Resumen: Las regiones extrapampeanas sostienen una porción relevante de la producción ganadera de Argentina (bovinos, caprinos, ovinos y camélidos), sustentada principalmente por el aporte forrajero de la vegetación nativa. En este contexto, es fundamental generar herramientas que permitan un manejo forrajero sustentable de estos ambientes. Para ello, el INTA implementó en 2006 una red nacional de sitios de monitoreo forrajero de la vegetación nativa. En este trabajo se analizó la productividad forrajera de 179 sitios extrapampeanos involucrados en la red (productividad anual promedio de entre 3 a 6 años). Se detectaron asimetrías regionales en cuanto a la disponibilidad de sitios monitoreados y a la longitud de las series de datos de productividad forrajera. Las regiones mejor representadas fueron el distrito ñandubay del Espinal, las estepas patagónicas, el extremo occidental de la provincia fitogeográfica chaqueña y la Puna catamarqueña. Contrariamente, el distrito oriental de la provincia fitogeográfica chaqueña, la porción central del Monte y la provincia Paranaense fueron detectadas como regiones de vacancia. En 101 de los 179 sitios de la red, la productividad forrajera herbácea (PFH) fue inferior a 1.000 kg ha-1 año-1. Lo mismo ocurrió con la productividad forrajera leñosa (PFL) en los 85 sitios evaluados. Los mayores valores de PFH se reportaron en mallines de Patagonia, vegas de la Puna, el distrito de ñandubay en el Espinal y en comunidades vegetales ribereñas de Entre Ríos. Mientras que la PFH de humedales aumentó significativamente con el incremento de la temperatura media anual (TMA), la PFH de sitios no correspondientes a humedales aumentó con la precipitación media anual (PMA). Finalmente, se observó qué sitios históricamente sobrepastoreados presentaron valores de PFH muy inferiores a sitios sometidos a pastoreo más conservativo. Los resultados de este trabajo aportan información relevante para la planificación forrajera de la ganadería a escala regional, y también pueden ser utilizados como insumo para la calibración de modelos de estimación de la productividad forrajera basados en el uso de sensores remotos.
Palabras clave:recursos forrajerosrecursos forrajeros,vegetación nativavegetación nativa,ganadería extrapampeanaganadería extrapampeana.
Abstract: In Argentina, a significant portion of livestock production (cows, goats, sheeps and camelids) is sustained by the extra-pampean region, mainly supported by the forage contribution of native plant communities. In this context, it is essential to generate tools that allow a sustainable forage management of these environments. During 2006, INTA implemented a national network for monitoring forage productivity of native plant communities. We analyzed the forage productivity of 179 extra-pampean sites involved in the network. We detected regional asymmetries in relation to the number of monitored sites and the length of forage productivity datasets. The best-represented regions were the “ñandubay” district of the Espinal phytogeographical province, the Patagonian steppes, the western end of the Chaco province, and the Puna in Catamarca. Herbaceous forage productivity (HFP) was less than 1,000 kg ha-1 year-1 in 101 of the 179 sites, and the same was true for woody forage productivity (WFP) in the analyzed 85 sites. The highest HFP values were reported in wetlands of Patagonia (“mallines”) and Puna (“vegas”), the “ñandubay” district of the Espinal and riparian communities of Entre Ríos. While the HFP in the wetlands increased significantly with the increase of mean annual temperature (MAT), the HFP of non-wetland sites increased with mean annual rainfall (MAP). Finally, we observed that overgrazed sites had HFP values lower than those sites subject to conservative grazing. These results could be relevant for planning livestock production at regional scale, as well as an input for forage productivity models based on remote sensing.
Keywords: forage resources, native plant communities, extra-pampean livestock production.
Artículos
Red nacional de monitoreo de pastizales naturales de Argentina: productividad forrajera de la vegetación extrapampeana
Recepción: 23 Marzo 2017
Aprobación: 17 Julio 2018
Publicación: 01 Mayo 2019
En las regiones extrapampeanas se desarrolla la mayor proporción de la producción ganadera de Argentina (SIGSA, 2015), con 30 millones de cabezas bovinas (59% del total nacional), 12 millones de ovinos (de un total de 15 millones) y casi la totalidad de la producción caprina (4,7 millones de existencias). Estos sistemas productivos son mayoritariamente extensivos y se sustentan por el aporte forrajero de la vegetación nativa (Ragonese, 1967). Las pasturas exóticas implantadas hacen un aporte significativamente menor y generalmente se utilizan estratégicamente para cubrir baches nutricionales (Sistema nacional de diagnóstico, planificación, seguimiento y prospección forrajera en sistemas ganaderos, 2016).
Los pastizales naturales son aquellas tierras no cultivadas que proveen las necesidades vitales para animales de pastoreo y tienen vegetación dominada por gramíneas, arbustos, hierbas o graminoides (Holecheck et al., 2004; Anderson et al., 2011). En Argentina estos ecosistemas se encuentran amenazados por procesos de degradación, especialmente en ambientes áridos y semiáridos. Recientemente fue analizado el estado actual del deterioro de los recursos naturales de Argentina (Casas y Albarracín, 2015), presentándose datos cuantitativos respecto a la pérdida de productividad, cambios de estructura en la vegetación y aceleración de procesos erosivos del suelo en las diferentes regiones del país. En la región patagónica se observó que el 16% de la superficie presentó una tendencia negativa del índice de vegetación normalizado (NDVI) a lo largo de las últimas 3 décadas, lo cual podría estar asociado en una reducción de la productividad primaria neta aérea (PPNA) y consecuentemente de la capacidad de carga de dichos ecosistemas (Nakamatsu et al., 2015; Oliva et al., 2016). La cuarta parte de los pastizales pampeanos de San Luis presentó porcentajes de suelo desnudo superiores al 30% (Demaría, 2015). En la región de Los Llanos de La Rioja se determinó que el 45% de la superficie presentaba una reducción del 40% del NDVI potencial (Biurrun et al., 2015). En Santiago del Estero se ha generalizado un proceso que se denomina “homogenización del paisaje del Chaco” (Adámoli et al., 1972), caracterizado por la transformación de los bosques y sabanas en fachinales (lignificación del sistema). Los desencadenantes de este proceso son la tala extendida de bosques y el sobrepastoreo, provocando este último la desaparición del fuego como modelador del paisaje (Kunst et al., 2006; Kunst, 2015).
El ajuste de carga animal considerando la receptividad de los campos ganaderos (Anderson et al., 1980; Passera et al., 1986; Borreli y Oliva, 2001; Elissalde et al., 2002; Quiroga et al., 2009; Siffredi et al., 2012) y una posterior planificación de estrategias de usos y descansos (Aguilera et al., 2003; Blanco et al., 2009), requieren conocer la productividad forrajera de la vegetación, su fisonomía, composición florística y estado de conservación (Golluscio et al., 2009). Aun cuando los equipos de investigación de manejo de pastizales naturales de INTA, desde su creación, realizan caracterizaciones forrajeras de la vegetación, recién a partir de 2006 se generó un proyecto dedicado exclusivamente al monitoreo forrajero de los pastizales de Argentina. Se enfatizó, entre otros objetivos, implementar una red nacional de sitios de monitoreo forrajero de la vegetación. Esta red se diseñó como una herramienta de diagnóstico y evaluación a largo plazo, del estado forrajero de los diferentes tipos de vegetación a nivel nacional. Asimismo, se pensó que la información recabada facilitaría la calibración de modelos de estimación de la productividad forrajera a partir de datos satelitales (Grigera et al., 2007; Durante et al., 2014), o la implementación de otras metodologías de estimación indirecta del estado y funcionamiento de los recursos forrajeros (Di Bella et al., 2009).
En este trabajo se presenta la información de productividad forrajera de todos los sitios extrapampeanos involucrados en la red. Luego, se discuten los alcances y limitaciones de la información provista por la red. Finalmente, se realiza un análisis sobre los principales controles climáticos y antrópicos de la productividad forrajera de la vegetación.
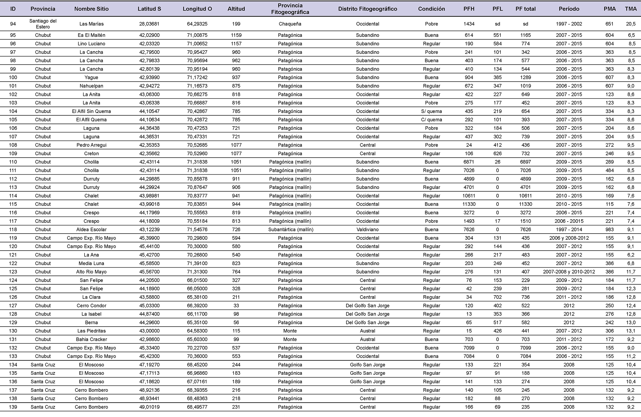
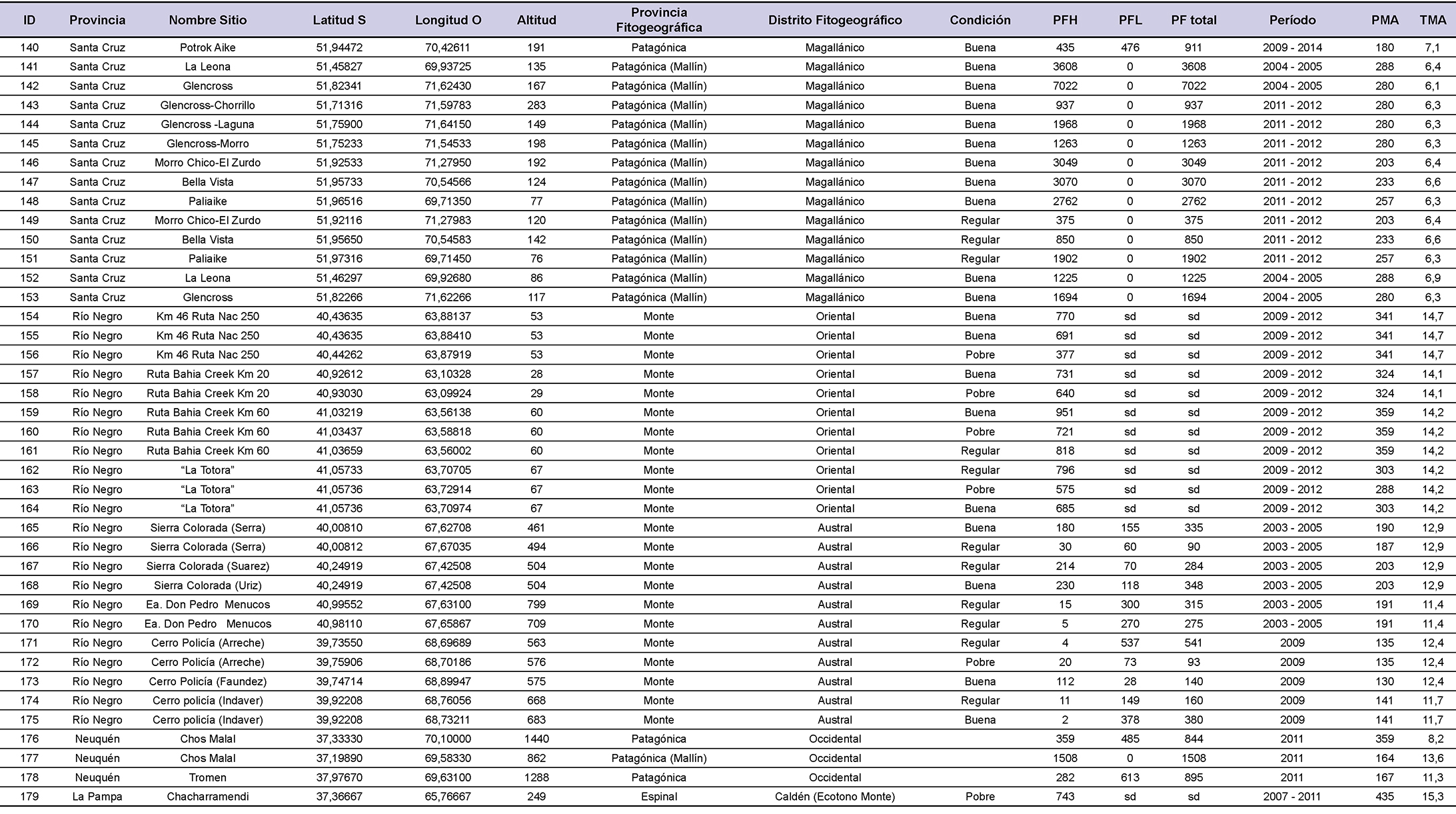
La red de monitoreo forrajero de INTA se compone de 179 sitios (tabla 1), de vegetación extrapampeana distribuidos en 8 provincias fitogeográficas de Argentina (figura 1), que incluyen diferentes fisonomías (praderas, estepas graminosas y arbustivas, matorrales, parques y bosques. Solo se incluyeron algunos sitios pertenecientes a comunidades vegetales de la región pampeana ubicados en ambientes periféricos de esta, como el distrito Paranaense (Cabrera, 1976) y los pastizales pampeanos occidentales (León y Anderson, 1983; Soriano, 1991; Demaría et al., 2016). La selección de estos sitios de monitoreo se realizó contemplando la delimitación de las provincias fitogeográficas de Argentina (Cabrera, 1976), siguiendo una estrategia jerárquica de escalas espaciales (Long, 1968). Para ello se usaron mapas locales de vegetación, generalmente confeccionados para cada provincia o región. Luego, dentro de cada unidad de vegetación, se seleccionaron visualmente sitios con la ayuda de imágenes satelitales de resolución espacial media o alta (Landsat 5, 7 y 8 o Google Earth).
Para unas pocas regiones pudo definirse dentro del sitio la condición (o estado) del pastizal, para lo que se utilizó la estrategia de “contraste de alambrado” (Bryant et al., 1990; Balling et al., 1998) o “gradiente de pastoreo” (Pickup y Chewings, 1994; Blanco et al., 2008). Esto también se hizo con la ayuda de interpretación visual de imágenes satelitales de resolución espacial media o alta. La condición ecológica de la vegetación se determinó contemplando la cobertura de especies forrajeras deseables (Dyksterhuis, 1949) mediante observación visual en los mismos marcos de corte de biomasa.

Distribución geográfica de los 179 sitios de monitoreo de la productividad forrajera (PF, círculos), en relación con las provincias fitogeográficas de Argentina (Cabrera, 1976).
En cada sitio de estudio se estimó la productividad forrajera herbácea (PFH) mediante cosechas de biomasa (Sala y Austin, 2000). Si bien en 121 sitios conviven especies herbáceas y leñosas, la productividad forrajera aportada por leñosas (PFL) solo se estimó en 85 de estos sitios. La PFL se estimó mediante cosecha de los brotes del año (Holm et al., 2003), excepto en los sitios de La Rioja donde la PFL se estimó a partir de la cobertura aérea leñosa (CAL) mediante una ecuación de regresión calibrada in situ (PFL = 0,86 CAL + 12,95; p = 0,001; r2 = 0,79; Blanco et al., 2016). La cantidad de años durante los que se evaluó la PFH y la PFL varió entre sitios; el período de mayor concentración de datos fue 2006-2015 (ver tabla 1).
En la mayoría de los sitios, se instalaron clausuras o jaulas móviles para evitar el pastoreo de animales domésticos durante el período evaluado, y asegurar la cosecha de biomasa producida. El tamaño de las clausuras o jaulas fue variable entre tipos de vegetación, contemplando el tamaño individual de las plantas dominantes dentro del tipo de vegetación. Por ejemplo, mientras que en las estepas arbustivas de la Puna de Catamarca se utilizó una clausura móvil de 6 x 6 m por sitio, en la pradera de pastos cortos de Corrientes se utilizaron 5 jaulas móviles de 0,25 m2 por sitio.
La cosecha de biomasa se realizó anualmente (al final del período de crecimiento) en el pico de biomasa (Sala y Austin, 2000), excepto en sitios con alta tasa de crecimiento donde se midieron rebrotes sucesivos (Sala y Austin, 2000). Así, en los sitios ubicados en Entre Ríos y Corrientes la frecuencia de estimación de PFH fue mensual, mientras que en mallines patagónicos y vegas de la Puna la frecuencia de cosecha fue estacional. La rotación de la jaula o clausura se realizó inmediatamente después del momento de la cosecha de biomasa. El material cosechado fue secado en estufa hasta peso constante y luego pesado. PFH y PFL se expresaron en kg ha-1 año-1.
Para cada sitio de estudio se estimó el promedio anual de PFH, PFL y productividad forrajera total (PF total = PFH + PFL; ver tabla 1); además, se estimó la precipitación media anual (PMA) mediante pluviómetros ubicados in situ. Por lo tanto, nuestro enfoque se inscribe dentro de la lógica de los modelos espaciales de PPNA (sensu Lauenroth y Sala, 1992). La temperatura media anual (TMA) de todos los sitios, y la PMA de algunos sitios que no contaban con pluviómetro (ver tabla 1) se obtuvo de la base de datos de Global Climate data (2016), cuya resolución espacial es de 1 km2.
Se realizaron diversos análisis cuantitativos para visualizar los alcances y limitaciones (espaciales y temporales) de la información disponible. Primero, se generó un diagrama climático a partir de la PMA y TMA de cada sitio y se los relacionó con los “límites climáticos” de las provincias fitogeográficas, construidos a partir de información meteorológica recopilada por Cabrera (1976). Luego, se estimó la frecuencia de sitios con diferente cantidad de años de evaluación de la productividad forrajera. Se clasificaron los datos de acuerdo a la provincia fitogeográfica (Cabrera, 1976) a la que pertenecen los sitios evaluados, y se los ordenó en rangos de PFH y PFL.
Se analizó la relación espacial de la PFH y PFL con la PMA y TMA mediante regresión lineal simple o regresión con punto de quiebre (Robbins et al., 2006). Este análisis se realizó separando aquellos sitios que corresponden a humedales (mallines patagónicos, vegas de la Puna y humedales del litoral de Entre Ríos) del resto de los sitios de estudio, porque corresponden a un tipo de vegetación azonal que reciben aporte de agua de cursos superficiales o subsuperficiales, y por lo tanto se esperaba que su productividad no dependiese tan directamente de las precipitaciones.
Finalmente, se compararon sitios con diferente historia de pastoreo (condición buena/regular versus condición pobre del pastizal) para dos ambientes (matorrales – bosques xerófitos de La Rioja y mallines patagónicos de Chubut). de los cuales se contaba con información de PFH y PFL obtenida en condiciones apareadas. Para ello se utilizó análisis de t para muestras apareadas (Snedecor y Cochran, 1989).
Geográficamente, los sitios evaluados se distribuyeron entre los 26 y 52 grados de latitud sur y desde los 57 hasta los 71 grados de longitud oeste (figura 1). Aunque esta distribución representa la totalidad del territorio continental nacional, se pueden observar claras asimetrías regionales en cuanto a la disponibilidad de sitios monitoreados. Las regiones más desprovistas de información dentro de la red fueron el distrito oriental de la provincia fitogeográfica Chaqueña (Chaco y Formosa), la provincia fitogeográfica Paranaense (Misiones), la porción septentrional de la provincia fitogeográfica del Monte (desde Catamarca hasta el norte de Mendoza) y la porción central del Espinal (Córdoba). En estas regiones, donde hay vacíos de información, será necesario mayor esfuerzo de las diferentes instituciones u organizaciones involucradas en la problemática ganadera y ambiental, especialmente en sitios que sostienen mucha producción ganadera basada en ambientes naturales y que aún no tienen bien establecidos sitios de monitoreo.
La variabilidad espacial interna de la productividad forrajera en algunas provincias fitogeográficas fue más ampliamente representada que en otras. Por ejemplo, el “espacio climático” (precipitación – temperatura) que ocupa la vegetación de Patagonia fue relativamente cubierto con la distribución de los sitios evaluados (figura 2). Sin embargo, esto no sucedió para otras regiones. En la provincia fitogeográfica Chaqueña, cuya PMA varía desde menos de 400 mm anuales hasta los 1.400 mm, los sitios para los cuales se evaluó la productividad forrajera se encuentran concentrados entre los 300 y los 600 mm, quedando solo unos sitios evaluados en Santa Fe por encima de esa PMA. En el Monte, los sitios monitoreados se distribuyeron en ambientes con TMA inferior a 15 ºC. Finalmente, en yungas solo se evaluó la productividad forrajera en sitios ubicados en Catamarca, donde esta provincia fitogeográfica se presenta casi en su totalidad en ecotono con el distrito Chaco Serrano. Esto puede observarse claramente en la distribución de los sitios dentro del diagrama climático, cuya dispersión es acotada y “fronteriza”, quedando sin representación principalmente aquellos ambientes con PMA superior a 1.000 mm anuales, los cuales se distribuyen en áreas ubicadas más al norte y con mayor altitud (Cabrera, 1976).
No solo la distribución espacial de los sitios de monitoreo presentó limitaciones, sino también la longitud temporal de las series de datos. El monitoreo forrajero de los pastizales se instaló programáticamente en INTA desde el año 2006, aunque durante el primer trienio fue principalmente una etapa de instalación de los sitios. De esta manera, 84 de 179 sitios presentan series temporales menores a 4 años de datos. La necesidad de series más largas radica en que estas proveen información más consistente en relación con las fluctuaciones temporales de la precipitación, especialmente en ambientes áridos y semiáridos (Noy Meir, 1973; Le Houérou et al., 1988). En nuestro caso, las series de datos más largas disponibles se encuentran en algunos sitios de Chubut, Entre Ríos y Corrientes (ver tabla 1).
Sin embargo, se espera que esta red de monitoreo forrajero sea dinámica, incorporando nuevos sitios, e involucrando diferentes instituciones vinculadas a la problemática ganadera/ambiental. En tal sentido, cabe mencionar que INTA en conjunto con la Facultad de Agronomía de la Universidad Nacional de Buenos (FAUBA), la Asociación Argentina de Consorcios Regionales de Experimentación Agrícola (AACREA) y el Ministerio de Agroindustria de la Nación, llevan adelante un proyecto de seguimiento forrajero satelital (Sistema nacional de diagnóstico, planificación, seguimiento y prospección forrajera en sistemas ganaderos, 2016), al cual esta red provee información de campo para la calibración de modelos basados en sensores remotos.
Está proyectado incorporar la información básica que genera esta red, sintetizada en la tabla 1, en un sitio web institucional de información geoespacial denominado SEPA (Herramientas satelitales para el seguimiento de la producción agropecuaria). Para ello se programó incorporar hipervínculos a la tabla 1, que les permitan a los usuarios acceder, para cada sitio, a la fotografía del paisaje, la marcha estacional histórica del NDVI (desde febrero del 2000 hasta la actualidad) y el contacto institucional correspondiente. Se prevé que esta estrategia de visualización de la información permitirá enriquecer la red de monitoreo, facilitar el acceso, y promover la interacción entre los usuarios y los responsables de la información de cada sitio.

Distribución climática de los sitios de monitoreo de la productividad forrajera (símbolos) en relación con los límites climáticos de las provincias fitogeográficas (Cabrera, 1976) a las que pertenecen (áreas irregulares). La distribución climática de los sitios de monitoreo se generó a partir de la precipitación media anual (PMA, obtenida de datos de pluviómetro cercanos) y de la temperatura media anual (TMA, obtenida de la página web de Global Climate data (http://www.worldclim.org/bioclim). Los límites climáticos de las provincias fitogeográficas se construyeron uniendo los valores de PMA y TMA obtenidos de los diagramas climáticos presentados por Cabrera (1976) para caracterizar las provincias fitogeográficas.
La mayoría de los sitios evaluados tienen bajos niveles de PFH (ver figura 7). Así, 101 de los 179 sitios presentaron valores de PFH menores a 1.000 kg ha-1 año-1. Esto se corresponde con su distribución con relación a las provincias fitogeográficas con menores valores de PFH; las estepas de la provincia Patagónica, la provincia fitogeográfica del Monte, las estepas de la Puna y la porción más seca de la provincia fitogeográfica Chaqueña (Chaco Árido) fueron los ambientes con mayor densidad de sitios de monitoreo. Contrariamente, las provincias fitogeográficas con mayor potencial de PFH estuvieron menos representadas por sitios de monitoreo, excepto el distrito ñandubay del Espinal y el distrito mesopotámico pampeano.
En los 85 sitios para los cuales se evaluó PFL se encontraron valores inferiores a 1.000 kg ha-1 año-1 (ver figura 8). En estos sitios la vegetación dominante es leñosa (estepas de Patagonia y Puna, y matorrales del Monte y el extremo seco del distrito occidental chaqueño), y en todos los casos corresponden a ambientes áridos y semiáridos con PPN potencial relativamente baja (Lieth, 1975).
La potencialidad de la vegetación para producir forraje es muy diferente entre provincias fitogeográficas, pero también muy variable entre comunidades vegetales dentro de cada provincia fitogeográfica (ver figura 8). Por ejemplo, mientras los 24 sitios evaluados en el monte presentaron valores de PFH y PFL menores a 1.000 kg ha-1 año-1, 25 de los 27 sitios del Espinal superaron los 2.000 kg ha-1 año-1 de PFH. Patagonia y Puna presentaron un comportamiento similar en PFH y PFL, asociado a la naturaleza de dos ambientes contrastantes que presentan en común ambas provincias fitogeográficas (León et al., 1998; Quiroga et al., 2013). En ambas regiones coexisten estepas mixtas xerofíticas (arbustivas – herbáceas) de bajos valores de PFH y PFL (menores a 1.000 kg ha-1 año-1) con praderas húmedas (mallines patagónicos o vegas de la Puna) de altos valores de PFH (mayores a 2.000 kg ha-1 año-1).
En la provincia fitogeográfica Chaqueña, la mayor distribución de sitios con PFH y PFL menores a 1.000 kg ha-1 año-1, se debe a que sitios con mayor potencial productivo en la región (porción oriental del distrito occidental, distrito serrano y distrito oriental) fueron menos evaluados; y además en ellos solo se estimó PFH.

Caracterización de los sitios incluidos en la red de monitoreo forrajero. Incluye la ubicación geográfica (grados), la altitud (m), la identidad florística – fisonómica (provincia y distrito fitogeográfico según Cabrera, 1976), la condición ecológica, la producción forrajera herbácea (PFH), leñosa (PFL) y total (PFH + PFL) expresadas en kg ha-1 año -1, el período para el cual se promediaron los datos de PFH y PFL, la precipitación media anual (PMA en mm, estimada a partir de pluviómetros ubicados en los sitios de estudio, excepto en aquellos sitios sin pluviómetro para los cuales se extrajo el dato desde la base de datos de Global Climate data (http://www.worldclim.org/bioclim) y la temperatura media anual (TMA en ºC obtenida desde la base de datos Global Climate data (http://www.worldclim.org/bioclim).



La PFH se incrementó significativamente a lo largo de un gradiente regional de PMA (figura 3). A diferencia de lo ocurrido con la PFH, la relación entre la PFL y la PMA no fue significativa (p>0,05). La relación espacial entre la productividad primaria y la precipitación está ampliamente documentada (Lauenroth, 1979; Sala et al., 1988; Briggs y Knapp, 1995; Bai et al., 2008; Sala et al., 2012). Sin embargo, solo la ecuación presentada por Lauenroth (1979) abarca un rango de PMA similar a la ecuación generada en este trabajo.
Particularmente, los valores de PPNA que se obtienen con el modelo de Lauenroth (1979) en los extremos de PMA (100 mm y 1.500 mm) son similares a los valores de PFH que se obtienen utilizando el modelo con punto de quiebre mostrado en este trabajo. Sin embargo, para valores intermedios de PMA las estimaciones de nuestro modelo con punto de quiebre y el modelo lineal de Lauenroth (1979) son sensiblemente diferentes. En nuestro modelo solo se contempla la fracción herbácea de la productividad primaria, y en los ecosistemas más xéricos (PMA < 540 mm) la mayor proporción de la PF es esperable que sea leñosa (Paruelo y Lauenroth, 1996), especialmente en ambientes degradados. Probablemente, esta parcialidad en el análisis de la PPNA sea determinante para que en nuestro modelo la pendiente para sitios con PMA superiores a 540 mm sea el triple a la de sitios con PMA menores a 540 mm.
Al igual que en estudios anteriores (Lauenroth, 1979) no se detectó una relación de PFH y PFL con TMA para la generalidad de los sitios (p>0,05, figura 4). Solo para los humedales (mallines, vegas y pastizales inundables de Entre Ríos) se observó un incremento significativo de PFH con TMA (p<0,05, figura 4). Esto coincide con lo que ha sido documentado para el hemisferio norte (Thormann y Bayley, 1997).
La variación de PFH a lo largo de los gradientes climáticos es un indicador claro de la potencialidad ganadera de los diferentes ambientes extrapampeanos de Argentina. Así, a lo largo del gradiente de PMA, estimaciones de receptividad ganadera (manteniendo un factor de uso por pastoreo del 30% de la PFH), para ambientes pertenecientes al monte (PMA = 200 a 300 mm) indicarían que son necesarias 20 a 30 ha para mantener un equivalente vaca[1]. En cambio, en ambientes ubicados dentro del Espinal (mayormente PMA = 600 a 1200 mm) se podría mantener un equivalente vaca utilizando entre 2 y 8 ha.
[1]Equivalente vaca: promedio anual de los requerimientos de una vaca de 400 kg de peso, que gesta y cría un ternero hasta el destete a los 6 meses de edad con 160 kg de peso (Cocimano et al., 1975).

Relación entre la productividad forrajera herbácea (PFH) de cada sitio de muestreo (promediando todas las condiciones) y la precipitación media anual (PMA). Círculos corresponden a todos aquellos sitios que no son humedales (grises). Los cuadrados vacíos corresponden a mallines patagónicos, el cuadrado negro corresponde a humedales de islas del Delta del río Paraná y el cuadrado gris a vegas de la Puna. La relación PFH – PMA (línea negra) para sitios que no son humedales se realizó con regresión no lineal con punto de quiebre (PFH = 1,82 PMA – 1,76 [para 100 mm < PMA < 540 mm] y PFH = 5,83 PMA – 2167 [para 540 mm < PMA < 1500 mm; r2 = 0,80].

Relación entre la productividad forrajera herbácea (PFH) de cada sitio de muestreo (promediando todas las condiciones) y la temperatura media anual (TMA). Círculos grises corresponden a todos aquellos sitios que no son humedales. Los cuadrados vacíos corresponden a mallines Patagónicos, el cuadrado negro corresponde a humedales de islas del Delta del río Paraná y ese cuadrado no es gris a vegas de la Puna. La relación entre PFH de humedales y TMA (línea negra) se estimó mediante regresión lineal simple (PFH = 1001 TMA – 3286; r2 = 0,6229, para 6 ºC < TMA < 22 ºC ).
No solo los factores climáticos, como la precipitación y la temperatura, controlan las variaciones espaciales de la productividad forrajera en las comunidades de vegetación nativa. El manejo del pastoreo a lo largo de décadas también puede modificar la capacidad de producir forraje de los ecosistemas. Sin embargo, este factor actúa a una escala espacial de mayor detalle (potrero) que los controles climáticos (región), y aquí solo se analizó para sitios en dos regiones con las que se contaba con datos apareados bajo diferente historia de pastoreo (sitios de La Rioja y mallines Patagónicos de Chubut).
En los sitios de La Rioja, los cambios más evidentes entre condiciones fueron en la PFH, la cual se redujo a un tercio al empobrecerse la condición ecológica del sitio (p<0,05, figura 5). En cambio, la PFL fue similar en la condición pobre respecto a la buena/regular (p>0,05, figura 5). Los mayores efectos del pastoreo sobre el componente herbáceo han sido documentados en diversos estudios para esta región (Quiroga et al., 2009, Blanco et al., 2016). Mientras las condiciones pobres se detectan en áreas cercanas a las aguadas, para las cuales el efecto del pastoreo es más intenso y frecuente (Blanco et al., 2008; Blanco et al., 2016), las condiciones regulares y buenas se observan en sectores más alejados de las aguadas.
Está bien documentado que la mitad de la superficie de la región ganadera de La Rioja se encuentra en evidente estado de desertificación, afectando la producción secundaria de los sistemas ganaderos (Biurrun et al., 2015). Así, en pastizales de La Rioja en condición regular o buena, se necesitarían 15 ha para mantener un equivalente vaca. En cambio, en pastizales de condición pobre de la misma región, es necesario 44 ha para sostener un equivalente vaca (con el mismo factor de uso = 30%).
En los mallines patagónicos de Chubut no se observaron diferencias de PFH y PFL entre la condición buena/regular y la pobre (p>0,05, figura 6). Las diferencias de PFH entre condiciones, más marcadas en los sitios de La Rioja que en los mallines de Chubut, pueden responder a que sitios con mayor disponibilidad de recursos (por ejemplo, agua) podrían ser más resilientes frente a un disturbio como el pastoreo gracias a que incrementan la diversidad de especies con la intensidad de este (Milchunas et al., 1988). Sin embargo, algunos estudios previos indicarían que la PFH de los mallines sería impactada negativamente por el pastoreo continuo y severo durante largo tiempo (Enriquez et al., 2015), afectando además el ciclo de carbono (Enriquez et al., 2017; Enriquez y Cremona, 2017).

Contraste de la productividad forrajera herbácea (PFH) y leñosa (PFL) de 13 pares de sitios de condición regular - buena versus condición pobre (apareados), en el extremo seco del distrito occidental de la provincia fitogeográfica chaqueña en La Rioja. Las líneas negras verticales encima de las barras indican 1 desvío estándar.

Contraste de la producción forrajera herbácea (PFH) y leñosa (PFL) de 5 pares de sitios de condición buena versus condición pobre (apareados) correspondientes a mallines de la provincia fitogeográfica patagónica en Chubut. Las líneas negras verticales encima de las barras indican 1 desvío estándar.
En este estudio se resume la información de productividad forrajera de 179 sitios distribuidos en las regiones extrapampeanas de Argentina, evaluados casi simultáneamente durante la última década y con metodologías similares de medición, lo cual le confiere un nivel de estandarización y comparabilidad inédito en Argentina. Se identificaron zonas vacantes donde sería importante incorporar nuevos sitios de monitoreo para mejorar la cobertura espacial de la red nacional de monitoreo forrajero. Se resalta la importancia de darle continuidad al monitoreo, de manera de aumentar la robustez de los datos y poder evaluar tendencias en el largo plazo, sobre todo teniendo en cuenta el deterioro de los recursos que se ha documentado para algunas de las regiones.
Los datos provistos en este estudio son un aporte como material de consulta para tomadores de decisión a escala regional (nación, provincia o departamento). Así, la elaboración de planes y proyectos para el desarrollo del sector ganadero debe contemplar los “límites” forrajeros regionales, y brindar un marco de sustentabilidad a las propuestas. En este sentido, los datos, planteos analíticos y modelos aquí presentados pueden ser tenidos en cuenta para establecer niveles de receptividad acordes a la potencialidad de los ambientes involucrados.
Finalmente, los datos aquí provistos proveen la base para desarrollar y calibrar modelos de estimación de la productividad forrajera de la vegetación nativa, ya sea a partir de datos satelitales, a través de modelos de simulación, o la combinación de ambos. En la medida que se cuente con series temporales más largas de productividad forrajera para cada sitio, se podrá generar información más útil para la planificación forrajera predial, y evaluar los controles de la variación temporal de la productividad .

Distribución de los 179 sitios de monitoreo (cantidad) en clases de la productividad forrajera herbácea (PFH, barras oscuras) y leñosa (PFL, barras claras), de los cuales 121 tenían vegetación herbácea y leñosa, pero solo en 85 se estimó PFL.

Distribución de los 179 sitios de monitoreo (cantidad) en clases de productividad forrajera herbácea (PFH) y leñosa (PFL) dentro de cada una de las provincias fitogeográficas de Argentina. En el eje de las ordenadas de cada gráfico se menciona el número total de sitios monitoreados (n) para cada provincia fitogeográfica, aclarando entre paréntesis la cantidad de sitios con vegetación leñosa y en cuanto de ellos se evaluó PFL.
A los productores ganaderos por permitir instalar los sitios de monitoreo forrajero en sus establecimientos. A los extensionistas de INTA por colaborar en la selección de los sitios de monitoreo. A los siguientes colegas y personal de apoyo de campo por colaborar en el muestreo: Diego Celdrán, Juan Escobar, Ivana Clich, Adriana Beider, Alfonso Beloqui, Javier Gonzalez, Erica Colombani, Erica Llanos, Alicia I. Kröpfl, Hugo Giorgetti, Natalia Villasusso, Maria Eugenia Vivar, Gervasio Humano, Martín Villa, Osvaldo Burato, Tedy Lloyd, Edgar Sebastián Villagra, Humberto Moraga, Luis Ahumada, Maximiliano Zamboni, Ariel Herrera, Alicia Sancho, Simon Corzo, Emanuel Luna Toledo, Leonardo Riva de Neyra, Nicolás Zarate, Miguel Artaza, Cesar Flores, Isidoro Ahumada, Pedro R. Namur, Ariel Herrera, Armando Ricarte, Raul Díaz, Carlos Ferrando, Jorge Burns, Juan Fonseca, Jorge Dupleich, Milena Noir, María José Marnetto, Adela Noir, Soraya Tymkow, Olga Cardona, Sonia Gyukits y Rubén Cimino. A dos revisores anónimos por sus valiosas sugerencias. Este trabajo fue financiado por: Proyecto Específico PNPA 1126074 “Desarrollo, Integración y Transferencia de Tecnologías para Manejo Sustentable de Servicios de la Vegetación Natural para Fines Ganaderos” (INTA), “Diagnóstico, planificación, seguimiento y prospección forrajera en sistemas ganaderos” (INTA, FAUBA, AACREA y MINAGRI) cofinanciado por IPCVA y PID N° 2013-0051, con el aporte financiero de los Proyectos Regionales con Enfoque Territorial (INTA) que desarrollan actividades en las provincias incluidas en la Red nacional de monitoreo de pastizales naturales y las unidades ejecutoras de la Ley Ovina en las provincias patagónicas.

Distribución geográfica de los 179 sitios de monitoreo de la productividad forrajera (PF, círculos), en relación con las provincias fitogeográficas de Argentina (Cabrera, 1976).

Distribución climática de los sitios de monitoreo de la productividad forrajera (símbolos) en relación con los límites climáticos de las provincias fitogeográficas (Cabrera, 1976) a las que pertenecen (áreas irregulares). La distribución climática de los sitios de monitoreo se generó a partir de la precipitación media anual (PMA, obtenida de datos de pluviómetro cercanos) y de la temperatura media anual (TMA, obtenida de la página web de Global Climate data (http://www.worldclim.org/bioclim). Los límites climáticos de las provincias fitogeográficas se construyeron uniendo los valores de PMA y TMA obtenidos de los diagramas climáticos presentados por Cabrera (1976) para caracterizar las provincias fitogeográficas.

Caracterización de los sitios incluidos en la red de monitoreo forrajero. Incluye la ubicación geográfica (grados), la altitud (m), la identidad florística – fisonómica (provincia y distrito fitogeográfico según Cabrera, 1976), la condición ecológica, la producción forrajera herbácea (PFH), leñosa (PFL) y total (PFH + PFL) expresadas en kg ha-1 año -1, el período para el cual se promediaron los datos de PFH y PFL, la precipitación media anual (PMA en mm, estimada a partir de pluviómetros ubicados en los sitios de estudio, excepto en aquellos sitios sin pluviómetro para los cuales se extrajo el dato desde la base de datos de Global Climate data (http://www.worldclim.org/bioclim) y la temperatura media anual (TMA en ºC obtenida desde la base de datos Global Climate data (http://www.worldclim.org/bioclim).




Relación entre la productividad forrajera herbácea (PFH) de cada sitio de muestreo (promediando todas las condiciones) y la precipitación media anual (PMA). Círculos corresponden a todos aquellos sitios que no son humedales (grises). Los cuadrados vacíos corresponden a mallines patagónicos, el cuadrado negro corresponde a humedales de islas del Delta del río Paraná y el cuadrado gris a vegas de la Puna. La relación PFH – PMA (línea negra) para sitios que no son humedales se realizó con regresión no lineal con punto de quiebre (PFH = 1,82 PMA – 1,76 [para 100 mm < PMA < 540 mm] y PFH = 5,83 PMA – 2167 [para 540 mm < PMA < 1500 mm; r2 = 0,80].

Relación entre la productividad forrajera herbácea (PFH) de cada sitio de muestreo (promediando todas las condiciones) y la temperatura media anual (TMA). Círculos grises corresponden a todos aquellos sitios que no son humedales. Los cuadrados vacíos corresponden a mallines Patagónicos, el cuadrado negro corresponde a humedales de islas del Delta del río Paraná y ese cuadrado no es gris a vegas de la Puna. La relación entre PFH de humedales y TMA (línea negra) se estimó mediante regresión lineal simple (PFH = 1001 TMA – 3286; r2 = 0,6229, para 6 ºC < TMA < 22 ºC ).

Contraste de la productividad forrajera herbácea (PFH) y leñosa (PFL) de 13 pares de sitios de condición regular - buena versus condición pobre (apareados), en el extremo seco del distrito occidental de la provincia fitogeográfica chaqueña en La Rioja. Las líneas negras verticales encima de las barras indican 1 desvío estándar.

Contraste de la producción forrajera herbácea (PFH) y leñosa (PFL) de 5 pares de sitios de condición buena versus condición pobre (apareados) correspondientes a mallines de la provincia fitogeográfica patagónica en Chubut. Las líneas negras verticales encima de las barras indican 1 desvío estándar.

Distribución de los 179 sitios de monitoreo (cantidad) en clases de la productividad forrajera herbácea (PFH, barras oscuras) y leñosa (PFL, barras claras), de los cuales 121 tenían vegetación herbácea y leñosa, pero solo en 85 se estimó PFL.

Distribución de los 179 sitios de monitoreo (cantidad) en clases de productividad forrajera herbácea (PFH) y leñosa (PFL) dentro de cada una de las provincias fitogeográficas de Argentina. En el eje de las ordenadas de cada gráfico se menciona el número total de sitios monitoreados (n) para cada provincia fitogeográfica, aclarando entre paréntesis la cantidad de sitios con vegetación leñosa y en cuanto de ellos se evaluó PFL.