Artículos/Investigación
EFICIENCIA DEL TRANSPORTE PÚBLICO EN LA CIUDAD DE MORELIA, MICHOACÁN (MÉXICO) EN EL AÑO 2015: UN ANÁLISIS DE LA ENVOLVENTE DE DATOS1
PUBLIC TRANSPORT EFFICIENCY IN THE CITY OF MORELIA, MICHOACÁN (MEXICO) IN THE YEAR 2015: A DATA ENV ELOPMENT ANALYSIS
EFICIÊNCIA DO TRANSPORTE PÚBLICO NA CIDADE DE MORELIA, MICHOACÁN (MÉXICO) NO ANO 2015: UMA ANÁLIS E ENVOLVENTE DE DADOS
EFICIENCIA DEL TRANSPORTE PÚBLICO EN LA CIUDAD DE MORELIA, MICHOACÁN (MÉXICO) EN EL AÑO 2015: UN ANÁLISIS DE LA ENVOLVENTE DE DATOS1
Revista Facultad de Ciencias Económicas: Investigación y Reflexión, vol. XXV, núm. 2, pp. 7-23, 2017
Facultad de Ciencias Económicas Universidad Militar Nueva Granada
Recepción: 16 Julio 2016
Aprobación: 30 Septiembre 2016
Resumen: Este artículo es el resultado de una investigación que se realiza para conocer el nivel de eficiencia del transporte público en la ciudad de Morelia, Michoacán (México) en el año 2015, abarcando las 46 rutas de colectivo urbano que circulan en la ciudad. Para ello se utilizó la metodología del Análisis de la Envolvente de Datos (DEA), llevando a cabo el cálculo de la Eficiencia Técnica Global mediante el modelo de Charnes, Cooper y Rhodes (CCR), la Eficiencia Técnica Pura con el modelo de Banker, Charnes y Cooper (BCC), y la Eficiencia de Escala (EE). Los resultados se obtuvieron a partir de las variables unidades, horas, frecuencia, viajes y kilómetros recorridos. Con los resultados obtenidos se pudo observar que la eficiencia técnica global estuvo determinada por la eficiencia de escala, donde se tuvo en promedio un nivel de eficiencia de 0,93 y la mayor parte de las unidades operaron bajo rendimientos crecientes.
Palabras clave: Transporte colectivo, Eficiencia, DEA, México.
Abstract: This article is the result of an investigation to know the efficiency level of public transport in the city of Morelia, Michoacán (Mexico) in 2015, covering the 46 urban bus routes that circulate in the city. In order to do so, the methodology of Data Envelopment Analysis (DEA) was used, carrying out the calculation of Global Technical Efficiency using the Charnes, Cooper and Rhodes (CCR) model, Pure Technical Efficiency with the Banker model, Charnes and Cooper (BCC), and Scale Efficiency (EE). The results were obtained from the variables units, hours, frequency, trips and kilometers traveled. With the results obtained, it was observed that the global technical efficiency was determined by the efficiency of scale, where an efficiency level of 0.93 was obtained on average and most of the units operated under increasing returns.
Keywords: Collective transport, Efficiency, DEA, Mexico.
Resumo: Este artigo é o resultado de uma pesquisa que se realiza para conhecer o nível de eficiência do transporte público na cidade de Morelia, Michoacán (México) no ano 2015, abarcando as 46 rotas de coletivos urbano que circulam na cidade. Para isso se utilizou a metodologia da Análise Envolvente de Dados (DEA), realizando o cálculo da Eficiência Técnica Global mediante o modelo de Charnes, Cooper e Rhodes (CCR), a Eficiência Técnica Pura com o modelo de Banker, Charnes e Cooper (BCC), e a Eficiência de Escala (EE). Os resultados obtiveram-se a partir das variáveis unidades, horas, frequência, viagens e quilômetros percorridos. Com os resultados obtidos pôde ser observado que a eficiência técnica global esteve determinada pela eficiência de escala, onde se teve em média um nível de eficiência de 0,93 e a maior parte das unidades operaram sob rendimentos crescentes.
Palavras chave: Transporte coletivo, Eficiência, DEA, México.
1. Introducción
El transporte público colectivo es un eje importante para la planeación y gestión de ciudades, ya que se ha consolidado como un servicio que atiende a un gran número de personas, es por ello que el transporte es un tema que requiere de estudio, innovación e intercambio constante de informaciones entre los actores involucrados (Rojas y Mello, 2005).
El transporte público no solo es una necesidad para las ciudades medianas y grandes, por tener bajo costo en su infraestructura y un menor consumo de espacio físico, sino también porque además el transporte público asegura una posibilidad real de acceso para todas las personas. Se puede decir que actualmente los desplazamientos urbanos constituyen, para los habitantes de una ciudad, un elemento muy importante en su vida cotidiana, no solo por el tiempo que se pasa en ellos para satisfacer sus necesidades de tener acceso al trabajo, a los comercios, a los entretenimientos, sino que va formando parte de un verdadero derecho al transporte (Molinero & Sánchez, 1998).
Morelia es la ciudad más extensa y poblada del estado de Michoacán con una población de 762,431 y para cumplir con la demanda de transporte público, el Estado cuenta con 10 modalidades de este tipo de transporte (COCOTRA, 2015); siendo la modalidad de colectivo urbano el más utilizado por los habitantes de esta ciudad.
Para el año 2015 en el estado de Michoacán se encontraron registradas 4,517 unidades de colectivo urbano y en la capital del Estado se encuentra la mayor concentración de estas unidades con 2,045 en circulación (COCOTRA, 2015).
El servicio de transporte público en la ciudad es parte fundamental para el desarrollo económico del Estado, ya que emplea un aproximado de 6,500 personas entre conductores, operadores en las bases de cada ruta y operadores en los diferentes puntos de la ciudad que se encargan de marcar los tiempos de retraso entre las unidades y de monitorear su tiempo de recorrido.
El objetivo de esta investigación es conocer qué tan eficiente fue el servicio de transporte público en la ciudad de Morelia, Michoacán en el año 2015 y la hipótesis de trabajo es que la eficiencia técnica del transporte público estuvo determinada por la eficiencia de escala con rendimientos crecientes.
La presente investigación está estructurada en 7 apartados, el primero es la introducción, el segundo apartado describe el transporte público colectivo y las políticas públicas del transporte, el tercer apartado muestra las bases teóricas de la eficiencia así como la metodología del Análisis de la Envolvente de Datos, en el cuarto apartado se presentan el modelo DEA para medir la eficiencia del transporte colectivo en Morelia; en el quinto apartado se muestran los resultados, en el sexto apartado se encuentran las conclusiones y finalmente en el séptimo apartado se presenta la bibliografía utilizada.
2. Transporte público colectivo
En la actualidad los desplazamientos urbanos son un elemento muy importante en la vida cotidiana de los habitantes de una ciudad, no solo por todo el tiempo que se pasa en las unidades para satisfacer sus necesidades de transportarse a las diferentes actividades, sino también porque dicho servicio es parte de un derecho que todos los individuos tienen (Gutiérrez, 2005).
El transporte público asegura una posibilidad real de accesibilidad por su bajo costo en infraestructura es por ello que se ha convertido en una necesidad básica para las ciudades ya sean grandes o pequeñas. En diferentes ciudades del mundo se han realizado estudios en cuanto a la movilidad urbana los cuales han arrojado que más de un 50% del total de la población de una ciudad no puede poseer un automóvil. En países en vías de desarrollo se puede observar de manera más directa que este tipo de población representa un porcentaje mayor, por tal motivo estas personas recurren a utilizar el servicio de transporte público. En la mayoría de las ciudades del mundo dicho servicio se da por empresas privadas que operan en una red de líneas, conectando múltiples orígenes y destinos (De Rus, 1991).
En México la prestación de los servicios de transporte es obligación del Estado. Sin embargo, los sistemas de transporte son considerados como actividades privadas que se realizan a través de un contrato. Dichos contratos establecen un convenio entre los transportistas, quienes están obligos a trasladar personas o cosas de un lugar a otro mediante el pago de un precio pactado y por el gobierno quien se encarga de regular este servicio.
Para que un servicio pueda considerarse público debe cumplir con cuatro características primordiales (Molinero & Sánchez, 1998).
Satisfacer una necesidad que sea de carácter colectivo.
Que implique la acción de una personalidad pública.
Que el servicio beneficie al público en general. d) Estar sujeto a un régimen de derecho público. El transporte público urbano es considerado el medio más importante que influye en el desarrollo urbano de las ciudades que le permite a la población que habita en las colonias marginales las herramientas necesarias para poder desplazarse a lo largo de una ciudad, implicando así la dotación de un transporte público eficiente para el desarrollo de la vida cotidiana de la población (Arango et al.,2012).
Los resultados de un estudio previo (Figueroa & Carrión, 2001) reportaron que son muchos los factores que no permiten que exista una buena cobertura de los servicios de transporte público formales entre ellos se encuentran la accesibilidad, las condiciones de infraestructura y equipamiento en los barrios apartados, lo que conlleva a desarrollar servicios precarios de transporte público, informales o ilegales, que ofrecen mayor agilidad y facilidad para atender la demanda que se tiene, con mayor rapidez para acceder a las áreas centrales desde los barrios más alejados, pero son unidades que ponen en riesgo la integridad del usuario al no cumplir con los requerimientos de las autoridades.
El sistema de transporte ha llegado a tales magnitudes que hoy en día resulta imposible contar con estudios actualizados de permitan conocer la cantidad de vehículos, rutas, itinerarios y otros elementos con los que se pretende atender la demanda, la cual no se conoce con la precisión y exactitud que se requiere para lograr la eficiencia. Lo anterior resulta muy importante al momento de evaluar el funcionamiento del servicio (Islas, 1991).
En el Estado de Michoacán el principal problema es que el servicio de transporte no cumple con los requerimientos de los usuarios, “normalmente un usuario satisfecho aspira salir de su origen, caminar lo menos posible hasta la parada, esperar y trasladarse en el menor tiempo posible, contar con vehículos seguros y confortables, que los conductores estén capacitados para manejar con prudencia, así como también esperan pagar una tarifa razonable y adecuada al servicio que están recibiendo, del cumplimiento de estos lineamientos depende que el servicio de transporte público urbano sea un servicio eficiente y de calidad para los usuarios” (Molinero & Sánchez, 1998).
Es importante estudiar la eficiencia del servicio de transporte público para conocer cuáles son los principales factores que hacen que este servicio sea ineficiente y así poder implementar estrategias y políticas públicas para el mejoramiento del servicio.
La ciudad de Morelia tiene serios problemas en la prestación del servicio, comenzando con el gran número de unidades que se encuentran en circulación, ocasionando con esto que la autoridad no tenga un registro real de todas las unidades que circulan, al igual es muy notable que sin importar los riesgos que conlleva las unidades que prestan el servicio de transporte público siempre traen un sobrecupo, provocando así que algunos usuarios se trasladen de pie dentro de las unidades. Otro problema que aqueja el servicio es que no se respetan las paradas, ni por parte de los usuarios ni por parte de los operadores del servicio. Estos problemas se presentan principalmente porque las autoridades competentes no regulan el servicio de forma adecuada.
En el 2007 la Comisión de las Comunidades Europeas señalo que los ciudadanos esperan que el transporte público satisfaga sus necesidades desde el punto de vista de la calidad, la eficacia y la disponibilidad del servicio. Para que el transporte público colectivo sea atractivo para las personas tiene que ser accesible, frecuente, rápido, fiable y cómodo. Pero la mala calidad, la lentitud y la falta de fiabilidad del transporte público son un obstáculo para el cambio modal del transporte privado al público. Para las partes interesadas en el servicio, no se presta suficiente atención a la comodidad de las unidades, al igual faltan soluciones de transporte público.
Molinero & Sánchez (1998) opinan que el transporte público urbano de pasajeros es considerado como un servicio primordial para la comunidad por ser un servicio que utilizan millones de personas en el mundo, este servicio es básico e importante y puede definirse como el enlace entre las personas y el lugar en el que estas personas quieren o necesitan estar. Para que este servicio sea eficiente debe considerarse el nivel de satisfacción de todos los actores que tanto directa como indirectamente contribuyen en este servicio tales como los usuarios, comunidad, gobierno, conductores y concesionarios.
La importancia del transporte urbano en las grandes urbes deriva de su capacidad para gestar una serie de actividades que mueven la economía de todos los que participan en ella y facilita la movilidad de las personas contribuyendo con su desplazamiento (Arango et al., 2012).
El transporte público colectivo (TPC) se ha consolidado como un eje importante para la planeación y gestión de ciudades. Por ser un servicio que atiende a la mayoría de la población, el transporte es un tema que requiere de estudio, innovación e intercambio constante de información entre los diferentes actores involucrados. Las ciudades de los países en desarrollo, al no contar con abundantes recursos económicos tienen el gran desafío de aprender de las soluciones implementadas en diferentes geografías (Rojas & Mello, 2005).
En 2008, Navas expresó que el transporte público es necesario para desplazarse a lo largo de las ciudades al igual constituye el medio motorizado que representa menores costos para los usuarios y cuyo impacto en el medio ambiente es relativamente bajo con respecto al transporte privado, ya que con el uso de este servicio se disminuyen los automóviles particulares. Del mismo modo, el transporte público determina el acceso de los individuos a los diferentes espacios de la ciudad, especialmente de aquellos con niveles de ingreso bajos que no tienen la posibilidad de tener carro propio estableciendo una relación directa entre transporte, equidad y desarrollo económico urbano.
2.1. Políticas públicas para el transporte
Las políticas de transporte que se implementan tienen que dar respuesta a los requerimientos que tienen los ciudadanos. Las necesidades de desplazamientos no son únicas ni genéricas, al contrario, dependen de las características colectivas e individuales de los ciudadanos. Las políticas públicas deben adaptarse a estos diferentes perfiles y contemplarlos de forma singular. Para Miralles & Frontera (2003) las necesidades de las mujeres, de los niños o de las personas mayores tienen poco espacio en los diseños de estas políticas públicas, lo que causa verdaderas situaciones de exclusión social.
Es importante transmitir a la opinión pública los costes reales de la movilidad, según los distintos medios de transporte que se utilizan, tanto si estos son asumidos por la colectividad como por los individuos. Es necesario que los ciudadanos perciban la realidad de los transportes desde la óptica de los gastos, ya que sin este ejercicio de pedagogía política la percepción ciudadana respecto a este tema resulta muy distorsionada (Miralles & Frontera, 2003).
El sistema de transporte público tiene que operar de manera eficiente y ser planificado de manera integral, considerando todos los sectores con los que hay influencia recíproca. De ese modo se alcanzaría no sólo el objetivo último de traslado de un lugar a otro, sino que se promovería la estructuración del tejido urbano según una planificación estratégica, junto con el desarrollo integral de la sociedad, el ambiente y la economía (Martínez & Valle, 2011).
La Asociación Internacional de Transporte Público (UITP) ha considerado entre los ejes fundamentales del transporte sostenible el suministro de un transporte de pasajeros público o colectivo afianzado en el paradigma de la sostenibilidad que refleja los objetivos de igualdad social, integridad ecológica y bienestar humano, independiente de la época o de la situación (González & Vidrio, 2011).
La UITP considera que una movilidad urbana debe enfocarse en tres pilares fundamentales, un uso de suelo que incorpore las necesidades de movilidad, la restricción del uso del vehículo privado y la promoción de un sistema de transporte eficaz. En este sentido, la movilidad gira, esencialmente, a favor del desarrollo humano y su entorno y debe ser entendida como una necesidad básica que permite acceder al trabajo, los mercados, la educación, la sanidad, otros servicios primarios y el ocio. La conformidad de un sistema de transporte público adecuado es, hoy en día, uno de los ejes fundamentales para garantizar de forma efectiva el derecho a una movilidad apropiada de conjunto con las demás esferas de la política urbanística (tránsito y vialidad, asentamientos humanos, infraestructura, medio ambiente, etc.) (González & Vidrio, 2011).
En las ciudades, el cambio a un transporte menos contaminante se ve facilitado por una menor necesidad de autonomía de los vehículos y por la densidad demográfica más elevada. Hay una disponibilidad mucho mayor de opciones de transporte público, y existe también la posibilidad de ir caminando o en bicicleta. Las ciudades son las que más padecen de congestión, mala calidad del aire y exposición al ruido (Dirección General de Movilidad y Transporte, 2011).
Estudios realizados por la Dirección General de Movilidad y Transporte (2011) han determinado que el transporte urbano es responsable de casi una cuarta parte de las emisiones de CO2 originadas por el transporte, y el 69 % de los accidentes de circulación se producen en las ciudades. La eliminación progresiva de los vehículos de propulsión convencional en el entorno urbano es una contribución fundamental a una reducción significativa de la dependencia del petróleo, las emisiones de gases de efecto invernadero, la contaminación atmosférica local y la contaminación acústica. Tendrá que estar complementado por el desarrollo de infraestructura adecuada para que los nuevos vehículos puedan repostar combustible o cargar sus baterías.
Del mismo modo la Dirección General de Movilidad y Transporte (2011) ha encontrado que una proporción mayor de desplazamientos realizados con transporte colectivo, combinada con unas obligaciones de servicios mínimos, permitiría incrementar la densidad y frecuencia del servicio, generando con ello un círculo virtuoso para los modos de transporte público. La gestión de la demanda y la ordenación territorial pueden reducir los volúmenes de tráfico. Una parte integrante de la movilidad urbana y del diseño de infraestructuras debe centrarse en facilitar los desplazamientos a pie y en bicicleta.
3. Eficiencia a través de la Envolvente de Datos
En una perspectiva de largo plazo, la eficiencia implica la maximización del beneficio y la minimización del coste. En el corto plazo, los productores eficientes pueden obtener beneficios extraordinarios cuando el precio del producto es mayor que su coste medio (Arzubi & Berbel, 2002).
La eficiencia también es un concepto relativo, que se obtiene por comparación con otras alternativas disponibles, considerando los recursos empleados en la consecución de los resultados; en el caso de la actuación de una empresa, se puede indicar que una empresa es económicamente eficiente cuando es capaz de producir un producto a un menor costo que con el costo que conlleva producirlo con el resto de las alternativas existentes en el mercado. Cada empresa elige la combinación de insumos que le permite obtener su producción de bienes y servicios. La evaluación de cómo una empresa consigue su producción se realiza con la medición de su eficiencia productiva (Hormazábal, 2003).
La metodología del Análisis Envolvente de Datos (DEA) (por sus siglas en inglés, Análisis Envolvente de Datos) calcula una medida de eficiencia máxima para cada unidad de negocios que constituye el objeto de estudio con relación a todas las otras unidades de la población considerada, observándose que cada unidad de toma de decisiones yace sobre o por debajo de la frontera de eficiencia (Bernaola, et al., 2011).
El método desarrollado por Farrell (1957) para la medición de la eficiencia productiva se basa en un conjunto de posibilidades de producción que consta de la envolvente convexa de los vectores de outputs-inputs. Este conjunto de posibilidades de producción se representan por medio de una unidad de frontera isocuanta. De acuerdo con esa especificación y el hecho de que las medidas de eficiencia de Farrell sean completamente basadas en datos, no hay forma funcional específica de que sean predefinidos.
Este método es considerado no-paramétrico porque no requiere la especificación de una forma funcional para la frontera, ni de la existencia de un término de perturbación, por ello es considerado determinístico en tanto no está permitido que exista algún corrimiento de la frontera, lo que proporciona que haya gran flexibilidad operativa. Aunque este método se puede considerar bueno, también tiene sus desventajas, una de estas es que la frontera es soportada por un subconjunto de observaciones llamadas eficientes debido a esto existe gran probabilidad de que existan “outliers”. Otra desventaja es que cualquier unidad que se aparte de la frontera es considerada ineficiente, por lo que se debe tratar de minimizar los errores de medición en las variables.
Farrell dividió a la eficiencia en eficiencia técnica y eficiencia asignativa. La combinación de ambas eficiencias provee una medida de la eficiencia económica, la cual significa que la sociedad debe maximizar en términos dinámicos sus beneficios a partir de los escasos recursos que posee. De tal manera que la eficiencia económica es considerada como el logro de la máxima producción al menor costo posible.
El modelo DEA se basa en un conjunto de posibilidades de producción que consta de la envolvente convexa de los vectores de outputs-inputs. Este conjunto de posibilidades de producción se representan por medio de una unidad de frontera isocuanta. De acuerdo con esa especificación y el hecho de que las medidas de eficiencia de Farrell sean completamente basadas en datos, no hay forma funcional específica de que sean predefinidos.
El uso de la técnica DEA se ha enfocado al campo de la producción para la medición de la eficiencia o, en su caso, para proporcionar las estimaciones necesarias sobre la productividad. En este sentido, la definición de eficiencia utilizada en el modelo está dada por (Navarro, 2005):
Eficiencia = Total de salidas / Total de entradas
De manera más general la eficiencia puede definirse como:

O formalmente:

Donde E representa la eficiencia, xi, y yi son las entradas y salidas respectivamente, mientras que los parámetros uiy vi muestran las importancias relativas de cada uno de los parámetros.
La eficiencia puede ser caracterizada con relación a dos orientaciones básicas (García et. al. 2003).
a) Los modelos output orientados, que buscan, dado el nivel de inputs, el máximo incremento proporcional de los outputs permaneciendo dentro de la frontera de posibilidades de producción. En este sentido una entidad no puede ser caracterizada como una eficiencia si es posible incrementar cualquier output sin incrementar ningún input y sin disminuir ningún otro output.
b) Los modelos input orientados, que persiguen la máxima reducción proporcional en el vector de inputs mientras permanece en la frontera de posibilidades de producción. Una entidad no es eficiente si es posible disminuir cualquier input sin alterar sus outputs.
La elección de una u otra depende de las características del análisis que se quiere realizar, así como del sector que se analiza. Aquellos sectores cuyas DMUs tengan poca capacidad de control sobre los inputs, se deberán analizar bajo la orientación al output, mientras que si lo que se quiere evaluar son sectores donde el objetivo es controlar los costes, los modelos deberán estar orientados al input. Con ambos modelos se calcula la misma frontera, por lo que cada DMU será clasificada como eficiente o ineficiente independientemente del modelo. La única diferencia estriba en los valores de la eficiencia, que pueden variar ligeramente, dando clasificaciones similares, pero no exactamente iguales (Jorda, 2012)
El propósito de estos modelos radica en construir una frontera de posibilidades de producción noparamétrica, que envuelva los datos y que permita identificar a las unidades de toma de decisión (DMUs) que la determinan, es decir, que funcionan eficientemente (Becerril et. al., 2011).
3.1. Eficiencia Técnica
La literatura sobre la eficiencia técnica tiene su origen en los primeros años de la década de los 50´s con Koopmans (1951: p. 460) quien lo define como “un vector compuesto por inputs y outputs será técnicamente eficiente si es tecnológicamente imposible aumentar un producto sin que se reduzca simultáneamente otro producto o reducir un input sin que simultáneamente se incremente otro input”, y la primera medida de la eficiencia técnica es propuesta por Debreu (1951) y Shephard (1953), aunque con diferente orientación (output e input, respectivamente).
La eficiencia técnica se logra si se alcanza el coste mínimo de obtener un nivel dado de producción o servicio, con una combinación dada de factores de producción (orientación input). Una definición alternativa sería el logro del máximo producto o servicio con un coste dado originado por una combinación específica de factores (orientación output). El punto esencial, y que la distingue de la eficiencia asignativa, es que se parte de una proporción concreta de factores cuyo coste se minimiza o cuya producción se maximiza. La combinación de factores puede variar, por ejemplo, si se utiliza una nueva tecnología, pero su proporción no varía a causa de los precios y de las productividades marginales (que es el caso de la eficiencia asignativa). En este sentido puede decirse que la eficiencia técnica se fija en las cantidades y no en los valores. Es un concepto tecnológico que se concentra básicamente en los procesos productivos y en la organización de tareas (Sancho, 2003).
Esta eficiencia refleja si los recursos son explotados al máximo de su capacidad productiva o no. Es decir, si hay capacidad detenida de los factores productivos, de igual forma muestra si están siendo usados estos factores al cien por ciento (Cachanosky, 2012).
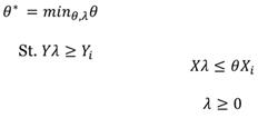
3.1.1.Modelo DEA con Rendimientos Constantes a Escala
El estudio de Farrell (1957) se complementa con los trabajos de Charnes, Cooper & Rhodes (1978), que partían de rendimientos constantes a escala (CRS), de forma tal que un cambio en los niveles de inputs conlleva a un cambio proporcional en el nivel del output, el cual requiere tantas optimizaciones como unidades de decisión (DMU).
En la mayor parte de las aplicaciones DEA, el modelo que más emplean en la medición de eficiencia es de la forma envolvente.
La fórmula para este modelo con orientación input es la siguiente:

Donde θ indica la distancia en inputs a la envolvente de datos, es decir la medida de eficiencia. X es la matriz de inputs, Y es la matriz de outputs, λ es el vector de pesos o intensidades, representan los valores de inputs y outputs respectivamente (Delfín & Navarro, 2014).
3.1.2.Modelo DEA con Rendimientos Variables aEscala
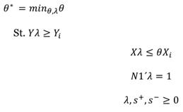
Posteriormente, Banker, Charnes & Cooper (1984) extendieron el modelo original para incluir rendimientos variables a escala (VRS). Considerando que diversas circunstancias como la competencia imperfecta, las restricciones en el acceso a fuentes de financiación, etc., pueden provocar que las unidades no operen a escala óptima. Por lo que al programa lineal original se le agrega una restricción.
Este modelo propone una modificación al programa lineal original con rendimientos a escala constantes a la cual se le agrega una restricción: N1´λ=1. De tal manera que el modelo de rendimientos variables a escala (VRS) siendo el modelo con orientación input queda de la siguiente manera:

La unidad evaluada será calificada como eficiente, según la definición de Pareto-Koopmans, si y solo si en la solución óptima θ* = 1 y las variables de holguras son todas nulas, es decir
(Delfín & Navarro, 2014)
3.2. Eficiencia de Escala
A partir de la propuesta de Banker, Charnes & Cooper (1984), se pudo descomponer a la eficiencia técnica global en eficiencia pura y eficiencia de escala. Para poder realizarlo se deben calcular los dos modelos: rendimientos contantes a escala (CRS) y rendimientos variables a escala (VRS) con los mismos datos, si existe una diferencia para las dos mediciones para una DMU en particular, entonces significa que esa DMU posee ineficiencia de escala y que el valor de ineficiencia es la diferencia entre la medición CRS y VRS.
La Eficiencia Técnica Global (ETG) puede ser descompuesta en Eficiencia Técnica Pura (ETP) y Eficiencia de Escala (EE).
Por lo tanto la ETG = ETP * EE EE= (CCR) / (BCC)
Donde:
CCR = Rendimientos Constantes a Escala
BCC = Rendimientos Variables a Escala
Los rendimientos a escala que muestran los incrementos de la producción que son resultado del aumento de todos los factores de producción en el mismo porcentaje, pueden ser constantes, crecientes o decrecientes (Coll & Blasco, 2006):
Rendimientos constantes a escala: cuando el incremento porcentual del output es igual al incremento porcentual de los recursos productivos.
Rendimientos crecientes a escala (o economías de escala): se dice que la tecnología exhibe este tipo de rendimientos cuando el incremento porcentual del output es mayor que el incremento porcentual de los factores”.
Rendimientos decrecientes a escala (o deseconomías de escala): cuando el incremento porcentual del output es menor que el incremento porcentual de los inputs.
3.3. Análisis Slacks
Para que una DMU alcance la eficiencia, en algunos casos, no basta con la reducción proporcional de inputs, o incremento de outputs. Se tiene que hacer reducción adicional de inputs, o incremento adicional de outputs, que ya no es proporcional (radial). Estos ajustes complementarios en los inputs (exceso de input) o en los outputs (déficit de output) se conocen conjuntamente como slacks (Jordá, 2012).
El análisis slacks en la metodología DEA, proporciona la dirección en la cual se tienen que mejorar los niveles de eficiencia de las llamadas unidades de toma de decisión DMUs. Es así como un valor output slacks representa el nivel adicional de outputs que se necesitan para convertir una DMU ineficiente en una DMU eficiente. Asimismo, un valor input slack representa las reducciones necesarias de los correspondientes inputs para convertir una DMU en eficiente (Navarro, 2005).
Las coordenadas de la proyección sobre la frontera eficiente representarán los valores inputs y outputs objetivo para la unidad ineficiente, es decir, los niveles input y output que la convertirían en eficiencia en caso de alcanzarlos. Es así que la comparación entre los valores observados para la unidad evaluada y los valores objetivo fijados permite establecer la cuantía, en términos absolutos o relativos (porcentajes de mejora potencial), de la reducción input y/o incrementar output que esta debería tratar de promover para convertirse en eficiente (Coll & Blasco, 2006).
4. Medición de la eficiencia del transporte público de la ciudad de Morelia, Michoacán mediante el Análisis Envolvente de Datos (DEA)
Para medir la eficiencia del transporte público, se construyen 2 modelos DEA: el primero con rendimientos constantes a escala (CRS) y el segundo con rendimientos variables a escala (VRS) y con estos dos modelos se calcula la eficiencia de escala. Se utiliza la orientación output ya que se busca maximizar los outputs (viajes por ruta y kilómetros recorridos) dado una cantidad de inputs. Para poder realizar el análisis se comienza seleccionando la muestra de estudio que serán las unidades de decisión.
La muestra seleccionada consta de 46 rutas que prestan el servicio de colectivo urbano en la ciudad de Morelia. A continuación se detalla cada una de las rutas, dicha información proviene de las propias compañías operadoras del servicio en la ciudad.

4.1. Selección de inputs y outputs
La selección de variables se hizo en función de las variables utilizadas en lo estudiado en la revisión literaria y con base en los resultados de cálculos realizados preliminarmente.
Los inputs y outputs quedaron definidos de la siguiente manera:
Inputs
Número de unidadesEs el número total de unidades en circulaciónFrecuencia del servicioTiempo transcurrido en minutos entre el paso de dos unidadesHoras de servicioNúmero total de horas en las que se presta el servicio por díaOutputs
ViajesEs el número de recorridos que cada unidad da en su circuito por díaKilómetrosKilómetros que recorre cada unidad en su circuitoSe tuvieron que descartar algunas variables ya que no se contaba con información disponible. Entre las variables descartadas se encuentra el costo de peaje, ya que el costo era el mismo para todas las rutas, la variación de dicha variable solo se daba por año. Al hacer las primeras pruebas considerando el costo de peaje provoco que la mayoría de las rutas salieran eficientes, por lo que se optó por descartarla. Otras variables que no se pudieron utilizar en el estudio fueron: el número de pasajeros y la recaudación por vehículo, esto se debe a que era un dato muy variable por día y por ruta por lo cual no se podía tener un dato exacto de cuantos pasajeros se transportaban en un día y al no contar con esta información, resultó prácticamente imposible saber cuánto recaudaba cada vehículo en un día.
4.2. Técnicas de Recolección de Datos
La recolección de datos se hizo a través de consultas al servicio público del transporte en Morelia y a través las entrevistas. Una vez obtenida la información se procesó en el programa Excel. La información recolectada consiste en una serie de indicadores actualizados del transporte público.
Para la obtención del número de unidades de transporte colectivo del Estado de Michoacán se consultó el Dictamen de Oferta y Demanda del Servicio de Transporte Público en las Modalidades contenidas en la Ley de Comunicaciones y Transportes del Estado (2014), el cual es publicado en el periódico oficial del Estado.
Para obtener información de las demás variables, se diseñó un cuestionario que se aplicó a los operadores del servicio de transporte público en la ciudad de Morelia, realizándoles preguntas de tipo abiertas. Dicha información disponible solo para el año 2015.
Para obtener los kilómetros que recorren las unidades en su circuito, se buscó un mapa que contuviera los recorridos de cada ruta y con ayuda del programa Google Earth Pro se diseñó el recorrido de cada una y así se obtuvo el número exacto de kilómetros que recorren.
Los datos recolectados fueron procesados mediante el programa Efficiency Measurement System (EMS), este programa mide la eficiencia a través del Análisis Envolvente de Datos (DEA) el cual se desarrolló más adelante.
5. Resultados
Los resultados muestran que en promedio el transporte colectivo urbano en Morelia no fue eficiente. El promedio de la eficiencia técnica global fue de 0.707702, el de la eficiencia técnica pura de 0.761245 y el que estuvo más cerca de obtener el nivel óptimo (1.0), fue la eficiencia de escala, obteniendo una puntuación de 0.937138 (véase tabla 2). Lo que hace notar que aunque muchas unidades están operando a una escala óptima de producción, no están utilizando eficientemente los insumos. A continuación se describe los resultados obtenidos en cada modelo.
5.1. Modelo DEA con Rendimientos Constantes
En los cálculos realizados se puede observar que de las 46 rutas solo cinco son eficientes, las cuales son: Café 1-A, Gris 1, Gris 2, Gris 4 y Verde 3.
La eficiencia promedio en este modelo es de 0.707702 y las rutas que se encuentran por arriba de esta puntuación son: Gris 1, Gris 2, Gris 4, Verde 3, Café 1-A, Verde 1, Verde 2, Rosa 2-B, Rosa 3, Guinda 1, Gris 3, Azul C, Café 1, Oro Verde, Amarilla 2. Aquellas rutas que se encuentran por debajo de esta puntuación se pueden considerar más ineficientes.
5.2. Modelo DEA con Rendimientos Variables
Utilizando el modelo DEA con rendimientos variables las rutas que resultaron eficientes son: Café 1-A, Coral 2-A, Gris 1, Gris 2, Gris 4, Guinda 1, Guinda 2, Oro Verde, Verde 2 y Verde 3.
La eficiencia promedio en este modelo es de 0.761245y las rutas que se encuentran por arriba de esta puntuación son: Gris 1, Gris 2, Gris 4, Verde 3, Café 1-A, Verde 1, Verde 2, Rosa 2-B, Rosa 3, Guinda 1, Gris 3, Azul C, Café 1, Oro Verde, Amarilla 2, Coral 2, Naranja 1, Roja 1, Morada 2, Roja 3-A.
5.3. Eficiencia de Escala
En los resultados obtenidos en la eficiencia de escala las rutas eficientes son: Gris 1, Gris 2, Gris 4, Verde 3, Café 1-A, Verde 1, Verde 2, Rosa 2-B, Rosa 3, Guinda 1, Gris 3.
En la siguiente tabla (2) se muestran los resultados obtenidos en la medición de la eficiencia de escala, esta eficiencia se obtiene calculando los dos modelos CRS y VRS y la diferencia entre ambos es el resultado de la eficiencia de escala. Los resultados están ordenados de mayor a menor.

La eficiencia promedio en este modelo es de 0.937138 y las rutas que se encuentran por arriba de esta puntuación son: Gris 1, Gris 2, Gris 4, Verde 3, Café 1-A, Verde 1, Verde 2, Rosa 2-B, Rosa 3, Guinda 1, Gris 3, Azul C, Café 1, Oro Verde, Amarilla 2, Coral 2, Naranja 1, Roja 1, Morada 2, Roja 3-A, Guinda 2, Azul A, Café 2-B, Rosa 2, Crema 2-A, Amarilla 1, Azul B, Café 2, Morada 1, Roja 3-B, Roja 3, Coral 2-A, Negra.
Los rendimientos a escala pueden ser constantes, crecientes o decrecientes.
Los resultados arrojaron que las rutas eficientes con rendimientos constantes son las rutas: Gris 1, Gris 2, Gris 4, Verde 3, Café 1-A, Verde 1, Verde 2, Rosa 2-B, Rosa 3, Guinda 1 y Gris 3. Lo cual quiere decir que el incremento porcentual de los outputs es igual al aumento porcentual de los inputs.
Las rutas con rendimientos crecientes son: Azul C, Café 1, Amarilla 2, Coral 2, Naranja 1, Café 2, Morada 1, Naranja 2, Roja 2 Oken, Rosa 1, Coral 1, Roja 2, Naranja 3 Erandeni, Crema 2, Naranja 3 Galaxia, Crema 1, Verde 4 y Roja 4-M, en este caso el incremento porcentual de los outputs es mayor que el incremento porcentual de los factores.
Por último las rutas con rendimientos decrecientes son: Oro Verde, Roja 1, Morada 2, Roja 3-A, Guinda 2, Azul A, Café 2-B, Rosa 2, Crema 2-A, Amarilla 1, Azul B, Roja 3-B, Roja 3, Coral 2-A, Negra, Roja 4 y Verde 4-B, en estas rutas el incremento porcentual de los outputs es menor que el incremento porcentual de los inputs.
En la siguiente tabla se detallan los niveles de eficiencia técnica global, eficiencia técnica pura y eficiencia de escala obtenidos con la metodología DEA, los resultados están ordenados de la ruta más eficiente a la menos eficiente. Se consideran eficientes aquellas rutas que obtuvieron una puntuación de 1, y como ineficientes aquellas que se encuentran por debajo de 1. Todas las rutas que se encuentran más alejadas de 1 se consideran más ineficientes.
La diferencia de las rutas ineficientes en los modelos radica en que para la imposición de una restricción para el modelo de rendimientos variables a escala implica que el conjunto de referencia para la entidad considerada está más cerca. De este modo se asegura que un agente sea comparado con otros de tamaño similar. Una característica del modelo de rendimientos variables a escala es que los puntajes encontrados son iguales o superiores a los del modelo de rendimientos constantes a escala, debido a que la entidad se está comparando con agentes eficientes aún cuando no lo sean en términos de escala. De este modo, una entidad podría ser comparada con otras que no necesariamente son eficientes a escala pero con tamaños similares, lo que resultaría un tamaño mayor (Romeu, 2011).
Otro aspecto importante de este tipo de modelos es que permite la descomposición del índice de eficiencia técnica global en eficiencia técnica pura y eficiencia de escala. Para que una entidad pueda ser considerada eficiente en el modelo de rendimientos constantes a escala debe tener eficiencia técnica pura y eficiencia de escala. Las rutas eficientes en el modelo de rendimientos variables a escala, son eficientes porque aprovechan al máximo sus recursos a diferencia de la eficiencia de escala, estas unidades son eficientes porque están trabajando a una escala óptima. Si una entidad es eficiente en el sentido de rendimientos constantes a escala entonces será eficiencia tanto a escala como técnicamente, por lo que su eficiencia de escala será igual a 1 (Romeu, 2011).
5.4. Análisis Slacks
Como se mencionó en el análisis slacks este análisis nos sirve para saber en qué dirección deben reducirse los inputs y en la que deben aumentar los outputs para convertir las DMUs ineficientes en eficientes.
Con los resultados obtenidos tenemos que las rutas Amarilla 1, Café 2, Café 2-B, Coral 2, Crema 1, Gris 3, Naranja 3 Erandeni, Naranja 3 Galaxia, Roja 2, Roja 2 Oken y Rosa 2 deben disminuir sus unidades circulando en la ciudad 2, 3, 12, 1, 10, 16, 18, 13, 8, 6 y 1 unidades respectivamente.
En cuanto al input horas, las rutas Amarilla 2, Coral 1, Crema 2, Crema 2-A, Gris 3, Morada 1, Morada 2, Naranja 1, Naranja 2, Naranja 3 Erandeni, Naranja 3 Galaxia, Negra, Roja 1, Roja 3, Roja 3-A, Roja 3-B, Roja 4, Roja 4-M, Rosa 1, Rosa 3, Verde 4 y Verde 4-B deben disminuir sus horas en las que duran haciendo el circuito completo para poder ser más eficientes en 0.45, 0.37, 1.56, 1.12, 1, 0.04, 0.47, 0.03, 0.33, 1.92, 1.8, 1.09, 1.54, 0.2, 0.28, 0.2, 0.84, 0.46, 0.15, 0.3, 0.45 y 0.39 hrs en ese orden.
En el caso del input frecuencia, las rutas Coral 2, Crema 2, Crema 2-A, Naranja 3 Erandeni, Naranja 3 Galaxia, Negra, Roja 3, Roja 3-A, Roja 3-B, Roja 4-M, Verde 1, Verde 4 y Verde 4-B deben disminuir su tiempo de salida entre cada unidad en 0.3, 3.74, 2.09, 1.15, 1.41, 0.41, 0.2, 0.05, 0.19, 0.67, 0.29, 4.85 y 3.54 respectivamente.
Por lo que se refiere a los outputs las rutas Azul C, Café1, Café 2-B, Gris 3, Rosa 2-B, Rosa 3 y Verde 1 deben incrementar el número de viajes de cada unidad: 2, 1, 2, 1, 1, 0.32 y 0.17 unidades respectivamente y las rutas Amarilla 1 y Naranja 1 deben aumentar los kilómetros en 1.89 y 3.17 respectivamente.

6. Conclusiones
En esta investigación se calculó la eficiencia técnica con rendimientos constantes y eficiencia técnica con rendimientos variables, así como también el cálculo de la eficiencia de escala, todos los modelos con orientación output. Para el cálculo se utilizaron como DMUs las 46 rutas de colectivo urbano de la ciudad, como inputs se establecieron las unidades, las horas y la frecuencia y como outputs los viajes y los kilómetros.
De acuerdo a los resultados obtenidos se puede determinar que la eficiencia de escala fue la que más incidió en la eficiencia técnica global al tener la eficiencia de escala un promedio global de eficiencia de 0.937138 y la eficiencia técnica pura un promedio de 0.761245.
De las 46 rutas que se tienen, las rutas que obtuvieron eficiencia técnica pura, eficiencia técnica global y eficiencia de escala fueron la Café 1-A, Gris 1, Gris 2, Gris 4 y Verde 3. Por lo que hay un alto número de rutas ineficientes.
Con este análisis se puede concluir que el servicio de transporte en la ciudad es ineficiente en su mayoría aplicando los tres modelos.
Por otra parte el análisis slacks sirvió para saber en qué dirección reducir los inputs y en qué cantidades, del mismo modo en qué medida aumentar los outputs. El análisis arrojo que las horas de servicio fue la variable que más afecto el nivel de eficiencia del servicio de transporte público de la ciudad de Morelia, Michoacán en el año 2015, esto debido a que un total de 22 rutas presentan un exceso en este input, a diferencia del número de unidades y la frecuencia del servicio en donde son alrededor de 11 rutas las que presentan un exceso en estos inputs. Este análisis nos ayuda a identificar en donde se debe prestar principal atención para lograr el nivel óptimo del servicio.
La hipótesis se cumple ya que se pudo comprobar que la eficiencia técnica del transporte público estuvo determinada por la eficiencia de escala con rendimientos crecientes.
En el Estado de Michoacán no se cuenta con políticas públicas para el transporte, es un servicio que se encuentra organizado por los concesionarios y no por la autoridad competente. Por un lado los concesionarios se reúsan tajantemente a realizar cambios en los servicios que prestan y por el otro el gobierno no ha invertido en infraestructura vial que permita tener mejores condiciones viales para desempeñar un servicio adecuado para la sociedad. Es por ello que se da una propuesta para mejorar dicho servicio, y poder lograr que los usuarios puedan acceder a un servicio de calidad.
Entre las propuestas establecidas para mejorar dicho servicio se encuentra:
aumentar la longitud de los viajes, que permitan tener una mayor cobertura atendiendo colonias alejadas del centro histórico,
mejorar la frecuencia y las horas de funcionamiento del servicio en la que los usuarios no tengan que esperar un lapso largo de tiempo por una unidad de transporte,
modernizar la infraestructura, creando estaciones y paraderos,
actualizar los estándares de verificación vehicular en los programas ya existente,
nuevo diseño de la distribución y recorridos de las rutas.
Con estas recomendaciones se pretende bajar los niveles de ineficiencia que presenta el servicio de transporte urbano de la ciudad de Morelia, Michoacán.
7. Referencias
Arango, M., Martínez, J. & Martínez, A. (2012). Las TIC en el transporte público Urbano y su impacto en la reducción de la marginación en las colonias: Los Ángeles y Nazareno del Municipio de Xoxocotlán, Oaxaca.
Arzubi, A. & Berbel, J. (2002). Determinación de índices de eficiencia mediante DEA en explotaciones lecheras de Buenos Aires. Investigaciones Agrárias: Producción y Sanidad Animales, 17 (1-2): 103-123.
Banker, R., Charnes, A. & Cooper, W. (1984). Some models for estimating technical and scale inefficiencies in Data Envelopment Analysis. Management Science, 1078-1092.
Becerril, O., Licea, G. & Hernández, J. (2011). Eficiencia técnica del sector agropecuario de México: Una perspectiva de análisis envolvente de datos. Economía, (31): 85-110.
Bernaola, G., Giraudo, M., & Martínez, H. (2011). Análisis por envoltura de datos para determinar eficiencias en una empresa constructora de resistencia-chaco. Ciencias básicas en ingeniería. (5): 62-71
Cachanosky, I. (2012). Eficiencia técnica, eficiencia económica y eficiencia dinámica. Procesos de Mercado: Revista Europea de Economía Política. 9 (2): 51-80
Charnes, A., Cooper, W. & E. Rhodes , (1978), Measurement the Efficiency of Decision Making Units en European Journal of Operational Research. (2): 429-444.
Coll, V., & Blasco, O. M. (2006). Evaluación de la eficiencia mediante el análisis envolvente de datos. Valencia: Juan Carlos Martínez Coll. Universidad de Valencia.
Comisión Coordinadora del Transporte Público del Estado de Michoacán (COCOTRA), (2015). Información. Disponible en: http://www.cocotra.michoacan.gob.mx/
Delfín, O. & Navarro, J.C. (2014). La eficiencia de los puertos en México. Morelia, ININEE-UMSNH.
Debreu, G., (1951), The Coefficient of Resource Utilization. Econometrica. 19 (3): 273-292 .
De Rus, G. (1991). Análisis del Mercado de servicios de transporte público en España: costes, demanda, precios y nivel de calidad. Investigaciones Económicas (Segunda época), XV, (2): 229-247.
Dirección General de Movilidad y Transporte (2011). Libro blanco del transporte. Hoja de ruta hacia un espacio único europeo de transporte: Una política de transportes competitiva y sostenible. Luxemburgo.
Farrell, M. J. (1957). The measurement of productive efficiency. Journal of the Royal Statistical Society. Series A (General), 120, (3): 253-290.
Figueroa, O. & Carrión, F. (2001). Políticas de desarrollo y políticas de transporte urbano. Coherencias y contradicciones. La ciudad construida. Urbanismos en América Latina. Quito: FLACSO.
García, J., Serrano, V. & Roa, A. (2003). Competitividad y eficiencia. Estudios de Economía Aplicada, 21 (3): 423-450.
González, A. & Vidrio, M. (2011). Evaluación del diseño e instrumentación de la política de transporte público colectivo de pasajeros en el Distrito Federal. Consejo de Evaluación del Desarrollo Social del Distrito Federal. Gobierno del Distrito Federal.
Gutiérrez, A. (2005). Transporte público y exclusión social. Reflexiones para una discusión en Latinoamérica tras la década del 90. XIIICLATPU, Lima. Tema III, capítulo, 12.
Hormazábal, R. (2003). Fronteras de Eficiencia, Metodología para la determinación del Valor Agregado de Distribución, Pontificia Universidad Católica de Chile.
Islas, V. M. (1991). Efectos de la subvención, la regulación y las formas de propiedad del transporte colectivo urbano sobre su eficiencia y calidad: el caso de Ciudad de México. Comisión Económica para América Latina y el Caribe.
Jorda, P. (2012). Metodología de evaluación de la eficiencia de los servicios de autobús urbano: Aplicación a las grandes ciudades españolas en el periodo 2004-2009. Departamento de Ingeniería Civil: Transportes.
Koopmans, T. (1951). Efficient allocation of resources. Econometrica: Journal of the Econometric Society, 455-465.
Ley Federal de Comunicaciones y Transporte del Estado de Michoacán, (2014). (http://transparencia.congresomich.gob.mx/media/documentos/trabajo_legislativo/Ley_de_Comunicaciones_y_ Transportes_del_Estado_de_Michoac%C3%A1n.pdf).
Martínez, L. E. & Valle, J. N. (2011) Transporte Público: Una mirada desde la Ciencia Política. Publicado en la Plataforma de información para políticas públicas de la Universidad Nacional de Cuyo. Disponible: http://www.politicaspublicas. uncu.edu.ar/articulos/index/transporte-publico-una-miradadesde-la-ciencia-politica.
Miralles, C. & Frontera, A. C. (2003). Movilidad y transporte: opciones políticas para la ciudad. Fundación Alternativas.
Molinero, M. & Sánchez, A. (1998). Transporte público: planeación, diseño, operación y administración (3a edición) México, D.F.
Navarro, J.C. (2005) La eficiencia del sector eléctrico en México. Universidad Michoacana de San Nicolás de Hidalgo, Editorial Morevallado.
Navas, A. (2008). Políticas de transporte público urbano: Lecciones desde la experiencia de Transantiago. Papel Político. Estudio Bogotá, Colombia, 159-189.
Rojas, F. & Mello, C. (2005). El transporte público colectivo en Curitiba y Bogotá. Brazil, Revista UIS Ingenierías. 21: 106-115
Romeu, A. I. (2011). Eficiencia técnica. Su medición. Universidad Central “Martha Abreu” de las Villas. Santa Clara. Facultad de Ciencias Económicas. Departamento de Economía.
Sancho, J. (2003). La evaluación de la eficiencia en las Universidades Públicas Españolas. X JornadaAsociación de Economía de la Educación.
Shephard, R., (1953), Cost and Production Functions. Princeton University Press, Princeton
Notas