Artículos
Identificación de campos de precipitación mediante el uso de radares meteorológicos: una alternativa para mejorar las estimaciones espaciales de las lluvias
Identificación de campos de precipitación mediante el uso de radares meteorológicos: una alternativa para mejorar las estimaciones espaciales de las lluvias
RIA. Revista de Investigaciones Agropecuarias, vol. 47, núm. 2, pp. 240-248, 2021
Instituto Nacional de Tecnología Agropecuaria

Recepción: 30 Octubre 2019
Aprobación: 06 Octubre 2020
Publicación: 08 Septiembre 2021
Resumen: La interpolación espacial de las observaciones puntuales provenientes de estaciones meteorológicas es una manera recurrente de estimar la precipitación en un determinado sitio. Sin embargo, a medida que se incrementa la distancia al sitio puntual de medición estas estimaciones suelen diferir fuertemente en la cantidad de agua que realmente precipita. Los sensores remotos ópticos a bordo de satélites permiten incrementar la extensión espacial con una adecuada resolución temporal, sin embargo, presentan una baja resolución espacial. Los radares meteorológicos terrestres, por su parte, presentan mayor resolución espacial y temporal, aunque trabajos previos han demostrado un importante desfasaje entre los valores de precipitación estimados y los registrados en pluviómetros. Dada la limitada información puntual de precipitación y su variable distribución en el territorio, la identificación de campos de precipitación (es decir, el área donde efectivamente ocurre el evento precipitante) mediante los radares puede ser una importante alternativa para incrementar la precisión de las estimaciones basadas en interpolaciones convencionales. El objetivo de este trabajo fue delimitar los campos de precipitación a partir de la utilización de la red de radares meteorológicos del INTA con el fin de complementar las estimaciones de lluvia en grandes extensiones del territorio basadas en interpolaciones de datos puntuales. Para ello se consideró un período de análisis que incluyó los meses de octubre y noviembre de 2016 y un total de 8784 imágenes. Se realizó la interpolación espacial de los registros pluviométricos diarios medidos en estaciones meteorológicas y se utilizaron los radares meteorológicos para reconocer la distribución espacial de los eventos de precipitación, calculándose un umbral de detección de precipitación de 3,125 mm. Se delimitaron campos de precipitación y se generó el producto de “Interpolación Espacial utilizando Radar (IER)” a escala diaria y mensual. Se observó que solo en el 55% del área estudiada efectivamente acontecieron eventos de precipitación diaria, por lo que las interpolaciones espaciales convencionales generan una sobreestimación en el área de ocurrencia de este evento. Esto generaría una sobreestimación promedio del agua precipitada en el área de estudio de 91,1 mm y 35,2 mm para los meses de octubre y noviembre respectivamente, lo que podría afectar seriamente la toma de decisiones relacionadas con este recurso. El radar resultó ser una herramienta práctica y complementaria para la delimitación de aquellas zonas en las que se produjo el evento de precipitación y que resultan sobreestimadas por el registro discontinuo en las interpolaciones espaciales, aun más en zonas alejadas de las estaciones meteorológicas.
Palabras clave: interpolación espacial, sensores remotos, radar.
Abstract: The spatial interpolation of point measurement from meteorological stations is a recurring way of estimating precipitation at a given site. However, as the distance to the specific measurement site increases, these estimates tend to differ greatly in the amount of water that actually precipitates. Optical remote sensors on board satellites allow to increase the spatial extent with an adequate temporal resolution, although they have a low spatial resolution. The terrestrial weather radars present greater spatial and temporal resolution but previous works have shown a significant gap between the estimated precipitation values and those recorded in rain gauges. Given the limited punctual precipitation information and its variable distribution in the territory, the identification of precipitation fields (that is, the area where the precipitating event actually occurs) using radars can be an important alternative to increase the accuracy of the estimates based in conventional interpolations. The objective of this work was to delimit precipitation fields from the use of the INTA weather radar network in order to complement rainfall estimates in large areas of the territory based on data from punctual interpolations. For this, data from October and November 2016 were considered for the analysis, including a total of 8784 images. The spatial interpolation of the daily rainfall records measured at the meteorological stations was performed and the weather radars were used to recognize the spatial distribution of precipitation events. For that, a precipitation detection threshold of 3,125 mm was defined. The precipitation fields were delimited and the product of “Spatial Interpolation using Radar (IER)” was generated on a daily and monthly scale. It was observed that events of daily precipitation actually occurred only in 55% of the studied area, so that conventional spatial interpolations generate an overestimation in the area of occurrence of this event. This would generate a mean overestimation of precipitated water for the study area of 91,1 mm y 35,2 mm for the months of October and November respectively, which could seriously affect the decision-making related to this resource. The radar turned out to be a practical and complementary tool for the delimitation of those areas that were affected by the precipitation event and that are overestimated by the discontinuous recording in the spatial interpolations, even more in distant areas from meteorological stations.
Keywords: spatial interpolation, remote sensing, radar.
INTRODUCCIÓN
La precipitación es un fenómeno esencial del ciclo hidrológico siendo el forzante principal de otros componentes que conforman el balance hídrico (He, 2011). Su distribución espacial y temporal condiciona los ciclos agrícolas y forestales así como el desarrollo y la distribución de las especies vegetales y animales (Pizarro et al., 2003; Murphy y Hurtado, 2013). La gran variabilidad espacial de las precipitaciones y la discontinuidad temporal de su ocurrencia hacen fundamental la necesidad de contar con información espacialmente detallada para obtener una mayor eficiencia en el manejo y en la toma de decisiones productivas.
Las distintas fuentes de información utilizadas para la estimación espacial de las precipitaciones pueden ser diferenciadas en mediciones directas, las cuales consisten en el registro pluviométrico en las estaciones meteorológicas, y en mediciones indirectas, las cuales involucran el uso de sensores remotos. En las mediciones directas la observación puntual en la estación meteorológica es extrapolada a una superficie mayor mediante diferentes métodos de interpolación espacial como, por ejemplo, el de las isohietas, el inverso a la distancia, el kriging, entre otros (Pizarro et al., 2003; Hurtado Montoya, 2009; Vargas et al., 2011). Las mediciones indirectas, por su parte, obtienen la información del evento de lluvia a partir de las variables físicas registradas en los sensores remotos montados en plataformas satelitales o terrestres, de manera continua y uniforme en el espacio.
En la medición directa la estimación de la precipitación en áreas alejadas a los sitios puntuales de medición se realiza mediante la aplicación de diferentes métodos de interpolación espacial. Sin embargo, la representatividad de la interpolación decrece a medida que aumenta la distancia a la medición (Battan, 1962; Stow y Dirks, 1998). Se han llegado a sugerir distancias que no superen los 5 kilómetros desde la ubicación del pluviómetro para incorporar el 90% de la variabilidad espacial de las lluvias (Hubbard, 1994). Por lo tanto, representaciones fiables de la distribución de los campos de precipitación (es decir, la porción del terreno donde efectivamente ocurre el evento precipitante) a partir de la medición puntual requeriría contar no solo con una gran cantidad de estaciones en la red pluviométrica, sino también con una uniforme distribución en el espacio (Wilson y Brandes 1979; Belmonte, 2014). A su vez, los métodos de interpolación que sean empleados y la cantidad de parámetros contemplados en estos pueden presentar diferencias en las estimaciones espaciales, incluso utilizando los mismos valores puntuales de referencia registrados (Pizarro et al., 2003). De esta manera, la medición directa es un dato cuantitativamente exacto de la precipitación ocurrida en la posición del pluviómetro, pero no brinda información espacial de su distribución sobre el terreno en áreas alejadas a este.
En la medición indirecta las precipitaciones se infieren de las variables físicas registradas por los sensores remotos. Entre ellos se encuentran los sensores ópticos satelitales que infieren del albedo y la temperatura del tope nuboso, el desarrollo vertical de las nubes y la intensidad de la precipitación (Hobouchian et al., 2015), y los radares meteorológicos terrestres que obtienen la información de la precipitación a partir de la interacción entre la señal emitida y las gotas de lluvia (He, 2011). Ampliamente han sido utilizados los sensores ópticos pasivos satelitales que operan en la porción del visible y del infrarrojo del espectro, destacándose los de la serie Satélite Geoestacionario Operacional Ambiental (Geostationary Operational Environmental Satellite, GOES), la Misión de Medición de Lluvias Tropicales (Tropical Rainfall Measuring Mission, TRMM), y el Programa de Satélites Meteorológicos de Defensa (Defense Meteorological Satellite Program, DMSP). Las extensiones y resoluciones espaciales y temporales que pueden ser alcanzadas por estos satélites dependen tanto del sensor, de la longitud de onda en la cual operan, del tipo de órbita y de la altura a la que se encuentra la plataforma (Joyce et al., 2004). No obstante, a pesar de que las estimaciones de precipitación medidas indirectamente desde satélite se presentan continuas en el espacio (Fattoreli et al., 1995) y llegan a presentar resoluciones de hasta de 25 km, esta no se asemeja a las resoluciones espaciales que desde tierra pueden ser registradas por medio de los radares meteorológicos.
Los radares meteorológicos terrestres son sensores activos montados en plataformas terrestres que emiten pulsos de energía en la porción electromagnética de las microondas, y registran la radiación que es retrodispersada por los hidrometeoros, gotas de lluvia o partículas de hielo hacia el radar (Battan, 1962; He, 2011). La reflectividad (“z”) registrada por el radar permite estimar la precipitación mediante el uso de relaciones que vinculan la estructura interna de las nubes con la tasa o intensidad de precipitación (“R”) (Rinehart, 2007; He, 2011). La reflectividad se expresa utilizando valores logarítmicos en decibelio de reflectividad Z (dBZ), donde los valores más altos se relacionan con eventos de precipitación de mayor magnitud. El área de registro de los radares meteorológicos es de un radio aproximado de 240 km, con centro en la antena del radar, resoluciones espaciales de hasta 1 km y una frecuencia en la adquisición de datos cada 10 minutos (Della Chiesa, 2011; Hobouchian et al., 2015), lo cual hace ventajoso el uso de los radares frente a otros tipos de sensores remotos. No obstante, características propias del instrumento, de los eventos precipitantes, de los parámetros que definen la relación z-R (dependientes de la distribución del tamaño de las gotas de lluvia, del origen y del tipo de precipitación), de las diferencias asociadas a la comparación con mediciones directas en superficie, entre otros, determinan errores en las estimaciones de las precipitaciones (He, 2011; Vidal et al., 2012; Belmonte, 2014). Así, si bien los radares meteorológicos no resultarían del todo adecuados para estimar cuantitativamente la precipitación, ya que suelen diferir de lo registrado en el terreno (Belmonte et al., 2017), estos podrían identificar con un elevado nivel de detalle espacial la superficie del evento precipitante o campo de precipitación.
Dada la limitada información puntual de precipitación y su variable distribución en el territorio, la identificación de los campos distribuidos en el espacio mediante radares meteorológicos puede ser una importante alternativa para incrementar la precisión de las estimaciones de lluvia en grandes extensiones del territorio basadas en interpolaciones de datos puntuales. Por ello, se utilizaron los radares meteorológicos del Instituto Nacional de Tecnología Agropecuaria (INTA) de Paraná, Pergamino y Anguil para delimitar los campos de precipitación. De esta manera, se buscó integrar la validez cuantitativa de los datos pluviométricos con el reconocimiento cualitativo de los campos de precipitación derivados de la información provista por los radares meteorológicos. El objetivo de este trabajo fue utilizar la información provista por los radares meteorológicos terrestres para mejorar las estimaciones espaciales de las precipitaciones obtenidas de las interpolaciones realizadas con los registros puntuales de las estaciones meteorológicas.
MATERIALES Y MÉTODOS
Área y período de estudio
Los radares meteorológicos del INTA, Paraná (31° 50’ 52” S, 60° 32’ 13” O), Pergamino (33° 56’ 45” S, 60° 33’ 43” O) y Anguil (36° 32’ 20” S, 63° 59’ 24” O), abarcan una superficie de 240 km de radio, con centro en la antena del radar, la cual se extiende sobre las regiones fitogeográficas Pampeana, del Monte y del Espinal. Dada la superposición espacial parcial entre los radares de Paraná y Pergamino, el área de influencia conjunta es menor respecto a una superficie de 240 km de radio para cada radar, con lo cual han sido analizados íntegramente. Debido a que, por un lado, la precisión de las estimaciones disminuye con el incremento de la distancia al radar (Belmonte et al., 2017) y, por otro lado, con el fin de reducir el efecto del incremento en la altura de muestreo con la distancia al radar (Wilson y Brandes, 1979), en este trabajo se consideró un área de influencia de los radares de 150 km de radio. En total se cubrió un área aproximada de 204.044 km2 perteneciente a porciones de las provincias de Buenos Aires, La Pampa, Santa Fe, Entre Ríos y San Luis (figura 1). El clima de la región es cálido al norte y templado en el centro sur, con precipitaciones anuales enmarcadas dentro de las isohietas de 500 a 1200 mm anuales en un gradiente oeste-este (Murphy et al., 2008).

Ubicación de la Red de Radares Meteorológicos del INTA: Paraná, Pergamino y Anguil. En línea sólida se indica el área de influencia de 240 km de radio, mientras que la línea punteada representa el área de influencia hasta los 150 km. Los cuadrados verdes y los triángulos rojos representan la ubicación de las estaciones meteorológicas de las cuales se obtuvieron los datos pluviométricos, distinguiendo entre Convencionales y Automáticas, respectivamente.
El período de estudio abarcó los meses de octubre y noviembre del año 2016, coincidente con el inicio de la temporada cálida en la región. Estos meses cuentan con la presencia de abundantes precipitaciones y de gran variabilidad temporal en su ocurrencia, representando aproximadamente el 20% de las lluvias registradas en el año, con los mayores porcentajes de días con precipitación respecto al total anual de días lluviosos (Sarochar et al., 2005).
Fuentes de información y procesamiento de los datos
Se utilizaron dos fuentes principales de datos de precipitaciones diarias: 1) datos puntuales registrados en estaciones meteorológicas, y 2) datos estimados a partir de imágenes de los radares meteorológicos. Se trabajó con información de 50 estaciones meteorológicas de superficie ubicadas bajo el área de influencia hasta los 150 km de los tres radares, correspondiendo 26 de ellas a estaciones convencionales y 24 a estaciones automáticas pertenecientes a la red del Servicio Meteorológico Nacional (SMN) y del INTA, respectivamente (figura 1). Se contó con imágenes de radar de 1 km de resolución espacial cada 10 minutos para el período comprendido entre los meses de octubre y noviembre del año 2016, totalizando un set de 8784 imágenes.
El procesamiento consistió, en primer lugar, en transformar los valores de reflectividad del radar a intensidades de precipitación, utilizando los coeficientes de las relaciones empíricas z-R de Marshall y Palmer (1948) (R=100,062dBZ * 0,036), ampliamente utilizados para la obtención de la intensidad y cantidad de eventos precipitantes a partir de los datos de radar (Rinehart, 2007). En segundo lugar, se calculó la precipitación diaria acumulada a partir de la sumatoria de las 144 imágenes diarias permitiendo, de esta manera, la comparación con los datos diarios registrados en las estaciones meteorológicas. Estas operaciones se llevaron a cabo utilizando el paquete ‘Raster’ en ambiente de programación R (R Core Team, 2017).
Interpolaciones espaciales y análisis de los datos
Se realizó una interpolación espacial para datos diarios y mensuales de los registros pluviométricos medidos en las estaciones meteorológicas utilizando el método Inverso a la Distancia, de acá en adelante denominado Interpolación Espacial Convencional (IEC), utilizando el paquete ‘gstat’ en ambiente de programación R (figura 2). Se decidió utilizar el método Inverso a la Distancia por su practicidad en la cantidad de información pluviométrica necesaria para su ejecución y por su gran representación del comportamiento de los eventos de lluvia (Pizarro et al., 2003; Vargas et al., 2011). Este método pondera cada punto interpolado según la cercanía a los valores de referencia de las precipitaciones registradas en las estaciones meteorológicas (Hurtado Montoya, 2009). Una vez realizada la interpolación espacial se excluyó toda área más allá de los 150 km desde la antena de cada uno de los radares meteorológicos.
Para cada imagen de precipitación diaria acumulada obtenida con los radares, se identificaron los campos de precipitación (figura 2). Para determinar el valor de precipitación estimada mediante radar a partir del cual se identifican los campos de precipitación se evaluaron distintos umbrales. Para ello se realizó una prueba diagnóstica utilizando estadística bayesiana; lo registrado en las estaciones meteorológicas fue la información de referencia. Se consideraron los umbrales de precipitación estimada con los radares meteorológicos (1, 5, 10, 15 y 20 mm), es decir, valores de precipitación a partir del cual ocurrió un evento precipitante según el registro del radar. Para cada uno de los umbrales definidos se calculó la sensibilidad de detección del radar (1), que es la probabilidad del radar de detectar la ocurrencia de una lluvia, y la especificidad (2), que indica la probabilidad del radar de detectar la no ocurrencia de una lluvia (Fawcett, 2005; Teegavarapu et al., 2017).


Donde VP (verdadero positivo) es el número de casos en que el radar detecta lluvia y que también fue registrado en las estaciones meteorológicas, FP (falso positivo) es el número de casos en que el radar detecta lluvia y que el evento precipitante no fue registrado en las estaciones meteorológicas, VN (verdadero negativo) es el número de casos en que el radar no detecta lluvia y que el evento precipitante no fue registrado en las estaciones meteorológicas y FN (falso negativo) es el número de casos en el radar no detecta lluvia y sí fue registrado en las estaciones meteorológicas.
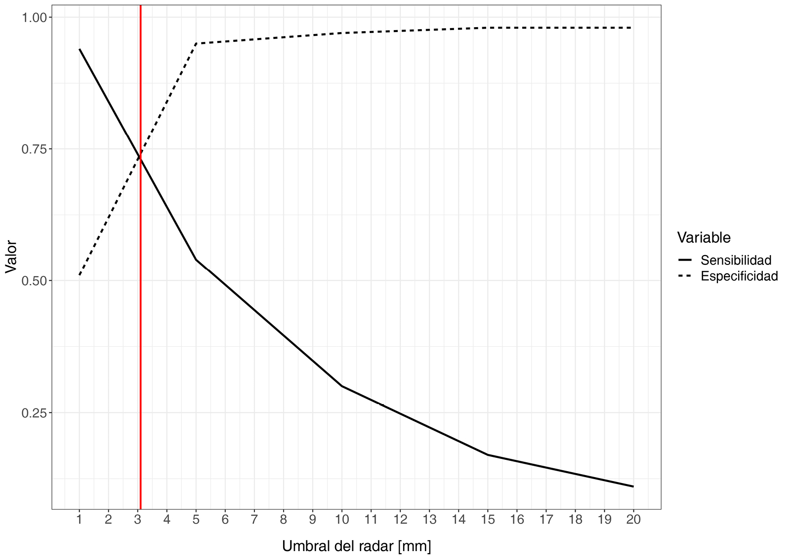
A partir de los valores de sensibilidad y especificidad obtenidos para cada umbral de precipitación (1, 5, 10, 15 y 20 mm) se generaron las curvas de dichas variables en función del umbral de precipitación. Se determinó el punto de corte (“threshold” o valor en el que se cruzan ambas curvas) para determinar el valor de precipitación en el cual la sensibilidad y la especificidad se igualan. El aumento en el umbral de precipitación conlleva a una disminución de la sensibilidad y a un aumento de la especificidad, siendo el punto de corte donde se maximiza el compromiso entre ambas variables.
A su vez, se evaluó la capacidad predictiva del radar mediante el análisis estadístico del área bajo la curva AUC (Area Under the Curve, por sus siglas en inglés) a partir de la curva ROC (Receiver Operating Characteristics) (Fawcett, 2005), un estadístico que resume el rendimiento o la efectividad del radar para detectar el evento precipitante. Este posee un valor comprendido entre 0,5 y 1, donde 1 representa un valor diagnóstico perfecto y 0,5 es una prueba sin capacidad discriminatoria diagnóstica.
La máscara de campos de precipitación se aplicó sobre las IEC diarias obteniéndose la Interpolación Espacial utilizando los Radares (IER) (figura 2). Este producto fue generado a escala diaria y posteriormente fue llevado a escala mensual aplicando la sumatoria de bandas. Con los valores mensuales se analizó la diferencia en los milímetros de agua precipitada estimada con ambos métodos de interpolación espacial (IEC vs. IER) mediante (3):

A su vez, se analizó la variación en la diferencia entre ambos métodos ante incrementos en la distancia de cada uno de los pixeles del radar a las estaciones meteorológicas más próximas.

Diagrama de la generación de las Interpolaciones Espaciales utilizando Radar (IER) diarias y mensuales. El proceso inicia con el ingreso de los datos puntuales registrados en las estaciones meteorológicas y los datos estimados a partir de las imágenes de radar meteorológico. Los Datos Puntuales de Precipitación Diaria fueron interpolados obteniendo la Interpolación Espacial Convencional (IEC) diaria y mensual. Las imágenes de reflectividad del radar captadas cada 10 minutos (144 imágenes diarias) fueron procesadas, obteniendo imágenes diarias de precipitación. Considerando el umbral de precipitación se generaron las Máscaras de Campos de Precipitación diarias, las cuales fueron aplicadas a las IEC diarias obtenidas con las estaciones meteorológicas. De esta manera se obtuvo el producto final IER diario y mensual.
RESULTADOS
El valor umbral obtenido para la identificación de campos de precipitación a partir de las imágenes de radar fue de 3,125 mm, el cual surgió de la intersección entre las variables de sensibilidad y especificidad graficadas en función de los distintos umbrales de precipitación del radar (figura 3). Si bien la sensibilidad del radar fue superior al utilizar el umbral de lluvia de 1 mm (94%), dicho valor no presentó buenos valores de especificidad (51%). En la intersección ambas variables presentaron un valor cercano al 75%. El AUC calculado a partir de dichas variables fue de 0,83, lo que indica que el radar posee un valor diagnóstico bueno para la identificación de eventos precipitantes o campos de precipitación.

Sensibilidad y Especificidad en función de diferentes valores umbrales de detección de lluvia del radar (en milímetros). Se representa el punto de corte entre ambas curvas en 3,125 mm.
A partir del umbral del radar calculado se constituyeron las máscaras de campos de precipitación (figura 4), donde los valores de precipitación diaria estimada superiores a 3,125 mm fueron considerados como eventos de precipitación.

Máscaras de campos de precipitación identificados con el radar meteorológico de Paraná. Los días corresponden al 12 de octubre, y al 1 y 9 de noviembre del año 2016. La cruz amarilla indica la ubicación del radar meteorológico de Paraná, mientras que la línea punteada indica el área de influencia de 150 km de radio.
En promedio, el 55% de la superficie bajo estudio fue ocupada por la máscara de campos de precipitación respecto a la superficie total que presentaban lluvias bajo las IEC (tabla 1).

Promedio y desvío estándar de la proporción de la superficie bajo estudio ocupada por la máscara de campos de precipitación del radar en relación al área de influencia de los radares de 150 km de radio.
Estos resultados sugieren que las IEC sobreestiman aproximadamente el doble de la superficie que presentan eventos precipitantes en el período de estudio analizado. A partir de la interpolación espacial convencional de los datos de precipitación registrados en las estaciones meteorológicas y la inclusión de las máscaras de campos de precipitación identificadas con los radares meteorológicos se obtuvieron las estimaciones de las precipitaciones diarias denominadas IEC (figura 5a) y IER (figura 5c), respectivamente. Como se dijo anteriormente, las IEC mostraron no solo una mayor superficie con eventos precipitantes, que bajo IER ocurrieron de manera localizada y discontinua en el terreno, sino también una sobreestimación de las precipitaciones ocurridas en el área de estudio. A modo de ejemplo, se observó que la precipitación diaria estimada mediante interpolación (IEC) (figura 5a) presentó una superficie con valores de lluvia superiores a 32 mm diarios en más de la mitad del área de estudio, mientras que dichos valores se hallaron en un sector delimitado al considerar las precipitaciones estimadas con los radares meteorológicos (figura 5b).

Estimación de la precipitación diaria en milímetros para el 4 de octubre de 2016 dentro del área de los 150 km de influencia de los tres radares meteorológicos terrestres: Paraná, Pergamino y Anguil. a) Interpolación Espacial Convencional (IEC) a partir de los datos de precipitación registrados en las estaciones meteorológicas, b) Imagen de precipitación diaria obtenida con los radares, c) Interpolación Espacial utilizando Radar (IER) diaria para la identificación de campos de precipitación.
En los dos meses analizados, toda la superficie dentro del radio de los 150 km presentó sobreestimaciones en las precipitaciones del método IEC con respecto al IER (figura 6). El 89% del área analizada presentó diferencias de hasta 50%, mientras que en el 11% del área se observaron sobreestimaciones del método IEC incluso superiores al 100% (figura 6). Las diferencias entre las IEC y las IER en los análisis mensuales mostraron, en promedio, sobreestimaciones en el agua precipitada de aproximadamente 70,8 mm en el área de Anguil y de 20,3 mm en Paraná y Pergamino para el mes de octubre. En noviembre, Anguil presentó diferencias promedio de 24,3 mm y Paraná y Pergamino de 10,8 mm. Los valores superiores en el área de Anguil se deben a la menor densidad de estaciones meteorológicas para la IEC, incrementando la diferencia en el agua estimada entre ambos métodos.

Diferencia en porcentaje (%) en la precipitación estimada entre los métodos de interpolación espacial convencional (IEC) utilizando los datos de estaciones meteorológicas y de interpolación espacial utilizando radar (IER). Las cruces indican las posiciones de los radares meteorológicos de Paraná, Pergamino y Anguil, mientras que los triángulos muestran la ubicación de las estaciones meteorológicas.
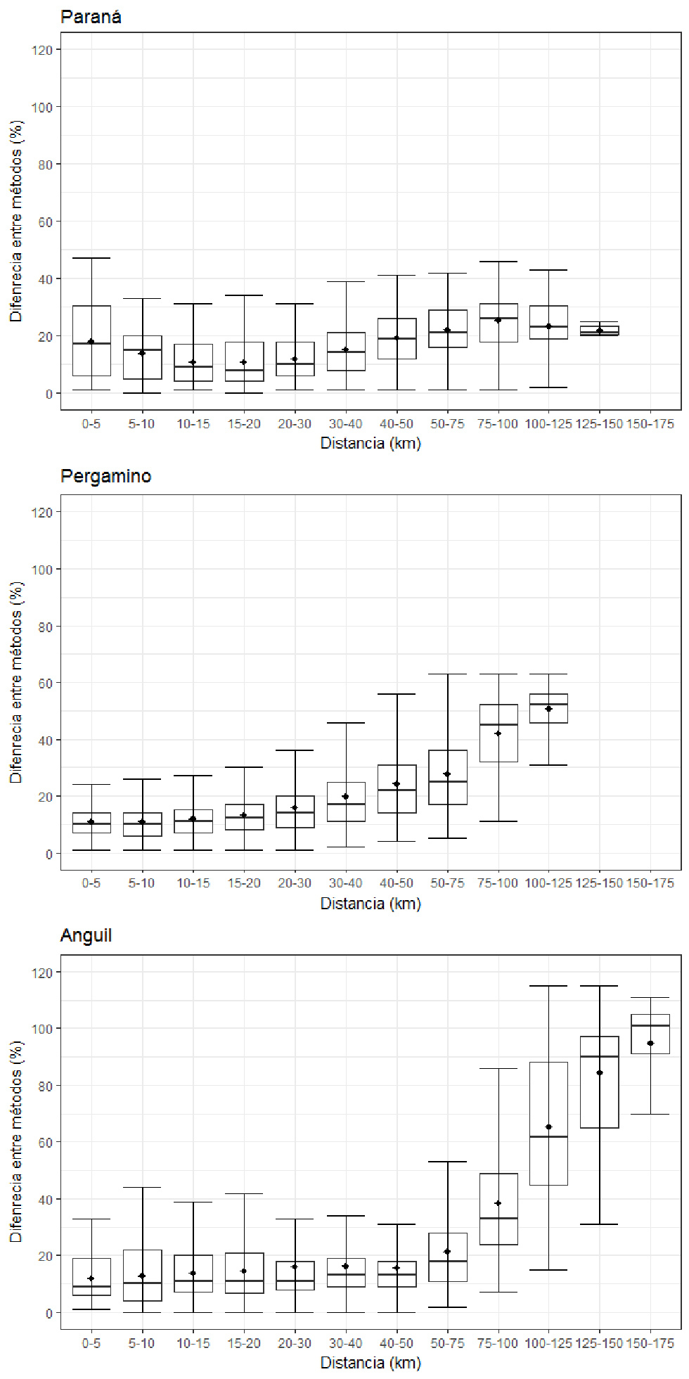
Al aumentar la distancia lineal a las estaciones meteorológicas, la diferencia entre ambos métodos presentó una tendencia creciente (figura 7). Esto corresponde con la disminución en la representatividad que dichas mediciones puntuales poseen del evento de lluvia en los sitios más alejados de la posición de la estación meteorológica. Sin embargo, dicha tendencia se registró principalmente para los radares de Pergamino y Anguil, resultando la dispersión de las diferencias entre ambos métodos de interpolación similares para el radar de Paraná (figura 7). Solamente Anguil presentó diferencia entre ambos métodos con valores superiores al 100%, encontrándose estos hacia el sur, en concordancia con la ausencia de estaciones meteorológicas próximas.

Diferencia entre los métodos de interpolación espacial convencional (IEC) y de interpolación espacial utilizando radar (IER) en función de la distancia lineal de cada sitio, o pixel a la estación meteorológica (en kilómetros) más cercana, en el área de los radares de Paraná, Pergamino y Anguil. La caja indica la distribución de los datos entre los percentiles 25 y 75, mientras que las líneas indican los percentiles 5 y 95. La línea transversal corresponde a la mediana, mientras que la media está representada por el diamante dentro de la caja.
DISCUSIÓN Y CONCLUSIONES
Se observó que las Interpolaciones Espaciales Convencionales (IEC) presentaron sobreestimaciones en las precipitaciones. Para precipitaciones diarias el porcentaje del área sobreestimada fue aproximadamente la mitad de lo observado por los radares meteorológicos de Paraná, Pergamino y Anguil. Las Interpolaciones Espaciales utilizando Radar (IER) permitieron incorporar la discontinuidad espacial del evento de precipitación en la estimación de las lluvias a partir de la identificación de los campos de precipitación cuando la precipitación estimada por radar era superior a los 3,125 mm. La diferencia calculada entre ambos métodos presentó sobrestimaciones de la IEC en toda la superficie analizada, incrementándose a mayores distancias de la estación meteorológica. Los registros pluviométricos puntuales de las estaciones meteorológicas complementados con la identificación de los campos de precipitación mediante radares meteorológicos lograron disminuir la incertidumbre del evento de precipitación en zonas alejadas de los puntos de medición. De no ser incorporada la discontinuidad intrínseca de las precipitaciones en el espacio, las sobreestimaciones de las interpolaciones espaciales pueden alcanzar grandes magnitudes, aún más si se trabaja a mayores escalas espaciales. Dichas magnitudes en las sobreestimaciones llegan a ser comparables al 60% de la evapotranspiración potencial mensual en dicha área (serie 1973-2016, Belmonte et al., 2017).
Los resultados obtenidos indican que los radares permitirían aportar información de la distribución espacial de las lluvias a las interpolaciones espaciales convencionales, siendo la metodología utilizada factible para la mejora de productos que utilicen la precipitación como variable de interés. En la Argentina esto se torna relevante en la actualidad frente al panorama que representa el Sistema Nacional de Radares Meteorológicos (SINARAME) cuyo objetivo es generar una red de radares que logre cubrir todo el territorio nacional, integrados con los tres radares meteorológicos del INTA utilizados en este trabajo (Rodríguez et al., 2017). El desarrollo en estas áreas de investigación es un incentivo al uso de los radares meteorológicos para estimaciones precisas en mapas de precipitación, en los balances hídricos, como así también para identificar anomalías negativas (sequías) y realizar proyecciones de rendimientos de cultivos (Cravero et al., 2017). A su vez, estimaciones erróneas llevadas a cabo con la interpolación convencional pueden tornarse perjudiciales para el estudio y control de enfermedades, y en la generación de modelos de alerta asociados como los modelos para la fusariosis en la espiga del trigo, crecientes en los cursos de aguas e inundaciones. La metodología propuesta en este trabajo reduce las sobreestimaciones de la precipitación generadas bajo las interpolaciones espaciales convencionales, siendo una herramienta práctica en la obtención de información detallada para la toma de decisiones y la gestión de los recursos.
BIBLIOGRAFÍA
BATTAN, J.L. 1962. Radar Observes the Weather. Doubleday & Company, Nueva York, 1962. 51-59 pp.
BELMONTE, M.L.; CASAGRANDE, G.A.; DEANNA, M.E.; PÁEZ, R.; FARREL, A.; BABINEC, F.C. 2017. Estadísticas agroclimáticas de la EEA Anguil “Ing. Agr. Guillermo Covas” Período 1973-2016. Ediciones INTA.
BELMONTE, M.L. 2014. Estimación de precipitación a partir de radar meteorológico: Evaluación y desarrollo de productos para la toma de decisiones en planificación agropecuaria. Tesis de Magister en Ciencias Agrarias. Universidad Nacional del Sur. Bahía Blanca.
CRAVERO, S.A.C.; BIANCHI, C.L.; ELENA, H.J.; BIANCHI, A.R. 2017. Clima de la Argentina Mapas digitales mensuales de precipitaciones y precipitación menos evapotranspiración potencial: adenda del Atlas Climático digital de la República Argentina. Salta. Ediciones INTA.
DELLA CHIESA, T. 2011. Estimación del balance de agua del suelo en la región pampeana utilizando datos provenientes de sensores remotos. Trabajo Correspondiente al ciclo de intensificación para acceder al título de ingeniero agrónomo. Universidad de Buenos Aires. Facultad de Agronomía.
FATTORELI, S.; CASALE, R.; BORGA, M.; DA ROS, D. 1995. Integrating radar and remote sensing techniques of rainfall estimation in hydrological applications for flood hazard mitigation. The European contribution: perspectives and prospects. European Commission. Directorate General xii Science, Research and Development, Bruselas.
FAWCETT, T. 2005. An introduction to ROC analysis. Pattern Recognition Letters. Volume 27, Issue 8, June 2006. 861-874 pp.
HE, X. 2011. Weather radar based quantitative precipitation estimation in modeling of catchment hydrology. PhD thesis. Department of Geography and Geology, Faculty of Science. University of Copenhagen.
HOBOUCHIAN, M.P.; GARCÍA SKABAR, Y.; BARRERA, D.; VILA, D.; SALIO, P. 2015. Estimación de precipitación por satélite aplicando la técnica hidroestimador en su versión para Sudamérica. CONGREMET xii. Mar del Plata.
HUBBARD, K.G. 1994. Spatial variability of daily weather variables in the High Plains of the USA. Agricultural and Forest Meteorology. 68 (1994) 29-41.
HURTADO MONTOYA, A.F. 2009. Estimación de los campos mensuales históricos de precipitación en el territorio colombiano. Tesis de maestría. Universidad Nacional de Colombia. Posgrado en Aprovechamiento de Recursos Hidráulicos. Facultad de Minas. Medellín.
JOYCE, R.J.; JANOWIAK, J.E.; ARKIN, P.A.; XIE, P. 2004. CMORPH: A Method that Produces Global Precipitation Estimates from Passive Microwaver and Infrared Data at High Spatial and Temporal Resolution. Journal of Hyfrometeorology. Vol 5. 490 p.
MARSHALL, J.S.; PALMER, W.M.K. 1948. The distribution of raindrops with size. Journal of meteorology, 5(4). 165-166 pp.
MURPHY, G.M.; HURTADO, R.H. 2013. Agrometeorología. Editorial Facultad de Agronomía. Universidad de Buenos Aires. 71-114 pp.
MURPHY, G.M.; FERNÁNDEZ LONG, M.E.; SERIO, L.; FARONI, A.; MAIO, S.; SPRESCHA, L.B.; BERNATÁN, I. 2008. Atlas agroclimático de la Argentina. Editorial Facultad de Agronomía.
PIZARRO, R.; RAMIREZ, C.; FLORES, J.P. 2003. Análisis comparativo de cinco métodos para la estimación de precipitaciones areales anuales en períodos extremos. Bosque 24(3): 31-38 pp.
RINEHART, R. 2007. Radar for meteorologists. Knight Printing, Fargo, Dakota del Norte, EUA.
RODRÍGUEZ, A.; LACUNZA, C.; SERRA, J.; SAULO, A.C.; CIAPPESONI, H.H.; CARANTI, G.M.; BERTONI, J.C.; MARTINA, A. 2017. SiNaRaMe: El Primer Sistema Integrado de Radares Hidro-Meteorológicos de Latinoamérica; Universidad Nacional de Córdoba. Facultad de Ciencias Exactas, Físicas y Naturales; Revista de la Facultad de Ciencias Exactas Físicas y Naturales; 4; 1; 3-2017; 41-48.
SAROCHAR, R.H.; CIAPPESONI, H.H.; RUIZ, N.E. 2005. Precipitaciones convectivas y estratiformes en la Pampa Húmeda: una aproximación a su separación y aspectos climatológicos de ambas. Meteorólogica, 30(1-2), 77-88.
Stow, C. D., Dirks, K. N. 1998. High-resolution studies of rainfall on Norfolk Island Part 1: The spatial variability of rainfall. Journal of hydrology 208 (1998) 163-186.
TEEGAVARAPU, R.S.V.; GOLY, A.; WU, Q. 2017. Comprehensive framework for assessment of radar-based precipitation data estimates. Journal of Hydrologic Engineering. Volume 22 Issue 5.
VARGAS, A.; SANTOS, A.; CÁRDENAS, E.; OBREGÓN, N. 2011. Análisis de la distribución e interpolación espacial de las lluvias en Bogotá, Colombia. DYNA, Volumen 78, Número 167, 151-159 pp.
VIDAL, L.; SALIO, P.; PAPPALARDO, L. 2012. Uso combinado de datos TRMM/PR y disdrómetro para corrección de reflectividad de radares meteorológicos en Argentina. 1.° Encuentro de investigadores en Formación en Recursos Hídricos (IFRH 2012), 15-16. INA, Ezeiza.
WILSON, J.W.; BRANDES, E.A. 1979. Radar measurement of rainfall - A summary. Bulletin American Meteorological Society. Vol. 60, N.. 9.