Sección: Artículos
Recepción: 14 Marzo 2024
Recibido del documento revisado: 20 Mayo 2024
Aprobación: 23 Mayo 2024
Publicación: 26 Mayo 2024
DOI: https://doi.org/10.5212/PraxEduc.v.19.23260.050
Resumen: Abordar el ámbito educativo universitario es exigente, debido a la carga gnoseológica y axiológica que implica el desarrollo de cada función sustantiva. Si a ello se suma una mirada desde el enfoque de género, la medición se torna compleja. Siendo el objetivo de estudio construir y validar un instrumento psicométrico de medida (cuestionario) que proporcione una escala de medición en referencia a la perspectiva de género en las funciones sustantivas, así como en los principios organizacionales de la Universidad Católica de Cuenca-Ecuador. La escala está basada en el constructo teórico de las dimensiones de valoración de la gestión, docencia, investigación y vinculación con la sociedad, así como la asequibilidad, accesibilidad, adaptabilidad y aceptabilidad, estas últimas consideradas como principios organizacionales, que constituyen ocho dimensiones definidas en una escala inicial con 58 ítems de respuestas cerradas en escala Likert. Se utilizó un análisis factorial confirmatorio, que luego de su aplicación y ajuste indicó que, el instrumento es válido y fiable para los objetivos propuestos en la creación de la escala con perspectiva de género; al tiempo que puede ser tomada como un modelo transferible a otras instituciones educativas.
Palabras clave: Perspectiva de género, Educación Superior, Cuestionario psicométrico.
Abstract: Addressing the university educational field is demanding, due to the epistemological and axiological burden that the development of each substantive function implies. If a look from the gender perspective is added to this, the measurement becomes complex. The objective of the study is to build and validate a psychometric measurement instrument (questionnaire) that provides a measurement scale in reference to the gender perspective in the substantive functions, as well as in the organizational principles of the Universidad Católica de Cuenca-Ecuador. The scale is based on the theoretical construct of the dimensions of assessment of management, teaching, research and connection with society, as well as affordability, accessibility, adaptability and acceptability, the latter considered as organizational principles, which constitute eight dimensions defined in an initial scale with 58 closed-response items on a Likert scale. A confirmatory factor analysis was used, which after its application and adjustment indicated that the instrument is valid and reliable for the objectives proposed in the creation of the scale with a gender perspective; while it can be taken as a model transferable to other educational institutions.
Keywords: Gender perspective, Higher education, Psychometric questionnaire.
Resumo: Abordar o campo educativo universitário é exigente, em virtude da carga epistemológica e axiológica que o desenvolvimento de cada função substantiva implica. Somando-se a isso um olhar da perspectiva de gênero, a mensuração torna-se complexa. O objetivo do estudo é construir e validar um instrumento de medição psicométrica (questionário) que forneça uma escala de medição em referência à perspectiva de gênero nas funções substantivas, bem como nos princípios organizacionais da Universidade Católica de Cuenca-Equador. A escala baseia-se na construção teórica das dimensões de avaliação da gestão, do ensino, da investigação e da ligação com a sociedade, bem como da acessibilidade, da acessibilidade, da adaptabilidade e da aceitabilidade, esta última considerada como princípios organizacionais, que constituem oito dimensões definidas em uma escala com 58 itens de resposta fechada na escala Likert. Foi utilizada análise fatorial confirmatória, que após sua aplicação e ajuste indicou que o instrumento é válido e confiável para os objetivos propostos na criação da escala com perspectiva de gênero, embora possa ser tomado como um modelo transferível para outras instituições de ensino.
Palavras-chave: Perspectiva de gênero, Educação superior, Questionário psicométrico.
Introducción
Si bien, son innegables los logros conseguidos por movimientos de género desde el punto de vista de la inclusión, no son suficientes como para incluir a las mujeres en diversos escenarios bajo condiciones de equidad frente al hombre (Duarte Cruz y García-Horta, 2016; Comisión Económica para América Latina y el Caribe - Cepal, 2017). En tal sentido, el enfoque de género científicamente ha sido útil para analizar tanto la condición como la situación de mujeres y hombres, así como entender que la vida, sus circunstancias y escenarios se pueden transformar en la búsqueda de la igualdad (Calvo, 2014); por lo que, resulta indispensable una mirada de género para visibilizar las problemáticas que acontecen en la sociedad. En virtud de ello, en los últimos años se ha identificado una creciente demanda mundial de las generaciones más jóvenes por recibir formación en género, conllevando a las universidades a incluir contenido para inculcar en los estudiantes la perspectiva de género en su proceso de formación académica (Lagarde, 2020).
Para Trimiño Velásquez (2015) en América Latina los procesos y prácticas que se realizan en las Instituciones de Educación Superior (IES) presentan un marcado enfoque androcéntrico bajo estereotipos, creencias y expectativas comunes en las relaciones entre géneros. Esta interacción refuerza las estructuras genéricas de distinción entre el hombre y la mujer, influenciada por un contexto social donde los sujetos aprenden y reproducen ciertos valores y actitudes que deben ser analizadas con oportunidad, atendiendo a las dinámicas de la cultura y ambiente organizacional donde se producen. Siendo el género una de las construcciones sociales susceptibles al cambio, la implementación de este enfoque a nivel institucional ha tenido un amplio reconocimiento sobre el detrimento de las condiciones sociales que han permitido la desigualdad social y política, es más, se podría identificar como un proyecto emancipatorio (Villoro, 1997; Comisión Económica Para América Latina y el Caribe, 2010; Programa de las Naciones Unidas para el Desarrollo, 2017). En la mayoría de los casos su transversalización a nivel institucional no llega a concretarse, por la complejidad y esfuerzo que implica, o por la oposición que surge de estructuras patriarcales, todavía existentes, sobre todo en América Latina (Carosio et al., 2017), que producen y reproducen relaciones de poder, así como desigualdades y desventajas de la construcción social de género de las sociedades e identidades personales como lo señala Lagarde (1996).
Es preciso entonces institucionalizar la perspectiva de género en la educación superior, incluyendo el principio de igualdad en las prácticas y estructuras que organizan la vida universitaria, de manera que esté presente, tanto en el contenido de los programas formativos, como en los procesos que implican sus funciones sustantivas (academia, investigación y vinculación) (Logroño, 2017; Cerva, 2018). Desde esta perspectiva, las acciones de concreción deben estar guiadas por lineamientos éticos que se fundamenten en principios que la organización interioriza y, que permiten proyectar los procesos de igualdad desde interior de la comunidad universitaria a su entorno, mediante la interrelación propia de las instituciones con su contexto, para forjar cambios y producir respuestas sociales que fortalezcan la igualdad de género.
En este marco, tanto el proceso de institucionalización del enfoque de género como su transverzalización en los espacios universitarios implica un importante cuestionamiento a sus principios organizacionales, a las dinámicas culturales y políticas presentes en las universidades, para generar respuestas que se concreten en acciones orientadas a promover la equidad en las relaciones sociales. Al respecto, la Universidad Católica de Cuenca ha trabajado en la elaboración de normativas, creación de mecanismos que induzcan la equidad entre géneros, la generación de políticas institucionales de difusión de la noción de igualdad, y otras medidas; así mismo, desde el año 2020 se han afianzado las gestiones sobre el tema, motivando a determinar los avances de institucionalización del enfoque de género, y con ello, entender el direccionamiento del fenómeno en estudio en dicha IES.
En este contexto, construir y validar un cuestionario para medir la perspectiva de género, en las funciones sustantivas y principios organizacionales es una respuesta pertinente a los procesos de institucionalización y transversalización del enfoque de género en el contexto académico, que exige cambios que impulsen la igualdad de género en las diversas acciones universitarias, que no escapan a las asimetrías e imaginario social que privilegia posiciones androcéntricas y sesgos de poder en favor de los hombres.
Una mirada a las concepciones de género: mujer, ciencia y academia
Desde la visión del género como una construcción social y cultural (Scott, 1986; Connell, 1987; Benhabib, 1992; Delgado, 2017) que atribuye roles, comportamientos, relaciones, expresiones e identidades a una persona, está socialmente influenciada por estereotipos, creencias, concepciones, tradiciones, correctas o erróneas que otorgan y modifican conductas de control social, pretendiendo naturalizarlas en función de una prolongada aplicabilidad. Por su parte, el sexo considera las características biológicas de un hombre o una mujer, por lo que, es común las palabras sexo y género se utilicen de forma binaria, aun cuando existe diversidad considerable en cómo se entienden, experimentan y expresan (Vargas et al., 2020).
A partir de esta concepción, en la presente investigación se entiende al género como binario, es decir, un abordaje para la comparación entre hombre y mujer, con énfasis en sus relaciones asimétricas (Costa, 2017). Pese a ello, no desconoce la diversidad como condición humana, ya que no hay motivo para creer que los géneros seguirán siendo dos (Butler, 1990); así, se espera ocuparse de la diversidad como categoría amplia en otras investigaciones. Además, al considerar la clara orientación de la planificación académica, es fundamental iniciar por la comprensión de las marcadas brechas de la mujer en la academia con respecto a los hombres y al androcentrismo hegemónico que influencia sus actividades cotidianas. En tal sentido, resulta interesante estudiar a la mujer como sujeto de análisis social desde el género y sus implicaciones al naturalizarse en el contexto universitario, así como a la investigadora participante del proceso científico y creadora de conocimiento (Bunge, 2017), es decir, su accionar en las funciones sustantivas de la universidad bajo los principios organizacionales que la regulan.
Desde esta perspectiva, el transitar de la mujer desde la ciencia a la academia, en el contexto de la educación superior, ha sido una lucha constante contra las creencias del patriarcado, estereotipos y masculinidades que limitan las concepciones de la realidad, la ciencia y el derecho de las mujeres a construir y utilizar el conocimiento. La reflexión desde la filosofía clásica, que permite aclarar de cierta manera razones históricas de la inequidad entre hombre y mujer, particularmente en la ciencia, parte desde la diferencia ontológica entre alma y cuerpo, incluyendo las apropiaciones culturales respecto al sexo y propiciando las asociaciones de mente-masculino y cuerpo-femenino (Vargas et al., 2020). Esta concepción de la mujer como fuente de referencia corporal, pero no espiritual y científica, se ha mantenido a través del tiempo e implica subordinación y jerarquía política y psíquica (Butler, 1990). Los cuerpos femeninos, considerados débiles de pocas destrezas intelectuales, son lo opuesto a la masculino (Pessina, 2019), por lo que, supuestas concepciones de origen biológico atribuyen roles y campos de acción a los géneros.
La discusión sobre la mujer en actividades académicas y de investigación científica provoca un análisis desde la división cultural entre lo masculino y lo femenino. De forma binaria, la relación entre ciencia y hombre nunca ha sido controversial, no así en el caso de la mujer (Pessina, 2019). Estas brechas han producido inequidades en el ámbito científico derivando en una ciencia androcéntrica, algunas veces mezquina y concebida bajo un horizonte que limita la diversidad de pensamiento que desde el enfoque femenino pudiese darle. Al respecto, Harding (1991; 1995), principal exponente de la teoría feminista del punto vista, reconoce el carácter socialmente situado de las creencias. Además, Guzmán y Pérez (2005) recalcan que, la situación de las mujeres en un mundo de hombres les otorga privilegio epistemológico, y con ello, una mirada diferente, que permite captar lo que a ellos se les escapa desde sus posiciones de poder.
Entonces, en un sistema comúnmente heteronormativo, frente a posiciones de poder con supremacía masculina, la ciencia suele transformarse en monopólica, sin espacios de posibilidad de intervención femenina. Para Amorós (2005), el sujeto del discurso es el que mira y designa al otro; no se ve a sí mismo como diferente, sino como norma canónica. Por consiguiente, el carácter universal de la ciencia a veces parece no contemplar a más de la mitad de su universo. De hecho, Longino (1997) manifiesta que, la ciencia tiene el hábito de considerar los estereotipos de género de la época en su discurso. Sin embargo, siguen existiendo brechas incluso hoy, cuando la mujer parece haber alcanzado su sitial en el campo científico y la injusticia cognitiva de género parece haber disminuido, y aún más, cuando la crítica feminista ha propiciado ciencias y tecnologías más justas y epistémicamente mejores (González y Fernández, 2016).
En este contexto, la lucha contemporánea se ha centrado en el reconocimiento y la visibilidad, al menos en la academia y la ciencia que, como ámbitos de dimensión cognitiva y simbólica, representan un escenario en donde tienen lugar las interpretaciones que procuran legitimar estereotipos (Torres, 2018), incluso aquellos asociados a las concepciones de los roles de género contrapuestos e inequitativos, y que sostienen la presunta superioridad del hombre en el ámbito público recluyendo a la mujer a lo doméstico y privado: Encima y Debajo, Activo y Pasivo, Masculino y Femenino (Bourdieu, 1998). Derrick et al. (2019) confirman lo previo, ya que investigaciones recientes indican que, las mujeres en el mundo asumen más responsabilidades domésticas que los hombres, incluso en parejas académicas.
De otro lado, la ciencia y el género son pertinentes a las demandas culturales, así como, la explicación de la anatomía humana está vinculada a significados culturales y como el sexo puede explicarse dentro del contexto de las pugnas de género y poder (Laqueur, 1990; León, 2016). Bajo este enfoque binario, los roles del hombre y la mujer en la ciencia y academia se sostienen sobre construcciones sociales que intentan conservar el status quo y así se legitima una relación de dominación inscribiéndola en una naturaleza biológica que, es en sí misma, una construcción social naturalizada (Bourdieu, 1998). No en vano, estas posturas de la ciencia con respecto a las brechas hombre/mujer sirven para comprender el rol de la mujer en la academia bajo el contexto actual de la ciencia y sus sesgos, es decir, cómo la académica y científica creadora de un conocimiento democrático e inclusivo provoca rupturas epistemológicas en la ciencia desde el feminismo contemporáneo.
Funciones sustantivas y principios organizacionales desde la perspectiva de género en la educación superior
Incorporar la perspectiva de género en las instituciones de educación superior, puede representar el punto de partida epistemológico, que fundamente el pensamiento reflexivo y crítico en la producción y difusión de pensamiento científico y el saber humanístico (Buquet et al, 2020), fomenta la visibilidad de las mujeres en el contexto académico, al tiempo que fortalece la inclusión en los procesos educativos, provocando rupturas en imaginarios sociales, espacios y cosmovisiones sesgadas de estereotipos patriarcales. Siendo entonces la perspectiva de género, la visión que permite reflexionar y explicar una realidad humana que de otro modo pasaría inadvertida (Serret, 2008).
Mientras los estudios de género exponen diversos escenarios, tejidos sociales y visibilizan matices de la realidad para producir conocimiento sobre la base de su análisis (Tepichin, 2018), la perspectiva de género fortalece los procesos de la igualdad en la universidad cuya misión es producir modelos epistémicos que den cuenta de nuevas realidades, buscando atender las relaciones de género en los escenarios globales y locales (Buquet, 2020), con la posibilidad de producir un conocimiento independiente, propio, local y situado (Haraway, 1988; Harding, 2004), sin tener que “depender de fuentes externas de autoridad intelectual” (Connell, 2015, p. 27) que limitan la ciencia y la conciencia en el accionar académico y la extrapolación del conocimiento producido al contexto social .
Entonces las funciones sustantivas, al ser procesos sociales que se desarrollan en el contexto universitario y permiten la trasmisión de conocimientos, el desarrollo de aprendizajes, competencias y valores, su gestión no escapa a la producción y reproducción de desigualdades, por lo que requieren ser entendidas como “el resultado de procesos de carácter histórico y cultural” (Buquet, 2016, p. 29). Sus limitaciones desde la perspectiva de género, implica la producción y reproducción de “procesos responsables de la transformación de la historia en naturaleza, y de la arbitrariedad cultural en natural” (Bourdieu, 2007, p. 12), es decir naturalización de las desigualdades, situación que plantea “un trabajo histórico de deshistorización” (Bourdieu, 2007, p. 104).
En la deshistorización de las funciones sustantivas, las IES tienen una “función socializadora y un efecto multiplicador que impacta hacia afuera de sus comunidades, por lo que los logros que estas instituciones alcancen en relación a la equidad de género tendrán siempre repercusiones sobre los distintos ámbitos que conforman nuestras sociedades” (Buquet, 2011, p. 217), siendo entonces las IES un escenario de generación del conocimiento, deberían ser precisamente sus espacios en donde se gesten los cambios sobre el género desde su vinculación en la sociedad (Useche Aguirre; Reyes Reinoso; Ordóñez Gavilánes; Aguirre Ullauri; Espinosa Iñigues, 2022), para reducir prácticas patriarcales vigentes; estas usualmente opacan las acciones de mejora y desvirtúan la capacidad de una planificación integrada e integradora, así como la descolonización de ese pensamiento androcéntrico que ha llevado a la desconstrucción de las formas de paridad entre géneros (Reyes Reinoso; Aguirre Ullauri; Ordóñez Gavilánes, y Useche Aguirre, 2023).
De esta manera, la propuesta de las instituciones de educación superior se proyecta desde sus principios organizacionales que constituyen el sustento para generar políticas, acuerdos y directrices, que se integran a las funciones sustantivas en la búsqueda de una educación disponible, accesible y con calidad (Universidad Católica de Cuenca, 2021), que permita impulsar estructuras libres de estereotipos, minimizando o acabando con cualquier forma de violencia, discriminación, opresión y exclusión, lo cual requiere transparentar las distintas formas que adopta la desigualdad dentro de las instituciones de educación superior, como diagnóstico fundamental para la institucionalización de normativas de igualdad, con procesos democratizadores y de justicia social al interior de su comunidad (Bernal et al., 2017), en un primer momento del cambio.
A posteriori, implementar la transversalización de políticas de género en sus funciones sustantivas de docencia, investigación y vinculación con la sociedad, con el afán de impulsar una verdadera igualdad desde las trayectorias académicas, de estudio y laborales, hasta la equidad en las relaciones de poder y oportunidades entre hombres y mujeres. Para ello, según Buquet (2011) “(…) se deberán diseñar programas que subsanen las desigualdades históricas para equilibrar a las poblaciones que se han mantenido en desventaja, otorgándoles condiciones adecuadas para superar las carencias a las que han estado sometidas” (p. 217).
Es así qué, el acceso de las mujeres en particular académicas, estudiantes y personal administrativo a la educación superior depende también del reconocimiento de su situación marginal histórica, y de la implementación de acciones que reviertan su situación de desventaja. En este sentido, la incorporación de la perspectiva de género en las IES requiere acciones directas que incidan sobre las estructuras organizacionales y las personas, constituyéndose en un desafío que va más allá de la creación y transmisión del conocimiento.
Aunque este repensar, podía convertirse en una utopía para las mujeres, puesto que su pensamiento discrepa de las masculinidades asumidas como normas inquebrantables, y aceptadas por las mismas estructuras patriarcales de la sociedad (Connell, 1987), que además conlleva a conservar el status quo y marginar el pensamiento igualitario al considerarlo feminizado y nocivo, atentando contra las creencias que marcan del control social y mantienen el supuesto equilibrio de las estructuras sociales en un ciclo que parece nunca dejará de repetirse.
Ante ello, se considera que la presencia de las mujeres en las IES no siempre significa la existencia de igualdad de género en el interior de su comunidad (Buquet, 2016), más bien, aún se encuentran presentes manifestaciones de violencia simbólica y de control social que limitan la paridad entre hombres y mujeres, sus trayectorias académicas, de estudio y laborales, así como sus relaciones de poder. Siendo importante no confundir los procesos de feminización de los ámbitos universitarios con la igualdad de género. En tal sentido, las IES deben ser concebidas como un espacio de no violencia, igualdad, equidad, e inclusión, con la responsabilidad de transmitir el conocimiento con justicia cognitiva, a partir del pensamiento crítico nacido de un sentido común con conciencia colectiva, libre de las tradicionalidades del control social que naturalizan la injusticia (Davis y Faith, 2002). De hecho, asistida de una estructura normativa que cumpla con las leyes y normativas del estado, y garantizando un ambiente de oportunidades bajo los principios de igualdad entre géneros (Secretaría de Educación Superior, Ciencia, Tecnología e Innovación [SENESCYT], 2017).
Método
En este espacio se presenta el procedimiento empleado para la construcción y validación de un instrumento psicométrico que fue diseñado a partir de una misma escala que mide la percepción de la influencia del género en las funciones sustantivas (docencia, investigación y vinculación con la sociedad), así como en los cuatro principios organizacionales (accesibilidad, adaptabilidad, asequibilidad y aceptabilidad) en la educación superior, para tres actores diferentes (estudiantes, docentes y personal administrativo) de la Universidad Católica de Cuenca (Ecuador).
Desde la perspectiva ética, al existir participación de agentes informantes, se recurre al cumplimiento de: 1) el consentimiento libre e informado, 2) la confidencialidad de la información y, 3) el respeto por el anonimato de los participantes (Hall, 2017; Mainardes & Carvalho, 2019). Además, frente al uso de información personal procedente de fuentes documentales se consideran los principios de la ética situada desde la investigación social cualitativa, y la forma en que deben ser tratados los relatos sensibles para garantizar el respeto por la integridad y la dignidad de las personas, y el no amenazar el bienestar social o los derechos de las comunidades (Taborda & Brausin 2020).
Esta autodeclaración de principios y ética inmersa en todo el proceso investigativo (Mainardes & Carvalho, 2019) busca enmarcar el proceso metodológico en el respeto y objetividad absoluta de la información y los resultados con la finalidad de exponer la situación actual, así como proyectar evidencia efectiva para la toma de decisiones y la implementación de acciones de mejora.
Mientras desde la perspectiva de la bioética de género, entendida como una bioética critica, porque a través de ella se trata de explicar los retos y compromisos propios de las necesidades emergentes en el contexto local y global (López, 2006). El discurso de generó en esta investigación, responde a flujos culturales de construcción social plasmados en políticas universitarias bajo una perspectiva de equidad y justicia social, considerando los feminismos y masculinidades como una interacción social, desde un orden natural de convivencia armónica en igualdad de oportunidades.
Diseño del cuestionario
Partiendo de una fundamentación teórica sobre el tema de estudio, a partir de la revisión bibliográfica, se construyó un cuestionario con una escala, cuya denominación fue “Percepciones de Género en las Funciones Sustantivas y Principios Organizacionales” (FS.PO.), en su versión inicial constó de 45 ítems, posterior a la revisión de expertos se amplió a 58 ítems. La construcción de la escala de medición se fundamentó en las funciones sustantivas y principios organizacionales del caso de estudio; aquellos, como constructo teórico formaron ocho dimensiones.
Los ítems que estructuran las dimensiones mencionadas, parten de la operacionalización de variables y utilizan una escala de Likert, con cinco alternativas de respuesta definidas a saber: nunca, casi nunca, a veces, casi siempre y siempre, cuya valoración cuantitativa ordinal se muestra a continuación en la tabla 1.

La redacción del documento fue estandarizada y adaptada al rol de los grupos de población de la investigación (estudiantes, docentes y personal administrativo). Luego el instrumento fue enviado a valoración por juicio de expertos, y seguidamente se procedió a aplicar una prueba piloto. Una vez recolectada la información, se realizó el análisis de los datos, lo cuales se presentan luego del análisis dela validación de los ítems por juicio de expertos.
Análisis de validez, fiabilidad y capacidad de discriminación (pruebas inferenciales)
La validez de contenido de un instrumento, representa en que grado los indicadores de un instrumento de medida son relevantes y representativos de la variable latente a medir (Clark y Watson, 2019; Ravid, 2020), la representatividad se refiere en qué medida todas las dimensiones del concepto recogidas por los ítems de la escala son coherentes con el dominio teórico del concepto a medir, formatos de respuesta y las instrucciones para su contestación (Boluarte y Tamari, 2017).
Las evidencias de validez de contenido de los ítems del instrumento de medición de (FS.PO.), se realizaron a través de las puntuaciones de diez jueces y se usó el indicador conocido como V de Aiken para la validación (Aiken, 1985). En este contexto, Escurra (1989) manifiesta que, en sus investigaciones para encontrar la V de Aiken, es necesario determinar un índice en el cual se calcula la razón de un dato obtenido de la evaluación dividido para la suma máxima de la diferencia de los valores posibles.
En este marco, se seleccionó a expertos con pertinencia y experiencia de más de cinco años en temas relacionados al estudio, con amplio conocimiento sobre los objetivos a medir. Posterior a ello se les solicitó evaluar los 45 ítems iniciales en función de seis criterios de cumplimiento para la obtención de indicadores adecuados para la investigación: objetivo, variable, dimensión, subdimensión, indicador y redacción, usando una escala dicotómica de respuesta Si o No para cada criterio. Adicionalmente, en el cuestionario se dispuso de un espacio para indicar las observaciones realizadas para cada ítem.
Una vez evaluados los 45 ítems bajo los criterios mencionados, se estimaron los puntajes del coeficiente V de Aiken para cada pregunta y luego se calculó el promedio de estos valores para estimar la V de cada criterio. Siendo 10 jueces expertos los que calificaron los 45 ítems en escala de respuesta dicotómica, se requirió del acuerdo de por lo menos ocho de ellos, para que el ítem sea considerado válido, usando como referencia un valor mínimo para la V de Aiken de 0.80 a un nivel de significancia estadística de p < .05 (Escurra, 1989).
Luego de realizar la evaluación por pares a juicio de expertos, se incrementaron 13 ítems en función de observaciones y recomendaciones, siendo así, el modelo a validar quedo conformado de ocho dimensiones (gestión con enfoque de género, docencia, investigación, vinculación, asequibilidad, accesibilidad, adaptabilidad y aceptabilidad) y 58 ítems que refieren la escala de género en el contexto de la universidad, posteriormente se valida la escala basada en la literatura mediante análisis de la validez de ítems, sin eliminar un número excesivo de ellos, que comprometa la validez de los contenidos de partida a reflejarse en la escala definitiva (Aldás y Uriel, 2017).
Validación del Cuestionario
La validez convergente se logra cuando diferentes indicadores de un mismo concepto (factor) se correlacionan intensamente entre sí, de esta forma “convergen” o “comparten” una alta proporción de la varianza y la varianza que no se comparta de forma común será la varianza residual o no explicada por el factor (Krabbe, 2017). Desde esta perspectiva, se aplicó el índice de discriminación sobre los ítems para medir la relación de cada ítem que componen la escala y la escala misma, esta información aporta a la consistencia interna del instrumento por medio del coeficiente de correlación (policórica, por ser una escala de medición Likert) entre el ítem objeto de estudio y la puntuación total.
Para la discriminación no tienen sentido los índices con valor negativo, y como referencia en la comunidad psicométrica se aceptan valores de corte de discriminación de como insuficientes, como buenos y como muy buenos. (Elousa & Egaña, 2020). Entonces, para determinar la validez convergente se calculó el índice de discriminación usando correlación policórica para los 58 ítems con criterio de discriminación para valores mayores a en los grupos de encuestados de estudiantes, docentes y personal administrativo se discriminaron algunos ítems. En congruencia con el índice de discriminación, se estimó del modelo los valores de las cargas factoriales estandarizadas de cada ítem con respecto a cada factor.
Para este caso, todas las cargas factoriales resultaron ser significativas, considerando que en el modelo la carga factorial es la correlación entre el factor y el ítem, si un ítem no se correlaciona fuertemente con el factor que lo genera, no se considera un indicador válido. El valor mínimo que se suele elegir es de 0.7 debido a que el cuadrado de la carga (comunalidad), es la varianza del indicador explicada por el factor que al elevar al cuadrado, su resultado sería 0.5, exigiendo así que al menos la mitad de la varianza del indicador se deba al factor, aunque en el contexto de PLS-SEM se formula una propuesta de validez que indica que, si la carga es inferior a 0.4 debe eliminarse, si está comprendida entre 0.4 y 0.7, se hace necesario verificar si otros indicadores, como la validez compuesta (CR) o la varianza extraída promedio (AVE) están por debajo de sus límites. Sin embargo, no se trata de agregar un problema de validez convergente a un problema de validez de contenido, puesto que el constructo teórico es el que prima en el modelo (Aldás y Uriel, 2017).
En definitiva, lo previo se consideró como referencia en el establecimiento de criterios para la discriminación de ítems y el ajuste del modelo a verificar. Asimismo, luego de validado el modelo se efectuaron pruebas inferenciales que verifican la capacidad de discriminación del modelo. Esto permitió conocer las diferencias significativas producidas en la escala total de género y en cada una de las ocho dimensiones (gestión, docencia, investigación, vinculación, asequibilidad, accesibilidad, adaptabilidad, aceptabilidad), con respecto a los agentes informantes. Analizadas las respuestas, se procedió a la redefinición de las dimensiones e indicadores y a la redacción definitiva del instrumento.
Análisis de datos
Análisis Exploratorio de Datos (EDA)
Se realizó el análisis exploratorio de los resultados demográficos provenientes de la aplicación del instrumento, utilizando tablas cruzadas de frecuencias con las variables categóricas de género, edad, estado civil, máximo grado académico alcanzado, procedencia y tiempo de servicio. Posteriormente, se diseñó una tabla de estadísticos descriptivos, obteniendo la mediana, la media, desviación típica, asimetría y kurtosis de los ítems de las respuestas de los participantes, según su rol de agente informante.
Análisis factorial confirmatorio (AFC)
El modelo factorial que estuvo constituido por las ocho dimensiones, mencionadas previamente, relacionadas con las funciones sustantivas de la educación superior y los cuatro principios organizacionales que rigen al accionar universitario, así como la dimensión de gestión desde la perspectiva de género en la IES.
Para el modelo teórico, se verificó el ajuste de los datos obtenidos, la validez convergente, fiabilidad total, compuesta, y finalmente la invarianza estructural al aplicar el mismo modelo en los agentes informantes: estudiantes, docentes y personal administrativo. La verificación del ajuste del modelo teórico se realizó contrastando el ajuste de los datos obtenidos en el modelo teórico y el ajuste de los datos sobre un modelo de independencia, donde se asume que no hay factores comunes. Para la verificación de la comparación, se utilizaron los indicadores: la raíz del error medio cuadrático medio de aproximación RMSEA (Root Mean Square Error of Approximation) que muestra un buen ajuste para valores menores a 0.6 o aceptables entre [0.06, 0.08] (Hu y Bentler, 1999; MacCallum, Browne y Sugawara, 1996), la raíz promedio de los residuos al cuadrado SRMR (Standarized Root of Mean Squared Residual) con valores de buen ajuste menores a 0.08, el índice de ajuste no normado TLI (Non-Normed Fit Index NNFI o índice de Tucker y Lewis) con valores aceptables de ajuste mayores a 0.96 para escalas categóricas y el índice de ajuste comparativo CFI (Comparative Fix Index) con valores aceptables de ajuste mayores a 0.95 (Aldás y Uriel, 2017).
Según Hu y Bentler (1999) con respecto al índice SRMR se recomienda el uso combinado con otros indicadores de la siguiente forma (TLI>0.95 y SRMR<0.09 o a su vez RMSEA<0.06 y SRMR<0.09). Los indicadores RMSEA, TLI y CFI son indicadores adecuados para considerar la parsimonia del modelo y penalizan en cierto grado su complejidad. De forma individual se considera RMSEA una medida descriptiva del desajuste del modelo. El índice TLI toma en cuenta un ajuste aceptable del modelo y parsimonioso; finalmente, el índice CFI se basa en la comparación del error de aproximación del modelo propuesto y del modelo de independencia (Abad, Olea, Ponsoda y García, 2011).
Resultados
Los resultados corresponden a la validación de un cuestionario con una escala, medida en tres tipos de agentes informantes (docentes, estudiantes y personal administrativo), sin que cambie el constructo teórico y sus principios fundamentales, siendo así, únicamente se realizaron modificaciones menores para adaptarlo a cada actor, sin alterar las dimensiones de la variable. Desde esta perspectiva, se presentan los resultados del análisis de la validez del contenido y la validez del constructo.
Validez del contenido por expertos
Descripción de la muestra
Partiendo de una población finita conformada por 15.975 miembros de la comunidad universitaria, se calculó un muestreo estratificado conformado por 904 agentes informantes entre estudiantes, directivos, docentes y personal administrativo (Universidad Católica de Cuenca, 2021). En tal sentido, el tamaño muestral influye en los indicadores al momento de realizar el ajuste de un modelo factorial confirmatorio, incrementándose el rechazo de un buen ajuste con muestras pequeñas como por ejemplo de menos de 200 sujetos, sin embargo, de acuerdo a Solano y Uzcátegui (2017), las investigaciones a partir de 180 encuestas, se ajustan también a un modelo factorial confirmatorio.
Como referencia, para muestras de 100 sujetos, se rechaza el 74.5% de modelos, para 450, el porcentaje disminuye al 23%; asimismo, entre 650 y 850 sujetos, el porcentaje de rechazo disminuye a 6.6% y 4.4% respectivamente. Siendo así, se deduce que el tamaño muestral es directamente proporcional con la aceptación del modelo, más de la mitad de modelos teóricos son aceptados a partir de los 250 sujetos (Morata - Ramírez et al, 2015). Entonces, el modelo de ocho dimensiones se ajustó a cada uno de los grupos de datos obtenidos de los agentes informantes en la IES, es decir, en el caso del personal administrativo con 187 encuestados, personal docente con 355 y 338 estudiantes. Con el grupo de directivos no fue posible probar el ajuste del modelo teórico ya que por su naturaleza y rol es minoritario, con una muestra de 24 encuestados (ver tabla 2).

Análisis de validez del constructo
Análisis de expertos
En un primer proceso de evaluación de jueces, 27 ítems resultaron válidos, con valor en su V de Aiken superior a 0.8, en los seis criterios como se puede apreciar en la tabla 3, se reformularon 18 ítems cuyo valor en su V de Aiken era menor a 0.8 y se agregaron 13 ítems para una segunda evaluación, todos los cambios se realizaron en función de las observaciones sugeridas por cada experto.

La figura 1, muestra que en los valores promedio de la V de Aiken de los seis criterios establecidos para el análisis, los niveles por debajo de 0.8 se encontraban en los criterios de “indicador” y “redacción”, también se observó que el valor promedio general del instrumento resultó ser de 0.79, un valor marginalmente aceptable, los resultados descritos se consideraron para realizar la corrección y mejora del instrumento. Luego de las correcciones realizadas, el número de ítems totales validados fue de 58 y la V de Aiken resultó superior a 0.8 en todos los ítems, con respecto a cada criterio y en su valor promedio en general.
Análisis descriptivo
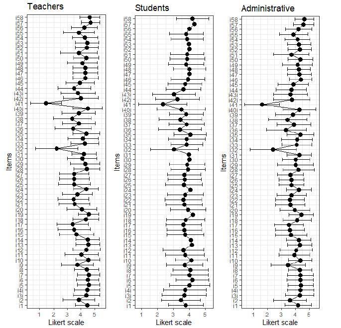
Las propiedades psicométricas del instrumento se evaluaron a partir del análisis descriptivo de los ítems (mediana, media, asimetría y curtosis), en cada uno de los agentes informantes que constituyen la muestra a saber: estudiantes, docentes y personal administrativo. Estos resultados que se pueden apreciar a continuación (ver figura 2).

De forma descriptiva, el comportamiento de las respuestas presentadas en los tres grupos informantes se puede apreciar en la figura 2, la cual indica un sesgo negativo presente en los tres grupos de agentes informantes y en casi todos los ítems, lo que significa que en su mayoría las respuestas dadas poseen un valor medio cercano a 4 en la escala de Likert, como se puede apreciar en las barras y error, a excepción de los ítems 32 y 41 en los tres grupos de informantes, cuyo valor medio se encuentra entre 2 y 3 de la escala.
Luego del análisis factorial se obtuvieron los índices de discriminación y comunalidades para el modelo ajustado a los datos obtenidos de cada uno de los grupos de agentes informantes: estudiantes, docentes y personal administrativo, conforme el resumen que se observa en la tabla 3.

En la tabla 3, se toma como referencia, las coincidencias de los dos criterios: índice de discriminación y comunalidades aproximadamente menores que para prescindir de algunos ítems en los modelos, entonces, se puede ver que según el criterio del índice de discriminación y de las cargas factoriales, para el ajuste del modelo de género en el los agentes informantes estudiantes se prescindirá de los ítems 3, 4, 32, 40i, 41, 42i, 43i y 51. De forma similar para el modelo que corresponde al personal docente, se prescindirá de los ítems 32, 40i, 41i y 51. Finalmente para el modelo de la muestra de administrativos se prescindirá de los ítems 32, 40i, 41, 42i, 43i y 51.
A continuación (ver tabla 4), se verificó la validez y consistencia interna del instrumento mediante la determinación del valor del Alfa de Cronbach Ordinal para cada factor confirmado en cada uno de los tres grupos de agentes informantes.

Para etapas preliminares de desarrollo una escala de 0.7 es suficiente y con depuraciones se recomienda mantener un valor igual o superior a 0.8 (Aldás y Uriel, 2017). En el caso de estudio, los valores totales del alfa de cada grupo de la muestra y los valores de cada factor son mayores que 0.7 por lo tanto, los modelos mencionados son fiables. Desde esta perspectiva resulta necesario indicar que, los resultados que se encontraron, indican que la validación de la escala de género para cada grupo de agentes informantes presenta propiedades psicométricas satisfactorias, obteniendo como resultado medidas válidas y fiables que, a su vez, permiten realizar un análisis de contrastes inferenciales respecto las posibles diferencias involucradas con las variables demográficas relacionadas con el género.
Finalmente, para confirmar la escala del modelo de ocho dimensiones o factores obtenidos con las validaciones de los ítems que conforman los modelos determinados en la tabla 6, se resumen los índices de ajuste en la tabla 5.

Se puede apreciar que la escala para los tres agentes informantes presenta buen ajuste ya que la ratio no supera la relación 3:1 para referirse a un buen ajuste (Aldás y Uriel; 2017). Los índices de ajuste global corregido por parsimonia RMSEA en los modelos son inferiores a 0.06 lo que nos dice que existe un buen ajuste. El índice SRMR es marginalmente aceptable para valores aproximadamente menores o iguales a 0.08, mientras el índice TLI y CFI de ajuste comparativo o incremental verifica un buen ajuste con valores mayores a 0.9 para ambos indicadores.
Las escalas obtenidas luego de ajustar los modelos en cada uno de los agentes informantes miden la percepción de la influencia del género en las actividades y procesos del contexto universitario local. El valor mínimo en cada agente informante, refiere que se tiene una percepción de que existe una influencia o un problema de género en las actividades y procesos del contexto universitario, desde el punto de vista de lo vivencial, por otra parte, el valor máximo hace referência a que no existe influencia o sesgos de género en los procesos y actividades universitarias. El valor medio de la escala representaría una postura central.
Los estadísticos descriptivos de la escala promedio en los tres agentes informantes se detallan a continuación en la tabla 6:

En la tabla 6 se puede apreciar los descriptivos de las escalas totales obtenidas con los grupos de agentes informantes: estudiantes, docentes y personal administrativo, en donde, los datos no son normales, ya que las pruebas de normalidad de Shapiro Wilk, son significativas y las distribuciones tienen sesgos negativos, lo que implica que los puntajes promedio obtenidos se acumulan hacia la derecha, es decir en los valores superiores de sus respectivas escalas. Para estimar valores de opinión relativamente bajos en la escala se toma referencialmente el valor de la mediana de cada agente informante.
Debido a que los datos no provienen de una distribución normal y tras verificar los supuestos de homogeneidad de varianzas que si se cumplieron en todos los agentes informantes, se efectuaron pruebas de contraste no paramétricas para dos muestras independientes, la prueba de la U de Mann-Whitney, y para contrastes de más de dos muestras se utilizó el test Kruskal-Wallis, finalmente algunas pruebas robustas usando el test de Yuen. Todos los contrastes se toman como significativos a un nivel de significancia del 5% y se consideraron los promedios por debajo de su valor medio (mediana) referencial de cada escala.
Luego de realizar el análisis mencionado, los hallazgos permiten establecer una diferencia significativa en la escala total que mide la percepción sobre la influencia del género en las actividades y procesos del contexto Universitario local para los agentes informantes docentes, según su opinión en los grupos de género masculino y femenino , vale recalcar que esta diferencia se da en los niveles cercanos al máximo de la escala, haciendo referencia a que no hay una afectación en los procesos o actividades realizadas en el contexto universitario debido al género.
Por otra parte, para los agentes informantes estudiantes, con respecto a su procedencia, se encontró diferencias significativas entre sedes y extensiones de la universidad, respecto a la matriz Cuenca que posee el valor más bajo en la puntuación y que se encuentra por debajo del valor referencial medio de su escala . Este hallazgo manifiesta una afección en los procesos del contexto Universitario relacionados con el género.
Mientras en los agentes informantes personal administrativo, se encontró una diferencia significativa , según la percepción en los grupos de género femenino y masculino , de igual forma, existe una diferencia significativa en los grupos de edades de y años), considerando que todas las diferencias son superiores al nivel medio referencial de su escala .
Conclusiones
A partir de la revisión documental bajo el enfoque de género realizado en una primera etapa investigativa acerca del papel de las funciones sustantivas y los principios organizacionales en las IES, se reveló que existe un vacío metodológico sobre la temática que se pretendía abordar, por lo que fue necesario acudir a la construcción y validación de un instrumento psicométrico de medida, estructurado de tal manera que propicie una escala de medición bajo la perspectiva de género y que permita generar nuevas investigaciones sobre esta temática.
La escala de Percepciones de Género en las Funciones Sustantivas y Principios Organizacionales” (FS.PO.) , demuestra adecuadas propiedades psicométricas, cuenta con una confiabilidad según Alfa de Cronbach para cada una de las escalas de los agentes informantes: estudiantes, docentes y personal administrativo de 0.98, 0.985, 0982 respectivamente, lo que implica un nivel de confianza muy alto (α ≥ 0,80) , además el AFC presenta buen ajuste del ratio , que no supera la relación 3:1, el RMSEA con valores que no sobrepasan el 0.06 en las tres escalas respectivamente: (0.057, 0.042, 0.026), SRMR (0.087, 0.081, 0.087) menor o igual a 0.08 y TLI (0.978, 0986, 0995) y CFI (0.979, 0.987, 0996) indica valores mayores a 0.9 para ambos indicadores. Por tanto, se concluye que el instrumento resulta útil para la investigación de la perspectiva de género en el contexto de la educación superior y medición del impacto de los procesos de institucionalización y transversalización del enfoque de género en universidades desde sus principios organizacionales.
Finalmente, conviene indicar que, las necesidades de la sociedad exigen a las instituciones de educación superior la apertura hacia los estudios feministas, lo que en sí mismo ya constituye un reto desde la concepción de la realidad con enfoque de equidad, hasta la implementación de políticas y mecanismos que disminuyen brechas de género en el interior de la institución. Indudablemente estos estudios se constituyen en una oportunidad con retos y desafíos de conocimiento científico, y un repensar del enfoque de género adoptado por las IES para democratizar sus espacios de producción del conocimiento.
Referencias
Aiken, L. (1985). Three Coeficients for Analyzing the Reliability and Validity of Ratings. Educational and Psychological Measurement, 45, 131-142. https://doi.org/10.1177/00131644854510
Abad, F. J., Olea, J., Ponsoda, V. & García, C (2011). Medición en ciencias sociales y de la salud Ediorial Síntesis.
Aldás, J., & Uriel, E. (2017). Análisis multivariante aplicado con R. 2da edición. Editorial Liberdigital. https://books.google.com.ec/books?id=FyE3DwAAQBAJ&printsec=copyright#v=onepage&q&f=false
Amorós, C. (2005). La gran diferencia y sus pequeñas consecuencias… para las luchas de las mujeres. Editorial Cátedra.
Benahabib, S. (1992). Una revisión del debate sobre las mujeres y la teoría moral. Isegoria, 6, 37-64. https://doi.org/10.3989/isegoria.1992.i6.323
Bernal, C., Cevallos, D., Salas, J. & Tasiguano, A. (2017). Guía para la igualdad y ambiente en la educación superior. Pasos para elaborar planes de transversalización de los ejes de igualdad y ambiente en la educación superior. Quito: AECID/SENESCYT. Disponible en: https://www.educacionsuperior.gob.ec/wp-content/uploads/downloads/2018/11/Guia-para-la-igualdad-y-ambiente-en-la-Educacion-Superior_nov_2018.pdf
Boluarte, A., & Tamari, K. (2017). Validez de contenido y confiabilidad inter-observadores de Escala Integral Calidad de Vida. Revista de Psicología, 35(2), 641-666. https://doi.org/10.18800/psico.201702.009
Bourdieu, P. (1998). La dominación masculina. Anagrama.
Bourdieu, P. (2007). Cosas Dichas. Editorial Gedisa.
Buquet, A. (2011). Transversalización de la perspectiva de género en la educación superior Problemas conceptuales y prácticos. Revista Perfiles Educativos. 33, 211-225. Disponible en: http://www.scielo.org.mx/scielo.php?script=sci_arttext&pid=S0185-26982011000500018&lng=es&tlng=es.
Buquet, A. (2016). El orden de género en la educación superior: una aproximación interdisciplinaria. Revista Nomadas (44) 27-43. Disponible en: http://www.scielo.org.co/scielo.php?script=sci_arttext&pid=S0121-75502016000100003&lng=en&tlng=es.
Buquet, A., López, H., & Moreno, H. (2020). Relevancia de los estudios de género en las universidades. La creación del Centro de Investigaciones y Estudios de Género en la UNAM. Revista Perfiles educativos, 42(167), 178-196. https://doi.org/10.22201/iisue.24486167e.2019.167.59037
Butler, J. (1990). El género en disputa. El feminismo y la subversión de la identidad. M.A. Muñoz. Paidós. Disponible en: https://www.lauragonzalez.com/TC/El_genero_en_disputa_Buttler.pdf
Bunge, M. (2017). El planteamiento científico. Revista Cubana de Salud Pública, 43(3). Disponible en: http://scielo.sld.cu/pdf/rcsp/v43n3/spu16317.pdf
Calvo, M. (2014). El péndulo oscila hacia ambos lados: género, patriarcado y equidad. Revista Estudios Universidad de Costa Rica. (29), 1-17. Disponible en: https://revistas.ucr.ac.cr/index.php/estudios/article/view/17832
Carosio, A., Valdivieso, M., Montserrat, I., Rodríguez, M., Monzón, A., Girón, A., Correa, E., Valdivieso, A., Rostagnol, S., Ávila, M., Ferreira, V., Vasallo, N., Martínez, A., Souza, L., Santos, J., Santos, L., & Romero, K. (2017). Feminismos, pensamiento crítico y propuestas alternativas en América Latina. CLACSO. Primera edición. Disponible en: http://biblioteca.clacso.edu.ar/clacso/gt/20170828113947/Feminismos_pensamiento_critico.pdf
Cerva, D. (2018). Desafíos para la institucionalización de la perspectiva de género en instituciones de educación superior en México. Una mirada a los contextos organizacionales. Revista Punto Género, 8, 20-38. https://doi.org/10.5354/0719-0417.2017.48399
Clark, L., & Watson, D. (2019). Constructing validity: New developments in creating objective measuring instruments. Psychological Assessment, 31(12), 1412-1427. https://doi.org/10.1037/pas0000626
Connell, R. (1987). Gender and Power: Society, the Person and Sexual Politics. Stanford University Press,
Connell, R. (2015), El género en serio. Cambio global, vida personal, luchas sociales. Editorial UNAM-Programa Universitario de Estudios de Género.
Costa, A. (2017). El género en las palabras y el género de las palabras: un acercamiento a la variable ideológica género a partir del fenómeno semántico de la heteronimia. [Tesis Doctoral]. Universidad Carlos III de Madrid. Disponible en: https://e-archivo.uc3m.es/bitstream/handle/10016/25195/costa_genero_%20tesis_2017.pdf?sequence=1&isAllowed=y
Comisión Económica para América Latina y el Caribe (CEPAL). (2010). ¿Qué Estado para qué igualdad? Conferencia Regional sobre la mujer de América Latina y el Caribe. Disponible en: https://www.cepal.org/es/publicaciones/16656-que-estado-que-igualdad-xi-conferencia-regional-la-mujer-america-latina-caribe
Comisión Económica para América Latina y el Caribe [CEPAL]. (2017). Planes de igualdad de género en América Latina y el Caribe. Mapas de ruta para el desarrollo. Disponible en: https://www.cepal.org/sites/default/files/events/files/planes_de_igualdad_de_genero_en_america_latina_y_el_caribe._mapas_de_ruta_para_el_desarrollo.pdf
Davis, N., & Faith, K. (2002). Las mujeres y el Estado: modelos de control social en transformación Revista CODHEM, 26: 90-102. Disponible en: http://historico.juridicas.unam.mx/publica/librev/rev/derhum/cont/55/pr/pr20.pdf
Delgado, G. (2017). Construcción social del género. En Construir caminos para la igualdad: educar sin violencias. Universidad Nacional Autónoma de México, 23-60. Disponible en: http://132.248.192.241:8080/xmlui/bitstream/handle/IISUE_UNAM/221/Construccio%CC%81n%20social%20del%20ge%CC%81nero.pdf?sequence=1&isAllowed=y
Derrick, G. E., Jaeger, A., Chen, P.-Y., Sugimoto, C.R., Van Leeuwen, T., & Lariviere, V. (2019) Models of parenting and its effect on academic productivity:Preliminary results from an international survey. En Proceedings of the 17th International Conference on Scientometrics & Infometrics. International Society for Informetrics and Scientometrics (ITA). 1670-1676. Disponible en: https://eprints.lancs.ac.uk/id/eprint/138455/1/Derrick_et_al_parentingpaper_May2019_proofread.pdf
Duarte Cruz, J., & García-Horta, J. (2016). Igualdad, equidad de género y feminismo, una mirada histórica a la conquista de los derechos de las mujeres. Revista CS (18), 107-158. Disponible en: http://www.scielo.org.co/pdf/recs/n18/n18a06.pdf
Elousa, P., & Egaña, M. (2020). Psicometría aplicada. Guía para el análisis de datos y escalas con jamovi. Colecciones Libros UPV/EHU. Disponible en: https://addi.ehu.es/handle/10810/43054
Escurra, L. (1989) Cuantificación de la Validez de Contenido por Criterio de Jueces. Revista de Psicología - PUCP, 6, 103-111. Disponible en: https://revistas.pucp.edu.pe/index.php/psicologia/article/view/4555/4534
González, M. & Fernández, N. (2016). Ciencia, tecnología y género. Enfoques y problemas actuales. Revista Iberoamericana de Ciencia, Tecnología y Sociedad - CTS, 11(31), 51-60. Disponible en: https://www.redalyc.org/articulo.oa?id=92443623003
Guzmán, M. & Pérez, A. (2005). Las Epistemologías Feministas y la Teoría de Género. Cuestionando su carga ideológica y política versus resolución de problemas concretos de la investigación científica. Cinta Moebio, 22, 112-126. Disponible en: https://www.redalyc.org/articulo.oa?id=10102207
Hall, R. (2017). Ética de la investigación social. 2da edición. Querétano: Unidad de Bioética de la Universidad Autónoma de Querétaro. http://unidadbioetica.com/libros/E%CC%81tica-de-la-investigacio%CC%81n-social.pdf
Haraway, D. (1988). Situated Knowledges: The science question in feminism and the privilege of partial perspective. Feminist Studies, vol. 14, núm. 3, pp. 575-599. Disponible en: https://philpapers.org/archive/harskt.pdf
Harding, S. 1995 (1986). Feminismo y ciencia. Ediciones Morata. Disponible en: https://edmorata.es/wp-content/uploads/2020/06/Harding.CienciaFeminismo.PR_.pdf
Harding, S. (1991). Whose Science? Whose Knowledge?. Ithaca. Cornell University Press.
Harding, S. (1995). Strong Objectivity: A Response to the New Objectivity Question. Synthese 104 (3):331 - 349. Disponible en: http://www.jstor.org/stable/20117437
Harding, S. (2004), The Feminist Standpoint Theory Reader. Intellectual and political controversies. Editorial Routledge.
Hu, L., & Bentler, P. (1999). Cutoff criteria for fit indexes in covariance structure analysis: Conventional criteria versus new alternatives. Structural Equation Modeling. Revista Multiidisciplinaria, 6(1), 1-55. https://doi.org/10.1080/10705519909540118
Krabbe, P. F. M. (2017). The Measurement of Health and Health Status: Concepts, Methods and Applications from a Multidisciplinary Perspective. Elsevier. https://doi.org/10.1016/C2013-0-19200-8
Lagarde, M. (2020). La ideología patriarcal uno de los obstáculos más graves para el avance de la perspectiva de género en las universidades. Ciclo de conferencias de la Universidad Nacional de Córdoba. Disponible en: https://www.unc.edu.ar/comunicaci%C3%B3n/marcela-lagarde-y-de-los-r%C3%ADos-%E2%80%9Cla-ideolog%C3%ADa-patriarcal-es-uno-de-los-obst%C3%A1culos-m%C3%A1s
Lagarde, M. (1996). Género y feminismo. Desarrollo humano y democracia. Madrid, Horas y Horas. Disponible en: http://repositorio.ciem.ucr.ac.cr/handle/123456789/259
Laqueur, T. (1990). La construcción del sexo: cuerpo y género desde los griegos hasta Freud. (trad. Eugenio Portela). Cátedra.
León, M. (2016). Ciencia, sexo y género. Revista Espiga. XV, (32), 137-144. Disponible en: file:///C:/Users/UCACUE/Downloads/1585-Texto%20del%20art%C3%ADculo-3628-1-10-20161102.pdf
Logroño, M. (2017). Género y educación superior desde las voces de las académicas: caso Universidad Central del Ecuador. [Tesis doctoral]. Universidad de Alicante. https://rua.ua.es/dspace/bitstream/10045/82647/1/tesis_mercy_julieta_logrono.pdf
Longino, H. (1997). Feminismo y filosofía de la ciencia. En M. González, J.A. López y J.L. Luján (eds.). Ciencia, tecnología y sociedad: lecturas seleccionadas (71-83). Ariel.
López de la Vieja, M. T. (Coord.). (2006). Bioética y feminismo: estudios multidisciplinares de género (pp. 107-130).
Mainardes, J., & Carvalho, I. C. M. (2019). Autodeclaração de princípios e de procedimentos éticos na pesquisa em educação. En Mainardes, J. (coord.). Ética e Pesquisa Em Educacion: Subsídios. Vol 1., 205 - 211. Disponible en: https://www.researchgate.net/publication/372310757_ETICA_E_PESQUISA_EM_EDUCACAO_Subsidios_-_VOLUME_3
MacCallum, R. C., Browne, M. W., & Sugawara, H. M. (1996). Power analysis and determination of sample size for covariance struc ture modeling. Psychological Methods, 1, 130 -149. Disponible en: https://psycnet.apa.org/doi/10.1037/1082-989X.1.2.130
Morata-Ramírez, M., Holgado, F., Barbero-García, M y Méndez, G. (2015). Análisis factorial confirmatorio. Recomendaciones sobre mínimos cuadrados no ponderados en función del error Tipo I de Ji-Cuadrado y RMSEA. Acción Psicológica, 12 (1), 79-90. https://doi.org/10.5944/ap.12.1.14362
Programa de las Naciones Unidas para el Desarrollo. (2017). Brechas de género y de desigualdad: de los Objetivos de Desarrollo del Milenio a los Objetivos de Desarrollo Sostenible. Disponible en: https://colombia.unwomen.org/es/biblioteca/publicaciones/2017/05/brechas-de-genero-ods
Pessina, M. (2019). Ecuador: Investigadoras en Ciencia y Tecnología atrapadas entre la invisibilización y el androcentrismo. 29 - 55. En Impacto de las mujeres en la Ciencia. Efecto del género en el desarrollo y la práctica científica. OEI, SENESCYT, REMCI .Quito, Ecuador. Disponible en: https://ciespal.org/wp-content/uploads/2019/06/Mujeres-en-la-cienciaDigital-VFJUL19.pdf
Ravid, R. (2020). Practical Statistics for Educators. Rowman & Littlefield Publishers.
Reyes Reinoso, J. R., Aguirre Ullauri, M. del C., Ordóñez Gavilánes, M. E., & Useche Aguirre, M. C., (2023). Docencia universitaria en el Ecuador: Desafíos desde el enfoque de género. Revista de Ciencias Sociales, XXIX, (3), 2477-9431. Disponible en: https://produccioncientificaluz.org/index.php/rcs/article/view/40709
Secretaría de Educación Superior, Ciencia, Tecnología e Innovación (Senescyt). (2017). Guía para la igualdad y ambiente en la educación superior: Pasos para elaborar planes de transversalización de los ejes de igualdad y ambiente en la educación superior. Disponible en: https://www.educacionsuperior.gob.ec/wp-content/uploads/downloads/2018/11/Guia-para-la-igualdad-y-ambiente-en-la-Educacion-Superior_nov_2018.pdf
Serret, E. (2008). Qué es y para qué es la perspectiva de género, Oaxaca. Instituto de la Mujer Oaxaqueña. Ediciones: Serie Buenas prácticas. Disponible en: http://cedoc.inmujeres.gob.mx/PAIMEF/Oaxaca/oax09.pdf
Solano, J. & Uzcátegui, C. (2017). Validez y confiabilidad de una escala de medida para la calidad del servicio de restaurantes ubicados en la zona turística de Puerto Bolívar, Universidad y Sociedad, 9 (1), 52-59. Disponível en: http://scielo.sld.cu/scielo.php?script=sci_arttext&pid=S2218-36202017000100007
Scott, J. (1986). Gender: A Useful Category of Historical Analysis, American Historical Review, 91 (5), 1053-1075. Disponible en: https://www.jstor.org/stable/1864376?seq=1
Tepichin, A. M. (2018). Estudios de género, en Hortensia Moreno y Eva Alcántara (coords.), Conceptos clave en los estudios de género, vol. 2, UNAM-CIEG, 97-107. Disponible en: https://www.researchgate.net/publication/344614312_Estudios_de_genero
Taborda, F. J. & Brausin, J. (2020). Fundamentos éticos en el proceso de investigación social. Saberes y prácticas. Revista de Filosofía y Educación, 5(2), 1-17. Disponible en: https://revistas.uncu.edu.ar/ojs/index.php/saberesypracticas/article/view/2415
Torres, L. (2018). Interiorización de los estereotipos de género en la sociedad argentina y el ideal de belleza en los mensajes publicitarios. Tesis Doctoral. Universidad Complutense de Madrid. Disponible en: https://eprints.ucm.es/id/eprint/47905/1/T39985.pdf
Trimiño Velásquez, C. (2015) Género(s) y educación: Aproximaciones al contexto de América Latina y el Caribe Rev. hist.educ.latinoam -17(24), 55 - 72. Disponible en: http://www.scielo.org.co/scielo.php?script=sci_arttext&pid=S0122-72382015000100004&lng=en&tlng=es
Universidad Católica de Cuenca. (2021). Informe de Base de Datos del personal docente, administrativo y estudiantil. Universidad Católica de Cuenca. República de Ecuador.
Useche Aguirre, M. C., Reyes Reinoso, J. R., Ordoñez Gavilanes, M. E., Aguirre Ullauri, M. del C., & Espinosa Iñigues, E. A. (2022). Vinculación con la sociedad desde la perspectiva de género: un estudio en la universidad ecuatoriana. Práxis Educativa, 17, 1-21. https://doi.org/10.5212/PraxEduc.v.17.19241.043
Vargas, C., Lutz, L., Papuzinski, C., & Arancibia, M. (2020). Género, mujeres e investigación científica. Revista Medwave, 20(2): e7857. Disponible en: https://www.medwave.cl/link.cgi/Medwave/Enfoques/Actualidad/7857.act
Villoro, L. (1997). El poder y el valor: fundamentos de una ética política. Fondo de Cultura Económica. https://enriquedussel.com/txt/Textos_200_Obras/Filosofos_Mexico/Poder_valor-Luis_Villoro.pdf
Notas