Artículos/Investigación
El ajuste de cuentas como un mecanismo para corregir contratos criminales
Reckoning as a Mechanism to Correct Criminal Contracts
O acerto de contas como mecanismo para corrigir acordos criminososs
El ajuste de cuentas como un mecanismo para corregir contratos criminales
Revista Facultad de Ciencias Económicas: Investigación y Reflexión, vol. XXVIII, núm. 1, pp. 67-88, 2020
Facultad de Ciencias Económicas Universidad Militar Nueva Granada
Recepción: 27 Agosto 2019
Aprobación: 20 Abril 2020
Resumen: El propósito central de este trabajo es modelar el ajuste de cuentas como el resultado de la interacción entre un jefe de una organización criminal (principal) y su subordinado (agente), bajo un contexto de información asimétrica. Se muestra que el ajuste de cuentas es un mecanismo elegido por el principal para corregir la conducta oportunista del agente. Este análisis permite entender por qué, en el mundo criminal, las puniciones fatales son un elemento fundamental para mantener el orden y la obediencia.
Palabras clave: ajuste de cuentas, alianzas criminales, contrato criminal, teoría de agencia, punición, letalidad.
Abstract: This paper aims to model reckoning as the result of the interaction between the head of a criminal organization (principal) and his/her subordinate (agent) in a context of asymmetric information. Reckoning is shown to be a mechanism chosen by the principal to correct the agent's opportunistic behavior. This analysis allows understanding why fatal punishments are fundamental to maintaining order and obedience in the criminal world.
Keywords: reckoning, criminal alliances, criminal contract, agency theory, punishment, lethality.
Resumo: O objetivo principal deste trabalho é demonstrar o acerto de contas como o resultado da intera- çao entre um chefe de uma facçao criminosa (principal) e seu subordinado (agente), sob um contexto de informaçao assimétrica. É apresentado que o acerto de contas é um mecanismo escolhido pelo principal para corrigir o comportamento oportunista do agente. Esta analise permite entender por que, no mundo criminal, as puniçôes fatais sao um elemento fundamental para manter a ordem e a obediência.
Palabras-chave: ajuste de contas, alianças criminais, acordo criminal, teoria da agência, puniçao, letalidade.
Introducción
De acuerdo con el Banco Mundial (2016) y la Oficina de las Naciones Unidas contra la Droga y el Delito (UNODC, 2019), el crimen organizado por sí solo es el culpable del 19% de todos los homicidios ocurridos en 2017. En América Latina, la cifra ronda el 30%. Arjona y de la Calle (2016) muestran cómo en la región hay una gran incidencia de grupos que utilizan la violencia para controlar territorios, establecer liderazgos de facto, crear instituciones informales y sublevar poblaciones. Estos hechos parecieran sugerir que los altos niveles de violencia en la región pueden estar explicados por prácticas de confrontación y retaliación letal entre individuos, grupos u organizaciones ilegales. Desde nuestra visión, la relevancia del tema de estudio está no solo en la violencia per se que generan este tipo de estructuras criminales, sino en las consecuencias, también violentas, que genera la interacción entre organizaciones del crimen organizado, que ven en el ajuste de cuentas un mecanismo para corregir conductas no esperadas en sus contratos.
La literatura económica sobre el crimen se ha centrado, principalmente, en discutir la decisión individual de entrar a la ilegalidad desde un marco general, desarrollado a partir de una oferta disponible de actividades ilegales (Becker, 1968; Ehrlich, 1975; Paternoster, 1987; Cornwell y Trumbull, 1994; Fajnzylber, Lederman y Loayza 1999; Corman y Mocan, 2000; Doyle, 2008; Pinotti, 2015 y 2017). Apenas una pequeña parte se centra en estudiar qué ocurre en el interior de las organizaciones, en términos de sus elecciones, una vez se está inmerso en la ilegalidad. En ese campo se destacan los estudios que buscan explicar las dinámicas internas de las organizaciones criminales como problemas de información a través de modelos de teoría de agencia (Naylor, 2003; Abbink, Masclet y Mirza 2018; Gutiérrez, 2004; Guáqueta, 2003; Castillo, et al. 2014; Salazar, Caicedo y Castillo, 2015; Castillo y Balbinotto, 2017; Acemoglu et al., 2018).
En esa dirección, este trabajo se centra en modelar, desde un marco teórico conceptual de la teoría de agencia, la interacción entre un jefe (principal) y un subordinado (agente), con conflicto de intereses, en una organización criminal. Bajo este enfoque es posible explicar la existencia del ajuste de cuentas como un mecanismo que intenta corregir, de parte del principal, la conducta oportunista del agente en un contexto de información asimétrica. Se pretende mostrar que ante la existencia de saldos, definidos como cuentas pendientes que se generan por una desviación en la conducta del agente (violación, traición o el no cumplimiento de reglas previamente establecidas), el principal recurre al ajuste de cuentas, que no es más que la aplicación de sanciones (mediante ejecuciones o cualquier otro método ilegal), como un mecanismo coercitivo y correctivo en el sentido criminal, en un escenario en el que el principal no tiene control o poder de monitoreo sobre las decisiones del agente. Esto permite avanzar hacia el entendimiento de por qué en el mundo criminal las puniciones fatales son un elemento clave para mantener el orden, y por qué, en muchas ocasiones, las acciones de terceros (como ataques militares, capturas y bajas en los altos mandos, entre otras) terminan extrapolando y agudizando la colisión violenta entre estas organizaciones.
Con este trabajo se intenta contribuir, primero, a la discusión de la naturaleza de las sanciones aplicadas en la ilegalidad y alianzas criminales, sobre todo aquellas celebradas entre grupos con diferencias claras en su capacidad y letalidad para materializar sus amenazas contra sus subordinados. Segundo, poder, desde el Estado, crear mecanismos que contraviertan este tipo de conductas de las organizaciones criminales.
Finalmente, estudiar de esta manera el contrato criminal resulta útil en situaciones como la colombiana, para entender las razones por las cuales las estructuras criminales continúan evolucionando y agudizando el fenómeno de violencia sistemática, a pesar de las diferentes estrategias del gobierno para debilitarlos (acciones militares, capturas de altos capos que se han celebrado en distintos momentos del tiempo) que siguen siendo poco eficaces.
El documento está dividido de la siguiente manera: primero, se presenta una visión general de los homicidios y particularidades de los grupos colombianos que usan el ajuste de cuentas como una forma de castigo ejemplarizante. Segundo, se hace una revisión de la literatura sobre la economía del crimen y aplicaciones de la teoría de la agencia, en un contexto de ilegalidad. Tercero, se plantea el estudio de lo ocurrido entre el grupo político Esperanza, Paz y Libertad, el Ejército Popular de Liberación (EPL), las Fuerzas Armadas Revolucionarias de Colombia (FARC) y las Autodefensas Unidas de Colombia (AUC) y los Grupos Posdesmovilización Paramilitar (GDP o bacrim), como ejemplos donde se evidencia ruptura de alianzas. Cuarto, se propone el modelo teórico de subordinación criminal en el marco de la relación de agencia entre un jefe (principal) y su subordinado o aliado (agente). Quinto, se presenta una simulación numérica del contrato. Finalmente, se plantean algunas consideraciones a manera de conclusión.
Contexto general
Según el último reporte de homicidios a nivel mundial de la Oficina de las Naciones Unidas Contra la Droga y el Delito (2019), se estima que, en 2017, alrededor de medio millón de personas murieron de forma violenta en el mundo. Estas muertes ocurrieron en un 37.4% en América, un 35.1% en África, 22.5% en Asia, 4.7% en Europa y 0.2% en Oceanía. Los homicidios de tipo doloso1 son cometidos en su mayoría, con armas de fuego (Figura 1), y se estima que de cada siete muertes que se presentan en el mundo, una corresponde a un joven entre los 15 y 29 años de edad, que fue asesinado por una organización criminal en el continente americano (UNODC, 2019).

El Observatorio de Crimen Organizado, InSight Crime (2018), reafirma que América Latina tiene graves problemas de violencia homicida de tipo doloso (Figura 2), y que su principal causa se asocia a la presencia, aumento y diversificación de grupos criminales que terminan colisionando debido a rupturas.

De acuerdo con el Centro de Memoria Histórica (CMH, 2013), el problema de la violencia surge como producto de acciones intencionales que se inscriben, en su mayoría, en estrategias criminales grupales o individuales, usadas como mecanismos para mantener el orden y la credibilidad del negocio.
En Colombia, el fenomeno de las retaliaciones y alianzas entre grupos o miembros de grupos criminales no es nuevo. De acuerdo con el Centro de Recursos para el Analisis de Conflictos - Cerac (2014), en el país las organizaciones criminales que tienen la capacidad para ocasionar o causar daño, a mediana o gran escala, buscan desarrollar conexiones con aquellos individuos o grupos de base que consideran pueden ser letales en las acciones (Figura 3), como el asesinato o las masacres.

Varios de los problemas sociales en el país (masacres, desplazamientos, secuestros, asesinatos selectivos, desapariciones forzadas, ejecuciones extrajudiciales, entre otros más) se deben en un elevado porcentaje a la enemistad natural o a al del número de asesinatosrselectivoslatribuidos al ansitorias con úmero de municipios que regis traron presencias del que terminan institucionalizando una estructura de violencia y muerte que, coloquialmente, se denomina “ajustes de cuentas”.
Algunas de las alianzas más reconocidas fueron realizadas territorialmente por algunos frentes de las Fuerzas Armadas Revolucionarias de Colombia -FARC-EP, con el Ejército Popular de Liberación-EPL, las Autodefensas Unidas de Colombia-AUC (reconocidas como Bandas Criminales -bacrim tras su desmovilización) y el consolidado Clan del Golfo (o Úsuga) catalogado como la banda criminal más poderosa del país. A estas alianzas se suman los procesos de tercerización con pandillas de las comunas de Medellín (‘Los Mondongueros', ‘El Pesebre', ‘La Oficina del Doce', ‘Los Chatas' y ‘Pachelly') y de Cali (El Tiempo, 2014; InSight Crime, 2014; El Tiempo, 2016; 2018; La Silla Vacía, 2018; El Colombiano, 2019). Del mismo modo, se resaltan las alianzas pactadas entre el Estado colombiano (fuerzas militares y policías) y figuras irregulares como las Cooperativas de Vigilancia y Seguridad Privada para la autodefensa agraria (Convivir), y grupos armados de extrema derecha al margen de la ley como los paramilitares (El Colombiano, 2011; 2015; InSight Crime, 19 de enero de 2018; 14 de marzo, de 2018).
Muchas de las alianzas celebradas que se presentan en la Figura 4 se han fracturado y colisionado entre sí, desembocando en olas de violencia con afectación a terceros. El informe general del Centro de Memoria Histórica -cmh (2013) habla de unos 23.161 homicidios selectivos entre 1981 y 2012 provocados por la interacción entre estos grupos.

Más allá de las consecuencias que genera la existencia de organizaciones criminales, se debe también considerar lo que tiene lugar con la fractura o ruptura de alianzas entre ellas. De ahí la necesidad de profundizar por qué, a partir de las acciones (puniciones) letales elegidas por las organizaciones ilegales como mecanismos correctivos de ciertas conductas relacionadas con la traición y el oportunismo, se termina agudizando aún más la historia de violencia que experimenta Colombia y que comprometen su institucionalidad en el naciente periodo de postconflicto (InSight Crime, 2018).
Estado del arte
Es importante señalar que la literatura sobre la naturaleza de la violencia en Colombia es abundante (Fals Borda, 1985; Guzmán, 1990; Gutiérrez, 2004; Kalyvas y Arjona, 2009; Camacho, 2002; Guáqueta, 2003; Pécaut, 2003; Nasi y Rettberg, 2005; Guzmán, Fals Borda y Umaña 2005; Zuleta, 2010; Valencia, 2011; Palacios, 2012). Sin embargo, no existen muchas referencias sobre el fenómeno de ajuste de cuentas, salvo los trabajos de Camacho y Guzmán (1990), Spierenburg (1998) y Ordóñez (2017), quienes han abordado las dinámicas de violencia en el país tejidas alrededor de la tensión entre grupos criminales, principalmente entre bandas organizadas y pandillas.
Su contribución principal está en la distinción sistemática que hacen entre venganzas y ajustes de cuentas. Las venganzas son consideradas en la categoría de ser meramente pasionales, pues en el contexto criminal estas aparecen como respuestas a las “deudas de honor” o “crímenes de sangre”, distinguiéndolas del ajuste de cuentas, relacionado más con la rentabilidad y eficiencia del negocio. En el “ajuste de cuentas”, la punición se da únicamente por el incumplimiento de un contrato o la violación de alguna regla por parte de la víctima en contextos de ilegalidad.
A partir de aquella distinción, centramos la discusión en conocer el papel que juega la falta de información entre grupos criminales y sus eventos de desconfianza y violencia, para dividir la revisión de la literatura en dos secciones. La primera comprende los trabajos desarrollados a partir de la tesis de Becker (1968), en la que se plantea el comportamiento criminal como una decisión económica. En la segunda sección, se exploran aquellos trabajos que se enmarcan dentro de la teoría del principal-agente, que abarcan temas contractuales y de expectativas, en el contexto de la ilegalidad, ligados más al concepto de organización criminal expuesto por Fiorentini y Peltzman (2010).
Los trabajos sobre el costo y beneficio de la relación criminalidad-legalidad se centran en la decisión individual de cometer un crimen frente a las posibles penas que podrían enfrentar, en la tradición de Becker (1968). Esta línea de investigación plantea cómo la participación en el crimen es el resultado de una optimización realizada por el individuo, sujeta a los pagos esperados de la actividad criminal, los costos, la probabilidad de aprehensión y la severidad del castigo. En esa misma línea se inscribe el trabajo de Ehrlich (1975), que señala dos cuestiones importantes en el análisis económico de la decisión individual criminal. La primera es que, quien decide cometer el crimen, es de cierto modo sensible al tipo de castigo implementado (o a implementar), y la segunda, que las expectativas de un criminal responden a una ponderación de diferentes escenarios -la legalidad versus su antagonista-tras evaluar sus probabilidades de éxito o fracaso.
Desde lo empírico, están los trabajos de Paternoster (1987), Cornwell y Trumbull (1994), y Corman y Mocan (2000), quienes estiman la relación entre la tasa de homicidios y el mayor castigo, “la ejecución”, al que se puede someter a un criminal. Sin embargo, los resultados obtenidos no son muy concluyentes y en cambio resaltan “la inefectividad de la severidad de las leyes o el castigo” (Corman et al., 2000, 17). Hasta este punto, es notorio observar que, desde el marco general del crimen (beckeriano), es difícil explicar cómo interactúan los individuos que deciden entrar a la criminalidad, pues casi todos los trabajos que se desarrollan bajo este enfoque apoyan la formulación de políticas públicas centradas en disminuir la tasa de criminalidad (más precisamente la de homicidios) por medio de medidas que afecten el comportamiento de los potenciales criminales, pasando por alto la condición idiosincrásica distintiva de algunos de ellos.
Más adelante, esta cuestión llevó a que Fearon (1995) evidenciara (para el conflicto árabe-israelí) que, bajo condiciones de información incompleta frente al poder relativo de los actores en conflicto, existían acuerdos en los que estos preferían de manera bilateral iniciar una pelea arriesgada y costosa, lo que sugiere que las retaliaciones pueden ser el resultado de respuestas racionales a los cambios en los pagos esperados por los individuos.
Así, más adelante, Abbink (2000) incorpora como línea de acción las sanciones al análisis económico del comportamiento criminal individual y grupal, considerando un marco decisorio con coordinación, expectativas, confianza, aceptación, reputación, amenaza y castigo, permitiéndose estudiar cómo el individuo actúa o cambia sus decisiones en la presencia de amenazas, para demostrar la importancia en el comportamiento individual de la incertidumbre que genera la probabilidad de acciones punitivas.
Schulze y Frank (2003) y Olken (2007) consideran la interacción grupal en espacios que abren paso al engaño y su detección, encontrando (en el tema de la corrupción y el soborno) que las recompensas de los individuos pareciesen responder a los medios de coerción, evidenciando que una vez intensificados los mecanismos para detectar engaños (y comprobarlos) las recompensas provenientes del grupo tienden a disminuir.
En este marco, los problemas de incompatibilidad de incentivos trazados por estos dos últimos trabajos son conocidos en la literatura como “riesgo moral”, concepto desarrollado ampliamente en el marco de la teoría de la información asimétrica, siendo este un problema inherente a grupos con fuertes estructuras jerárquicas, en que es más factible que los individuos, como por ejemplo los miembros de grupos criminales, adopten un comportamiento oportunista.
Ahora bien, la literatura desarrollada en el marco de la teoría de la agencia y la conducta criminal es relativamente nueva. Se destacan como pioneros los trabajos en el campo del terrorismo (Shapiro, 2008; 2012; 2013; Spaniel, 2015), en el uso de la violencia unilateral contra la población civil de parte de organizaciones criminales (Schneider, 2012; Schneider, Banholzer y Albarracin, 2015; Schneider, Banholzer y Haer, 2010; Spaniel, 2015) y en la mafia (Gates, 2002). A nivel local están las investigaciones de Castillo et al. (2014) y Salazar, Caicedo y Castillo (2015), quienes exponen el comportamiento criminal como una relación contractual entre grupos ilegales colombianos (algunos con mayor capacidad que otros), de modo que en esos casos las retaliaciones, las desviaciones y los problemas de incompatibilidad de incentivos son entendidos como problemas de riesgo moral y presencia de información asimétrica.
Vale la pena resaltar el trabajo de Acemoglu et al. (2018) sobre los falsos positivos en los que se modela la conducta criminal de algunos militares incentivados económicamente, desde la perspectiva de principal-agente.
Los detonantes detrás del comportamiento criminal en entornos ilegales y hostiles son mucho más difíciles de identificar. Todos los eventos violentos, bajo la categoría de ajuste de cuentas resultante de una relación contractual en el escenario de la ilegalidad, parecieran estar determinados por el rompimiento de la confianza y de la no aceptación de los términos que rige esa relación criminal, más que por la presencia per se de incentivos económicos. Esto puede explicar por qué el tema sea tan poco explorado en la literatura económica, en comparación con otras temáticas en las que se identifica claramente el papel de tales incentivos en la toma de decisiones individuales.
Así mismo, es necesario resaltar que en la literatura económica hay poca exploración de las sanciones que se aplican en el ámbito ilegal, por lo que el presente trabajo pretende contribuir a su discusión.
Metodología
La propuesta y resultados se presentan en tres pasos. Primero, se plantea como caso de estudio lo ocurrido entre el grupo político Esperanza, Paz y Libertad, el Ejército Popular de Liberación (EPL), las Fuerzas Armadas Revolucionarias de Colombia (FARC) y las Autodefensas Unidas de Colombia (AUC) en la década de 1990, cuestión que permite ilustrar cómo la ruptura de alianzas con (y entre) grupos criminales llevó a la aplicación del ajuste de cuentas como mecanismo correctivo. Lo anterior se hace mediante la recolección de los hechos publicados en fuentes documentales y periodísticas, y el procesamiento de la base de datos sobre masacres del Centro de Recursos para el Análisis de Conflictos (Cerac, 2014). Segundo, se presenta un modelo teórico que refleja la relación contractual entre un jefe y su subordinado en un contexto criminal con información asimétrica, bajo el enfoque analítico del modelo del principal agente, a partir de los trabajos de Gintis (2000) y Castillo y Balbinotto (2017). Tercero, se evalúa el equilibrio del modelo mediante una simulación numérica del contrato, en Wolfram Mathematica.
Caso de estudio: el EPL, las FARC y las bandas criminales (bacrim)
Analizar el caso colombiano permite evidenciar una prevalencia del fenómeno de retaliación causado por traiciones o alejamiento de los objetivos establecidos en el contrato criminal. En la base de datos sobre masacres del Centro de Recursos para el Análisis de Conflictos (Cerac) se pueden identificar al menos 34 episodios de ajustes de cuentas por fracturas contractuales entre los distintos grupos criminales que podrían ser útiles para apoyar lo propuesto por este documento, sin desconocer que pueden ser muchos otros factores adicionales los que pueden haber ocasionado ese rompimiento de sus alianzas.
Vale la pena destacar que estos casos son importantes por el momento histórico en el que se presentaron, a saber, entre 1980 y 2010, el periodo en que el que país empezó a recurrir a procesos políticos para disuadir las dinámicas de la violencia organizada. De igual forma, sobresale el hecho de que en estos eventos participaron los actores armados ilegales que mayor presión ejercen (o han ejercido) en los territorios colombianos (Ducan, 2004; Chambers, 2013).
La Figura 5 y la Tabla 1 exponen la cantidad de acciones punitivas identificadas para cada grupo criminal. Los puntos diagonales muestran la fractura interna del contrato criminal entre facciones de estos grupos, de modo que entre más intenso sea el color en la figura, mayor será el número de eventos atribuidos al ajuste de cuentas. Usamos estos casos como una ilustración que ayude a entender los alcances del modelo presentado sin pretender que constituyan su evidencia empírica. La comprobación empírica del modelo sería un trabajo a desarrollarse en el futuro.


Se puede observar, entonces, que se presentan 17 episodios de fractura interna en los que el ajuste de cuentas es utilizado como respuesta a una traición (es importante notar que las FARC-EP ya desaparecieron como grupo armado después de la firma del proceso de paz en 2016). De igual manera, se debe subrayar que los grupos más propensos al ajuste de cuentas (bien sea para activar o recibirlo) hasta ese momento fueron las FARC-EP, el EPL y los Paramilitares o Autodefensas. En estos grupos, los frentes o bloques en los que se dividían las organizaciones tomaban decisiones de manera autónoma en función de las condiciones del territorio en el que operaban y, en algunas ocasiones, realizaban ciertas alianzas que parecían imposibles con otros grupos ilegales, porque eran necesarias para la supervivencia misma de estas organizaciones.
Un caso de esos es el del Ejército Popular de Liberación (EPL). Hacia finales de los noventa (1994-1997), sufrieron una ruptura contractual en su interior que terminó en la masacre de 245 exmilitantes del grupo político Esperanza, Paz y Libertad, nombre adoptado tras su desmovilización como grupo armado (El Espectador, 2014). Aquí, la incompatibilidad entre los objetivos trazados por un principal (Ejército Popular de Liberación) y su agente (Esperanza, Paz y Libertad) llevó entonces a la fractura contractual, que tuvo la pena de muerte como el mecanismo punitivo aplicado.
Entre 1967 y 1970, el EPL se consolidó como un grupo guerrillero armado, teniendo gran influencia en las zonas del Alto Sinú, San Jorge, el Bajo cauca a y el Urabá Antioqueño. Para el año 1972, se presentó la crisis interna que comprometió profundamente su estructura y que llevó a la creación de tres disidencias: “Primero de Mayo”, “Tendencia”, y el comando guerrillero “PLA” (en honor a Pedro León Arboleda, fundador del EPL).
Estos eventos, sumados a la captura de cerca de 70 personas, llevaron a un declive del grupo, comprometiendo sus bases ideológicas y llevándolos a las negociaciones con el Gobierno (Villarraga, 2008). En este proceso, cerca del 90% de los combatientes del EPL aceptaron desmovilizarse, dejando las armas y pasando su nombre de guerrilla de “Ejército Popular de Liberación”, a la denominación como movimiento político “Esperanza, Paz y Libertad” en 1991. Sin embargo, esta ruptura contractual no tardaría en pasar factura, pues al poco tiempo las disidencias, entre quienes se encontraban los “hermanos Úsuga”, José Miguel Gil Sotelo, Jesús Ignacio Roldán “Monoleche” y David Mesa Peña “Gonzalo”, se consideraron traicionados por el resto de participantes, por lo que mediante una alianza con las FARC-EP iniciaron la eliminación sistemática de los exmiembros del EPL.
La mencionada ruptura inició el 23 de agosto de 1984 con la firma del proceso de paz con el gobierno nacional, para terminar el 15 de febrero de 1991 con el proceso de desmovilización en cabeza de Bernardo Gutiérrez, uno de sus máximos jefes. Es importante traer a escena que este había pertenecido a las FARC-EP, pero se alejó de este grupo por diferencias con el Secretariado que había dictado su “ejecución” (El Tiempo, 2016).
Con todos estos hechos, y los alejamientos (contractuales) tras diferencias por la entrega de armas, Francisco Caraballo alias “Armando Ramírez”, “Pacho”, “El Negro” o “Lorenzo”, asume como jefe de las disidencias del EPL, realizando ahora una alianza con las FARC-EP, quienes nunca perdonaron “la traición de Gutiérrez”, los Paras y la Coordinadora Guerrillera.
Con esta alianza, se inició entonces la cacería en contra de los desmovilizados participantes del grupo político “Esperanza, Paz y Libertad, en la que se calcula hubo unos 700 muertos. Fue una de las masacres más recordadas, ocurrida en La Chinita en Apartadó, Antioquia, durante el 23 de enero de 1994” (Centro de Memoria Histórica -CMH, 2013).
Otro caso importante en este análisis ocurre bajo un contexto similar pero se refiere más a la alianza entre paramilitares de las Autodefensas Campesinas de Córdoba y Urabá (ACCU) y un frente de las FARC-EP. En esta ocasión, Fidel Castaño tratando de evitar la derrota ante el EPL, buscó contactos con dirigentes del Frente V de las FARC-EP -que influía en el Urabá- y les propuso acuerdos territoriales y militares para reducirlo (Velásquez, 2007).
En este segundo caso, la divergencia entre el principal representado por las ACCU y el agente por Fidel Castaño terminó en que Carlos Castaño, jefe del grupo en ese momento, consideró que Fidel había traicionado los objetivos (ideales) del proyecto que llevaban las autodefensas, por lo que decidió pedirle a alias “Salvador” que matara a su hermano mayor. Luego de esto, Carlos Castaño le tendió una trampa a “Salvador”, asesinándolo ante la presión de una supuesta traición (El País, 2016).
Es notorio ver entonces cómo el rompimiento de las supuestas “lealtades en el negocio” (abarcado como alejamientos a lo largo de este trabajo) conlleva hechos punitivos fatales que van desde expulsiones, ajusticiamientos, degradaciones, hasta llegar a la muerte. Cada vez que los agentes decidieron llevar a cabo la acción de alejarse de los ideales de su jefe (o no acatar), fue porque tenían una expectativa mayor al escenario subyacente de hacerlo, a pesar de exponerse a la opción de ser castigado con el poder coercitivo de su jefe (principal) y de su red criminal.
Modelo de principal agente
En este apartado se modela la relación contractual entre un jefe y su subordinado en un contexto criminal con información asimétrica, bajo el enfoque teórico del modelo del principal agente (Jensen y Meckling, 1976; Gintis, 2000; Laffont y Martimort, 2002; Poblete y Spulber, 2011). Hay dos jugadores, un jefe criminal (L ), que delega a un subordinado (A ) la realización de una actividad ilegal que el jefe criminal no se atreve o no puede llevar a cabo, porque no está en capacidad de hacerlo.
Cuando se pacta ese contrato ilegal, ambas partes inician una relación arriesgada que implica retaliaciones fatales mutuas, conocidas como ajustes de cuentas, cuando los compromisos pactados previamente son incumplidos. El contrato es un acuerdo (verbal o escrito), en el que dos o más partes se comprometen a llevar a cabo una serie de tareas a cambio de unos pagos. Bajo un contexto criminal, suponemos que el contrato es realizado de forma verbal por el carácter secreto de la relación y, además, porque no existe una tercera persona o institución legal que pueda verificar si el contrato se cumple o no. Solo las partes involucradas en el mismo cuentan con un sistema interno de incentivos y castigos (ejecuciones) que buscan impedir las conductas oportunistas de los agentes.
En la esfera de la ilegalidad, el riesgo moral (o acción oculta) nace cuando una de las partes, después de establecido el contrato, adopta ciertas acciones que afectan la valoración inicial de la contraparte, sabiendo que esta última no puede controlarla perfectamente. Desde esta mirada, las acciones que realizan los individuos, grupos u organizaciones que pactan con estructuras criminales, en su papel de agentes, deberán estar vigiladas por los principales para impedir conductas oportunistas o de riesgo moral que pongan en peligro al principal. Sin embargo, en estos escenarios es muy factible que los agentes se desvíen de sus compromisos iniciales porque saben que sus jefes no pueden conocer con precisión si realizan o no las acciones pactadas. Ante esta situación, los jefes se ven en la obligación de implementar mecanismos punitivos letales contra aquellos agentes criminales que no han cumplido, o de emitir amenazas de castigos para disuadirlos de incumplir.
En este contexto la intimidación bajo amenazas juega un papel muy importante, pues busca en el subordinado una retractación ex ante y no una punición ex post, debido a lo costoso que resulta, para el principal, la implementación del mecanismo punitivo. El hecho de detectar una incongruencia de magnitud o monto k, a la que llamaremos nivel de apropiación del producto, en el resultado esperado por el jefe, exige un nivel elevado de certeza para la activación del mecanismo de punición criminal letal. Suponemos que k es un valor positivo, mayor o igual a cero, por lo que representa la apropiación total del producto de parte de A .
El juego inicia cuando el jefe criminal (L ) diseña y propone un contrato verbal al subordinado (A ), que decide si lo acepta o no. Si el agente rechaza el contrato, la interacción entre los dos no ocurre.
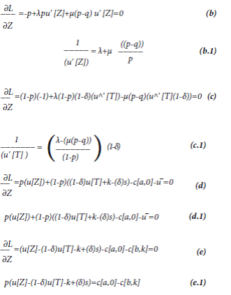
Ahora bien, si el agente decide aceptar el contrato, tendrá que elegir entre (a) hacer lo solicitado por L, siendo leal, o (b) tener un comportamiento oportunista entendido como traición que, para efectos de este trabajo, no es más que la diferencia entre el resultado esperado por el principal y el resultado observado. Si el resultado es diferente al esperado por L , este asume que A ha elegido la segunda opción (b), entonces L deberá contar con los medios que le permitan verificar su conjetura para decidir si aplica la punición (s ).
Es importante tener presente que, bajo este escenario, el agente A al conocer su tipo tiene información privilegiada que no es compartida por L , generando una típica situación de asimetría de información. Esta asimetría, que puede ser explotada por A , puede potencialmente llevar a un resultado letal en el momento en que el resultado observado no sea el esperado. Para A , obtener un pago al final del contrato le significa mayores recursos, que regularmente los orienta a mejorar su reputación en el mercado de la letalidad (Salazar, Caicedo y Castillo, 2015), mientras que tener una punición le implicaría pérdidas de reputación, enfrentamiento y hasta la muerte. Sin embargo, el llevar a cabo la acción a siempre será más costoso que (b), en términos de su esfuerzo, de ahí que el principal debe diseñar el mecanismo adecuado para convencer al agente de elegir (a) sobre (b). La cronología del contrato se describe en la Figura 6.

Subordinado (agente)
Partiendo entonces del planteamiento de Gintis (2000) y Castillo y Balbinotto (2017), se supone un agente A , que elige entre acatar (a) o desviarse (b), de modo que en su función de utilidad se presentará un pago alto (Z ) con costo c[a, 0] cuando decida acatar al píe de la letra las instrucciones de su jefe y un pago bajo (T ) con costo c[b, k] si decide desviarse. Adicionalmente, se presupone que c[a, 0] > c[b, k], de tal forma que a menos que se le diera algún incentivo, el subordinado no querrá hacer a.
En una cuestión de mera expectativa, A establece su utilidad de entrada bajo la probabilidad p de acatar y de no hacerlo (1-p), evaluando variables como la magnitud o monto de apropiación del producto k y el mecanismo fatal de punición s . De esta forma, en el modelo se supone que:
Z es un pago alto que recibe A
T es un pago bajo que recibe A
s es la tasa de castigo que recibe A k es la magnitud o monto de apropiación del producto
c[a, 0] es el costo de acatar lo ordenado por L
c[b, k] es el costo de desviarse de lo ordenado por L
representa la probabilidad de castigo
El problema de información asimétrica surge una vez A toma la decisión de desviarse o acatar, pues si bien este tiene certeza de su decisión, desconoce si será descubierto o no por L . Análogamente, L solo llega a conocer la decisión de A cuando ya ha sido tomada y cuando observa los resultados o consecuencias. El árbol de la interacción entre estas dos partes se muestra en la Figura 7.

Una vez el contrato es ofrecido, A establece su restricción de participación en el contrato, condicionando su utilidad esperada Eu(Z, T) a la utilidad de reserva (ū), , es decir, de lo que podría obtener en una actividad por fuera del contrato. Formalmente, esto es:

En esta restricción de participación, el agente valora y compara los estados de entrar en una relación ilegal de subordinación con L que es capaz de castigarlo de forma letal en caso de incumplimiento, contra un estado en el que esta punición no estaría presente, a pesar de estar en la ilegalidad.
Aquí las valoraciones iniciales que hace cada tipo de agente son diferentes, por tanto, cuando A decide ejecutar la acción de no acatar a su jefe lo hace porque tiene un pago esperado mayor, a pesar de exponerse a la opción de ser castigado por el principal con probabilidad δ.
Por su parte, L sabe que hay dos posibles niveles de beneficios observados, uno alto (IIa) y otro bajo (IIb<IIa), determinados por la conducta de A. La probabilidad de alcanzar un beneficio alto (IIa) es p, mientras que de uno bajo (IIb) es q, de modo que, 0 < q < p < 1.
En el proceso del diseño del esquema de incentivos, A conoce cuáles son los medios verificación que usa L, y sabe, también, que con una mayor probabilidad los usará para orientar un buen resultado. Cualquier L que tenga una función de beneficio creciente preferirá una reputación ganada porque el agente A acata lo que L quiere y no por los castigos que le imponga por su desviación.
L diseña un sistema de incentivos que induzca al A a no desviarse. Ofrece el pago Z o T, si acata o se desvía, respectivamente, sabiendo que estos pagos dependen de la probabilidad de que A sea descubierto por L. Aquí se supone que el costo, para el agente, de no desviarse es mayor al de desviarse. Si el agente decide acatar, espera:

Mientras que si decide desviarse:

Por lo tanto, A elije acatar sobre desviarse, solo si la primera de estas expresiones es al menos tan grande como la segunda, obteniendo asi:

conocida como la restricción de incentivos, que refleja el problema de riesgo moral, de modo que, una vez esta se logra, A decidirá acatar, puesto que no habría razón para que A siendo del tipo que acata, asuma los costos de la decisión de desviarse.
L maximiza sus beneficios dados por:

Sujeto a la restricción de participación

y a la restricción de compatibilidad de incentivos,

El lagrangiano del problema es entonces:

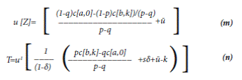
Después de resolverlo algebraicamente, y asumiendo, por simplificación, una utilidad lineal en el ingreso, los valores de Z* y T* que resultan son:


Con base en estos valores se generan los siguientes resultados:
RESULTADO 1
El castigo (s) crece a medida que crece el monto de apropiación del producto (k), dada su relación con la tasa de castigo (δ).

Es importante resaltar que, si bien ante la violación de un acuerdo pareciera muy fácil tomar represalias, castigar es costoso para ambas partes (L y A), por lo que esta acción no constituiría un equilibrio. Cada vez que el δ=0, el castigo tiende a ser muy grande.
RESULTADO 2
La distribución del riesgo dependerá exclusivamente de la valoración de A y L ante los dos escenarios (las pendientes de sus curvas de indiferencia). Las condiciones de primer y segundo orden para A son:

Para evitar complicaciones en el modelo, suponemos que A es neutral al riesgo. En ese caso, L está limitado en la imposición de sanciones para inducir la obediencia en A. Aun así, la repartición del riesgo dependerá exclusivamente de las pendientes de las curvas de indiferencia para llegar a soluciones de esquina, lo cual requiere que:


Lo anterior esboza que, para garantizar el cumplimiento de la restricción de participación, es decir, de participar en la interacción, la utilidad de acatar deberá ser mayor a la esperada por desviarse.
RESULTADO 3
Castigos y magnitud de apropiación del producto en T alteran la restricción de incentivos, puesto que al evaluar la suma de las condiciones de primer orden con respecto a estos parámetros se llegaría a

insertando de esta forma una nueva condicional al modelo. Para garantizar que la restricción de incentivos está activa (p.^0), se requiere que

lo que no implica per se que Z > T, y esta limitante puede generar resultados inadecuados.
Programa de optimización, simulación y aplicación
Con el fin de ilustrar y ayudar a la interpretación de los principales resultados, se emplea una simulación teórica en Wolfram Mathematica que permite modelizar la convergencia hacia un equilibrio con el comando Manipulate. En pocas palabras, este ejercicio permite realizar una descripción de los comportamientos subyacentes a cada estrategia ante distintas configuraciones de sus parámetros: Z es un pago alto y T es un pago bajo que recibe A; s es la tasa de castigo impuesta a A según sea el resultado observado por L; k es el monto de apropiación del producto; c[a, 0] es el costo para A de acatar lo ordenado por L; c[b, k] es el costo para A de desviarse de lo ordenado por L; y δ representa la probabilidad de castigo.
Por motivos de sencillez en el modelo, asumimos que la función de utilidad es lineal en el ingreso y toma la forma de:

Además, se toman como base los valores de la Tabla 2. Y salvo que se indique lo contrario, los resultados que se mencionan en adelante corresponden a valores aleatorios de estos parámetros.

Con estos valores elegidos de forma arbitraria se obtienen los valores de equilibrio expuestos en la Tabla 3. Estos resultados pueden cambiar si los valores elegidos son diferentes.

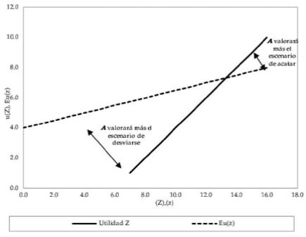
Como primer paso, se determina la restricción de participación e incentivos, y se hallan los pagos de equilibrio (beneficio para L y el pago para A). Seguidamente, se presentan los distintos valores de la probabilidad de castigo 5, para el agente, en la Figuras 8 y 9 respectivamente.


Aquí es importante reconocer que cuando L desea alentar la acción de acatar (a) en A, ambas restricciones deben estar activas, y el óptimo se encontraría en el punto de cruce de estas ecuaciones, mostrando que no se logrará tener una convergencia entre ambas restricciones si la tasa de castigo tiende a cero. Esto muestra la importancia, en la interacción, de la existencia potencial de un castigo para A.
Este primer hecho se explica porque cada vez que A sienta que puede alcanzar una mayor utilidad con la conducta oportunista, lo hará, motivado principalmente porque cree que hay una probabilidad baja de ser descubierto y penalizado (Figura 10). El asunto central aquí es que el agente decidirá qué acción tomar, en función de su ganancia esperada determinada por esa probabilidad. Siempre que la utilidad de desviarse supere la de acatar, el agente tendrá una mayor satisfacción al desviarse de la orden de su jefe.

De acuerdo con estos resultados se puede observar cómo, ante la ausencia de castigo, A tiende a valorar más el desviarse (Figura 11). Este hecho estaría entonces evidenciando por qué hay una alta propensión a que L active los mecanismos fatales en el mercado criminal, pues al parecer una mayor probabilidad de ser descubierto y de ser castigado desincentiva a A y lo inclinan a desviarse de lo pactado.

Conclusiones
El presente trabajo permite analizar, a la luz de la teoría de la agencia, el problema de los ajustes de cuentas como producto de la ruptura de la relación contractual. El modelo propuesto, junto con la simulación, muestran que el ajuste de cuentas usado por las organizaciones criminales puede ser modelado como una relación de agencia en la que, una vez se pacta la contratación entre un jefe criminal y un subordinado, la aparición de saldos, definidos como cuentas pendientes que se generan por una desviación en la conducta del agente, lleva a la implementación de puniciones fatales. A partir de los hechos presentados en los estudios de caso, se podría sugerir la existencia de un mecanismo de ajuste de cuentas asociado a la ruptura, resaltando la necesidad de ahondar más en dicha relación con ejercicios de robustez.
Estudiar estas problemáticas desde un punto de vista teórico permite identificar la naturaleza de episodios de violencia sistemática en el mercado criminal, especialmente en la coyuntura colombiana pues ahora, con la firma del acuerdo de paz con las FARC-EP, muchos de los grupos que han pactado con ellos, no solo en el interior de la organización sino por fuera de ella, podrían sentirse traicionados, y quizás se produzca la activación de mecanismos de punición fatal como el que ocurre actualmente con el llamado grupo disidencias de las FARC.
Referencias
Abbink, K. (2000). Fair Salaries and the Moral Costs of Corruption. Bonn Econ Discussion Papers, Universidad de Bonn, Bonn Graduate School of Economics (BGSE).
Abbink, K., Masclet, D. y Mirza, D. (2018). Inequality and Inter-group Conflicts -Experimental Evidence. Economics Working Paper from Condorcet Center for Political Economy at crem-cnrs 2012-07-ccr, Condorcet Center for Political Economy. doi: https://doi.org/10.1007/s00355-017-1089-x
Acemoglu, D., Fergusson, L., Robinson, J., Romero, D y Vargas, J. (2018). The Perils of High-Powered Incentives: Evidence from Colombia's False Positives. American Economic Journal: Economic Policy (Forthcoming)
Arjona, A. y de la Calle, L. (2016). Conflicto, violencia y democracia en América Latina. Política y Gobierno, 23(1), 5-9. Recuperado de http://www.scielo.org.mx/pdf/pyg/v23n1/1665-2037-pyg-23-01-00005.pdf
Banco Mundial. (2016). Stop the Violence in Latin America: A Look at Prevention. Washington: doi:10.1596/978-1-4648-0664-3. doi: https://doi.org/10.1596/978-1-4648-0664-3
Becker, G. S. (1968). Crime and Punishment: An Economic Approach. Journal of Political Economy, 76, 169. doi: https://doi.org/10.1086/259394
Bronfenbrenner, U. (1979). The ecology of human development: Experiments by nature and design. Cambridge: Harvard University Press.
Camacho, Á. (2002). Credo, necesidad y codicia: los alimentos de la guerra. Análisis Político, 46, 137-150.
Camacho, A. y Guzmán, A. (1990). La violencia urbana en Colombia: síntesis de un estudio exploratorio en una ciudad colombiana. Boletín Socieconómico, 20, 42-56.
Castillo, M. y Balbinotto, G. (2017). A Model of Desertion From a Principal -Agent Theory perspective. Cuadernos de Economía, 36(70), 19-47. doi: https://doi.org/10.15446/cuad.econ.v36n70.44316
Castillo, M. P., Riascos, S., Borré, C., Franco, R., López, J., Otero, D., . . . Saavedra, J. (2014). Las pandillas y las oficinas de cobro: una relación de agencia. Observador Regional, 29.
Centro de Memoria Histórica CMH. (2013). ¡BASTA YA! Colombia: memorias de guerra y dignidad. Bogotá: Imprenta Nacional.
Centro de Recursos para el Análisis de Conflictos, Cerac. (2014a). Violencia juvenil en contextos urbanos. Bogotá: Cerac.
Centro de Recursos para el Análisis de Conflictos, Cerac. (29 de Octubre de 2014b). La violencia olvidada, “rudimentaria”, pero prevenible. Bogotá: Cerac .
Chambers, P. (2013). In search of the causes of the Colombian armed conflict and its violences: Analyzing the beginnings of a social-scientific tendency. Discusiones Filosóficas, 14(23), 279-304.
Corman, H. y Mocan, N. (2000). A Time-Series Analysis of Crime, Deterrence, and Drug Abuse in New York City. The American Economic Review, 90(3), 584-604. doi: https://doi.org/10.1257/aer.90.3.584
Cornwell, C. y Trumbull, W. N. (1994). Estimating the Economic Model of Crime with Panel Data. The Review of Economics and Statistics, 76(2), 360-366. doi: https://doi.org/10.2307/2109893
Doyle, J. (2008). Child Protection and Adult Crime. Journal of Political Economy, 116(4), 746-770. doi: https://doi.org/10.1086/590216
Duncan, G. (2004). Violencia y conflicto en Colombia como una disputa por el control del Estado en lo local. Universidad de los Andes, Facultad de Economía, CEDE.
Ehrlich, I. (1975). The Deterrent Effect of Capital Punishment: A Question of Life and Death. The American Economic Review, 65(3), 397-417.
El Colombiano. (31 de enero de 2011). El fundador de “Los triana” vuelve a la calle. El Colombiano. Recuperado de http://www.elcolombiano.com/blogs/revelaciones-delbajomundo/el-fundador-de-los-triana-vuelve-a-la-calle/3101
El Colombiano. (01 de mayo de 2015). Banda de “Pachelly” dispara homicidios por retomar su antiguo poder. El Colombiano. Recuperado de http://www.elcolombiano.com/blogs/revelacionesdelbajomundo/banda-de-pachelly-dispara-homicidios-por-reto-mar-su-antiguo-poder/7696/comment-page-1
El Colombiano. (27 de febrero de 2019). División en la banda “Pachelly” provocó desorden público en Bello. El Colombiano. Recuperado de https://www.el-colombiano.com/blogs/revelacionesdelbajomundo/division-en-la-banda-pachelly-provoco-desorden-publico-en-bello/9746
El Espectador. (22 de enero de 2014). Esperanzados que murieron hace 20 años en La Chinita. El Espectador. Recuperado de https://www.elespectador.com/noticias/judicial/esperanzados-murieron-hace-20-anos-chinita-articulo-470275
El Tiempo (05 de 03 de 2016). Lo que dejó la paz con el Epl, 25 años después. El País. Recuperado de http://www.eltiempo.com/archivo/documento/CMS-16528987
El Tiempo. (19 de noviembre de 2014). La mancha de las bandas criminales. El Tiempo: Especial de Bandas Criminales, Archivo digital. Recuperado de https://www.eltiempo.com/archivo/documento/CMS-14854155
El Tiempo. (23 de diciembre de 2016). En 2016 hubo 10 muertes violentas menos por semana que en el 2015. El Tiempo, Justicia. Recuperado de https://www.eltiem-po.com/justicia/cortes/disminuyen-cifras-de-muerte-violenta-en-colombia-en-el-2016-30247
El Tiempo. (30 de 04 de 2018). Clan del Golfo, ‘los Rastrojos', ELN y ex-FARC rondan Ciudad Bolívar. El Tiempo, Archivo digital. Recuperado de https://www.eltiempo.com/bogota/que-pasa-con-las-bandas-en-ciudad-bolivar-211906
Fajnzylber, P., Lederman, D. y Loayza, N. (1999). ¿Qué Causa el Crimen Violento? En Cárdenas, M. Steiner, R. (eds.), Corrupción Crimen y Justicia: Una Perspectiva Económica. Bogotá: Tercer Mundo Editores, Fedesarrollo, LACEA, Colciencias.
Fals Borda, O. (1985). Lo sacro y o violento, aspectos problemáticos del desarrollo en Colombia. En Cárdenas M. (Ed.), Once Ensayos Sobre la Violencia en Colombia. Bogotá: Fondo Editorial CEREC y Centro Gaitán.
Farrington, D. (2003). Early prevention of adult antisocial behavior. Cambridge: Cambridge University Press. doi: https://doi.org/10.1017/CBO9780511489259
Fearon, J. (1995). Rationalist Explanations for War. International Organization, 49(3), 379-414. doi: https://doi.org/10.1017/S0020818300033324
Fiorentini, G. y Peltzman, S. (2010). The Economics of Organised Crime. Cambridge: Cambridge University Press . doi: doi.org/10.1017/CBO9780511751882
Gates, S. (2002). Recruitment and Allegiance: The Microfoundations of Rebellion. Journal of Conflict Resolution, 46 (1), 111-130. https://doi.org/10.1177/0022002702046001007
Gintis, H. (2000). Game Theory Evolving. Princeton, NJ: Princeton University Press.
Guáqueta, A. (2003). Dimensiones políticas y económicas del conflicto armado en Colombia: Anotaciones teóricas y empíricas. Colombia Internacional, 55, 19-36. doi: https://doi.org/10.7440/colombiaint55.2002.01
Gutiérrez, F. (2004). Criminal Rebels? A Discussion of War and Criminality From The Colombian Experience. Política y sociedad, 32(2), 257-285. doi: https://doi.org/10.1177/0032329204263074
Guzmán, A. (1990). Sociología y Violencia (Documento de Trabajo). Centro de investigaciones y documentación socioeconómica -Cidse, 7, Cali: Universidad del Valle. Recuperado de: http://biblioteca.clacso.edu.ar/Colombia/cidse-univalle/20121129035655/doc7.pdf
Guzmán, G., Fals Borda, O. y Umaña, E. (2005). La Violencia en Colombia. Bogotá: Taurus.
Haer, R. (2010). The management of armed groups. Constraining human right abuses in the Democratic Republic of the Congo. Artículo presentado en la X Asociación Holandesa de Ciencia Política (Politicologenetmaal), Bélgica, Lovaina.
InSight Crime. (17 de septiembre de 2014). Más de 40 pandillas trabajan con carteles de la droga en México. InSight Crime, edición digital. Recuperado de https://es.insightcrime.org/noticias/noticias-del-dia/40-pan-dillas-trabajan-carteles-droga-mexico/
InSight Crime. (19 de enero de 2018). Balance de InSight Crime sobre los homicidios en 2018. InSight Crime, edición digital. Recuperado de https://es.insightcrime.org/noticias/analisis/balance-de-insight-crime-sobre-los-homicidios-en-2018/#
InSight Crime. (14 de marzo de 2018). La nueva generación de narcotraficantes colombianos post- FARC: “Los Invisibles”. InSight Crime, edición digital. Recuperado de https://es.insightcrime.org/investigaciones/la-nueva-generacion-de-narcotraficantes-colombia-nos-post-FARC-los-invisibles/
InSight Crime. (23 de Agosto de 2018). Alianzas de la ex- FARC mafia causan reorganización de grupos criminales en Colombia. InSight Crime, edición digital. Recuperado de https://es.insightcrime.org/noticias/analisis/alianzas-de-la-ex-FARC-mafia-causan-reorganizacion-de-grupos-criminales-en-colombia/
Jensen, M. C. y Meckling, W. (1976). Theory of the firm: Managerial behavior, agency costs and ownership structure. Journal of Financial Economics, 01(03), 305-360. doi: https://doi.org/10.1016/0304-405X(76)90026-X
Kalyvas, S. y Arjona, A. (2009). Deserción en la guerra civil: comparación de desertores y no desertores en grupos paramilitares en Colombia. New Haven: Universidad de Yale, Departamento de Ciencia Política.
Laffont, J.-J. y Martimort, D. (2002). The Theory of Incentives: The Principal-Agent Model. Princeton, NJ: Princeton University Press . doi: https://doi.org/10.1515/9781400829453
La Silla Vacía. (16 de 12 de 2018). Lejos del sometimiento, las AGC redoblan su presencia en lo urbano. La Silla Vacía, edición digital, La Red Paisa. Recuperado de https://lasillavacia.com/silla-llena/red-paisa/historia/lejos-del-sometimiento-las-agc-redoblan-su-presen-cia-en-lo-urbano
Loeber, R., Wung, R., Giroux, B., Stouthamer-Loeber, B, Van Kammen, W.B., et al. (1993). Developmental pathways in disruptive child behavior. Development and Psychopathology, 5(1), 101-132. doi: https://doi.org/10.1017/S0954579400004296
Nasi, C. y Rettberg, A. (2005). Los estudios sobre conflicto armado y paz: un campo en evolución permanente. Colombia Internacional , 62, 64 - 85. doi: https://doi.org/10.7440/colombiaint62.2005.04
Naylor, R. (2003). Towards A General Theory of Profit-Driven Crimes. The British Journal of Criminology, 43(1), 81-101. doi: https://doi.org/10.1093/bjc/43.1.81
Oficina de las Naciones Unidas contra la Droga y el Delito (UNODC). (2019). Global Study on Homicide. New York: Naciones Unidas. Recuperado de https://www.UNODC.org/UNODC/en/data-and-analysis/global-study-on-homicide.html
Olken, B. (2007). Monitoring corruption: evidence from a field experiment in Indonesia. Journal of Political Economy, 115(2), 200-249. doi: https://doi.org/10.1086/517935
Ordóñez, J. (2017). De la pandilla a la banda. Transformaciones de la violencia pandillera en barrios marginales en Cali. Sociedad y Economía, 32, 107-126. doi: https://doi.org/10.25100/sye.v0i32.3880
Palacios, M. (2012). Violencia pública en Colombia, 1958-2010. Bogotá: Fondo de Cultura Económica.
Paternoster, R. (1987). The deterrent effect of the perceived certainty and severity of punishment: A review of the evidence and issues. Justice Quarterly, 4(2), 173-217. doi: https://doi.org/10.1080/07418828700089271
Pécaut, D. (2003). Violencia y política en Colombia. Elementos de reflexión. Medellín: Hombre Nuevo Editores.
Pinotti, P. (2015). The Economic Costs of Organised Crime: Evidence from Southern Italy. The Economic Journal, 125(586), 203-232. doi: https://doi.org/10.1111/ecoj.12235
Pinotti, P. (2017). Clicking on Heaven's Door: The Effect of Immigrant Legalization on Crime. American Economic Review, 107(1), 138-168. doi: https://doi.org/10.1257/aer.20150355
Poblete, J. y Spulber, D. (2011). The Form of Incentive Contracts: Agency with Moral Hazard, Risk Neutrality and Limited Liability. American Economic Association, 43(2), 34. doi: https://doi.org/10.1111/j.1756-2171.2012.00163.x
Salazar, B., Caicedo, M. I. y Castillo, M. d. (2015). Interacciones Letales Entre Pandillas en Cali. Observador Regional, 30.
Schneider, G. B. Banholzer y R. Haer (2010). Cain's Choice: Causes of One-Sided Violence against Civilians. En Georg Jakobsen (ed.), War: An Introduction to Theories and Research on Collective Violence, New York: Nova Scotia.
Schneider, G. (2012). Incentives to kill: The organizational roots of one-sided violence (Manuscrito inédito). Alemania, Konstanz: Universidad de Konstanz.
Schneider, G., L. Banholzer y L. Albarracín. (2015). Ordered Rape: A principal-Agent Analysis of Wartime Sexual Violence in the dr Congo. Recuperado de https://www.academia.edu/22326114/Ordered_Rape_A_Principal. doi: https://doi.org/10.1177/1077801215593645
Schulze, G. y Frank, B. (2003). Deterrence versus intrinsic motivation: Experimental evidence on the determinants of corruptibility. Economics of Governance, 4(2), 143-160.
Shapiro, J. (2008). Bureaucracy and control in terrorist organizations. Artículo presentado en el Seminario de Política Internacional, Universidad de Columbia. Recuperado de https://scholar.princeton.edu/sites/de-fault/files/jns/files/shapiro_bureaucracy_control_te-rrorism_2.pdf
Shapiro, J. (2012). Terrorist Decision-Making: Insights from Economics and Political Sciences. Perspectives on Terrorism, 6(4-5), 4-20.
Shapiro, J. (2013). The terrorist's dilemma. Managing violent covert organizations. Princeton: Princeton University Press. doi: https://doi.org/10.1515/9781400848645
Spaniel W. (2015). Subsidizing Moderation? Terrorism, Signaling, and Principal-Agent Problems. Recuperado de https://wjspaniel.files.wordpress.com/2014/08/terroristpa.pdf.
Spierenburg, P. (1998). Violencia, castigo, el cuerpo y el honor: una revaluación. En Vera Weiler (Comp.), Figuraciones en proceso (116-151). Bogotá, Colombia: Universidad Nacional de Colombia. Recuperado de http://bdigital.unal.edu.co/1364/6/05CAPI04.pdf
Valencia, A. (2011). El juicio a Rojas Pinilla y la construcción de la memoria colectiva de los años cincuenta en Colombia. Universitas Humanistica, 72, 15-36.
Velásquez, E. (2007) Historia del paramilitarismo en Colombia. Historía, 26(1), 134-153. Recuperado de scielo.br/pdf/his/v26n1/a11v26n1.pdf. doi: https://doi.org/10.1590/S0101-90742007000100012
Villarraga, Á. (2008). Vicisitudes del proceso de paz del Gobierno Betancur. En A. Villarraga (comp.), Tregua y cese al fuego bilateral: FARC, EPL, M-19 y ADO. Bogotá: Fundación Cultura Democrática.
Zuleta, M. (2010). La moral de la crueldad. Revista Nómadas, 40(1), 13-30.
Apéndice
Aquí se presentan los pasos para solucionar el la-grangiano de nuestro problema:

Las condiciones de primer orden, con respecto al pago de acatar, de desviarse y de los multiplicadores, son respectivamente:

Al sumar las condiciones de primer orden con respecto a los pagos de acatar y desviarse (ecuaciones b y c respectivamente), se obtiene

Resaltandose que k y s son montos fijos, enfrentados de esta manera al problema trivial de agencia, lo que indica que μ≠0 y que u’[Z] > u’ [T], es decir Z>T. Ahora bien, de la condicion de u’[Z], se sabe

lo que implica que

Por otro lado, de la condicion de u’[T], se sabe que

lo que implica que:

Ambas condiciones implican que X>0 y |i>0, demostrando que ambas condiciones están activas y que el problema admite la utilización de la restricción de incentivos y participación, obteniendo así:

Con la propiedad de la función inversa (f(-1 )(f(x))-x) se puede reorganizar la función de utilidad en términos de los pagos:

De modo que, al asumir una utilidad lineal en el ingreso, los valores de Z* y T* respectivamente son:

Anexo 1: Ajustes de cuentas


Fuente: elaboración propia a partir de la base de datos del Cerac (2014).
Notas