Artículos
Desarrollo de profesionistas “T” para el sector turístico de Tequisquiapan
Training "T" professionals for tourism in Tequisquiapan
Desarrollo de profesionistas “T” para el sector turístico de Tequisquiapan
PASOS. Revista de Turismo y Patrimonio Cultural, vol. 16, núm. 3, pp. 797-832, 2018
Universidad de La Laguna

Recepción: 14 Noviembre 2016
Aprobación: 24 Mayo 2018
Resumen: Esta investigación se centra en la caída que experimentó el destino turístico de Tequisquiapan, Qro. en el año de 2006, después de varios años de crecimiento estable, sin una causa aparente que explique por qué de 2005 a 2006 cayera un 42.19%. La disminución en la competitividad de las empresas, la falta de un desarrollo sostenible, el estancamiento y decaimiento de la oferta turística en el ciclo de vida del destino, la calidad de los servicios contratados, la falta de profesionalismo, son algunos de los planteamientos teóricos que surgen para describir este evento y se basa en las narraciones de los empleados del sector hotelero que describen, desde su experiencia, las actitudes de las autoridades, propietarios y grupos sociales involucrados en esta disminución de la demanda de hospedaje.
Palabras clave: Profesionalización, Turismo, Competitividad y Sostenibilidad.
Abstract: This investigation focuses on the apparently inexplicable sharp decline in popularity and tourist numbers (-42.19%) experienced by the tourist destination of Tequisquiapan, Qro in 2006, after various several years of steady growth. Various hypotheses have been forwarded by the stakeholders in the hotel sector for the decline: The decreased competitiveness of the tour companies, the lack of sustainable development, and subsequent stagnation and deterioration of the product on offer, the quality of the contracted services and the general lack of professionalism, among others. The local employees offer their versions of the context as experienced by them, commenting on the authorities attitudes and the reactions of the owners and other sectors of the local society to the decline in demand for accommodation.
Keywords: Professionalization, Tourism, Competitiveness and Sustainability.
1. Introducción
Tequisquiapan es una población del estado de Querétaro con una larga tradición turística que se remonta a la época previa a la conquista española. Tradición que se mantiene hasta la fecha gracias a la presencia de manantiales de aguas termales que en otro tiempo brotaba en forma abundante y constante y que en la actualidad aún se disfrutan aunque restringido a los balnearios que se han construido en sus inmediaciones.
Estos manantiales favorecen las actividades agropecuarias, las ferias del Toro y del Arte, Queso y Vino deben su origen a la crianza de reses bravas y al cultivo de vitis vinífera en la región. Este destino turístico cuyo crecimiento venía siendo sostenido, en el año 2006 experimentó una severa disminución en la afluencia de turistas que alcanzó la cifra del 42.19% sin una causa aparente que la justificara. Fenómenos similares se dieron en Egipto después del ataque a un avión de pasajeros (RTVE, 2016), o el ataque a la Torres Gemelas, sin embargo México y en particular Tequisquiapan no han sufrido una situación parecida.
Posteriormente se presentan gráficas en las que se observan altibajos significativos motivados por la política nacional que ha impactado el turismo internacional, efecto que no se ha reflejado en el turismo interno y en particular con una caída tan espectacular.
Esta investigación se enfoca en la descripción de los eventos que conducen a esta caída desde la óptica de quienes participan en esta actividad hotelera.
2. Antecedentes
Tequisquiapan debe su fama como destino turístico a la presencia de aguas termales a las cuales desde tiempos remotos se les adjudican propiedades curativas. La Organización Mundial de la Salud (OMS) junto con la Federación Internacional de Termalismo, Climatismo (F.I.T.E.C.) han admitido oficialmente el tratamiento mediante la inmersión en aguas termales minerales (hidrotermomineral) como un tratamiento válido y coadyuvante de ciertas afecciones (Bonfada, P., Bonfada, M., Henn, M., & Gândara, J., 2011) Las aguas mineromedicinales “son aguas bacteriológicamente no contaminadas que, procedentes de una fuente subterránea natural o captada, con determinada mineralización y pueden inducir efectos favorables para la salud, y estar reconocidas por las autoridades pertinentes del país de origen” (OMS, 1969 en Rodríguez Míguez 2001:33).
El tratamiento con aguas termales empíricamente se determinó que debía tener una duración más prolongada que una simple inmersión, de esta forma, los visitantes que acudían en busca de un tratamiento debían permanecer varios días en la población. Esta demanda de alojamiento llevó al establecimiento de mesones y posadas que con el tiempo dieron origen a la fundación del primer hotel de Tequisquiapan en el año de 1870, el Hotel El Relox. En 1825 se fundó el Hotel Hidalgo en la ciudad de Querétaro, único que compite en antigüedad con El Relox. (Estrada, 1996)
La oferta del hotel incluía además del alojamiento servicios de alimentación y de termas incluidas en las habitaciones.
Esta oferta fue adoptada por hoteles, mesones y posadas de creación posterior que fueron incrementando la fama de este centro turístico. La otrora abundancia de manantiales de aguas termales fue desapareciendo paulatinamente motivado por la extracción de agua necesaria para la industria del vecino municipio de San Juan del Río.

A mediados del siglo XX esta población aún conservaba el tradicional aspecto de la provincia mexicana y dada su cercanía a la ciudad de México, se convierte además en un destino de turismo de salud en turismo de ocio y cultural. En la siguiente imagen se puede apreciar el aspecto que tenían los alrededores de Tequisquiapan principios de los años 50’s.
El estado de Querétaro cuenta con un extenso valle con características diversas en relación con la fertilidad de sus tierras. En la zona central se encuentra un valle de clima semidesértico con tierras del tipo arcillosa-calizas adecuadas para el cultivo de la vitis vinífera, la zona está conformada por parte de los municipios de Tequisquiapan, Ezequiel Montes, Cadereyta, Colón y parte de San Juan del Río. Los cerros que la circundan son pedregosos y poco útiles para la agricultura, pero adecuado para para la crianza de reses bravas.
La cuenca lechera del estado produce el 1.8% del total nacional (193.7 millones de litros), de los cuales 1 de cada 4 se destina a la elaboración de quesos frescos y madurados (SAGARPA, 2012). Quesos Vai localizado en el municipio de Colón y Quesos NeOle localizado en el municipio de Tequisquiapan han incursionado en la elaboración de quesos madurados.
Las características de las tierras arcillosa-calizas de esta región, propias para el cultivo de la vid, atrajeron la atención de la empresa La Madrileña, la cual en el año de 1969 inicia la elaboración de de vinos de mesa, con las etiquetas Family Vineyards. Pocos años después la vinícola Cheverny se instala en Tequisquiapan en la comunidad de la Tortuga, desafortunadamente debido a problemas con los ejidatarios de la región, ambas empresas dejan de cultivar la vid cambiando de ubicación o comprando uva para la elaboración de sus vinos.
En 1946 se inaugura la Plaza de Toros México, época en que la fiesta taurina reúne a personajes de la política, la industria, la farándula y del mundo intelectual. Para esos años la Ganadería de Xajay y San Martín tienen un buen prestigio en el mundo taurino y Tequisquiapan comienza una nueva etapa de popularidad. En 1958 Fernando de la Mora se asocia con la Ganadería de San Martín y fundan una nueva ganadería de reses bravas en las inmediaciones con el estado de Hidalgo2.
Mario Moreno (Cantinflas) aficionado a la fiesta brava, conoce Tequisquiapan y filma una película en el año de 1971 incrementando de esta forma la popularidad de esta población. Estos hechos traen a esta localidad personas con gran poder adquisitivo, que invierten en casas y fraccionamientos.
En el año de 1974 se se reinician las actividades enológicas de la región con la fundación de la vinícola de La Redonda y diez años después se incorpora la casa vinícola Freixenet, ambas localizadas en el municipio de Ezequiel Montes. Recientemente en el año de 2011 el viñedo Los Rosales inicia sus actividades en este ramo industrial, es la primera vinícola que después de 40 años vuelve a tener viñedos dentro del municipio. (Landaverde, 1996)
En 1976 da inicio la tradicional Feria del Queso y el Vino que atrae a turistas que disfrutan de los vinos de mesa y sus maridajes, Curiosamente Tequisquiapan se convierte en la sede la la Feria gracias a su estructura hotelera, a pesar de que en este municipio no se elaboran vinos y los quesos son de tipo artesanal.
A principios de los años noventa se inicia la construcción de la presa hidroeléctrica localizada en Zimapan, estado de Hidalgo. Esta obra de gran envergadura trae la generación de empleos de personal altamente calificado que encuentra alojamiento adecuado en casas habitación del municipio de Tequisquiapan, dada su infraestructura municipal. Sin embargo, la oferta de casas y personal de servicio doméstico no era suficiente, lo que provocó el alza en las rentas y los salarios. Consecuentemente se da inicio al encarecimiento de la vida de la población. (Landaverde, 1996)
Al término de la construcción de la presa, el personal técnico con alto poder económico migra de este municipio y en igual medida desaparecen los contratos bien remunerados. Los salarios y la calidad de los servicios no regresaron a los niveles de las fechas previas a la llegada de los técnicos nacionales y extranjeros, motivando un malestar en los prestadores de servicios y en los contratantes de los servicios, que no se ajustaron a las nuevas circunstancias.
La siguiente tabla muestra las cifras proporcionadas por el INEGI (2007, 2014, 2015) que pueden considerarse fiables, ya que en fechas anteriores las condiciones y características de los hoteles y posadas no se ajustaban a ninguna norma de clasificación. Como dato curioso se dice que en 1990 Bernal localizado en el municipio de Ezequiel Montes solo contaba con un hotel. (C. Camacho, comunicación personal, 16 de mayo de 2016)

La siguiente tabla muestra el crecimiento en el número de hoteles comparando los años 2007, 2014 y 2015.

La siguiente gráfica se elabora considerando solo los hoteles de las tres poblaciones que compiten en la región por el turismo que arriba a Tequisquiapan.


Estos datos y la gráfica muestran que los municipios de Querétaro y Ezequiel Montes tuvieron un crecimiento sostenido importante, Tequisquiapan también se mantuvo con un crecimiento positivo pero con una tasa muy inferior a los otros dos.
Considerando 2007 como el 100%, Ezequiel Montes fue el municipio con el mayor crecimiento 8.18% promedio anual, Querétaro con 5.21% y Tequisquiapan con 3.56%. (Calculos de elaboración personal)
De acuerdo con estas cifras el municipio de Tequisquiapan pasa de ser el segundo destino turístico al tercer puesto en crecimiento y oferta de alojamiento. Es el único destino que reporta un decremento en la afluencia turística que del año 2005 a 2006 cayó un 42.19%.
La siguiente imagen muestra la ruta del Arte, Queso y Vino promovida por la Secretaría de Turismo del gobierno del estado, que fusiona dos rutas prexistentes, La Ruta del Queso y el Vino y la Ruta de Las Misiones. Esta imagen muestra la ventaja geográfica que tiene Tequisquiapan, por su cercanía con la Ciudad de México y la ciudad de Querétaro, a pesar de lo cual las preferencias turísticas se han desplazado a otros destinos. Las poblaciones de San Joaquín, Jalpan, forman parte de la antigua Ruta de Las Misiones cuyo atractivo son las misiones fundadas por Fray Junípero Serra en el siglo XVI, en locaciones con paisajes serranos de la huasteca queretana, sin embargo, la distancia y el tipo de carretera requieren de viajes con duraciones superiores a tres días. (C. Camacho, comunicación personal el 16 de mayo de 2016) El problema consiste en investigar las causas aparentes y subyacentes que dan origen a este comportamiento turístico. El indicador que refleja la situación con mayor exactitud es el hospedaje, cuyos registros sobre la ocupación sirven para medir la permanencia en el sitio. Los servicios de alimentos, visitas guiadas u otras ofertas, no representan datos que puedan considerarse como útiles, pues difícil determinar cuántos de los usuarios solo estuvieron de paso.
Derivado del problema de la investigación, el objetivo principal es:
• Conocer el desarrollo de los factores que condujeron a la actual situación de la ocupación hotelera de este destino turístico.
La Organización Mundial de Turismo y el Consejo Mundial de Turismo y Viajes señalan que los indicadores más relevantes de de los destinos turísticos son los precios, la infraestructura, el desarrollo tecnológico, las políticas gubernamentales, el medio ambiente, el turista y el factor humano. (Lillo, Ramón y Sevilla, 2007)
Estos indicadores sirven de base para la determinación de los objetivos secundarios:
• Conocer los criterios empleados en la determinación de los precios de las habitaciones en relación con la clasificación de los hoteles.
• Conocer la actualización tecnológica de los hoteles.
• Conocer la infraestructura de los hoteles.
• Conocer los recursos culturales del municipio y la región.
• Conocer los recursos naturales del municipio y la región.
• Conocer las características del personal contratado por los hoteles.
• Conocer las características de los otros prestadores de servicios en relación con el hospedaje.
• Conocer la participación de la sociedad y autoridades gubernamentales en la solución de este problema.
Para recabar la información descrita en los objetivos, se elaboró un formato de entrevista semiestructurada que incluye parte de los indicadores señalados en el Monitor de Competitividad del Consejo Mundial de Turismo y Viajes, elaborado con la colaboración de la Universidad de Nottinggham a través del Cristel DeHann Tourism and Travel Research Institute (Anexo 1).
En la elaboración de este formato se tomaron en cuenta los siguientes criterios:
• Eliminar lo relativo a la infraestructura carretera y aeroportuaria, en función de ser la misma para los distintos destinos turísticos, de tal forma que representa una constante para todos ellos.
• Eliminar las características de las políticas estatales por ser las mismas para todos los destinos turísticos.
• Eliminar la procedencia de los visitantes en función de no ser la distancia a los distintos destinos una variable significativa dada su cercanía.
Este trabajo se apoya en las aportaciones de cuatro teorías; el Turismo, el Desarrollo Sostenible, la Competitividad, y la Ciencia de los Servicios, las cuales proporcionan un marco para el análisis de los datos obtenidos mediante las entrevistas semiestructuradas aplicadas al personal de los hoteles, a los prestadores de servicios y a las autoridades municipales del ramo turismo.
3. Turismo
El turismo es un fenómeno social, cultural y económico relacionado al movimiento de las personas a destinos nacionales o internacionales fuera de su residencia habitual por motivos personales o de negocios/profesionales. (OMT, 2015). Según Sancho (1998), “el turismo comprende las actividades que realizan las personas durante sus viajes y estancias en lugares distintos al de su entorno habitual, por un periodo de tiempo consecutivo inferior a un año con fines de ocio, por negocios y otros.” (Sancho, 1998, p.46)
Esta definición destaca tres características:
1) Motivaciones del viaje: las cuales pueden ser por ocio, negocio, salud, etc.
2) Acotación temporal: la actividad turística se realiza por un periodo inferior a un año.
3) Actividades Generales (Viviana, 2012)
El turismo de acuerdo con las cifras de la Organización Mundial de Turismo (OMT) se ha convertido en la tercera actividad económica del mundo y es la generadora del 7% del total de las exportaciones mundiales con una tendencia de crecimiento entre el 3.3 y 3.5% anual (OMT, 2016).
El mercado potencial ofrece incentivos atractivos a los inversionistas del mundo que ven en esta actividad como estable con bajos riesgos en el mediano y largo plazo. Se hace énfasis en dos conceptualizaciones, la del turista en términos generales y la oferta turística de los distintos destinos. La industria turística requiere de personal cada vez más especializado que genere innovaciones en los productos que ofrecen. (OMT, 2016)
Las actividades de ocio turísticos son excursiones, visitas a lugares históricos, práctica de deportes, etc. distinguiéndose cuatro componentes básicos:
1) La demanda: es el conjunto de consumidores (actuales y potenciales) de servicios turísticos.
2) La oferta: formada por el conjunto de productos, servicios y organizaciones involucrados directamente con la actividad turística; a disposición de los turistas para su consumo y disfrute.
3) El espacio geográfico: base física donde tiene lugar la conjunción o encuentro entre la oferta y la demanda, lugar donde se sitúa la población residente.
4) Los operadores del mercado: son las empresas y organismos intermediarios en la interrelación entre la oferta y la demanda. (Sancho, 1998, p.47)
Los conceptos que describen a los participantes de esta actividad son:
El Turista: Personas que se desplazan hacia destinos distintos a su residencia habitual o trabajo, con intenciones de ocio o trabajo. La OMT los clasifica en dos categorías:
El Excursionista; Difieren de los visitantes en el hecho de no usar los servicios de hospedaje de los hoteles. (OMT)
El Visitante; De acuerdo con la OMT, son aquellas personas que utilizan dos o más servicios de la oferta turística, bajo la condición de hospedarse cuando menos por una noche.
Prestadores de servicios: La OMT (2015) define a los prestadores de servicios como los establecimientos que ofrecen un producto final al visitante, tal como el hospedaje, los restaurantes, bares, balnearios, transportes, guías y tiendas de artesanías principalmente. Cada destino tiene prestadores de servicio específicos de su oferta.
Operadores de Servicios: Personas físicas o morales que funcionan como intermediarios entre los oferentes (prestadores de servicios) y los demandantes (turistas). (OMT, 2015)
Destino Final y Turismo Alternativo: La organización Mundial de Turismo a fin de unificar criterios y conceptos de análisis señala que un destino turístico es una concentración de instalaciones y servicio diseñados para satisfacer las necesidades de los turistas (Bull, 1994, citado por Viviana, F. 2012), es una localidad que integra una oferta turística compuesta por la diversidad de actividades que se pueden desarrollar en esa población y áreas cercanas, a condición de que esta sea el punto de partida de las actividades. (OMT, 2015).
El turismo alternativo divide por el tipo de actividades se realizan en la región, (Barrado, 2004) que se define por las modalidades de la oferta, los atractivos locales y los impactos que tienen en los turistas, ejemplo; turismo cultural, gastronómico, etc. (Almirón 2004); (Bertoncello, 2002), (Díaz, Crecente y López, 2004).
4. Desarrollo sostenible
Se entenderá por desarrollo sostenible, la traducción del informe Brundtland que hace Durán, (2000): “el desarrollo sostenible es progreso económico que satisface las necesidades de las generaciones presentes sin comprometer el de las generaciones futuras”, así mismo, considera las tres dimensiones de la sostenibilidad propuestas por (Artaraz, 2001) y (Durán, 2000), la dimensión social, la dimensión económica y la dimensión ambiental.
La siguiente imagen construida como un diagrama de Venn, muestra la relación entre las tres dimensiones mencionadas.

La intersección entre lo social y lo económico explica el objetivo de un desarrollo equitativo. Entre lo social y el medio ambiente se resalta que las actividades propias del desarrollo deben permitir la continuidad de la vida. Entre el medio ambiente y lo económico, queda comprendido que el desarrollo debe ser viable y finalmente de la intersección de estos tres subgrupos, se explica como el desarrollo sostenible como centro de las actividades, debe estar acotado por cada una de las dimensiones.
“El desarrollo sostenible en la empresa es esencialmente, la sostenibilidad económica del negocio a largo y mediano plazo” (Esparcia, 2011), esta definición pone en primer lugar la viabilidad de la organización, sin tomar en cuenta el agotamiento de los recurso.
Estos conceptos son fundamentalmente importantes para el turismo, ya que su actividad se vincula estrechamente con los atractivos del paisaje rural y urbano
El turismo sostenible nace como una respuesta a cuatro causas:
1) El incremento en la concientización sobre los temas ambientales.
2) El mercado turístico comienza a reconocer el impacto que ocasionan las actividades turísticas.
3) Los visitantes exigen mayores estándares de calidad de los productos y servicios que reciben, se incrementa la competitividad en la oferta para cumplir con estos estándares.
4) 4. Los grupos ambientalistas presionan la opinión pública en relación a los efectos de las actividades turísticas sobre el medio ambiente (Alonso, 2002).
La imagen 4 presenta en forma gráfica las relaciones que genera la sostenibilidad de las empresas relacionadas con el turismo. Los compromisos señalados deben ser cubiertos por los destinos turísticos para garantizar la seguridad de los turistas en su estadía. El buen gobierno, la salud e higiene, la eficiencia, el impacto ambiental, entre los mencionados deben adecuarse al entorno y soportado por profesionales en cada uno de sus campos.

Desde la perspectiva empresarial los factores relacionados con la sostenibilidad se dividen en dos grupos; los relativos a sus recursos y los relacionados con su administración. La empresa debe optimizar el uso de sus recursos y diseñar estrategias que garanticen su presencia en el mercado.
En cuanto a la optimización de sus recursos, estos deben ser acordes con los nuevos factores de desarrollo territorial (NFDT, por sus siglas en español), en este sentido la sostenibilidad no tiene relación directa con el tamaño de los mercados o con la globalización, sino con su uso racional. Respecto de su administración, la sostenibilidad depende de las decisiones estratégicas empresariales dinámicas y competitivas que promuevan su consolidación en el tiempo (Esparcia, 2011)
Las estrategias se construyen bajo consideraciones que destacan la importancia que la información y el conocimiento tienen en su diseño e implementación (Pumpin y García, 1993). La toma de decisiones se soporta en la información y conocimiento del cual se dispone, que se convierten en acciones competitivas y dinámicas adecuan y transforman dicha información y conocimiento a fin de darle sostenibilidad a la empresa en el largo plazo (Capriotti, 1999).
El turismo es un mercado en el que el turista es cada vez más sensible a los efectos que se presentan en el entorno, las innovaciones del turismo alternativo en sus distintas modalidades como el senderismo, el turismo cultural, el de alto riesgo; el gastronómico que ponen al turista en contacto con el paisaje que le rodea y vive los contrates que cada le proporciona. La presencia de focos de contaminación, manejo de los residuos (basura), la pobreza y otros factores impactan en el ánimo del turista, no solo para volver a un destino turístico, sino en su selección previa (Niding, 2001).
Un aspecto importante a considerar en la teoría turística, es el Modelo del Ciclo de Vida de un Destino Turístico (The Tourism Area Life Cycle ) propuesto por Richard W. Butler (2006), en el cual plantea que los destinos turísticos tienen un ciclo de vida compuesta por seis etapas:

• Exploración, no existe una oferta turística como tal y los visitantes son del tipo ocasional o explorador
• Participación, los residentes van formando parte de una provisión de servicios de apoyo, el crecimiento es positivo pero lento
• Desarrollo, el arribo se eleva significativamente por la popularidad del sitio y se invierte en hoteles y restaurantes.
• Consolidación, la tasa de arribo disminuye, sin embargo, el número absoluto de visitantes aumenta.
• Estancamiento, se alcanza el máximo de arribo, la atracción decae, la fidelidad se modifica, se enfrentan las opciones de la renovación o la declinación.
• Renovación, la oferta se diversifica, se crean nuevas atracciones o se innovan la existentes mediante cambios en su estructura.
• Declive, el destino no cuenta con otros recursos que diversifiquen la oferta, no hay capacidad humana para la innovación, hay reticencia a los cambios de dirección, el visitante promedia cifras cercanas a una noche de ocupación, otros sitos captan al visitante al ofrecer mayores o novedosos atractivos. (Butler, 2006)
Butler señala que un error común en los destinos turísticos es suponer que siempre serán destinos turísticos, se adjudican un potencial ilimitado de crecimiento basado en las características naturales que poseen; como por ejemplo en los destinos de Sol y Playa, el mar, la arena y el sol difícilmente disminuirán su presencia. Sin embargo, conforme aumenta el número de visitantes, el atractivo y la calidad general disminuyen después de alcanzar cierto nivel en su capacidad instalada.
Estos dos fenómenos aunados repercuten en la exploración de otros destinos, lo cual implica un posible intercambio de visitantes y/o el desarrollo de nuevos destinos (Butler, 2006, p 10).
Este autor realizó varias adecuaciones a su modelo incorporando aspectos relativos a los grupos sociales del destino y a las características propias de los turistas. Los destinos se desarrollan en función de ciclos y fuerzas, de mitos y realidades, que modifican la duración y propiedades de cada etapa (Butler, 2015).
«El desarrollo regional consiste en un proceso de cambio social sostenido que apunta al perfeccionamiento de la región (sociedad y territorio), de la comunidad de personas que constituye la sociedad regional, y de cada individuo, miembro precisamente de esa sociedad y habitante de esa región». (Boisier, 1996).
El desarrollo regional sostenible debe aprovechar todos aquellos factores que se transformen en una ventaja competitiva (Porter, 1999), factores que se acoplan al modelo del diamante propuesto por Michael Porter. (Baena, Sánchez y Montoya, 2006)
«El desarrollo regional consiste en un proceso de cambio social sostenido que apunta al perfeccionamiento de la región (sociedad y territorio), de la comunidad de personas que constituye la sociedad regional, y de cada individuo, miembro precisamente de esa sociedad y habitante de esa región». (Boisier, 1996).
El desarrollo regional sostenible debe aprovechar todos aquellos factores que se transformen en una ventaja competitiva (Porter, 1999), factores que se acoplan al modelo del diamante propuesto por Michael Porter. (Baena, Sánchez y Montoya, 2006)
El modelo de Stanley Plog (2004), sirve para especificar las características del turista en relación a sus preferencias al seleccionar un destino, el turista es una persona que se desplaza de su residencia habitual otro sitio en el cual reside de manera temporal para actividades de ocio o placer, Plog los clasifica en tres tipos:
• El Alocéntrico, busca nuevas experiencias en nuevos destinos, es casi de tipo explorador, pues espera descubrir un sitio poco usual, le gusta relacionar con los nativos del destino y disfruta de sus culturas, no se somete a un itinerario estructurado y regresa al mismo sitio cuando considera que le faltan áreas por conocer.
• El Psicocéntrico, prefiere regresar a un sitio que conoce y se relaja con las actividades que ya ha experimentado, le gusta arribar conduciendo su propio vehículo, alojarse y comer en sitios del estilo familiar. La constancia en la calidad de los servicios es una fuerza que lo puede motivar a cambiar de hotel, restaurante o prestador de servicio cuando se altera la relación precio-calidad.
• El Midicéntrico es una combinación de los dos anteriores
En esta clasificación, Plog no considera al viajero por motivos de negocio visita un destino, solo al turista, apegándose de alguna forma a la expresión siguiente:
5. La competitividad
La Competitividad; este concepto se presenta desde dos perspectivas complementarias;
La Ventaja Competitiva, para Porter (1999), la competitividad una fuerza poderosa de la sociedad necesaria para avanzar en los campos del esfuerzo humano. Es un fenómeno generalizado de las empresas que luchan por el mercado, de los países frente a la globalización o de las organizaciones sociales para responder a las necesidades sociales.
La competitividad para Porter es una actividad sistémica de las empresas basada en estrategias contrarias a la improvisación.
La siguiente imagen es una adaptación del diamante de Porter aplicado al tema central de esta investigación:

Modelo de la Teoría de Recursos y Capacidades, Grant, (1991), al referirse a las competencias corporativas, señala que las estrategias deben tener en cuenta los recursos de los cuales disponen y no depender totalmente de la demanda de los clientes, los competidores y los proveedores, ya que en un mundo en el cual las condiciones son cambiantes e inciertas, existe un alto riesgo de comprometer los recursos internos. Grant (1991), citando a Penrose (1959) y su Teoría del Crecimiento, hace referencia a la trampa del crecimiento, advierte sobre los peligros que encierra un estrategia de crecimiento en la que la calidad de los productos, el nivel del servicio, los precios, en un afán de incrementar los ingresos, renunciando a los límites que los propios recursos imponen.
La imagen 7 muestra esquemáticamente la propuesta de Penrose (1959, citado porIbarra y Suárez, 2002), que considera una relación implícita entre la empresa y el entorno sectorial al cual van encaminados sus productos y servicios. La estrategia queda definida por esa relación, en la que su respuesta a las necesidades del entorno debe ser acorde a los objetivos, valores, recursos, capacidades, estructura y sistema de la empresa


El modelo de los recursos y capacidades de Grant (1991) establece que el diseño de las estrategias obedece a un ciclo de cinco etapas, el cual se muestra en la figura 6, en el cual aparecen con elementos de soporte, los recursos, las capacidades, las ventajas competitivas sostenibles y las estrategias resultantes.
Este proceso dinámico abre las posibilidades de las empresas a dar respuesta a la incertidumbre del mercado y a la cambiante demanda.
Monitor de Competitividad Turística
La combinación de las teorías de Porter (1999) y Grant (1991, son el marco adecuado para la aplicación de un modelo que considere indicadores específicos que evalúe variables relacionadas con un sector en particular. Para el Consejo Mundial de Turismo y Viajes (WTTC, por sus siglas en inglés) y el Cristel DeHann Tourism and Travel Research Institute de la Universidad de Nottingham, la competitividad del turismo se puede evaluar mediante las adaptaciones al modelo del Monitor de Competitividad (CM) diseñado originalmente pata el turismo de Sol y Playa, que contempla la medición de 23 variables incorporadas en ocho grupos o dimensiones de análisis:
1) Competitividad de precios
2) Factor humano, se calcula sobre la población fija y el número de turistas
3) Desarrollo de infraestructuras
4) Medio ambiente
5) Desarrollo tecnológico.
6) Recursos humanos, se calcula sobre el factor de trabajo empleando un índice de la Naciones Unidas en materia de educación.
7) Apertura, relacionado con las tasas impositivas aplicables al turismo.
8) Desarrollo social, relacionado con calidad de vida establecida por Naciones Unidas (Lillo, Ramón y Sevilla, 2007)
El anexo 1contiene estas 23 variables, las cuales han servido de base para la integración del instrumento de recolección de datos y que corresponde al anexo 5
6. La ciencia de los sistemas de servicios
Esta teoría es el resultado de los trabajos realizados por Spohrer y Maglio (2010), en el campo del desempeño laboral dentro de las empresas orientadas a las actividades relacionadas con la computación y la ingeniería.
Desde la óptica de los autores de esta teoría, la competitividad de las empresas se apoya en dos pilares fundamentales, la formación académica y la formación laboral. Dentro de la formación académica se encuentran todas las actividades realizadas por las instituciones educativas, orientadas a proporcionar los marcos teóricos actualizados de las distintas disciplinas del conocimiento. Dentro de la formación laboral se encuentran todas las actividades orientadas a proporcionar experiencia práctica al personal contratado, las cuales incluyen las capacitaciones específicas de cada entorno sectorial. (Spohrer y Maglio, 2011)
La combinación de ambos pilares da por resultado una estructura en forma de T que implica la coordinación de las actividades académicas con las actividades laborales. Adicionalmente, los creadores de esta teoría promueven la realización de prácticas laborales dentro de la etapa de formación académica, mediante programas de colaboración entre las empresas y las instituciones educativas.
Los planteamientos de Drucker (2011) sobre el trabajador del conocimiento y la sociedad del conocimiento, se someten a ligeros cambios, particularmente cuando se hace referencia a las organizaciones que deben ahora verse como “Comunidades de Aprendizaje”, con el potencial y la capacidad de promover la innovación y creación de valor a través del aprendizaje y construcción de nuevo conocimiento, mediante las “Comunidades de Práctica” (Burgos, 2010).
El modelo propuesto por Spohrer y Maglio (2010), toma en consideración la teoría de Weick (2009) que sostiene que la adquisición de competencias establece una diferenciación entre datos, información y conocimiento, proponiendo que las empresas adquieren sentido al desarrollar respuestas a cuatro procesos integrados:
1) Cambios Ecológicos.
2) Promulgación.
3) Selección y
4) Retención. (Weick, 2009)
La propuesta de Spohrer y Maglio consiste en preparar profesionistas con un perfil de egreso que definen como “T”. La intención es re-direccionar la estructura curricular y el contenido de las asignaturas, para desarrollar competencias duras (formación teórica) que constituyen el componente vertical, acordes con la demanda laboral de la región y al mismo tiempo desarrollar las competencias blandas, (formación práctica-empresarial) que constituyen el componente horizontal, en coordinación con las empresas del sector. Esta colaboración, facilita la contratación de personal profesionalizado que se ajusta a las necesidades o perfil de sus puestos. La teoría de Spohrer y Maglio señala que la improvisación basada solo en el conocimiento empírico, resulta insuficiente y riesgoso, en función de la lentitud de los cambios empresariales ante la rapidez de los cambios de los mercados
El desarrollo de competencias es una condición de realización de las distintas actividades humanas; las competencias duras se adquieren mediante el aprendizaje teórico y las competencias blandas a través de la puesta en práctica de las nuevas habilidades cognitivas y destrezas somáticas y mentales (Rojas, 2006; Spohrer, 2013).
7. Resultados
Los resultados que se describen a continuación provienen de dos fuentes; la primera de ellas corresponde a una búsqueda exhaustiva de documentos. La segunda corresponde a las entrevistas realizadas a diferentes actores que intervienen en la actual situación. Las entrevistas no se consideran una historia de vida sino un relato que resalta los sucesos relacionados con la problemática del sector hotelero y que de alguna forma han impactado su vida (Bertaux, 2014).
El formato de las entrevistas se elaboró con la idea de obtener una narrativa que “Permiten al investigador acercarse al mundo experiencial del entrevistado de un modo más amplio, pues este mundo está estructurado en sí mismo” (Flick, 2007: 110). En la entrevista se pide al informante que presente la historia en la que participó el entrevistado, en una narración improvisada... La tarea del entrevistador es hacer que el informante cuente la historia del área de interés en cuestión como un relato coherente de todos los acontecimientos relevantes desde su principio hasta su final. (Hermanns, 1995, pág. 183, citado por Flick (2007: 111).
La entrevista semiestructurada inicia con una pregunta generadora de la narración a la que se refiere el tema de estudio y se complementa con preguntas que retoman los fragmentos no detallados (Riemann y Schütze (1987), en este estadio se toma al entrevistado como experto y teórico de sí mismo (Schütze, 1983), citados por Flick (2007: 111)
Información Documental:
La gráfica 2 muestra las tendencias del turismo que arriba a nuestro país del año 1999 al 2015.

La gráfica 3 muestra el arribo de turistas al estado de Querétaro para el mismo periodo

La gráfica 4 muestra el comportamiento de la llegada de turistas a Tequisquiapan para el periodo 2005 a 2014, con una tendencia general negativa, el promedio de visitantes anuales sin considerar el año 2005 es de 93,706 turistas que representa una disminución promedio del 54.63%, tomando el año de 2005 como 100%

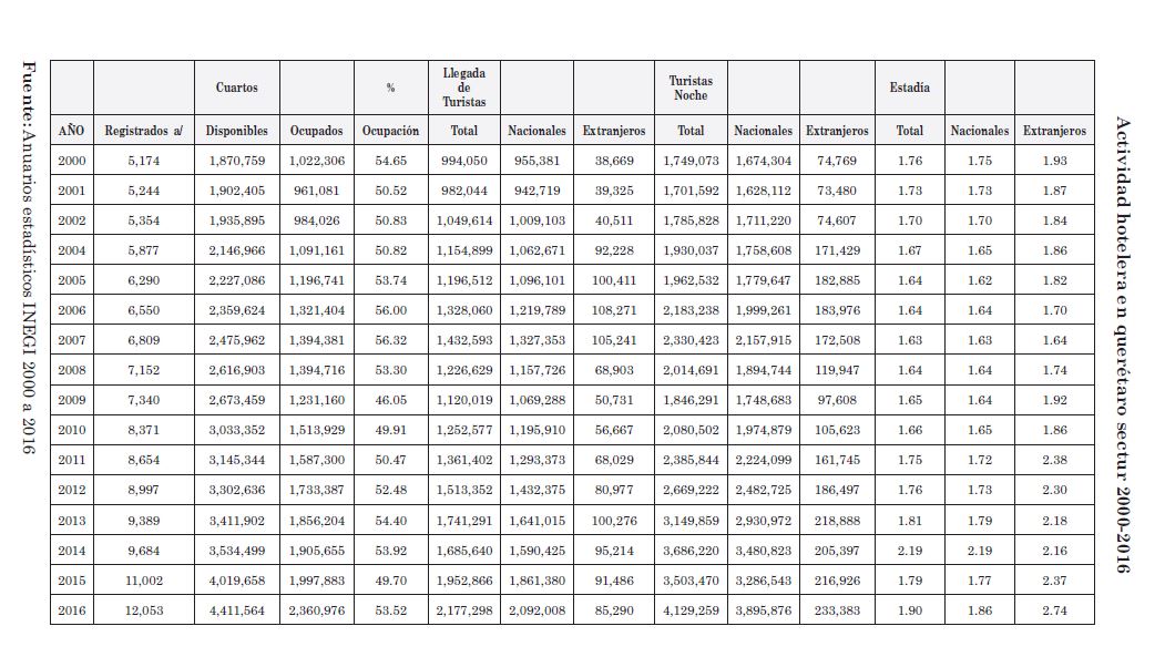
Para estimar la ocupación hotelera, se tiene una ecuación sencilla elaborada en función de los resultados proporcionados por el INEGI en sus anuarios de 2000 a 2015. El número de cuartos disponibles anualmente es igual a:
Disponibilidad de cuartos = Número de cuartos * Días al año
El siguiente criterio que emplean es el de considerar una ocupación doble, lo que en forma de ecuación es igual a:

Finalmente el porcentaje de ocupación se calcula mediante la siguiente fórmula:

La gráfica 5 muestra la tendencia en el número de cuartos que existen en el municipio de Tequisquiapan, tomado en cuenta las cinco clasificaciones reconocidas y los cuartos sin clasificación.

La gráfica 6 se ha construido empleando los criterios de INEGI para determinar el porcentaje de ocupación

La siguiente tabla muestra el criterio empleado por la Dirección General de Certificación Turística para otorgar la clasificación a los hoteles en México (SECTUR, 2016)

El anexo 2 corresponde al cuestionario elaborado por la Dirección General de Certificación Hotelera que ha servido para una clasificación de los hoteles realizada en campo, para verificar la congruencia entre la información proporcionada por los hoteles respecto de su clasificación.
Información de campo
De los 43 hoteles registrados en Tequisquiapan, solo 16 de ellos accedieron a las entrevistas y de los 44 establecimientos de servicios de alimentos solo 14 concedieron entrevistas7. Con base en los contenidos de las 30 entrevistas realizadas, se elaboró un análisis porcentual de los datos proporcionados, los cuales tienen un margen de error calculado con los siguientes datos:
Tamaño de la población N = 87
Tamaño de la muestra: n = 30
Confianza 95% Z = 1.96
Probabilidad de ocurrencia p = 0.5 y q = 0.5

Error estadístico (95, 5, 50) e = 14.56%
La siguiente tabla muestra la comparación entre la clasificación manifestada por los hoteles y la puntuación alcanzada mediante la investigación de campo, empleando para ello el cuestionario emitido por la Secretaría de Turismo a través de la Dirección General de Certificación Hotelera:

Velarde y Gómez (2014) realizan una profunda crítica a la postura de nuestro país respecto del turismo sostenible a través de los programas denominados Turismo Alternativo y Turismo Rural, que vienen a complementar el plan global de desarrollo turístico, resaltan las diferencias de las políticas públicas y la realidad de los oferentes del turismo.
La siguiente tabla muestra los resultados de las entrevistas tendientes a conocer las condiciones de operación de los hoteles desde la perspectiva de quienes trabajan directamente en los establecimientos o tienen una estrecha relación con la prestación del servicio de hospedaje. En esta tabla se muestran las respuestas a los indicadores propuestos por la Organización Mundial de Turismo y el Consejo Mundial de Turismo y Viajes, estos indicadores y las aportaciones de Díaz, Crecente y López, (2004) sirven de base para el análisis de las opiniones recogidas en las entrevistas:


8. Reflexiones finales.
La competitividad de las empresas se fundamenta en el conocimiento que el personal tiene de su campo de actividades, las decisiones tomadas en función de la tendencia histórica no suelen ser adecuadas y facilitan el surgimiento de competidores emergentes (Porter, 1999). Este concepto describe en forma precisa las condiciones a las que se enfrenta este destino. El ciclo de vida de un destino turístico propuesto por Butler (2006), indica que la etapa de decaimiento del sitio es evidente y explica de alguna forma la drástica caída de la afluencia turística ante el surgimiento del Turismo extremo y natural de la Peña de Bernal, sin que a la fecha se tenga implementado un plan que innove la oferta de Tequisquiapan.
El problema de la brecha generacional en el concepto emprendedor es motivado por la barrera puesta ante el cambio que la actualidad demanda, el rechazo al uso de las tarjetas de crédito, de los acuerdos con los prestadores de servicios de otras áreas con la política comercial de ganar-ganar, proviene de la profesionalización del personal empleado. El concepto de clúster turístico solo se puede concebir desde la perspectiva de una colaboración conjunta en la cual la actitud sistematizada de la toma de decisiones (Palafox, Jaime8, comunicación personal el 26 de mayo de 2017).
Las presiones ambientalistas de la sociedad y turistas encaminadas al mejoramiento y sostenibilidad de la región (Alonso, 2002) no tienen eco en las autoridades y propietarios de los hoteles, quienes por desconocimiento o indiferencia cooperan con el deterioro ambiental. No existen planes o estrategias encaminadas a resolver el problema de la contaminación o a la creación de ofertas innovadoras que recuperen la afluencia. La solución viable es la profesionalización del personal bajo el perfil del profesionista T propuesto por Spohrer y Maglio, el cual presenta una estructura académica acorde con el entorno laboral. Tequisquiapan requiere de personal que conozca las características geográficas, culturales, sociales, gubernamentales y turísticas para estar en posibilidades de generar ofertas innovadoras y de acuerdos para crear un clúster regional que beneficie al municipio.
Bibliografía
Almirón, A. 2004. “Turismo y espacio. Aportes para otra Geografía del turismo”, GEOUSP, Espaço e Tempo, vol. 16. Departamento de Geografía, Facultad de Filosofía, Letras y Ciencias Humanas, Universidad de San Pablo, pp. 167180.
Alonso, A. 2002. Revista Turismo Sostenible No 28, Universidad Antonio Nebrija, España.
Artaraz, M. 2001. “Teoría de las tres dimensiones de desarrollo sostenible” Ecosistemas, revista de ecología y medio ambiente.
Banco Mundial 2015. recuperado de https://datos.bancomundial.org/indicador/ST.INT.ARVL?end=2015&locations=M X&start=1999 el 1 de septiembre de 2017
Baena, E.; Sanchez, J. J., Montoya, O. 2006. “Algunos Factores Indispensables para el Logro del Desarrollo Regional”, Scientia Et Technica, XII (2006) 177-182. Recuperado de http://www.redalyc.org/articulo.oa?id=84911639031
Barlag, P. 2013. “5 Ways to Create a Culture of Sustainability in Any Company” tomado de http://www.ecointeligencia. com/2013/11/5-maneras-cultura-sostenibilidad-empresa/ el 17 de noviembre de 2016.
Barrado, D. 2004. “El concepto de destino turístico. Una aproximación geográfico-territorial” Estudios Turísticos, nº 160, pp. 45-68
Bertaux, D. 2014. Los relatos de de vida en el análisis social. Módulo Virtual: Memorias de la Violencia, tomado de http://metodo3.sociales.uba.ar/files/2014/10/Bertaux-Los-relatos-de-vida-en-el-an%C3%A1lisis-social1. pdf el 16 de septiembre de 2016
Bertoncello R. 2002. “Turismo y Territorio. Otras prácticas, otras miradas.” Aportes y Transferencia, Tiempo Libre, Turismo y Recreación, Año 6, Volumen 2, Mar del Plata, Argentina.
Bonfada, Patricia Lopes Branco, Bonfada, Marcel Rodrigo Henn, González, Maria Elisa Alén, & Gândara, José Manoel Gonçalves. 2011. El turismo de salud y el uso terapéutico del agua. Estudios y perspectivas en turismo, 20(2), 462-477. Recuperado en 18 de octubre de 2017, de http://www.scielo.org.ar/scielo.php?script=sci_ arttext&pid=S1851-17322011000200011&lng=es&tlng=es.
Boisier, S. 1996. “Modernidad Y Territorio”. Cuadernos Del Ilpes N.42, Santiago De Chile, Chile.
Burgos, J. 2010. “Organizaciones que aprenden Capítulo 12”: guía de referencia para promover comunidades de práctica, en Martínez, A., y Corrales, M. (coords) “Administración de conocimiento y desarrollo basado en conocimiento: redes e innovación”, Cengage Learning,
Butler, R. W. 2006. The Tourism Area Life Cycle (TALC), Vol. 1, Arizona State University USA, Richard W. Butler Ed.
Butler, R. W. 2015. Tourism Destination Development: Cycles and Forces, Myths and Realities. Tourism Recreation Research. 34. 247-254. 10.1080/02508281.2009.11081600.
Capriotti, P. 1999. “Planificación estratégica de la Figura corporativa” , España, Editorial Ariel.
DATATUR 2015. “Sistema Nacional de la Información Estadística del Sector Turismo de México” ‑ DATATUR. (18 de Noviembre de 2016). Obtenido de Actividad Hotelera: http://www.datatur.sectur.gob.mx/SitePages/ ActividadHotelera.aspx
Díaz E., Crecente, R. y López, C. 2004. “Turismo y ordenación del territorio en el municipio de Ribadeo, España, Servizo de Publicacións e Intercambio Científico, Universidade de Santiago de Compostela
Durán, G. 2000. “Medir la sostenibilidad: indicadores económicos, ecológicos y sociales” Jornadas de Economía Crítica. La Mancha: Universidad de Castilla-La Mancha, Facultad de Ciencias Económicas, 1-19.
Drucker, P. 2011. “The Age of discontinuity, Guidelines to our changing society, 9th Printing”, London (UK), Transaction Publisher
Endesa Chile, S.A. 2015. Grupo Enel, consultado el 2 de diciembre de 2016 desde: http://www.endesa.cl/es/Paginas/home.aspx
Esparcia, J. 2011. “Desarrollo Territorial y Reforma de la PAC”, consultado el 18 de septiembre de 2016 desde: http:// www.academia.edu/1395345/Desarrollo_Territorial_y_Reforma_de_la_PAC_-_2011
Estrada D. 1996. “Querétaro inédito” Volumen 1 Edición corregida y ampliada, México, Ediciones Estrada.
Flick, U. 2007. Introducción a la Investigación Cualitativa 2ª Edición, España, Madrid, Ediciones Morata S. L.
Grant, R. M. 1991. The Resource-Based Theory of Competitive Advantage: Implications for Strategy Formulatio. California Managem. Rev., Spring, pp.114-135
Ibarra Mirón, S., & Suárez Hernández, J. 2002. La teoría de los recursos y las capacidades: un enfoque actual en la estrategia empresarial.
INEGI, Instituto Nacional de Estadística y Geofrafía 2000. Cuaderno estadístico municipal, Tequisquiapan estado de Querétaro
INEGI, Instituto Nacional de Estadística y Geofrafía 2000 a 2015. “Anuarios estadísticos y geográficos de Querétaro” Secretaría de Turismo de Gobierno del estado.
Landaverde, J. 1996. “Municipio de Tequisquiapan”, México, Gobierno del Estado de Querétaro
Lillo A., Ramón, A. & Sevilla, M. 2007. El capital humano como factor estratégico para la competitividad del sector turístico Cuadernos de Turismo, 19 (2007), 47-69
Niding, M. & Cebrian, A. 2001. “Turismo Cultural y desarrollo sostenible; análisis de áreas patrimoniales, Servicios de Publicaciones” Universidad de Murcia, España.
Organización Mundial de Turismo 2015. Tomado de: OMT http://media.unwto.org/es/content/entender-el-turismo-glosario-basico, el 10 de Diciembre de 2016
Organización Mundial de Turismo 2016. “Panorama OMT del turismo internacional, edición 2016, Septiembre 2016, ISBN: 978-4418-15-2
Penrose, E. 1959. The The ory of the Growth of the Firm, New York, Basil Blackwell Press
Plog S. 2004. Leisure Travel: A Marketing Handbook, USA, Pearson Prentice Hall
Porter, M. 1999. “Ser Competitivo. Nuevas Aportaciones y Conclusiones. Capitulo 7, Cúmulos y competencia: nuevos objetivos para empresas, Estados e instituciones”. Bilbao, España, Editorial Deusto
Pumpin, C. y Garcia, S. 1993. “Estrategia Empresarial: cómo implementar la estrategia en la empresa” España, Ediciones Díaz de Santos.
Rodríguez Míguez, L. 2001. “Ourense Termal”. Xunta de Galicia, Alva Gráfica, S.L., Ourense.
Rojas Y. 2006. “De la gestión de información a la gestión del conocimiento.” Acimed 2006; 14(1).
RTVE 2016. recuperado de http://www.rtve.es/noticias/20160608/turismo-egipto-agoniza-llegadas-turistas- -cayeron-casi-50-entre-enero-abril-2016/1356521.shtml el 14 de septiembre de 2017
SAGARPA 2012. Producción de Quesos, Boletín No. 033/2012, Querétaro, Qro., viernes 11 de mayo de 2012
Sancho, A. 1998. “Introducción al Turismo” OMT. Madrid
SECTUR 2012. “Pueblos Mágicos para la Secretaria de Turismo, consultado el 11 de noviembre del 2016 desde: http://www.sectur.gob.mx/pueblos-magicos/
SECTUR 2016. Dirección General de Certificación Hotelera
Spohrer, J, 2010. “Today’s Jobs Demand an Updated College Education”, USA, Huffington Post
Magglio, P., Spohrer, J., 2013. “A Service Science perspective on business model innovation” Elsevier, Industrial Marketing Management 42 665-670
Spohrer, J., Demirkan, H., & Krishna, Vikas. 2011. “The Science of Services Systems”, EEUU, Springer
Velarde, V. y Gómez, N. 2014. “Turismo Sustentable y Desarrollo Rural Estudios en Polonia, Costa Rica y México. México, Univ. De Guadalajara.
Viviana, F. 2012. “El Lugar dentro de la concepción de Destino Turístico, tesis de grado 71924/4, Argentina, Facultad de Ciencias Económicas, Universidad de La Plata
Weick, K. 2009. “Making sense of the organization, Vol. 2: The impermanent Organization”, USA, John Wiley
ANEXO 1
Tabla de Indicadores de WTTC para Sol y Playa.

ANEXO 2



























ANEXO 3

ANEXO 4

ANEXO 5

Notas
Notas de autor