ARTÍCULO DE INVESTIGACIÓN
Tratamiento de la calidad del aire interior mediante el uso de plantas de tipo ornamental
Treatment of indoor air quality through the use of ornamental plants
Tratamiento de la calidad del aire interior mediante el uso de plantas de tipo ornamental
Ingeniería y Desarrollo, vol. 42, no. 1, p. 1, 2024
Fundación Universidad del Norte
Received: 22 December 2022
Accepted: 10 July 2023
Resumen: Este trabajo tuvo como objetivo evaluar el uso de la fitorremediación como técnica para eliminar el material particulado con tamaño de diámetro inferior a 10 y 2,5 (PM10 y PM25, respectivamente, por sus siglas en inglés) existente en ambientes interiores debido a sus efectos nocivos para la salud pública y el rendimiento de la población a nivel laboral. Para ello se utilizaron arreglos conformados por 6 plantas ornamentales de fácil adquisición, como el miami verde (Epipremnum aureum), la sábila (Aloe vera), la flor de la paz (Spathiphyllum sp.), el helecho rizado (Nephrolepis exalta), el singonio (Syngonium podophyllum) y la lengua de suegra (Sansevieria trifasciata); las cuales fueron instaladas en diferentes dependencias de una institución de educación superior, donde previamente se determinó el nivel de PM2,5 y PM10. Una vez los arreglos fueron implementados, estas mediciones se promediaron y compararon con los datos registrados con miras a estimar el porcentaje de remoción del PM2,5 y PM10 por parte de estos. Se evidenció el efecto positivo asociado a la implementación de los arreglos ornamentales seleccionados, especialmente del constituido por 2 individuos de Nephrolepis exaltata, en comparación con las dependencias utilizadas como control. De esta manera, se evidencia que la fitorremediación puede ser considerada como una posible solución a la problemática ambiental en términos de calidad del aire interior.
Palabras clave: Aire interior, contaminación del aire, fitorremediación, material particulado, salud pública.
Abstract: This work is proposed to evaluate the use of phytoremediation as a technique to eliminate the particulate matter lower than 10 and 2,5 цгп (PM10 yPM25, respectively) present in indoor environments due to the associated adverse effects related to the public health damage and the population performance reduction at work level. For this purpose, arrangements made up of 6 ornamental plants readily available were used, such as the green miami (Epipremnum au-reumi), the aloe (Aloe vera), the peace flower (Spathiphyllum sp.), the curly fern (Nephrolepis exaltata), the syngonium (Syngonium podophyllum) and mother-in-law's tongue (Sansevieria trifasciata); which were installed in different dependencies of a higher education institution, where the level of PM2,5 and PM10 was previously determined. Once the arrangements were implemented, these measurements were averaged and compared with the data recorded to estimate their PM2,5 and PM10 removal percentage. In general, the positive effect associated with the implementation of the selected ornamental arrangements was evidenced, especially that one constituted by 2 individuals of Nephrolepis exaltata, in comparison with the dependencies used as a control. Therefore, phytoremediation may be considered as a solution to the environmental problem related to indoor air quality.
Keywords: Air pollution, indoor environment, particulate matter, phytoremediation, public health.
INTRODUCCIÓN
Con el crecimiento de la población y el desarrollo industrial del que estamos siendo partícipes en la actualidad, cada vez son más los contaminantes presentes en la atmósfera, viéndose afectada la calidad del aire, particularmente la de países de economía emergente como Colombia [1]. De hecho, según la Organización Mundial de la Salud (OMS), los países del mundo con bajos ingresos tienen un promedio de 93 000 muertes anuales debido a la contaminación atmosférica, mientras que los países con altos ingresos, o países desarrollados, las muertes se encuentran cercanas a un valor de 44 000 hab/año [2].
Debido a la incidencia que tiene la calidad del aire en la salud, se hace necesario el desarrollo de políticas ambientales y la implementación de planes que permitan reducir las enfermedades y los gastos en salud en los que se incurre [3], [4], ya que estos problemas han ido en aumento y, con ello, el incremento de los riesgos a la salud [5]. En este sentido, la calidad del aire debe regularse y establecer valores límites de las sustancias tóxicas emitidas a la atmósfera, buscando controlar la contaminación del aire y, por consiguiente, reducir las afectaciones que esto conlleva a nivel internacional [6]. Para el caso particular de Colombia, en la Resolución 2254 de 2017 se establecen los límites máximos permisibles de concentración y el tiempo de exposición para diversos contaminantes atmosféricos [7].
A pesar de que la expresión "calidad del aire" tiende a ser utilizada, por lo general en ambientes externos, el término es aplicable e igualmente importante cuando se trata de ambientes interiores, tales como oficinas, salones y bodegas, lo cual influye directamente sobre el rendimiento laboral y la salud de las personas que ocupan estos espacios. En efecto, conforme al reporte del Departamento Nacional de Planeación [DNP] para 2015, en Colombia se contabilizaron 2286 muertes asociadas a la calidad del aire en ambientes interiores; hecho que en términos económicos se asocia a tratamientos y costos por mortalidad prematura, los cuales fueron equivalentes a un 0,38 % del producto interior bruto (PIB) colombiano para el año referido [8]. Cabe destacar que en estos lugares interiores podemos encontrar contaminantes como el dióxido de carbono (CO2), compuestos orgánicos volátiles (COVs), fibras de asbesto, polvo y diferentes gases, siendo el material particulado (PM) de especial importancia [6].
El PM presente en el aire está compuesto por un gran número de sustancias de diferente naturaleza y propiedades fisicoquímicas, cuya presencia en la atmósfera puede deberse a procesos naturales como incendios forestales, aspersión marina y erupciones volcánicas, entre otros; o a causas de origen antropogénico, tanto móviles como fijas, entre las que se incluyen las emisiones del parque automotor, procesos productivos y actividades de construcción [8]. Entre los diferentes tipos de partículas en suspensión en la atmósfera, el material partículado inferior a 10 y 2,5 de diámetro (PM10 y PM2,5, respectivamente) es el que amerita mayor atención dados sus efectos negativos sobre la salud [10], ya que su presencia ha sido asociada con el deterioro del sistema respiratorio y cardiovascular, así como con el reporte de diversos casos de cáncer [5].
La situación global que se presenta relativa a la mala calidad del exterior influye directamente sobre la calidad del aire interior, por lo que mejorar las características del aire exterior afecta positivamente los niveles de contaminación y acumulación que se presentan en el aire interior [11]. Utilizar técnicas como la ventilación natural favorece el intercambio de aire y reduce la concentración de las partículas presentes en el mismo. De esta manera, se evita la acumulación de contaminantes en el interior y se minimizan los riesgos de enfermedades [12], siempre y cuando el aire exterior tenga buena calidad; en caso contrario, se agravaría el problema de la contaminación del aire interior. Es por ello que en muchas ocasiones debe recurrirse a sistemas de tratamiento alternativos como la fitorremediación [13].
La fitorremediación se refiere al uso de plantas para acumular, absorber, estabilizar o metabolizar contaminantes de distinta naturaleza existentes en diferentes matrices ambientales. Cabe destacar que la fitorremediación es una tecnología accesible de bajo costo en comparación con otras que tratan contaminantes similares [13]-[15]. Además, la fitorremediación ha sido reportada como una técnica de gran efectividad debido a la versatilidad de las plantas y la gran variedad de especies que existen [6], [16]. Entre los diferentes mecanismos utilizados por las plantas durante el proceso de fitoremediación destacan la fitoextracción, fitovolatilización, fitodegradación, fitoestabilización, rizodegradación y la rizofiltración [6]. Por su parte, son varias las especies de plantas con capacidades de incorporar a su estructura estos contaminantes y/o degradarlos, tales como Syngonium spp., Brassica spp., Spinacia spp., Nephrolepis spp., Aloe spp., entre otras [6], [16].
Bajo este escenario, este trabajo pretende evaluar la viabilidad de la fitorremediación para el mejoramiento de la calidad del aire en espacios interiores de una institución universitaria, en términos de remoción de PM10 y PM2,5. Para ello, los lugares de muestreo y de instalación de los arreglos ornamentales fueron seleccionados previamente, así como las plantas que, según su distribución, tipo y contaminantes a ser removidos, pudieran conformar dichos arreglos. Posteriormente, se estudió la evolución de los contaminantes de interés a lo largo del periodo en el que estuvieron instalados los sistemas ornamentales. Los niveles obtenidos para PM2,5 y PM10 fueron comparados con los registrados iniciales. Finalmente, se determinó el beneficio aportado por el uso de plantas en espacios interiores y se identificó el arreglo de plantas más adecuado a ser utilizado como técnica de fitorremediación para la eliminación de PM2,5 y PM10 bajo las condiciones de estudio.
METODOLOGÍA
Selección de los lugares de muestreo
El estudio realizó en una institución universitaria ubicada en la ciudad de Medellín, Antioquia (6°16'51.879"N 75°34'59.187''W). La institución de educación superior cuenta con un campus de 40 000 m2, rodeado por zonas verdes con una extensión de más de 13 000 m2, cuyas entradas están comunicadas con una vía principal de doble sentido.
En el interior de la institución se seleccionaron 6 lugares de muestreo, distribuidos de modo que fueran colindantes con las obras de construcción y adecuación de un nuevo bloque efectuadas en la institución. Las dependencias de muestreo referidas fueron la oficina de Admisiones y Registro (1-101), la oficina de la Facultad de Ingeniería (1-303), la oficina del Jefe de Laboratorios (1-114), la oficina de Talento Humano (3-108) y las oficinas de Profesores (5-103 y 6-106).
Selección de los arreglos ornamentales instalados
Para la selección de los arreglos ornamentales se tuvo en cuenta la información reportada en la literatura [17], tomando como aspectos selectivos la facilidad de adquisición, manejo y crecimiento conforme a las condiciones climáticas de Medellín. Como se muestra en la tabla 1, se seleccionaron 6 especies diferentes de plantas.
Los arreglos ornamentales se ubicaron en los puntos definidos previamente conforme a las concentraciones promedio de PM2,5 y PM10 preliminares encontradas con el fin de evaluar la capacidad de remoción del material particulado. Para la instalación de los arreglos se tuvo en cuenta que no obstaculizaran el acceso de los usuarios en el interior de cada una de las dependencias seleccionadas, así como que no existiera interferencia con las actividades diarias a realizar dentro de estas y con las plantas que pudieran existir previamente en estos espacios. Por otro lado, cabe destacar que para la ubicación de cada uno de los arreglos ornamentales se procedió a solicitar con anticipación los permisos correspondientes.

Análisis de PM 10 y PM2,5
La determinación de la calidad del aire interior en términos de PM10 y PM2,5 en los lugares de muestreo se realizó a lo largo del segundo semestre de 2019 mediante el uso del medidor multiparamétrico marca 3M EVM7 (3M, Minnesota, Estados Unidos).
Una vez seleccionados las dependencias de muestreo, se realizaron mediciones preliminares con el fin de conocer los niveles previos de PM10 y PM2,5. En el interior de cada una de estas dependencias se ubicaron diferentes puntos de muestreo. Cada toma de datos se hizo por triplicado y tuvo una duración de 30 s a dos alturas diferentes (1,50 m y 1,70 m). Es de notar que las alturas referidas representan la altura promedio de una persona de pie (1,70 m) y sentada (1,50 m). Adicionalmente, en cada dependencia y punto en el interior de la misma se realizaron 2 muestreos diarios en horario laboral, uno en la mañana (entre las 8:00 y 11:00 a.m.) y otro en la tarde (entre las 3:00 y 6:00 p.m.).
Posteriormente, con estas mediciones preliminares, se seleccionaron los puntos críticos, los cuales fueron los sitios que presentaron las mayores concentraciones de PM10 y PM2,5. Por otro lado, los lugares con los menores y mayores niveles de PM10 y PM2,5 constituyeron los puntos de control, en los que no se instaló ningún arreglo de plantas. Cabe destacar que como requerimiento adicional en la selección de estos puntos de control se estableció que no se interfiriera con las plantas que ya existían previamente en el espacio de trabajo, en caso de que existiera alguna.
Una vez los arreglos ornamentales fueron instalados, se llevaron a cabo las mediciones de concentración de PM2,5 y PM10 utilizando el procedimiento descrito anteriormente. Los promedios aritméticos de cada semana fueron utilizados para calcular el promedio global de concentración de PM10 y PM2,5, para, de esta manera, determinar el porcentaje de reducción de los contaminantes de interés con respecto a su concentración inicial presente en las áreas de estudio.
Tratamiento de datos
El tratamiento de los datos se realizó mediante gráficas comparativas en las que se representaron los registros de concentración promedio globales y diarios de PM2,5 y PM10 obtenidos por separado en cada uno de los lugares seleccionados, de modo que se facilitara la identificación de tendencias y comportamientos de los contaminantes de interés durante el tiempo de tratamiento.
Para el cálculo de la remoción de los contaminantes objeto de estudio, se utilizó la expresión definida por la ecuación (1):

Donde C0 y Cf corresponden a la concentración (μg/m3) promedio de PM2,5 y PM10 preliminar y una vez el arreglo ornamental ha sido instalado, respectivamente, obtenida a lo largo del tiempo de muestreo.
RESULTADOS
Niveles preliminares de PM2,5 y PM10 y ubicación de los arreglos ornamentales
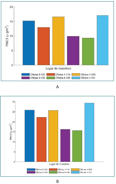
Se realizaron mediciones de PM10 y PM2 en los lugares de muestreo seleccionados previamente, los cuales eran colindantes a las obras de construcción y adecuación del nuevo Bloque 2 de la institución. Posteriormente, y con fines de comparación, se calcularon los valores promedio globales de PM2,5 y PM10, los cuales se representan en la figura 1(a) y 1(b), respectivamente. Los resultados obtenidos permitieron conocer los niveles preliminares de estos contaminantes, así como los puntos críticos y de control y aquellos lugares donde instalar los arreglos ornamentales.

Como se observa en la figura 1(a), los lugares en los que se presentó mayor concentración de contaminante PM25 fueron las oficinas 1-101, 1-303 y 5-103. Por su parte, los lugares en los que se alcanzó menor concentración de este contaminante fueron las oficinas 3-108 y 6-106. Estos mismos resultados se presentaron para PM10figura 1(b). Así, se identificaron los puntos críticos, los cuales fueron las oficinas 1-303, 1-101 y 5-103.
Por otro lado, se seleccionó la dependencia con las concentraciones del PM de interés más bajas (oficina 6-106) y aquella con los niveles más altos, en la cual no se pudieran implementar los arreglos ornamentales por la presencia previamente de alguna planta en el espacio de trabajo (oficina 1-303). Estos dos espacios constituyeron los puntos de control, en los cuales no se instalaron los arreglos de plantas objeto de estudio. Por su parte, en los demás sitios de muestreo se instalaron por duplicado los arreglos listados en la tabla 1, de modo que el arreglo número 1 se instaló en las oficinas 1-101 y 1-114, y el número 2, en las oficinas 3-108 y 5-103.
Asimismo, y previamente a la realización del muestreo preliminar, se definieron los puntos en el interior de cada uno de las dependencias seleccionadas en las que realizar las mediciones, teniendo en cuenta las consideraciones mencionadas anteriormente. En la figura 2 se ilustran los diferentes sitios de muestreo con la ubicación de los arreglos ornamentales correspondientes, así como los puntos de control en los cuales no se instalaron arreglos de plantas.

Evolución de PM2,5 y PM10 en presencia de los arreglos ornamentales
Una vez instalados los arreglos ornamentales, se procedió a realizar mediciones de PM2 y PM10, tanto en horas de la mañana como de la tarde, durante el periodo de muestreo.
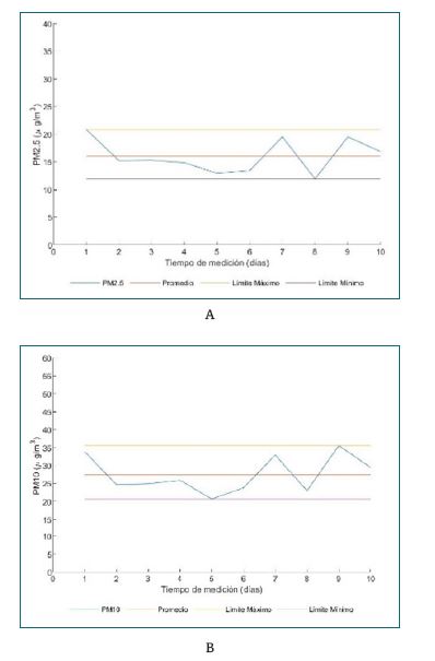
La figura 3 ilustra la evolución de la calidad del aire en términos de PM2,5 y PM10 a lo largo del tiempo de muestreo para cada uno de las dependencias seleccionadas con y sin presencia de los arreglos ornamentales instalados.






Como se puede observar en la figura, los niveles de PM2,5 y PM10 tomados el primer día de instalación de los arreglos de plantas fueron diferencialmente altos con respecto a los demás datos obtenidos a lo largo del tiempo y los diferentes lugares de muestreo.
Por otro lado, en términos generales, los resultados de concentración obtenidos para los contaminantes estudiados presentaron un aumento los días 7, 8 y 9 de medición (figura 3).
Asimismo, puede evidenciarse, para todas las dependencias muestreadas, que el PM2,5 y el PM10 tienen comportamientos similares a lo largo del tiempo.
Eficiencia de los arreglos ornamentales instalados
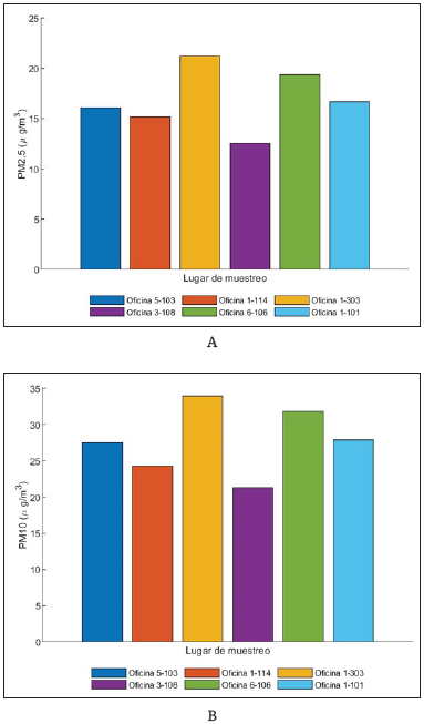
Con los datos registrados para PM2 y PM10 durante la implementación de los arreglos ornamentales en las diferentes dependencias y puntos de muestreo, y teniendo en cuenta las alturas correspondientes a 1,5 y 1,7 m, se realizaron los promedios globales, los cuales se representaron en la figura 4.

Comparando la figura 4 con la figura 1, relativa a los promedios globales de cada uno de los espacios muestreados registrados previamente a la instalación de los arreglos ornamentales, se observa de manera general, que los valores de PM10 y PM2,5 aumentan debido a las obras de acondicionamiento de la institución [18], así como al empeoramiento de la calidad del aire en la ciudad, según los reportes del Sistema de Alerta Temprana del Valle de Aburrá (SIATA) durante el periodo de muestreo [19]. Esta diferencia de valores de PM10 y PM2,5 antes y después de proceder a realizar la instalación de los arreglos ornamentales en las dependencias seleccionadas atendiendo a los resultados promedio preliminares de PM, se hace más evidente en aquellos espacios de trabajo en los que no se instalaron los arreglos ornamentales, lo cual evidencia el efecto positivo de las plantas en la mejora de la calidad del aire interior. Particularmente, la diferencia registrada en el espacio de control 6-106 resultó ser más significativa, probablemente debido a su ubicación, reducida ventilación y ausencia de plantas; a diferencia de la oficina 1-303, en la que el personal que labora en esta dependencia disponía de Epipremnum aureum y varias especies de suculentas antes del inicio del estudio, a lo que se suman las amplias ventanas y, por tanto, mejor ventilación del espacio de trabajo.
Por otro lado, y con el fin de determinar la capacidad de eliminación de los contaminantes de interés por parte de los arreglos implementados, se procedió a evaluar la eficiencia de remoción de PM2,5 y PM10, conforme a lo establecido en la ecuación (i). Se observó que en la oficina 1-101 hubo una eficiencia del 2,23 % y del 4,74 % para el PM2,5 y PM10, respectivamente.
Cabe destacar que el arreglo ornamental instalado en la oficina 1-114 constaba de Nephrolepis exaltata (2 individuos), Epipremnum aureum (1 individuo), Spathiphyllum sp. (1 individuo), Sansevieria trifasciata (1 individuo) y Aloe vera (1 individuo), siendo el helecho rizado el elemento diferenciador respecto del arreglo número 2 instalado en las oficinas 3-108 y 5-103. En este sentido, puede inferirse que esta especie de helecho rizado podría tener capacidad de remover PM2,5 y PM10.
Es importante mencionar que el arreglo ornamental con 2 individuos de Nephrolepis exaltata fue instalado también en la oficina 1-114; sin embargo, no se obtuvieron resultados comparables a los alcanzados en la oficina 1-101. En relación a los resultados obtenidos para la oficina 5-103 antes y después de la instalación del arreglo ornamental fueron muy similares.
DISCUSIÓN
Teniendo en cuenta los resultados obtenidos, se evidenció que durante los primeros días del muestreo se alcanzaron valores más altos de PM2 y PM1O respecto de los registrados a lo largo del tiempo. Esto podría deberse a que en la institución los días previos, correspondientes al fin de semana, se estuvieron ejecutando algunas de las obras de construcción y acondicionamiento del Bloque 2. Este hecho probablemente permitió la acumulación de los contaminantes objeto de estudio en el interior de los diferentes espacios muestreados, lo cual se sumó al bajo o nulo personal presente en cada uno de estos lugares, con la consiguiente reducción de las actividades de ventilación general natural y mecánica llevadas a cabo durante estos días debido a que cada una de las dependencias permanecieron cerradas. Adicionalmente, en el primer día de muestreo se reportó por parte del SIATA [19] deterioro de la calidad del aire en Medellín. Ambos aspectos pudieron influir en la concentración de contaminantes en el interior de los lugares de muestreo seleccionados.
Así mismo, el aumento de los niveles de PM10 y PM2,5 encontrados durante los días 7, 8 y 9 de muestreo pudo deberse a las labores de soldadura, construcción y pintado de las escaleras del Bloque 2 durante los días referidos.
En relación con el comportamiento del PM2,5, el cual resultó ser similar al PM10, podría ser indicativo de que es el mismo fenómeno el que está actuando como fuente de emisión de ambos tipos de PM [20]. Como se mencionó anteriormente, la institución está parcialmente rodeada por una vía principal de alto flujo vehicular, especialmente a primera y última hora de la mañana y tarde, respectivamente, coincidiendo con los periodos de muestreo. Además, esta vía es de doble sentido y su trazado está en pendiente, de modo que el sentido de subida de los vehículos es el más cercano a las diferentes dependencias muestreadas. Debe destacarse que la quema de combustibles fósiles genera la emisión de PM [21], [22], [23], [24], siendo mayor durante la circulación por vías en pendiente cuando los vehículos a motor se movilizan en subida. Además, como se indicó previamente, en el interior de la institución se están llevando a cabo labores de construcción y acondicionamiento de un nuevo bloque. Ambos aspectos podrían constituirse como parte de la fuente de emisión de los niveles de PM muestreados. Finalmente, el hecho de que ambos contaminantes sigan una evolución similar a lo largo del tiempo permitiría predecir los niveles de PM2,5 a partir de las concentraciones encontradas de PM1O [20], [25].
Por otra parte, como era de esperar, la eficiencia de remoción obtenida para el PM10 fue mayor en comparación con la alcanzada para el PM2,5, debido a que el PM2,5, por sus características, se mantiene por más tiempo resuspendido en el aire y su deposición, ya sea seca o húmeda, puede verse limitada. Adicionalmente, las plantas, como el helecho rizado con su follaje errático característico, tienen capacidad de absorber partículas, estabilizándolas y transportándolas hacia las raíces antes de convertirlas en biomasa y energía [6], [16], [26], fenómenos que se ven favorecidos para partículas de mayor tamaño.
Si bien con este trabajo se destaca el papel desempeñado por Nephrolepis exaltata en cuanto a su influencia positiva en la eliminación de PM2,5 y PM10 debido a su sistema radicular [26], es importante mencionar que los resultados obtenidos no se acercan a los reportados en la literatura, en la que las pruebas de cámara arrojan eficiencias de remoción superiores al 30 % [13]. Las diferencias encontradas pueden estar relacionadas con la escala a la que se llevaron a cabo, ya que a diferencia de la investigación referida, este estudio se realizó a escala real en ambientes de trabajo donde podrían haber intervenido diversos factores, tales como la salida y entrada de personas, el intercambio constante de gases y partículas del exterior al interior, los materiales e insumos usados durante el aseo y la resuspensión del material particulado que se da durante y después de la realización de estas labores, entre otros. A su vez, las actividades de construcción que se ejecutaron en la institución durante el periodo de muestreo pudieron afectar los niveles de PM registrados. Así mismo, tomando como soporte los datos de PM reportados por el SIATA para la ciudad de Medellín durante los días en que se realizó el muestreo, se puede evidenciar que la calidad del aire empeoró durante este periodo [19]. Todos estos parámetros son variables para tener en cuenta, ya que forman parte de un ambiente no controlado y, por lo tanto, difícil de cuantificar. Con el fin de sistematizar los resultados obtenidos, se propone, por tanto, llevar a cabo pruebas de cámara en las que el factor a variar sea solamente el arreglo ornamental y los niveles de concentración de PM.
A pesar de que el arreglo ornamental número 1 también fue instalado en la oficina 1-114, no se alcanzaron remociones comparables con las encontradas en la oficina 1-101. Esto pudo deberse al almacén de reactivos ubicado junto al espacio muestreado con el que está comunicado. Como se indicó anteriormente, el PM está conformado por una mezcla compleja de compuestos y gotas de líquido de tamaño muy pequeño; dentro de estos destacan sustancias orgánicas, así como sulfatos, nitratos y metales, entre otros compuestos, algunos de los cuales podrían proceder de los reactivos almacenados [27]. Adicionalmente, esta dependencia está en contacto continuo con laboratorios en los que se hacen prácticas académicas, se manipulan muestras sólidas y se utilizan reactivos de diversa índole, al tiempo que se moviliza una gran cantidad de personas, incluyendo estudiantes, laboristas y profesores, lo cual podría explicar los mayores niveles de PM2,5 y PM10 encontrados [28].
Respecto a la similitud de los resultados de PM10 y PM2,5 hallados en la oficina 5-103, previa y posterior a la ubicación del arreglo ornamental, debe indicarse que durante los primeros días de muestreo esta dependencia contó con 1 individuo de Nephrolepis exaltata, a diferencia de la oficina 3-108, donde se mantuvieron todos los individuos que conformaron el arreglo ornamental número 2.
En este contexto, se evidencia que la fitorremediación, y particularmente el uso de Nephrolepis exaltata, puede constituirse como una alternativa viable para el mejoramiento de la calidad del aire interior contaminado con PM2,5 y PM10, al tiempo que podría proporcionar confort térmico y reducir los niveles de ruido procedentes del exterior [29], [30]. No obstante, se hace necesaria la implementación de mayores estudios al respecto y durante un mayor periodo de tiempo.
CONCLUSIONES
En este trabajo se observa que los niveles de PM2,5 y PM1O son dependientes el uno del otro, de manera que con el muestreo de PM1O se podrían inferir las concentraciones de PM2,5.
Por otro lado, se puede concluir que el arreglo ornamental compuesto por Nephrolepis exaltata (2 individuos), Epipremnum aureum (1 individuo), Spathiphyllum sp. (1 individuo), Sansevieria trifasciata (1 individuo) y Aloe vera (1 individuo) presentó mejores resultados en cuanto a la eliminación de los contaminantes objeto de estudio, comparado con el arreglo constituido por Epipremnum aureum (1 individuo), Spathiphyllum sp. (1 individuo), Sansevieria trifasciata (1 individuo), Aloe vera (1 individuo) y Syngonium podophyllum (2 individuos). Dado que la diferencia entre ambos arreglos es la presencia de 2 individuos de Nephrolepis exaltata en el primero, se concluye que esta especie podría tener la capacidad de remover PM2,5 y PM10. Así, este arreglo podría constituirse como una opción de mejora de la calidad del aire interior, hecho que se une a la fácil adquisición y manejo de las plantas que lo integran.
No obstante, dado que el trabajo se llevó a cabo en ambientes reales, los resultados obtenidos pudieron verse influenciados por situaciones externas a la toma de muestras y registro de los resultados, como el tráfico vehicular de la vía contigua a la institución, las labores de construcción y mejora de espacios en el interior de la misma, y la situación de contingencia ambiental de la calidad del aire de la que ha sido partícipe la ciudad de Medellín durante la mayor parte del periodo en el que se realizaron las mediciones. En este sentido, son necesarios mayores estudios al respecto y durante campañas de muestreo de mayor duración con el fin de sistematizar los resultados obtenidos.
REFERENCIAS
W. Han, Z. Xu, X. Hu, R. Cao, Y. Wang, J. Jin, J. Wang, T. Yang, Q. Zeng, J. Huang y G. Li, "Air pollution, greenness and risk of overweight among middle-aged and older adults: A cohort study in China", Environmental Research, vol. 216, pp. 114372, 2023. https://doi.org/10.1016/j.envres.2022.114372.
Organización Mundial de la Salud (La OMS) publica estimaciones nacionales sobre la exposición a la contaminación del aire y sus repercusiones para la salud. Ginebra: Organización Mundial de la Salud, 2016. [En línea]. Disponible en: https://www.who.int/es/news-room/detail/27-09-2016-who-releases-country-estimates-on-air-pollution-exposure-and-health-impact.
S. Chaabouni, N. Zghidi y M.B. Mbarek, "On the causal dynamics between CO2 emissions, health expenditures and economic growth", Sustainable Cities and Society, vol. 22, pp. 184-191, 2021. https://doi.org/10.1016/j.scs.2016.02.001.
J.C.B. Andrade, K.E.C. Gil y J.E.T. Giraldo, "Desarrollo de una herramienta computacional para evaluar la diversificación energética de los sistemas de transporte en Colombia", Revista Científica Ingeniería y Desarrollo, vol. 40, n°. 2, pp. 166-186, 2022. https://dx.doi.org/10.14482/inde.40.02.620.986.
L.A. Rodríguez-Camargo, R.J. Sierra-Parada y L.C. Blanco-Becerra, "Análisis espacial de las concentraciones de PM2,5 en Bogotá según los valores de las guías de la calidad del aire de la Organización Mundial de la Salud para enfermedades cardiopulmonares, 2014-2015", Biomédica, vol. 40, n°. 1, pp. 137-152, 2020. https://doi.org/10.7705/biomedica.4719.
B.X.Y. Lee, T. Hadibarata y A. Yuniarto, "Phytoremediation mechanisms in air pollution control: a review", Water, Air, & Soil Pollution, vol. 231, n°. 8, pp. 1-13, 2020. https://doi.org/10.1007/s11270-020-04813-6.
Ministerio de Ambiente y Desarrollo Sostenible, "Resolución 2254 de 2017, por la cual se adopta la norma de calidad del aire ambiente y se dictan otras disposiciones", República de Colombia, 2017.
Departamento Nacional de Planeación (DNP), "Los costos en la salud asociados a la degradación ambiental en Colombia ascienden a $20,7 billones". Bogotá. Colombia, 2017. [En línea]. Disponible en: https://www.dnp.gov.co/Paginas/Los-costos-en-la-salud-asociados-a-la-degradaci%C3%B3n-ambiental-en-Colombia-ascienden-a-%2420,7-billones-.aspx.
W. Yang, D. Pudasainee, R. Gupta, W. Li, B. Wang y L. Sun, "An overview of inorganic particulate matter emission from coal/biomass/MSW combustion: Sampling and measurement, formation, distribution, inorganic composition and influencing factors", Fuel Processing Technology, p. 106657, 2020. https://doi.org/10.1016/j.fuproc.2020.106657.
A.L. Goodkind, C.W. Tessum, J.S. Coggins, J.D. Hill y J.D. Marshall, "Fine-scale damage estimates of particulate matter air pollution reveal opportunities for location-specific mitigation of emissions", Proceedings of the National Academy of Sciences, vol. 116, no. 18, pp. 8775-8780, 2019. https://doi.org/10.1073/pnas.1816102116.
M. Scibor, B. Balcerzak, A. Galbarczyk, N. Targosz y G. Jasienska, "Are we safe inside? Indoor air quality in relation to outdoor concentration of PM1O and PM2 5 and to characteristics of homes", Sustainable Cities and Society, p. 101537, 2022. https://doi.org/10.1016/j.scs.2019.101537.
S. Pallarés, E. Gómez, A. Martínez y M.M. Jordán, "The relationship between indoor and outdoor levels of PM10 and its chemical composition at schools in a coastal region in Spain", Heliyon, vol. 5, n°. 8, p. e02270, 2019. https://doi.org/10.1016/j.heliyon.2019.e02270.
P. Agarwal, M. Sarkar, B. Chakraborty y T. Banerjee, "Phytoremediation of air pollutants: prospects and challenges", en Phytomanagement of Polluted Sites, Netherlands, Elsevier, 2021, pp. 221-241.
D. Siswanto, B.H. Permana, C. Treesubsuntorn, y P. Thiravetyan, " Sansevieria trifasciata and Chlorophytum comosum botanical biofilter for cigarette smoke phytoremediation in a pilot-scale experiment - Evaluation of multi-pollutant removal efficiency and CO2 emission", Air Quality, Atmosphere & Health, vol. 13, n°. 1, pp. 109-117, 2021. https://doi.org/10.1007/s11869-019-00775-9.
Y. Yang, Y. Su y S. Zhao, "An efficient plant-microbe phytoremediation method to remove formaldehyde from air", Environmental Chemistry Letters, vol. 18, n°. 1, pp. 197206, 2020. https://doi.org/10.1007/s10311-019-00922-9.
B. Zhang, D. Cao y S. Zhu, "Use of Plants to Clean Polluted Air: A Potentially Effective and Low-Cost Phytoremediation Technology", BioResources, vol. 15, n°. 3, pp. 46504654, 2020.
K.A.J. Begum y R. Gopinath, "Development of step-wise ranking for indoor plants as indoor air pollutant purifiers". Austin Environmental Sciences, vol. 2, no. 1, 1018, 2017.
A. Navarro, "Estudio sobre la variación de PM1O, PM2 5 y la fracción gruesa (PM1O - PM2 5) en Juriquilla, Querétaro y su relación con variables meteorológicas", TESIUNAM, 2018.
Sistema de Alerta Temprana de Medellín y el Valle de Aburrá (SIATA). Disponible en: Disponible en: https://siata.gov.co/siata_nuevo/ (Retrieved 30/09/2019).
C.A. Echeverri y G.J. Maya, "Relación entre las partículas finas (PM25) y respirables (PM1O) en la ciudad de Medellín", Revista Ingenierías Universidad de Medellín, vol. 7, n°. 12, pp. 23-42, 2008.
N. Sahanavin, T. Prueksasit y K. Tantrakarnapa, "Relationship between PM1O and PM2S levels in high-traffic area determined using path analysis and linear regression", Journal of Environmental Sciences, vol. 69, pp. 105-114, 2018. https://doi.org/10.1016/j.jes.2017.01.017.
B. Giechaskiel, A. Joshi, L. Ntziachristos y P. Dilara, "European regulatory framework and particulate matter emissions of gasoline light-duty vehicles: A review", Catalysts, vol. 9, n°. 7, 586, 2019. https://doi.org/10.3390/catal9070586.
L.A. Arévalo y K.M. Jara, "Determinación del material particulado PM2,5 y PM1O en el terminal terrestre de Latacunga, provincia de Cotopaxi", tesis de grado. Universidad Técnica de Cotopaxi (UTC), 2022.
R.E. Rojano, L.C. Angulo y G. Restrepo, "Niveles de partículas suspendidas totales (PST), PM1O y PM2 5 y su relación en lugares públicos de la Ciudad Riohacha, Caribe colombiano", Información Tecnológica, vol. 24, n°. 2, pp. 37-46, 2013. http://dx.doi.org/10.4067/S0718-07642013000200006.
N. Rojas y B. Galvis, "Relationship between PM2.5 and PM10 in Bogotá", Revista de Ingeniería, vol. 22, pp. 54-60, 2005.
T. Pettit, P.J. Irga, P. Abdo y F.R. Torpy, "Do the plants in functional green walls contribute to their ability to filter particulate matter?", Building and Environment, vol. 125, pp. 299-307, 2022. https://doi.org/10.1016/j.buildenv.2017.09.004.
Association of Public Air Laboratories, "Environmental Laboratories and Indoor Air Testing: A Primer", United States, 2015.
T. Ugranli, M. Toprak, G. Gursoy, A.H. Cimrin y S.C. Sofuoglu, "Indoor environmental quality in chemistry and chemical engineering laboratories at Izmir Institute of Technology", Atmospheric Pollution Research, vol. 6, n°. 1, pp. 147-153, 2018. https://doi.org/10.5094/APR.2018.017.
M.J.M. Davis, F. Ramírez y M.E. Pérez, "More than just a Green Façade: vertical gardens as active air conditioning units", Procedia Engineering, vol. 145, pp. 1250-1257, 2019. https://doi.org/10.1016/j.proeng.2016.04.161.
M.J.M. Davis, M.J. Tenpierik, F.R. Ramírez y M.E. Pérez, "More than just a Green Facade: The sound absorption properties of a vertical garden with and without plants", Building and Environment, vol. 4116, pp. 64-72, 2020. https://doi.org/10.1016/j.buildenv.2017.01.010.
Author notes
Correspondencia:ainhoa.rubioc@udea.edu.co. Teléfono: +57 6042195547.