Articles
Agroclimatic zoning for urucum crops in the state of Minas Gerais, Brazil
Agroclimatic zoning for urucum crops in the state of Minas Gerais, Brazil
Bragantia, vol. 77, no. 1, 2018
Instituto Agronômico de Campinas
Received: 26 October 2016
Accepted: 21 March 2017
ABSTRACT: Hardier crops are needed in the arid regions of the Brazilian state of Minas Gerais, and annatto (Bixa orellana L.) is a good candidate. Producers, however, do not know if their areas are suitable for its cultivation and so are not investing in its implementation. Agroclimatic zoning would provide guidance to the producers. Identifying potential areas for the production of this crop would thus contribute to the agroclimatic zoning of B. orellana in Minas Gerais. We collected data for air temperature and precipitation from 852 meteorological stations in the state to classify regions as suitable, marginally suitable, or unsuitable for the crop. Suitable regions had an air temperature between 22 and 27 °C and precipitation between 800 and 1600 mm.y-1. Marginally suitable regions had an air temperature between 22 and 27 °C and precipitation less than 800 mm.y-1. Unsuitable regions had air temperature less than 22 °C or greater than 27 °C. A geographic information system was used for the spatial interpolation of air temperature and precipitation for all meteorological stations using kriging. The agroclimatic zoning of annatto crops for Minas Gerais was obtained by interpolating the two maps, air temperature and precipitation. Minas Gerais has great potential for urucum production, and agroclimatic zoning enabled the classification of regions by climatic suitability. The northern, western, northwestern, and part of the eastern regions of Minas Gerais have favourable climates suitable for the cultivation of B. orellana.
Key words: climatic risk, climatic modeling, agrometeorology, Bixa orellana L..
INTRODUCTION
Urucum (annatto) (Bixa orellana L.) is a shrubby species endemic to the tropical climates of the Americas that is becoming an important crop worldwide (Valério et al. 2015). It is planted in countries such as Peru, Mexico, Ecuador, Indonesia, and Kenya and in other areas of eastern Africa (Elias et al. 2002; Costa et al. 2013). The plant is native to the Amazon region of Brazil (Brito et al. 2015), but 37% of the national crop production is concentrated in the southeast, in the states of São Paulo and Minas Gerais, with annual yields of 2869 and 1449 tonne, respectively (Lopes et al. 2008).
B. orellana is a rapidly growing perennial species of the Bixaceae family (Barbieri et al. 2011), reaching 2-4 m in height, with ovoid fruit capsules that contain 30-40 seeds. The seeds are rich in carotenoids, which produce the characteristic red colour of the fruit (Costa et al. 2013; Mantovani et al. 2013). Urucum has a regional and national importance in the production of pigments used as natural dyes in the food, pharmaceutical, and cosmetic industries (Vilar et al. 2014), with high commercial value (Costa et al. 2008; Valério et al. 2015).
Harder et al. (2008) reported that annatto is used in Brazil for various purposes, 70% of the production was used in the processing of the pigments, 20% in the extraction of the pigments, and 10% was exported as seeds. Urucum dyes are used for colouring remedies and other pharmaceutical products and in food, sunscreen, and insect repellent. Restrictions on the use of artificial colours in food by the Food and Agriculture Organization and the World Health Organization (WHO) have increased the interest in natural dyes, such as those from the urucum plant. Bastos et al. (1999) reported that the pigments extracted from annatto were among the few allowed by the WHO that were nontoxic and did not alter the taste of food but still added value to the products.
The plants are hardy and typically tropical and are highly adaptable, able to grow in a variety of climates (Brito et al. 2015), but both energetic and hydric conditions outside the ideal range limit the development of crops with satisfactory yields (Sá Júnior et al. 2012). Lopes et al. (2008) reported that little information was available about the influence of climatic conditions on the annatto. Urucum develops well where the air temperature (TAIR) is between 22 and 27 °C and can tolerate low rainfall. The plant grows, flowers, and produces fruit throughout most of the year, and conditions are considered ideal if the annual rainfall (PANNUAL) is well distributed and > 1200 mm, with a monthly supply of 100-150 mm.
Regional climatic conditions are an essential factor for the selection of species for cultivation. Knowledge of the climatic variability of a region is thus important, because the climate directly affects the development of the crop (Sá Júnior et al. 2012). Climatic adversities negatively affect a country’s agricultural production and economy, so zoning techniques are needed to identify, with greater security, the locations and most appropriate dates for sowing crops (Falasca et al. 2012). Zoning consists of agricultural-aptitude, agroclimatic, agricultural, and climatic-risk zoning.
Agroclimatic zoning is the combination of meteorological information with crop requirements for identifying regions suitable, unsuitable, or marginally suitable for a crop (Wrege et al. 2015). Agroclimatic zoning is also the investigation of the dynamics of the consequences of natural systems on surfaces using a man-made vegetable production system (Wollmann and Galvani 2013).
Geographic information systems (GISs) can be used to obtain information for the spatial distribution of climates suitable to crops in preparation for agroclimatic zoning (Zaro et al. 2014; Pena et al. 2016). Agroclimatic zoning has been applied for various crops, e.g. Chenopodium quinoa in Bolivia (Geerts et al. 2006), Macadamia integrifólia in Brazil (Schneider et al. 2012), Ricinus communis in Argentina (Falasca et al. 2012), and Jatropha curcas in Brazil (Yamada and Sentelhas 2014). Urucum production has not yet been zoned in Minas Gerais.
The annatto is a good candidate as a hardy crop for production in the arid regions of Minas Gerais. Producers, however, do not know which areas are most suitable for cultivation and thus do not invest in its implementation. Considering that agroclimatic zoning will provide a guide for the producers, the purpose of this study was thus to identify the regions in Minas Gerais with the potential for urucum cultivation by agroclimatically zoning B. orellana.
MATERIALS AND METHODS
Minas Gerais (lat 13°94-22’50’’S, long 41°73-52’87’’W) occupies 586,528 km2 in southeastern Brazil and contains five climatic classes (Koppen 1948): Am, Aw, BSh, Cwa, and Cwb. The Aw climatic class, however, dominates most of the state (Sá Júnior et al. 2012).
We collected data about air temperature and precipitation from 852 meteorological stations of the National Institute of Meteorology network (INMET) in Minas Gerais (Figure 1) from 1961 to2015.

We used the technique of zoning the agroclimatic types to evaluate the potential of urucum cultivation. Climatic variables were defined by the needs of the B. orellana plants: average annual TAIR and total PANNUAL. The classes of climatic suitability for cultivation were established by combining the two climatic variables (Lopes et al. 2008; Ramalho et al. 1988). Regions were considered climatically suitable for cultivation when TAIR remained between 22 and 2 °C and PANNUAL was between 800 and 1600 mm∙y-1. Marginally suitable areas needed constant irrigation, with TAIR between 22 and 27 °C and P always <800 mm∙y-1. TAIR in unsuitable areas was < 21 °C or > 27 °C (Figure 2).

With agroclimatic zoning defined in function of TAIR and PANNUAL, we characterized the areas by their water balances. This characterization is important for cultivation, because little information is available concerning the influence of climate on annatto culture. This analysis is also important for zoning other areas in the future.
Monthly rainfall and average air temperature were used for calculating the potential evapotranspiration (PET), as proposed by Camargo (1971):
where Qo is daily solar atmospheric irradiance (M∙m-2∙d-1), T means air temperature (°C), and ND is number of days.
The parameters of water balance [actual evapotranspiration, soil water storage, water deficiency, and water surplus] were entered into a spreadsheet based on the methodology proposed by Rolim et al. (1998), who used the method developed by Thornthwaite and Mather (1955) (Equations 2 to 7), with an available water-storage capacity (WS) of 100 mm. This WS was used due the root system of the urucum attain up to 100 cm (Barbieri et al. 2011; Mahendranath et al. 2011).
where PET is potential evapotranspiration (mm); P is rainfall (mm); DEF is water deficiency at the soil-plant-atmosphere system (mm); WC is available water capacity (mm); STO is soil water storage (mm); NAC = Sum rainfall – potential evapotranspiration; AET is actual evapotranspiration (mm); SUR is water surplus at the soil-plant-atmosphere system (mm); ALT is soil water storage of the current month – soil water storage of the preceding month (mm) and i is the monthly period.
A GIS (ArcGIS 9.0©, ESRI) was used for the spatial interpolation of TAIR and PANNUAL for all meteorological stations using kriging (Krige 1951) and a spherical model with one neighbour and a resolution of 0.25°. Kriging is a univariate geostatistical method widely utilized for its efficiency in data interpolation (Viola et al. 2010; Carvalho et al. 2012), and largely used in zoning (Schneider et al. 2012; Possas et al. 2012).
The agroclimatic zoning of the annatto crop for Minas Gerais was obtained by the interpolation of the two maps (TAIR and PANNUAL).
RESULTS AND DISCUSSION
TAIR in Minas Gerais ranged from 14.2 to 23.8 °C and was highest and lowest in the north and in the south, respectively (Figure 3). PANNUAL ranged from 780 to 1796 mm·y-1, similar to the range reported by Alvares et al. (2014). PANNUAL was > 1600 mm in the southwest and was < 1000 mm only in the northwest, the driest part of the state (Rodrigues et al. 2015), encompassing the region known as the Vale of Jequitinhonha and part of the Rio Doce (Figure 4). Climatic variability was similar to the mapping of climatological norms presented by the National Weather Service of the Brazil (INMET 2015).


Meteorological conditions were highly variable through-out Minas Gerais. For example, PET ranged from 750 to 1200 mm·y-1 (Figure 5c) and SUR ranged from 0 to 900 mm·y-1 (Figure 5f). DEF, a highly important meteorolo gical parameter for crops (Khamssi et al. 2011; Sakai et al. 2015), ranged from 1 to 400 mm·y-1, with an average of 107 mm·y-1. DEF was highest (400 mm·y-1) in Manga and Matias Cardozo, both in the northern region. Overall, 126 locations (15% of the total) in Minas Gerais had DEFs > 200 mm·y-1 (Figure 5e).

The meteorological information from the 852 meteorological stations allowed us to propose an accurate agroclimatic zoning for urucum (Figure 6), which shows that B. orellana can be cultivated in much of Minas Gerais. The present climatic conditions in the north, west (Minas Gerais Triangle), northwest, and east were considered suitable for the development and production of urucum. This result is very important, because few of the crops in the north are well adapted to the low water conditions (Meira et al. 2013), so the introduction of a new adaptive regional crop is socio-economically important as an optional new income for the farmers in the region (Silva et al. 2007). Unaí, Janaúba, Nanuque, Iturama, and Manhuaçu were considered suitable regions for cultivation and Minas Gerais did not contain any marginally suitable regions.
The southern, southeastern, southwestern, and west-central regions were classified as unsuitable for the cultivation
of urucum, due to the low air temperatures, often < 18 °C, mainly in the south. Rainfall was also high, around 1800 mm·y-1, in the southwest and south (Figure 6). Cities like Belo Horizonte, the capital of Minas Gerais, and Sacramento, Muzambinho, Leopoldina, and Camanducaia are located in the regions mentioned and, therefore, were classified as unsuitable for B. orellana cultivation.

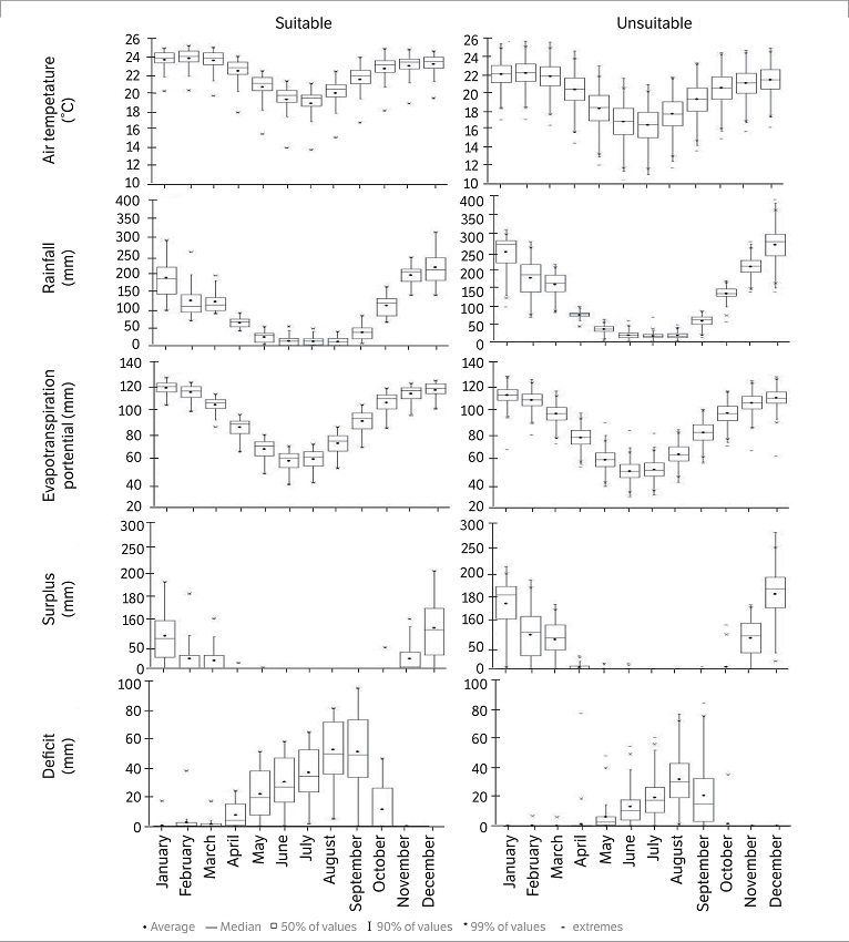
Climatic regions suitable for the cultivation of B. orellana had higher air temperatures, lower rainfall, and severe annual water deficits (Figure 7). Summer air temperatures averaged 22 and 24.5 °C in the unsuitable and suitable regions, respectively, and winter air temperatures averaged 16.6 and 19.9 °C, respectively (Figure 7a,b).

DEF was common in the regions climatically suitable to urucum from February to October, with an average high intensity of 78 mm∙mo–1 in August and September (Figure 7i). DEF occurred during a shorter period (May to September) in the unsuitable regions, with average intensities of 40 mm∙mo-1 in August (Figure 7j). This information is important for accurately identifying climatic zones in other areas.
CONCLUSION
The state of Minas Gerais has great potential for the production of urucum. Agroclimatic zoning enabled the classification of regions by climatic suitability and indicated that the northern, western, and northwestern regions and parts of the east of the state had climatic conditions favourable for the cultivation of B. orellana. Urucum is a crop adapted to low water levels and should be cultivated in areas with extended and intense periods of water stress (February to October).
REFERENCES
Alvares, C. A., Stape, J. L., Sentelhas, P. C., Gonçalves, J. L. M. and Sparovek, G. (2014). Koppen’s climate classification map for Brazil. Meteorologische Zeitschrift, 22, 711-728. https://doi.org/10.1127/0941-2948/2013/0507.
Bastos, A.R.R., Carvalho, J.G., Assis, R.P. and Cecílio Filho, A.B. (1999). Marcha de absorção de nutrientes em urucum (Bixa orellana L.) “tipo cultivado” Piave Vermelho em fase de viveiro. Cerne. 5, 76-85.
Barbieri, D. J., Braga, L. F., Sousa, M. P. and Roque, C. G. (2011). Análise de crescimento de Bixa orellana L. sob efeito da inoculação micorrízica e adubação fosfatada. Revista Brasileira de Plantas Medicinais, 13, 129-138. https://doi.org/10.1590/s1516-05722011000200002.
Brito, J. G., Queiroz, A. J. M., Figueirêdo, R. M. F. and Oliveira, A. S. (2015). Storage of waste grains of urucum under controlled atmosphere. Revista Brasileira de Engenharia Agrícola Ambiental, 19, 1185-1191. https://doi.org/10.1590/1807-1929/agriambi.v19n12p1185-1191.
Camargo, A. P. Balanço hídrico no estado de São Paulo (1971). 3.ed. Boletim n.116. (p24). Campinas: IAC.
Carvalho, J. R. P., Assad, E.D. and Pinto, H.S. (2012). Interpoladores geoestatísticos na análise da distribuição espacial da precipitação anual e de sua relação com altitude. Pesquisa Agropecuária Brasileira, 47, 1235-1242. https://doi.org/10.1590/s0100-204x2012000900008.
Costa, A. J. C., Dias, F. G. and Maluf, R. P. (2008). Abelhas (Hymenoptera: Apoidea) visitantes das flores de urucum em Vitória da Conquista, BA. Ciência Rural, 38, 534-537. https://doi.org/10.1590/s0103-84782008000200039.
Costa, C. K., Silva, C. B., Lordello, A. L. L., Zanin, S. M. W., Dias, J. F. G., Miguel, M. D. and Miguel, O. G. (2013). Identificação de δ tocotrienol e de ácidos graxos no óleo fixo de urucum (Bixa orellana L.). Revista Brasileira de Plantas Medicinais, 15, 508-512. https://doi.org/10.1590/s1516-05722013000400006.
Elias, M. E. A., Schroth, G., Macêdo, J. L. V., Mota, M. S. S. and D’angelo, S. A. (2002). Mineral nutrition, growth and yields of urucum trees (Bixa Orellana L.) in agroforestry on an Amazonian ferralsol. Experimental Agriculture, 38, 277-289. https://doi.org/10.1017/s0014479702003034.
Falasca, S. L., Ulberich, A. C. and Ulberich, E. (2012). Developing an agroclimatic zoning model to determine potential production areas for castor bean (Ricinus communis L.). Industrial Crops and Products, 40, 185-191. https://doi.org/10.1016/j.indcrop.2012.02.044.
Geerts, S., Raes, D., Garcia, M., Del-Castillo, C. and Buytaert, W. (2006). Agroclimatic suitability mapping for crop production in the Bolivian Altiplano: a case study for quinoa. Agricultural and Forest Meteorology, 9, 399-412. https://doi.org/10.1016/j.agrformet.2006.08.018.
Harder, M.N.C., Brazaca, S.G.C., Savino, V.J.M. and Coelho, A.A.D. (2008). Efeito de Bixa orellana na alteração de características de ovos de galinhas. Ciência e Agrotecnologia, 32, 1232-1237. https://doi.org/10.1590/s1413-70542008000400030.
Instituto Nacional de Meteorologia (2015). [accessed 2017 Jan 07]. http://www.inmet.gov.br/portal/index.php?r=bdmep/bdmep.
Khamssi, N. N., Golezani, K. G., Najaphy, A. and Zehtab, S. (2011). Evaluation of grain filling rate, effective grain filling period and resistance indices under acclimation to gradual water deficit stress in chickpea cultivars. Australian Journal of Crop Science, 5, 1044-1049.
Krige, D. (1951). A statistical approach to some basic mine valuation problems on the Witwatersrand. Journal of Chemical, Metal and Mining Society of South Africa, 52, 119-139.
Lopes, J. C., Lima, R. V. and Macedo, C. M. P. (2008). Annatto seeds germination at different maturation stadia. Horticultura Brasileira, 26, 19-25. https://doi.org/10.1590/s0102-05362008000100004.
Mahendranath, G., Venugopalan, A., Parimalan, R., Giridhar, P. and Ravishankar, G. A. (2011). Annatto pigment production in root cultures of Achiote (Bixa orellana L.). Plant Cell, Tissue and Organ Culture, 106, 517-522. https://doi.org/10.1007/s11240-011-9931-9.
Mantovani, N. C., Grando, M. F., Xavier, A. and Otoni, W. C. (2013). Avaliação de genótipos de urucum (L.) por meio da caracterização morfológica de frutos, produtividade de sementes e teor de bixina (Bixa orellana). Ciência Florestal, 23, 355-362. https://doi.org/10.5902/198050989281.
Meira, M. R., Melo, M. T. P., Martins, E. R., Pinto, M. J. S. and Santana, C. S. (2013). Crescimento vegetativo, produção de fitomassa e de óleo essencial de (Melissa officinalis L). sob diferentes lâminas de irrigação. Ciência Rural, 43, 779-785. https://doi.org/10.1590/s0103-84782013005000040.
Possas, J. M. C., Correa, M. M., Moura, G. B. A., Lopes, P. M. O., Caldas, A. M and, Fontes Júnior, V. P. (2012). Zoneamento agroclimático do pinhão-manso no Estado de Pernambuco. Revista Brasileira de Engenharia Agrícola e Ambiental, 16, 993-998. https://doi.org/10.1590/s1415-43662012000900010.
Pena, D. S., Evangelista, A. W. P., Alves Júnior, J. and Casaroli, D. (2016). Agroclimatic zoning for jatropha crop (Jatropha curcas L.) in the State of Goiás. Acta Scientiarum, 38, 329-335. https://doi.org/10.4025/actasciagron.v38i3.28224.
Rodrigues, P. M. S., Schaefer, C. E. G. C., Correa, G. R., Campos, P. V. and Neri, A. V. (2015). Solos, relevo e vegetação determinam os geoambientes de umidade de conservação do Norte de Minas Gerais, Brasil. Neotropical Biology and Conservation, 10, 31-42. https://doi.org/10.4013/nbc.2015.101.05.
Sá Junior, A., Carvalho, L. G., Silva, F. F. and Alves, M. C. (2012). Application of the Köppen classification for climatic zoning in the state of Minas Gerais, Brazil. Theoretical and Applied Climatology, 108, 1-7. https://doi.org/10.1007/s00704-011-0507-8.
Sakai, E., Barbosa, E. A. A., Silveira, J. M. C. and Pires, R. C. M. (2015). Coffee productivity and root systems in cultivation schemes withdifferent population arrangements and with and without dripirrigation. Agricultural Water Management, 148, 16-23. https://doi.org/10.1016/j.agwat.2014.08.020.
Schneider, L. M., Rolim, G. S., Sobierajski, G. R., Prela-Pantano, A. and Perdoná, M. J. (2012). Zoneamento agroclimático de Nogueira Macadâmia para o Brasil. Revista Brasileira de Fruticultura, 34, 515-524. https://doi.org/10.1590/s0100-29452012000200025.
Silva, M. L.O., Farias, M. A. F., Morais, A. R., Andrade, G. P. and Lima, E. M. C. (2007). Crescimento e produtividade do girassol cultivado na entressafra com diferentes lâminas de água. Revista Brasileira de Engenharia Agrícola Ambiental, 11, 482-488. https://doi.org/10.1590/s1415-43662007000500006.
Thornthwaite, C. W. and Mather, J. R. (1955). The water balance. Publications in climatology, 8, 104. (p.104). Centerton: Drexel Institute of Technology, Laboratory of Climatology
Valerio, M. A., Ramos, M. I. L., Braga-Neto, J. A. and Macedo, M. L. R. (2015). Urucum seed residue (Bixa orellana L.): nutritional quality. Food Science Technology, 35, 326-330. http://dx.doi.org/10.1590/1678-457X.6539.
Viola, M. R., Mello, C. R., Ferreira Pinto, Daniel B., Mello, J. M. and Ávila, L. F. (2010). Spatial interpolation methods for mapping of rainfall. Revista Brasileira de Engenharia Agrícola e Ambiental, 14, 970-978. https://doi.org/10.1590/s1415-43662010000900009.
Vilar, D. D. A., Vilar, M. S. D. A., Moura, T. F. A. D. L., Raffin, F. N., Oliveira, M. R. D., Franco, C. F. D. O. and Barbosa-Filho, J. M. (2014). Traditional Uses, Chemical Constituents, and Biological Activities of (Bixa orellana L.): A Review. The Scientific World Journal, Article ID 857292. http://dx.doi.org/10.1155/2014/857292.
Wollmann, C. A. and Galvani, E. (2013). Zoneamento agroclimático: linhas de pesquisa e caracterização teórica-conceitual. Revista Sociedade e Natureza, 25, 179-190. https://doi.org/10.1590/s1982-45132013000100014.
Wrege, M. S., Coutinho, E. F., Pantano, A. P. and Jorge, R. O. (2015). Potencial distribution of olive in Brazil and worldwide. Revista Brasileira de Fruticultura, 37, 656-666. https://doi.org/10.1590/01002945-174/14 .
Yamada, E. S. M. and Sentelhas, P. C. (2014). Agroclimatic zoning of Jatropha curcas as a subside for crop planning and implementation in Brazil. International Journal of Biometeorology, 58, 1995-2010. https://doi.org/10.1007/s00484-014-0803-y.
Zaro, G. C., Ricce, W. S., Caramori, P. H., Carvalho, S. L. C. and Vicentini, M. E. (2014). Agroclimatic zoning for avocado culture in the State of Parana. Revista Brasileira de Fruticultura, 36, 363-372. https://doi.org/10.1590/0100-2945-286/13.
Author notes
*Corresponding author: lucas-aparecido@outlook.com