones que sufren los parámetros: periodo de oscilación, distribución de fuerzas sísmicas por niveles, desplazamientos en el tope y derivas.
Periodos de oscilación
En la figura 3 se muestran los valores de periodo fundamental de oscilación de las tres edificaciones según la condición de apoyo analizada. Dichos valores corresponden al peso sísmico efectivo (ws) obtenido considerando la carga permanente y el 25 % de la carga de uso actuante en la edificación.

La inclusión de la IDSE en el análisis de las edificaciones implica un incremento de los periodos de oscilación para las dos alturas analizadas, dada la influencia de la flexibilidad de la base al no ser considerada perfectamente empotrada. En el caso de cinco niveles, el incremento está en el orden del 33,0 y 13,5 % para las direcciones X y Y, respectivamente. Para el caso de 10 niveles, 11,3 % en X y 5,5 % en Y; en la edificación de 15 niveles, estas diferencias son del 5,0 % en la dirección X y 2,2 % en Y. Se evidencia que con el incremento de la altura de la edificación se reducen las diferencias en los periodos de oscilación entre la base empotrada y con IDSE.
Según lo referido por [14], en estratos de suelo blando puede ocurrir la atenuación o amplificación de la onda sísmica en función, entre otros parámetros, del espesor del estrato. Lo anterior produce un efecto de interacción dinámica en el sistema suelo cimentación una vez que la onda llega a la base de la estructura, producto de la deformabilidad del suelo ante acciones sísmicas. Como parte del análisis de los periodos de oscilación se determinó el parámetro R, que relaciona el periodo del suelo y el de la estructura, con el objetivo de estimar la influencia de la consideración de la IDSE. En la medida que este parámetro tienda a la unidad se produce una amplificación de los efectos sísmicos trasmitidos por el suelo a la superestructura. En la tabla 6 se representan los valores que toma el parámetro R una vez aplicada la IDSE.

Los resultados muestran que para la edificación de 10 niveles la tendencia es a la igualdad entre los periodos del suelo y la estructura, lo cual implica que los efectos sísmicos tienden a amplificarse.
Fuerzas sísmicas por niveles
En las figuras 4, 5 y 6 se muestran la distribución del cortante basal en la altura considerando la base empotrada y con la inclusión de la IDSE.



Se observa que para el edificio de cinco niveles no se producen cambios en la distribución de fuerzas sísmicas una vez considerada la IDSE. Este resultado se justifica en el espectro de diseño horizontal para suelo tipo d, pues la demanda sísmica de diseño Sa (T) para periodos fundamentales de vibración de la estructura que estén en el rango entre T0 < t< Ts se mantiene constante y su valor es igual a la aceleración espectral de diseño para periodo corto Sds, propia de cada tipo de suelo. Por esta razón, aunque luego de implementar la IDSE el periodo de la estructura aumente, las fuerzas sísmicas no varían mientras los nuevos periodos se mantengan en este rango.
En el caso del edificio de 10 niveles, puede apreciarse que la distribución de fuerzas en la altura es diferente en las dos direcciones presentadas con la consideración de la base empotrada y con la aplicación de IDSE. Esto ocurre debido a dos factores fundamentales: el primero, la ubicación de los periodos en el espectro de frecuencia que modifica la determinación de Sa (T), y segundo, a la variación del factor k, que modifica exponencialmente el término hxk de la expresión 10, pues los periodos de oscilación superan los 0,5 s.
En la dirección x, al incluir la IDSE, se produce una disminución de la fuerza sísmica para los pisos 1 al 7, mientras que a partir del piso 8 se produce un incremento de la misma, si se tiene en cuenta la expresión 10, se observa que la fuerza correspondiente a cada piso está en función de la masa del nivel en cuestión, de la altura del mismo respecto a la base (acumulativa) y del factor k, dependiente del periodo. En dicha expresión, el denominador es constante para cada edificación analizada, pues está en función de la masa total de la edificación, de la altura total de la misma y del periodo, siendo este último mayor en aquellos casos en los que se incluyó la IDSE. En cambio, el numerador aumenta a medida que se analizan los pisos superiores, aumentando con mayor rapidez en los casos en los que se implementó la IDSE, dado que el periodo es superior al obtenido en el modelo con base empotrada. Esto explica cómo a partir de un mismo valor de cortante basal, la redistribución de fuerzas por piso presenta un punto de inflexión, correspondiente con el momento en que el numerador supera al denominador. Dicho punto de inflexión está, lógicamente, determinado por el periodo fundamental de la estructura y las modificaciones que tienen lugar en este a partir de la consideración de la IDSE.
En el edificio de 15 niveles, las fuerzas por pisos se reducen una vez aplicada la IDSE, debido a la reducción que experimenta el valor del cortante basal. Destaca que la fuerza sísmica máxima para el edificio de 15 niveles es menor que la de las edificaciones de 10 y 5 niveles, a pesar de que con la altura aumenta el peso sísmico efectivo. Los cortantes basales son similares entre los edificios de 10 y 15 niveles, debido a que el término Sa (t) disminuye con el aumento del periodo de oscilación. La similitud en los cortantes basales provoca una disminución en la fuerza sísmica que llega a cada nivel al incrementar la altura de 10 a 15 niveles.
Desplazamientos en el tope
En la figura 7 se muestran los desplazamientos en el tope de las edificaciones para cada uno de los modelos analizados según la condición de apoyo de la base.

En las tres edificaciones analizadas, la inclusion de la idse produce un incremento de los desplazamientos. Para los tres edificios, una vez aplicada la IDSE, el desplazamiento en el tope no supera los valores admisibles de 23,0, 45,5 y 68,0 mm para 5, 10 y 15 niveles, respectivamente, considerado como h/600 siendo hla altura total de la edificación. El mayor aumento se produce en la edificación de 10 niveles producto de la cercanía del período de oscilación entre el suelo y la estructura que se deriva de la consideración de la IDSE, demostrado con el parámetro r, lo que repercute en el aumento de las fuerzas por piso y, por tanto, mayores diferencias en los desplazamientos en el tope.
Derivas de piso
En el caso de las derivas, el comportamiento es similar al de los desplazamientos en el tope. En las figuras 8, 9 y 10 se muestran las derivas de piso para cada uno de los modelos analizados según la condición de apoyo de la base.



Para las tres alturas analizadas se aprecia una tendencia de deformación acorde con la tipología de pórticos y tímpanos. La inclusión de la IDSE en el análisis provocó un incremento de las derivas de piso. Las mayores diferencias absolutas se reportan para la edificación de 10 niveles a causa del efecto de amplificación producido por la similitud que se reportan en los periodos de la edificación con respecto a los del suelo.
El límite de derivas que plantea la NC 46:2017 [1] para el tipo de obra analizada es 0,020 hp, siendo hp la altura del piso para el que se calcula la deriva. En los resultados que ofrece el programa etabs, los valores de deriva incluyen el término altura del piso (hp). La comparación, por tanto, se realiza solo con el término 0,020.
En los gráficos se destacan los valores máximos de deriva reportados pertenecientes a la consideración de IDSE. Como se aprecia, en ninguno de los casos presentados se supera el valor admisible.
CONCLUSIONES
Fueron modeladas con el empleo del programa etabs tres edificaciones de 5, 10 y 15 niveles ubicadas en zona de alto riesgo sísmico y suelo d. Se consideró la IDSE mediante las formulaciones de sargsian y se compararon los resultados con la base empotrada. Como resultado de la investigación se demuestra que la inclusión de la IDSE en el análisis de edificios de hormigón armado con tipología mixta situados en zonas de alto peligro sísmico con suelos tipo d, resultan en incremento de los periodos de oscilación, el desplazamiento máximo en el tope y las derivas independiente de la altura de la edificación. En el caso de la distribución de fuerzas por pisos, esta modificación depende de la altura de la edificación, y puede no tener lugar en edificaciones de pocos niveles para periodos fundamentales de vibración de la estructura en el rango t < T< Ts, pues la demanda sísmica de diseño Sa (T) se mantiene constante y su valor es igual a la aceleración espectral de diseño para periodo corto Sds, propia de cada tipo de suelo. La modificación de los parámetros analizados tiene mayor repercusión mientras más cercana a la unidad sea la relación entre los periodos de la edificación y el suelo.
REFERENCIAS
NC-46, "Construcciones sismorresistentes. Requisitos básicos para el diseño y construcción". Oficina Nacional de Normalización, 2017, p.106.
E. M. Rondón y G. C. Cho, "Estimación de las funciones de vulnerabilidad sísmica en edificaciones en tierra", Revista Científica Ingeniería y Desarrollo, vol. 5, n°. pp. 180-199, 2009.
E. M. Rondón , I. G. Araújo y G. C. Cho, "Aplicación de los conjuntos difusos en la evaluación de los parámetros de la vulnerabilidad sísmica de edificaciones de manipostería", Revista Científica Ingeniería y Desarrollo, vol. 22, n°. 2007.
C. M. Piscal Arevalo y F. Lopez Almansa, "Comparación de las dos metodologías de análisis y diseño más recientes de asce 7, para el análisis de su posible empleo en edificaciones con aislamiento sísmico de base en Colombia", Revista Científica Ingeniería y Desarrollo, vol. 37,n°. 1, pp. 57-70, 2019. doi.org/10.14482/inde.37.1.624.2
C. I. Coyolt, "Interacción Dinámica Suelo Estructura", tesis de maestría, Universidad Nacional Autónoma de México. Disponible en: https://repositorio.unam.mx/contenidos/99983, 2016.
H. Tahghighi y A. Mohammadi, "Numerical Evaluation of Soil-Structure Interaction Effects on the Seismic Performance and Vulnerability of Reinforced Concrete Buildings", International Journal of Geomechanics, vol. 20, n°. 6, 2020.
G. Espinoza, F. Benedetti, P. Alvarez y E. Bonilla, "Influence of the seismic excitation frequencies content on the behavior of a tunned mass damper in low rise building considering Soil-Structure Interaction", Latin American Journal of Solids and Structures, vol. 15, n°. 8, 2018.
C. Cruz y E. Miranda, "Evaluation of soil - structure interaction effects on the damping ratios of buildings subjected to earthquakes", Soil Dynamics and earthquake Engineering, vol. 100, pp. 183-195, 2017.
R. Gamón, O. Reyes, N. Fundora y J. O. Martínez, "Interacción dinámica suelo-estructura en edificaciones con tipología mixta ubicadas en zona de bajo riesgo sísmico", en Convención 2021. Universidad Central "Marta Abreu" de Las Villas. Simposio Internacional de Construcciones, 2021. Disponible en: https://convencion.uclv.cu/es/event/simposio-internacional-de-construcciones-108/track/interaccion-dinamica-suelo-estructura-en-edificaciones-con-tipologia-mixta-ubicadas-en-zona-de-bajo-riesgo-sismico-3493
Z. Corratgé Yzaguirre, "Influencia de la interacción dinámica suelo - desempeño de una edificación de 10 niveles" Tesis de maestría, Universidad Tecnológica de La Habana José Antonio Echeverría (cujae), 2020.
G. Villarreal Castro, Interacción sísmica suelo-estructura en edificaciones con plateas de cimentación. Lima, Perú, 2017, p. 60.
A. A. E.-R. Farghaly y A. M. El-Khamisy, "Seismic Performance of Raft Foundation of H. R. B. with SSI Effect", American Journal of Engineering Research (AJER), n°. 5, pp. 147-151, 2018.
M. Modi y N. Shah, "Raft Foundation with ssi and without ssi Effects on Different Story", International Journal of Engineering Development and Research (IJEDR), vol. 4, n°. 2, pp. 764-766, 2016.
F. D. D. Guzmán, F. E. Barreras, R. S. Vergara y C. I. H. López, "Respuesta dinámica de un edificio considerando el efecto de interacción suelo-estructura", Monografías de ingeniería sísmica. A.H. Barbat, Ed., 2012, p. 145.
A. Byresh y R. Umadevi, "Effect of soil structure interaction in rc framed building compared to fixed base", International Journal of Innovative Research in Science, Engineering and Technology, vol. 5, n°. 8, pp. 14450-14458, 2016.
R. Meli Piralla, "Diseño estructural" (2a ed.). México: Noriega Editores, 1986, p.587.
M. R. Villarraga H., M. Pineda A., A. F. Ramírez R., C. E. Ramírez R., J. D. Arango R., R. A. Rodríguez A. y J. Valencia C., "Estudio paramétrico de los efectos de la interacción sísmica suelo estructura", IV Encuentro Nacional de Ingenieros de Suelos y Estructuras. Foro Internacional sobre Microzonificación Sísmica. 2006.
NC-283, "Densidad de materiales naturales, artificiales y de elementos de construcción como carga de diseño". Oficina Nacional de Normalización, 2003, p.11.
NC-284, "Edificaciones. Cargas de uso". Oficina Nacional de Normalización, 2003, p.12.
Z. Corratgé, J. Martínez y W. Cobelo, "Influencia de la interacción dinámica suelo-estructura en el mecanismo de colapso y nivel de desempeño de edificaciones de hormigón armado", Hormigón y Acero, vol. 73, n°. 296, pp. 41-53, 2022. doi.org/10.33586/hya.2021.3027