Artículos
Visión sistémica de la transferencia de conocimiento y tecnología en la universidad*
Systemic Vision Of The Transfer Of Knowledge And Technology In The University
Visão sistêmica da transferência de conhecimento e tecnologia na universidade
Visión sistémica de la transferencia de conocimiento y tecnología en la universidad*
Revista Facultad de Ciencias Económicas: Investigación y Reflexión, vol. XXX, núm. 1, pp. 89-112, 2022
Facultad de Ciencias Económicas Universidad Militar Nueva Granada
Recepción: 27 Agosto 2021
Aprobación: 22 Diciembre 2021
Publicación: 30 Junio 2022
Resumen:
El proceso de transferencia de conocimiento y tecnología en la Universidad requiere ser analizado desde una perspectiva dinámica, al reconocerse como un sistema complejo que proporciona capacidades que mejoran el desempeño de cara a la competencia, que permitan la circulación de las innovaciones y generen valor para la industria. Esta investigación tuvo como objetivo producir una visión sistémica del proceso de transferencia de conocimiento y tecnología en la universidad. Para ello se utilizó la dinámica de sistemas como herramienta metodológica y para la validación se empleó el caso de estudio de la Facultad de Minas de la Universidad Nacional de Colombia. Se plantearon tres escenarios para evaluar el efecto de la disminución del presupuesto, el rápido aprendizaje y el número de estudiantes y docentes dedicados a investigar sobre el proceso de transferencia. Se obtuvieron resultados a partir de la realidad de la Universidad Nacional; sin embargo, estos resultados son válidos para otras universidades porque revelan que las capacidades del proceso son sensibles al presupuesto destinado para ellas. Se concluye que la simulación de escenarios sirve para identificar las características y combinaciones que podrían potenciar la acumulación de activos de conocimiento y tecnología, de aprendizaje del proceso y de las capacidades de transferencia tecnológica en la universidad. C63; O31; O32
Palabras clave: transferencia de conocimiento y tecnología, capacidades de transferencia, dinámica de sistemas, simulación, universidad.
Abstract: The process of the transfer process of knowledge and technology at the University needs to be analyzed from a dynamic perspective, as it is recognized as a complex system that provides capabilities that improve performance in the face of competition, that allow the circulation of innovations and generate value for industry. This research aimed to generate a systemic vision of the process of the transfer of knowledge and technology in the university. In order to carry this out, system dynamics was used as a methodological tool and for validation, the case study of the School of Mines of the National University of Colombia was used. Three scenarios were proposed to evaluate the effect of budget reduction, rapid learning and the number of students and teachers dedicated to research on the transfer process. Results were obtained based on the reality of the National University; however, these results are valid for other universities because they reveal that the capabilities of the process are sensitive to the budget allocated to them. The conclusion is that the simulation of scenarios serves to identify the characteristics and combinations that could enhance the accumulation of knowledge and technology assets, process learning and technology transfer capabilities in the university.
Keywords: transfer of knowledge and technology, transfer capabilities, systems dynamics, simulation, university.
Resumo: O processo de transferência de conhecimento e tecnologia na Universidade precisa ser analisado sob uma perspectiva dinâmica, pois é reconhecida como um sistema complexo que fornece capacidades que melhoram o desempenho frente à concorrência, que permitem a circulação de inovações e geram valor para a indústria. Esta pesquisa teve como objetivo gerar uma visão sistêmica do processo de transferência de conhecimento e tecnologia na universidade. Para isso, utilizou-se a dinâmica de sistemas como ferramenta metodológica e, para validação, utilizou-se o estudo de caso da Faculdade de Minas da Universidade Nacional da Colômbia. Três cenários foram propostos para avaliar o efeito da redução orçamentária, da aprendizagem rápida e do número de alunos e professores dedicados à pesquisa sobre o processo de transferência. Os resultados foram obtidos da realidade da Universidade Nacional; no entanto, esses resultados são válidos para outras universidades porque revelam que as capacidades do processo são sensíveis ao orçamento que lhes é alocado.
Palavras chave: transferência de conhecimento e tecnologia, capacidades de transferência, dinâmica de sistemas, simulação, escola Superior.
Introducción
Se ha reconocido la complejidad del entorno en el que se desenvuelven las organizaciones, causada especialmente por el acelerado cambio del conocimiento, el desarrollo tecnológico y la innovación (Gerli, Calderini y Chiodo, 2021). Estos cambios son posibles gracias a las actividades de transferencia de conocimiento y tecnología (TCT) que promueven el adelanto, explotación, uso, modificación y transmisión de las innovaciones (Ministerio de la Ciencia la Tecnología y la Innovación-MinCiencias, 2020). Según Jasimuddin et al. (2019), para las empresas y las universidades, la relevancia e importancia de la transferencia de conocimiento (TC) radica en que ofrece capacidades que mejoran su desempeño ante la competencia, permiten la circulación de las innovaciones y se convierten en una alternativa para la generación de valor de la industria. Sumado a esto, Jiménez-Zapata y Calderón-Hernández (2018) indican que la universidad ha ratificado la importancia de la TC como mecanismo para mejorar su desempeño con respecto a la utilización de sus resultados de investigación por actores que generan valor a las empresas, por medio de innovaciones.
Londoño et al. (2018) aseguran que países como Colombia aún son renuentes a reconocer la importancia de la innovación para el desarrollo de la competitividad, ya que existen brechas entre la generación de conocimiento y la transformación en adelantos tecnológicos con respecto a países más desarrollados, lo cual se refleja en la carencia de recursos que puedan mejorar los sistemas de producción. Klerkx y Leeuwis (2009) postulan que estas brechas de conocimiento y del cambio tecnológico entre la empresa y la universidad, tienen lugar porque para hacer efectivos los desarrollos tecnológicos que impacten la productividad de las empresas, la universidad aúna esfuerzos con la industria con el fin de mejorar sus capacidades.
Sin embargo, este relacionamiento requiere de un sistema o proceso eficiente de transferencia y comercio de tecnología que no presente problemas en los tiempos destinados y en las etapas de tales actividades (Dell'Anno y del Giudice, 2015). Ello, debido a los múltiples actores y componentes que intervienen en la transferencia de un resultado investigativo hacia la industria y a la falta de claridad de los actores para reconocer cuáles son las etapas del proceso de TC, así como las variables que lo afectan. La falta de estructura en su ejecución hace que los flujos de conocimiento no cumplan con las expectativas de los involucrados en el proceso. Esto impide establecer un buen relacionamiento entre la empresa, la universidad y el Estado, lo cual genera conflictos para transferir los resultados de investigación al mercado (Kochenkova, Grimaldi y Munari, 2016).
Ahora bien, en Colombia existen algunas universidades que presentan esta problemática, en especial las públicas, ya que la TCT es un desafío en cuanto a capacidades, recursos y políticas que la promuevan (Briceño y Morales, 2015) además de considerar que su principal función es cumplir las misiones sustantivas de investigación y docencia.
La literatura ha evidenciado la importancia de estudiar y comprender la transferencia de conocimiento y tecnología dentro de las universidades (Sánchez-Barrioluengo y Benneworth, 2019). Se han desarrollado modelos y metodologías sobre TCT, que varían de acuerdo con la organización y el objetivo de su creación. También, se han adelantado estudios sobre transferencia de resultados de investigación y metodologías para reconocer de manera clara los participantes involucrados y sus intereses en el proceso de transferencia tecnológica, desde la producción del conocimiento hasta su adquisición y uso (De Almeida, De Jesús Pacheco, Schwengber y Jung, 2021).
Por otro lado, los estudios se han centrado también en los actores de los sistemas de innovación. Morales, Sanabria y Caballero (2015) estudiaron la creación y captura de valor en procesos de innovación colaborativa específicamente en el desarrollo y transferencia de tecnologías y conocimientos en el contexto universitario. Wehn y Montalvo (2018) centraron su estudio en la dinámica de la transferencia de conocimiento en un sector específico como el del agua, apoyando los procesos de innovación y encontrando que tanto el receptor como el proveedor de la tecnología reciben la influencia de sus respectivos entornos (ecosistema) y de sus creencias. Esto mostró que la efectividad del proceso de transferencia de conocimientos puede depender de capacidades tecnológicas relacionadas con la experiencia y de la absorción del conocimiento, es decir, capacidades instrumentales para el proceso (Wehn y Montalvo, 2018).
De este modo se evidencia la necesidad de estudiar la creación de nuevas estructuras en la universidad, que expliquen el proceso de transferencia y comercialización de los resultados obtenidos en investigación (Sánchez-Barrioluengo y Benneworth, 2019). Alineado con tales estructuras el objetivo de la presente investigación es generar una visión sistémica del proceso de transferencia de conocimiento y tecnología del caso de estudio de la Facultad de Minas de la Universidad Nacional de Colombia mediante dinámica de sistemas. Esta herramienta metodológica permite modelar el proceso para identificar y comprender las interacciones entre las etapas y actores del proceso (Hallam, Wurth y Flannery, 2014).
Este artículo está organizado de la siguiente manera. Inicialmente se presenta una revisión de literatura sobre las definiciones de transferencia de conocimiento y tecnología y sobre las variables requeridas para generar el modelo de simulación. El siguiente apartado describe la metodología de dinámica de sistemas incluyendo la formulación y validación del modelo la dinámica de la transferencia de conocimiento. La tercera sección muestra los resultados obtenidos y simulación de escenarios. Finalmente se señalan las principales conclusiones, implicaciones prácticas, limitaciones y oportunidades de investigaciones futuras.
Proceso de transferencia de conocimiento y tecnología
Las universidades han venido incorporando como una tercera misión, adicional a sus compromisos en docencia e investigación, un nuevo propósito relacionado con el emprendimiento, la innovación y el compromiso social, como un desafío importante en la economía basada en el conocimiento. En relación con lo anterior, esta tercera misión abarca la divulgación y difusión del conocimiento y tecnología. Leischnig y Geigenmüller (2020) argumentan que las universidades tienen como reto principal definir y adoptar modelos de TCT que enriquezcan sus competencias investigativas ante otras instituciones y mejoren la gestión de la propiedad intelectual y el relacionamiento entre la academia, el sector productivo y el Estado, a partir de sus capacidades. De lo contrario, puede significar el aislamiento de la universidad en la sociedad y un desaprovechamiento en la generación de valor económico y desarrollo industrial.
En Colombia el sistema de ciencia y tecnología ha reconocido la importancia de los grupos de investigación y se ha preocupado por diseñar lineamientos y estímulos a la excelencia, al considerar su principal actividad: investigación básica, aplicada y el desarrollo tecnológico (MinCiencias, 2018). Al proceso de generación del conocimiento le siguen, según Alpizar-Terrero, León-Robaina y Dentchev (2017), la protección de la propiedad intelectual de los resultados obtenidos. Por último, es posible transferir y comercializar ese conocimiento producido en el mercado agregando valor para quien lo recibe (Jiménez-Zapata y Calderón-Hernández, 2018). En esta última etapa, las limitaciones existentes en los canales de difusión y transferencia adecuados del conocimiento restringen su uso para satisfacer las necesidades de la universidad y de la sociedad.
El concepto de TCT nace de la evolución que ha sufrido la universidad a lo largo de los años. Miller, McAdam y McAdam (2016), sugieren la existencia de tres modos de producción de conocimiento universitario y sus respectivas formas de transferencia. En el modo 1 se alude al papel tradicional de las universidades en el desarrollo de investigación básica que conduce al aprendizaje social y a la educación (Gibbons, Nowotny, Schwartzman, Scott y Trow, 1994). En el modo 2 se reconoce el nuevo rol de las universidades en las actividades de transferencia de tecnología en donde se observa una transición a la comercialización de la tecnología y un énfasis en la práctica (Gibbons et al., 1994). De allí, se comprende la universidad como el vehículo que conduce a la transferencia de tecnología y como actor clave del sistema de innovación nacional. Y por último, en el modo 3, se presenta la universidad en un entorno de intercambio de conocimientos en amplia la interacción con la comunidad, incluyendo la formación y el desarrollo en sus misiones (Gibbons et al., 1994).
Para Bradley, Hayter y Link (2013), el TCT es un proceso lineal de ocho etapas que inicia desde la generación de una invención (etapa 1) y el descubrimiento de los investigadores o estudiantes universitarios, donde se divulga la intención de proteger el conocimiento (etapa 2). Luego en la etapa 3, con la existencia de una oficina de transferencia tecnológica (OTT) se evalúa el potencial comercial de la invención y el sector económico al cual podría venderse (Vega-González, 2021). La cuarta etapa, si la OTT decide invertir en la invención, consiste en realizar la solicitud de protección. En la misma línea, Bradley et al. (2013) definen una quinta etapa, en la que si se otorga la protección, la oficina de transferencia busca comercializar la tecnología a organizaciones. Esto se reconoce como una actividad de marketing para hacer coincidir la tecnología con las necesidades de una empresa. Después, la etapa seis es de negociación, para establecer algún acuerdo de licencia, esperando asignar regalías entre las partes, incluida la universidad. Por último, en las etapas siete y ocho, la organización o empresario que recibe la tecnología se adapta y la utiliza. Este proceso se puede observar esquemáticamente en la Figura 1.

Por otra parte, investigadores como Castelló, López y Méndez (2019) delimitan el proceso de transferencia de conocimiento en el marco de la "universidad innovadora", que busca comercializar los resultados de la investigación mediante la existencia de una unidad de transferencia de conocimiento a partir de dos actividades de explotación: licencia de una propiedad intelectual o el establecimiento de una empresa basada en el conocimiento (spin off). Dentro de las etapas distingue: 1) Fomento de la cultura innovadora; 2) Búsqueda y detección de ideas; 3) Evaluación de ideas; 4a) Licencia a una empresa establecida; 4b) Creación de spin off y 5) Creación de valor.
Las etapas 1, 2 y 3 aluden a los resultados de investigación generados en las instituciones, son el punto de partida del proceso de transferencia y se basan en la cultura orientada o no hacia la construcción de ideas recopiladas sin ninguna limitación, que finalmente se evalúan para saber su potencial de explotación y generación de valor en la industria. Las etapas 4a y 4b se refieren a los mecanismos posibles para la explotación de una patente. Allí cambia la forma como se utiliza el conocimiento y también la forma tradicional de transferencia de las universidades y se alinea con el propósito de la universidad en pro del desarrollo y obtención de beneficio económico (Bozeman, Fay y Slade, 2012). Finalmente, la etapa 5 revela la aplicación del desarrollo en un mercado específico y espera verse reflejada en las distintas actividades que implica cualquiera de los dos mecanismos escogidos.
Por su parte, Yuan et al. (2018), describen el proceso de TCT en dos etapas: 1) creación de tecnología y 2) comercialización de tecnología. La primera abarca la creación de tecnología utilizando las "habilidades únicas que poseen las universidades para dar forma, reorganizar y organizar continuamente los activos para crear nuevas tecnologías, mejorar el valor extraído de la colaboración con las industrias y responder a los cambios en el entorno" (Yuan et al., 2018, p. 53). Esta fase comprende la generación de patentes de los adelantos sobre I+D y la inversión de recursos financieros y humanos para su consecución. En la segunda fase, la universidad debe aprovechar la combinación de sus activos y la creación de competencias mediante sus capacidades dinámicas para llevar a la comercialización de una patente, extrayendo valor de la tecnología y generando nuevo valor a las empresas. Es decir, aquí las instituciones de educación superior reconfiguran los recursos de acuerdo con la variación del entorno dentro del país o del mercado.
Interacción entre actores y etapas del proceso de TCT
De acuerdo con Wehn y Montalvo (2018), para comprender la dinámica de la transferencia e intercambio de conocimiento y tecnología se requiere la exploración y descripción del comportamiento de los actores clave involucrados en el proceso. Hallam,
Wurth y Flannery (2014) identifican tres componentes clave para que el proceso de TCT tenga lugar, sin importar el mecanismo utilizado; primero, se refiere al inventor del conocimiento transferible, esta invención tiene potencial para comercializar en empresas para la solución de problemas corporativos. Dicho actor es vital para el proceso de intercambio de conocimiento y se identifica como la fuente que da origen a la tecnología a transferir (Marulanda-Valencia y Valencia-Arias, 2019). En segundo lugar, existe una unidad encargada de gestionar la propiedad intelectual conectando las necesidades de las empresas con las funcionalidades del resultado generado en las universidades, además apoya la negociación para la transferencia de tecnología. Estas entidades en algunas universidades se conocen como oficinas de transferencia tecnológica (Hallam et al., 2014).
El tercer actor se refiere a la empresa creada o el empresario interesado en recibir el conocimiento o la tecnología. De la misma manera, Marulanda et al. (2019), denominan este tercer actor como el que recibe y utiliza la tecnología y el conocimiento generados. Paniccia y Baiocco (2018) también resaltan que los actores del proceso de TCT pueden involucrar en su participación no solo a la universidad y a la industria sino también al Estado, lo que se denomina la triple hélice propuesta por Etzkowitz y Leydesdorff (2014).
Por último, existen actores externos a la universidad, la industria y el Estado, conocidos como intermediarios, que facilitan el proceso y la gestión de transferencia, al fortalecer las capacidades de los actores en la evaluación, protección, comercialización y negociación de la tecnología (Lindkvist et al., 2019). Ellos podrían participar en cualquier momento del proceso mediante actividades de apoyo y soporte funcionando como aceleradores, facilitadores, dinamizadores, asesores y difusores que fortalecen las capacidades (González, 2011).
Capacidades de TCT
Considerando la revisión de literatura realizada se encuentra que el éxito del proceso de TCT, depende de las capacidades de la universidad para desarrollar cada una de las etapas. De este modo, al explorar las capacidades que pueden influir en este proceso es posible analizar el relacionamien-to de los actores. Por lo que algunos estudios han demostrado el relacionamiento entre los actores y el desarrollo de las etapas de transferencia de tecnología y las capacidades. Por ejemplo Macías, Valencia y Montoya (2018) encontraron que el intercambio de conocimiento en la Academia e Instituciones de Educación Superior (IES) está determinado por las capacidades de innovación que poseen. También, Marulanda y Montoya (2015) y Quintero et al. (2019) estudiaron los efectos de las capacidades disponibles de los actores que componen del proceso de TCT y su desempeño en un sector específico de la industria.
Para desarrollar un mecanismo de transferencia es indispensable que los actores del proceso posean capacidades específicas para cada etapa (Villalba, Robledo y Builes, 2016), por lo que es posible definir tres capacidades en el proceso de la transferencia:
Capacidad de Investigación y Desarrollo (I+D): Olaoye, Eyitayo, Olajide y Oloruntoba (2020) definen esta capacidad como la habilidad de la universidad para implementar y gestionar proyectos en I + D. También tiene que ver con la habilidad para responder por medio de proyectos a los requerimientos empresariales. Esta capacidad permite la creación de conocimiento (Hervas-Oliver, Sempere-Ripoll y Boronat-Moll, 2021).
Capacidad de gestión de Propiedad Intelectual (PI): la universidad debe evaluar la invención y gestionar el mecanismo de protección más adecuado. Para Arechavala y Sánchez (2017) es la habilidad para gestionar de forma eficiente de acuerdo con los tiempos disponibles para cada tipo de protección del activo de conocimiento, incluyendo los procedimientos de solicitud de patentes, la ejecución de derechos de propiedad intelectual y el establecimiento de contratos de licenciamiento de tecnología.
Capacidad de marketing tecnológico: según González (2011) es la capacidad de la institución para publicitar y vender la invención, considerando las necesidades de la demanda, el entorno, los costos y beneficios. Suárez, Árias-Arévalo y Martínez-Mera (2018) afirman que la universidad debe ser capaz de buscar la demanda de la invención (empresa o emprendedor) y valorarlo adecuadamente para establecer una correcta negociación. Hervas-Oliver et al. (2021) explican esta capacidad como la conexión existente entre investigadores y empresas mediante el trabajo de investigación para su aplicación en la industria.
Sobre la interacción de los actores en el proceso de TCT, la universidad termina su participación en el intercambio de conocimiento y los empresarios deben apropiar la nueva tecnología hasta la creación de valor en su mercado (Olaoye et al., 2020). Luego la empresa debe ser capaz de crecer y establecer conexión con otros mecanismos partidarios del Estado, que apoyen la configuración de sus capacidades para el uso y fabricación de la tecnología. La universidad puede volver a interactuar con la empresa después de la adopción del conocimiento generado (Aksoy y Beaudry, 2021)
Metodología
El desarrollo de la presente investigación emplea la metodología de modelado de sistemas complejos de Sterman (2000) que se ilustra en la Figura 2. Esta propuesta de metodología es apropiada para el logro del objetivo propuesto, puesto que se considera que el proceso de transferencia de conocimiento y tecnología no es lineal sino dinámico, debido a la interacción de los actores en las etapas (Vázquez, 2017) en adelante. Por su parte Liu, Yu, Sun y Yan (2021) indican que es posible utilizar dinámica de sistemas para representar el proceso de transferencia entre individuos, analizando la causalidad del intercambio de conocimiento en grupos de universidades.
Específicamente, la metodología propuesta por Sterman (2018) sugiere primero desarrollar una visión general sobre el comportamiento dinámico del fenómeno que incluya la definición de actores y las etapas o actividades, como se hizo en la revisión de literatura. En segundo lugar, se debe conceptualizar el sistema real determinando los ciclos de retroalimentación de información, relaciones de causalidad circular, conocido como la hipótesis dinámica o el diagrama causal. Luego se identifican las relaciones de acumulaciones independientes o niveles en el proceso y sus entradas y salidas para dar lugar a la formulación de un modelo de comportamiento que reproduzca el problema dinámico y se exprese en ecuaciones no lineales.
Finalmente se valida el modelo y se procede a correr escenarios de simulación con el fin de efectuar cambios que apoyen la toma de decisiones sobre el sistema, especialmente sobre un desempeño superior del proceso de TCT (Arango, Prado y Dyner, 2009). Todo lo anterior permitió comprender el proceso de transferencia de conocimiento y tecnología de la Facultad de Minas de la Universidad Nacional de Colombia, utilizando los datos suministrados por esta institución y la consulta a expertos en gestión tecnológica. Considerando lo anterior, la Figura 3 resume la metodología de dinámica de sistemas utilizada.
Hipótesis dinámica
Se establecieron las relaciones de causalidad e interacción entre los actores y variables identificadas en la literatura y suministradas por la universidad mediante caso de estudio. La Tabla 1 enlista las variables del proceso actual de TCT en la Facultad de Minas de la Universidad Nacional de Colombia y describe la relación causal y directa entre los componentes clave del proceso, que se representan en la Figura 3.


La figura 3 analiza los ciclos de realimentación. Se denota con una flecha en círculo con la letra R cuando es un ciclo de refuerzo y la letra B un ciclo de balance. Para este caso, el proceso de TCT muestra ciclos de refuerzo. Primero, los ciclos R1 y R2 describen una relación positiva entre el número de contratos de servicios tecnológicos y la experiencia en el proceso, mejorando las capacidades de PI y de marketing tecnológico. También estas capacidades aumentan los contratos de servicios tecnológicos establecidos en la universidad y mejoran el desempeño del proceso de transferencia. Las capacidades de I+D influyen en el desempeño del proceso de TCT y se observa en el ciclo R3, por medio de la relación positiva con variables como aumento de activos de conocimiento, que incrementa los activos potencialmente evaluados y que se van a proteger. De allí se incrementa la probabilidad de generar más contratos de servicios tecnológicos lo que afecta positivamente el aprendizaje y la experiencia del proceso, de tal manera que, si esta última incrementa, lo mismo sucede con las capacidades de I+D. Al mismo tiempo, en el ciclo R4 se evidencia la misma relación ya descrita, pero el número de activos evaluados aumenta el número de activos no protegidos dependiendo de los conocimientos y tecnologías que no cumplen con los requisitos para ser protegidos. También se observa una relación causal entre las etapas de la transferencia a partir de los mecanismos de TCT, ya que si las empresas incrementan el número de spinoff, adaptación del conocimiento y tecnología o de licenciamientos pasará lo mismo con la experiencia exitosa del proceso. Esto implica un aumento en el número de contratos de servicios tecnológicos que la universidad celebra con el sector real y genera que tales mecanismos de transferencia se concreten (Hernández, 2017) Esta relación pude observarse en los ciclos R4, R6 y R7, respectivamente.
Los ciclos R8 y R9 simbolizan el efecto positivo de un aumento en las ventas de transferencia sobre las capacidades de marketing tecnológico y de gestión de la PI, correspondientemente. Por ejemplo, en la creación de spinoff, si las ventas de transferencia aumentan el presupuesto inicial, también lo hacen las capacidades de marketing tecnológico y de gestión de PI, y simultáneamente estas capacidades incrementan los contratos de servicios tecnológicos, con lo que se afecta de forma positiva la generación de empresas de base tecnológica (spinoff) y por consiguiente las ventas de transferencia.
El ciclo R10 representa la capacidad de I+D que se incrementa por un aumento de las ventas de transferencia. Este es un ciclo de refuerzo muy extenso ya que estas capacidades acrecientan los activos de conocimiento generados, los activos evaluados y los activos protegidos y el número de contratos de servicios tecnológicos y las spinoff conformadas, lo que al final se convierte en regalías para la universidad. Por último, el ciclo R11 y el ciclo R12 se refieren a la habilidad adquirida en las etapas del proceso de TCT: activo de conocimiento y activo protegido. Por un lado, R11 indica un relacionamiento entre la generación de activos de conocimientos y la capacidad de I+D, puesto que, para que esta primera se lleve a cabo se necesita tener esta capacidad y cuando se da la creación de conocimiento se extienden las capacidades de investigación. Igualmente, el ciclo R12 muestra que la protección de los activos requiere de la capacidad de gestión de la propiedad intelectual. Luego, cuando se desarrollan actividades de protección de activos, se aumentan las habilidades en esa capacidad.
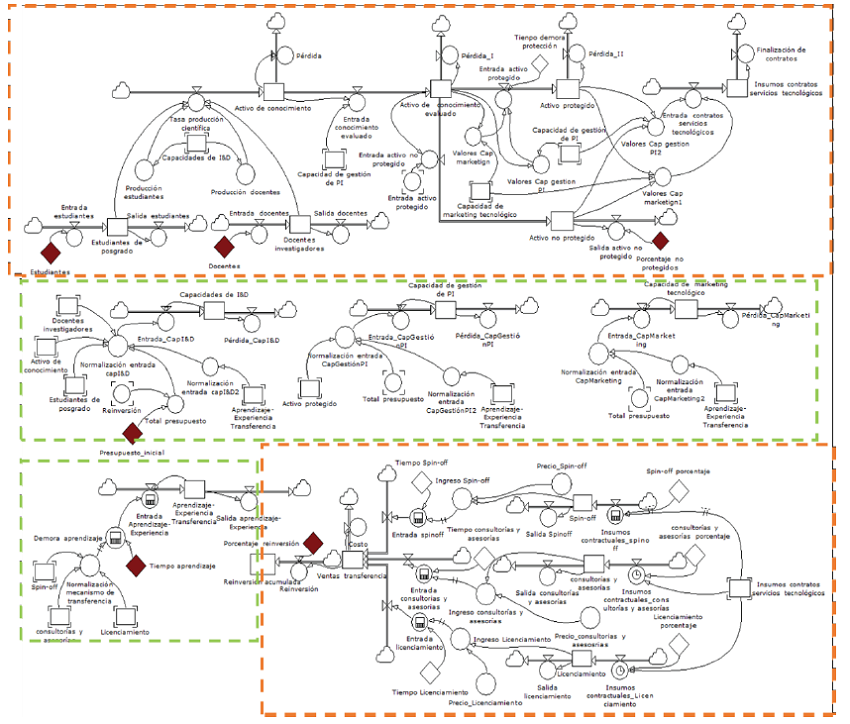
Diagrama de Forrester
La Figura 5 presenta el diagrama de Forrester o de Flujos y Niveles, construido a partir de las capacidades de TCT y desarrollado con el software PowerSim Studio 10 ®. Es posible analizar dos componentes: delimitado en color naranja, el modelo de las etapas de transferencia de conocimiento y tecnología; y, delimitado en color verde, el modelo de capacidades de transferencia de conocimiento y tecnología requeridas en cada etapa. Para el horizonte de tiempo de la simulación se consideró, que este periodo fuera superior al estimado en la duración de las etapas de la TCT. Por lo que, es de resaltar que cada uno de los activos de conocimiento generados tiene diferentes márgenes de tiempo para su transferencia al mercado (Macías, 2014). Así, la simulación es de diez años, con un tiempo de paso anual, que muestra el desempeño del proceso de TCT.

Validación del modelo de simulación
El modelo se validó mediante pruebas de consistencia dimensional y se corroboró que todas las variables, ecuaciones, flujos y niveles tuvieran las unidades requeridas para simular siguiendo lo propuesto por Valencia y Obando (2017). Se corrieron también pruebas de condiciones extremas, que evidenciaron que el modelo es estable y que los resultados obtenidos estuvieron acordes con la realidad, tal como lo indican Arango et al. (2009). Para algunas variables se utilizaron gráficos de referencia con el fin de garantizar su comportamiento durante la simulación. Asimismo, se realizó la consulta a expertos sobre el comportamiento del modelo. El concepto arrojado reflejó que los resultados se comportan de manera similar a las condiciones actuales del proceso de TCT de la Facultad de Minas.
Resultados y discusión
Para explicar el comportamiento del proceso de TCT de la Facultad de Minas se analizaron cuatro escenarios que representan la situación actual, la pesimista, la optimista y una alternativa adicional. Este análisis se convierte en insumo para determinar las acciones que deben seguir en el corto plazo los participantes del proceso, lo que se describe en estos resultados.
Escenario base
Se reconoce como el escenario problema y presenta la simulación de las condiciones actuales del proceso de la TCT en la Facultad de Minas proyectado a diez años. La tabla 2 expone los valores iniciales utilizados para simular este escenario.

Escenario 1
El escenario 1 plantea una situación pesimista sobre un bajo nivel de inversión en las tres capacidades de TCT. Se considera que para el proceso de intercambio de conocimiento de la Facultad de Minas se ejerce un porcentaje de reinversión bajo que depende de los ingresos por mecanismos de transferencia. También se considera una reducción del presupuesto destinado a las actividades de investigación, que puede estar determinado por una crisis que obligue a priorizar en otras funciones misionales de la universidad. La tabla 3 registra los valores utilizados para simular el escenario 1.

Escenario 2
En la tabla 4 se muestran los valores utilizados para simular el escenario 2. Este es un escenario optimista, dentro de las variables de estudio, dada la relevancia del aprendizaje en las actividades de la TCT, como efecto de una mejor relación y comunicación entre los actores del proceso. Siguiendo a Contreras, Pérez-Uribe, Vargas y Salcedo-Pérez (2020) para propiciar el aprendizaje es necesario tener una cultura del aprendizaje, implementar capacitaciones sobre este propósito y sistematizar la información que se transfiere entre las actividades para convertirla en conocimiento. Al plantear este escenario se desea analizar el efecto que tiene para la universidad, aprender del proceso de TCT en un menor tiempo, en especial en la acumulación de las capacidades de TCT, acopiado de los mecanismos de transferencia y de las ventas generadas de ella.

Escenario 3
El escenario 3 propuso analizar el efecto que tenía una disminución en las matrículas de posgrado al mismo tiempo que una caída del número de docentes dedicados a investigar (baja producción de activos de conocimiento y tecnología), sobre las capacidades de TCT y los mecanismos de transferencia. Por lo que este escenario también describe una situación pesimista para el proceso de la Facultad de Minas. Teniendo en cuenta lo anterior, la Asociación Colombiana de Universidades (Ascun, 2020) afirma que desde 2018, el número de matrículas de estudiantes en las universidades colombianas ha decrecido. Las razones se deben a la falta de financiamiento para el programa de estudio, planes de estudios considerados obsoletos y cambios demográficos que ha sufrido la población. Ello se relaciona con el bajo número de estudiantes de posgrado dedicados a investigar.

Análisis de escenarios
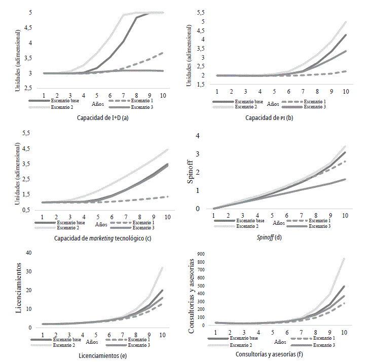
La Figura 6 condensa la comparación de los resultados de las simulaciones del escenario base y los tres escenarios hipotéticos para las principales variables del modelo en cuanto a la evolución de su comportamiento.

En la Figura 6(a) se observa la comparación de los resultados de los tres escenarios para la capacidad de I+D con respecto al escenario base. Los niveles de acumulación en el escenario pesimista son menores que los del escenario base (3,6), es decir, que una disminución del presupuesto representa menores recursos para la ejecución de proyectos de investigación y generaría activos con baja calidad para responder a las necesidades del entorno y limitaría su transferencia a la industria.
Este resultado concuerda con lo descrito por Cruz-Castro y Sanz-Menéndez (2016) al indicar que los recortes presupuestarios en los sistemas de I+D los hace menos competitivos (disminuye sus capacidades) y reduce los incentivos de los actores hacia la investigación. En cuanto al escenario 2 optimista de rápido aprendizaje, se evidencia que la Facultad alcanza en la capacidad de gestión de I+D, el valor máximo de acumulación (5) muy rápidamente, en comparación con el escenario base mostrando que se empieza la etapa de obsolescencia del conocimiento o de habilidades, por lo que, para mantenerlas se requiere poner en marcha estrategias como inversión de capital. Este hallazgo refuerza la estrecha relación entre el aprendizaje y las capacidades tal como la han comprobado en su investigación Romero, Suárez y Rodríguez (2018), dado que las organizaciones generan rutinas y el aprendizaje para lograr procesos de cambio y mejorar capacidades de innovación. Esto también es congruente con el estudio de Agarwal, Anand, Bercovitz y Croson (2012), quienes afirman que la curva de aprendizaje se relaciona con la capacidad de asimilar los conocimientos generados por medio de rutinas compartidas entre las partes que conforman la organización.
Para el escenario 3, que simboliza la baja producción de activos de conocimiento y tecnología por el número reducido de estudiantes y profesores dedicados a investigar, se muestra un comportamiento de "S" en declive, hay un crecimiento inicial muy pequeño, que alcanza un valor máximo de 3 (por el número de docentes y estudiantes acumulados en escenario base) y luego una gran caída (cuando aumenta el flujo de salida de docentes y disminuye el ingreso de estudiantes de posgrado).
En relación con el comportamiento de la capacidad de pí, en el escenario 1, un bajo nivel de presupuesto significa dificultad para efectuar la evaluación de activos potenciales de ser protegidos por falta de recursos frescos o una baja asociación con otras compañías para la maduración de los activos por proteger y los ya protegidos. Los hallazgos expuestos son coherentes con lo argumentado por Solís, Ovando, Olivera y Rodríguez (2020), al mencionar que se requiere de recursos financieros y presupuesto para gestionar la propiedad intelectual de los resultados investigativos y para el desarrollo de las habilidades y capacidades de este proceso de protección.
En el escenario 2 (optimista), la capacidad de gestión de PI se encuentra en la fase de rápido crecimiento o aprendizaje del proceso, es decir, la Facultad es competente en actividades como trámites y negociaciones para la protección de los activos de conocimiento. Por último, el escenario 3 indica que esta capacidad está en la fase inicial de la curva en "S" con niveles muy bajos de acumulación 3,3, lo que significa un gran bajón de activos potenciales para proteger. Lo anterior se observa en la figura 5b. Esto último valida lo mencionado por Halilem, Amara, Olmos-Peñuela y Mohiuddin (2017), acerca de que una disminución en el número de personas interesadas en investigar afecta la producción de activos de conocimiento disponibles para su protección.
En la Figura 6(c) se puede ver una comparación de los resultados obtenidos de la variable capacidad de marketing tecnológico de los tres escenarios propuestos en relación con el escenario problema. El escenario 1 con el bajo presupuesto denota un nivel de acumulación de 1,3 esto es, baja posibilidad de explotación del activo porque no se poseería recursos, herramientas o personal para captar la atención de los clientes, mediante ferias o asistencia a ponencias internacionales para visibilizar la tecnología. En el escenario 2, por medio del rápido aprendizaje para la capacidad de marketing tecnológico se advierte un incremento del nivel acumulado de 4,5, lo que puede significar mayor y mejor vinculación del receptor (industria) con el transmisor (universidad) del conocimiento o la tecnología, tal como lo refleja el estudio de Jácome, Albarrasin y Medina (2017), quienes señalan cómo la transferencia de conocimiento es resultado del aprendizaje continuo dado que este permite responder a los requerimientos de mercado global mediante las capacidades de innovación. Finalmente el escenario 3 (pesimista) revela problemas para hallar el mercado más acorde al conocimiento o tecnología desarrollada y para la definición de un precio adecuado de comercialización, ya que esta capacidad alcanza un máximo de 3,5 de acumulación con respecto al escenario base.
El comportamiento observado en las Figuras 6(d), 6(e) y 6(f), sobre los mecanismos de transferencia de conocimiento spinoff, licenciamientos, consultorías y asesorías indica que en el escenario 1 el bajón de presupuesto tiene un efecto leve de disminución. Esto se debe a que el recurso principal, talento humano, docentes y estudiantes (estables en este escenario), continúan con la creación de conocimiento ya que no depende de un salario adicional para ello. Por esta razón se alcanza un nivel acumulado de 2 spinoff, 12 licenciamientos y 279 consultorías y asesorías durante el periodo de simulación, que se alinean con lo analizado por García, Pérez y Miranda (2018), quienes hallaron que la transferencia de conocimiento y tecnología no depende de aspectos organizacionales en las universidades sino del talento humano destinado a investigar. Además, resalta un factor adicional en los investigadores que tiene que ver con su motivación para generar los activos de conocimiento y su intención de comercializarlos.
A la vez, en las figuras 6(d), 6(e) y 6(f), se visualizan los resultados de la simulación del escenario 2 (optimista), en el que aumenta el nivel de spinoff de 3,4, lo cual revela una acumulación de esfuerzos, en actividades y trámites para la creación de una nueva empresa, que por el límite del horizonte de tiempo de simulación no alcanza a concretarse. Para el escenario de licenciamientos se obtiene un valor acumulado de 31 de estos contratos. Las con-sultorías y asesorías también se incrementan hasta acumular 684 contratos. Esta situación hipotética demuestra que tales variables son susceptibles positivamente a la condición de un rápido aprendizaje del proceso de TCT.
En lo que concierne al escenario 3 para los mecanismos de transferencia, simultáneamente en las figuras 6(d), 6(e) y 6(f) se verifica un decrecimiento con respecto al escenario base. En primer lugar, el nivel de spinoff acumulado es de 1,6 (0,6 de acumulación de esfuerzos para obtener la segunda empresa creada); luego, el valor acumulado para los licenciamientos disminuye a 15. Por último, el nivel de acumulación de las consultorías y asesorías alcanza los 372 contratos. En este sentido, el no contar con suficientes docentes y estudiantes de posgrado dedicados a la investigación, hace que disminuya el conocimiento generado y, en consecuencia, las opciones de transferirlo.
Terminando, en la Figura 6(g) se puede evidenciar el comportamiento de las ventas generadas por los mecanismos de transferencia realizados en los tres escenarios propuestos comparado con el escenario base. En el escenario 1 cuando hay bajo presupuesto para las capacidades, se observa una disminución muy significativa con respecto al escenario problema con un valor acumulado del $105.734.185.339, mientras que las ventas acumuladas según las condiciones del escenario 2 muestran un aumento importante con respecto al escenario base, con un total acumulado de $179.990.512.026. Finalmente, el escenario 3 confirma que con base en las disminuciones presentadas en las capacidades de TCT, también se reducen los niveles en ventas acumuladas por la transferencia de resultados de investigación al mercado, en relación con el escenario problema con un nivel alcanzado de $134.867.031.574.
Acciones en el corto plazo de la Facultad de Minas
De acuerdo con el análisis anterior, el escenario 2 (optimista) se convierte en el propósito a largo plazo de la Facultad de Minas, y para lograrlo debe establecer un plan de acción en ese término que, aunque sus efectos no se evidencien de manera inmediata, requiere dar inicio prontamente. Este plan de acción se enfoca en promover la acumulación de las capacidades (I+D, gestión de PI, y mercadeo) con la intervención de las variables analizadas: presupuesto, aprendizaje y la dedicación de estudiantes de posgrado y docentes a investigar. En virtud de los comportamientos obtenidos en el escenario 2, se evidencia que la Facultad es fuerte en la capacidad de I+D, y que puede dar prioridad a las capacidades de mercadeo y gestión de PI. Como actividades a corto plazo, la recomendación para la Facultad consiste en invertir recursos en estrategias que apunten a mejorar las capacidades de mercadeo y gestión de PI y definir estrategias que permitan aumentar la curva de aprendizaje.
La implementación de estas estrategias está bajo la responsabilidad del Centro de Desarrollo e Innovación (CDI), puesto que cumple la función de enlace entre la Facultad y el entorno (mercadeo) y gestionar los productos resultados de investigación (Gestión de PI). Por tanto, teniendo en cuenta las recomendaciones arrojadas en esta investigación, el Plan interno 2020-2022 del Centro ha sido enriquecido con nuevas estrategias enlazadas al objetivo "Impulsar acciones de relacionamiento y construcción de confianza con las empresas", tal como se muestra en la Figura 7, que corresponde a una extracción del Plan.

Estas nuevas estrategias requieren de la asignación presupuestal y de recursos humanos para garantizar el aprendizaje institucional.
Conclusiones
Con la elaboración del esquema sistémico o el modelo, se concluye que no es posible representar con precisión la realidad; sin embargo, se alcanza un acercamiento a esta, con el propósito de comprender el problema de estudio, en específico la TCT en la Facultad de Minas de la Universidad Nacional de Colombia, sede Medellín, a partir de las capacidades del proceso. En efecto, este modelo permite analizar el proceso y el comportamiento de las variables que allí intervienen y cómo dicho comportamiento se ve afectado por el cambio en otras variables del sistema, por lo que, los escenarios planteados son herramientas para explorar el problema y ofrecen alternativas y estrategias de solución para la toma adecuada de decisiones hacia el desarrollo eficiente de las actividades de transferencia de sus activos de conocimiento y tecnología a la industria.
Se puede notar que los escenarios simulados representan situaciones hipotéticas que contemplan horizontes pesimistas u optimistas para el proceso de TCT de la Facultad de Minas. Estos escenarios se probaron diferentes entre ellos y sus resultados mostraron variaciones, con lo que se exploraron los escenarios que podrían aportar información a tiempo para realizar modificaciones en las variables y obtener resultados más favorables en cuanto a mayor número de activos generados, evaluados, protegidos, y un incremento en los activos establecidos en mecanismos de transferencia e ingresos por ventas efectuadas.
Al analizar los resultados de la simulación del escenario problema de la TCT en la Facultad de Minas, se puede notar un desempeño del proceso, relacionado con el número de spinoff y de licenciamientos concertados, al compararse con el desempeño de otras universidades públicas colombianas y regionales, con los cuales se identifican las mismas capacidades y etapas del proceso. Dentro las principales causas de esto, se encuentra la falta de una estructuración formal del proceso, de incentivos de sus actores para lograr mecanismos de transferencia o del desconocimiento de las partes involucradas en la TCT.
Adicionalmente, los escenarios permitieron corroborar que al intervenir el proceso mediante el aumento del aprendizaje y de las capacidades de TCT, la Universidad Nacional de Colombia puede ganar mayor participación ante estas universidades y ser más competitiva y reconocida, no solo por su excelencia en la docencia e investigación sino por su relacionamiento con el sector productivo, porque es más eficiente en generar conocimiento cada vez más útil al mercado, que no se quede simplemente almacenado.
La visión sistémica del proceso de TCT desarrollada, permitió estudiar las dinámicas e interacciones entre las principales variables que afectan el proceso: el presupuesto inicial, la reinversión de las ventas por transferencia en el proceso, el aprendizaje del proceso, el número de estudiantes de posgrado y los docentes dedicados a investigar, puesto que estas se identificaron como variables sensibles, respaldadas por la literatura, lo que reflejó la relevancia de su estudio para lograr un exitoso desarrollo del proceso de TCT.
Con las condiciones del escenario 2 se observa también que los docentes en ocasiones no se interesan en el proceso de TCT, por varias razones: no saben que existe formalmente, por desconocimiento de los beneficios potenciales, por la percepción del docente en que las etapas del proceso son tediosas o difíciles y porque no sienten suficiente incentivo. También es claro que las organizaciones, incluyendo las universidades e IES, no pueden en ningún momento disminuir ni mantener constante la inversión en sus capacidades de transferencia, debido a que esto reduce o afecta negativamente los niveles de estas capacidades, lo que finalmente es importantísimo, dado que el conocimiento generado en las universidades es valioso y tiene la posibilidad de resolver los problemas reales de la industria, más importantes que los teóricos. Esto último, sustentado en que las facultades de las universidades deben definir estrategias agresivas de inversión durante su ejercicio de I+D, de tal modo que su acumulación de capacidades tenga una aceleración mayor y aporte a la transformación y productividad empresarial, diferenciándose de otras universidades.
En cuanto al alcance, se obtuvieron resultados a partir de la realidad de la Universidad Nacional; sin embargo, estos hallazgos son válidos para otras universidades, por lo que se sugiere para utilizar este modelo de TCT en estudios futuros, revisar las condiciones necesarias para acortar la diferencia entre los activos de conocimiento generados y los efectivamente transferidos al mercado, también verificar el papel de las capacidades y el impacto cuando estas alcanzan el máximo nivel de 5, ya que, son necesarias estrategias para mantener las habilidades aprendidas, de tal forma que la Universidad no incurra en la obsolescencia desmedida de las capacidades. Adicionalmente se recomienda considerar que este modelo solo expresa la perspectiva de la transferencia desde la Universidad; no obstante, puede ser ampliado para otros actores relevantes y sus interacciones, como el Estado, las empresas y los centros de I+D donde también se generan activos de conocimiento y tecnología.
Referencias
Agarwal, R., Anand, J., Bercovitz, J. y Croson, R. (2012). Spillovers Across Organizational Architectures: the Role of Prior Resource Allocation And Communication in Post-Acquisition Coordination Outcomes. Strategic Management Journal, (33), 710-733. DOI: https://doi.org/10.1002/smj.1965
Aksoy, A. Y. y Beaudry, C. (2021). How are Companies Paying for University Research Licenses? Empirical Evidence from University-Firm Technology Transfer. Journal of Technology Transfer, 46(6), 2051-2121. DOI: https://doi.org/10.1007/s10961-020-09838-x
Algañaraz, V. H. y Castillo, G. M. (2018). Teaching And Research At The National University Of San Juan (1994-2015): Impact of the Incentive Program to Teachers-Researchers and the Career Of The Scientific Researcher of CONICET. Prometeica-Revista de Filosofia y Ciencias, (16), 57-77. DOI: https://doi.org/10.24316/prometeica.v0i16.210
Alpizar-Terrero, M. Á., León-Robaina, R. y Dentchev, N. (2017). Las barreras a la comercialización de los resultados de la investigación en la relación universidad-empresa. Estudio de caso The barriers for commercializing science results in the university- industry relationship. A case study. Santiago (145), 204-221. https://santiago.uo.edu.cu/index.php/stgo/article/view/3435/3057
Anzola, G. (2017). ¿Valorar la investigación y la calidad de la producción científica sí es pertinente? Revista U.D.C.A Actualidad & Divulgación Científica, 20(1), 215-219. http://www.scielo.org.co/scielo.php?s-cript=sci_arttext&pid=S0123-42262017000100001 DOI: 10.31910/rudca.v20.n1.2017.39
Arango, S., Prado, J. J. y Dyner, I. (2009). Evaluación de políticas públicas para la reducción de la criminalidad en Medellín: una aproximación con dinámica de sistemas. Ensayos sobre Política Económica, 27(60), 20-109. DOI: https://doi.org/10.32468/Espe.6003
Arechavala, R. y Sánchez, C. F. (2017). Las universidades públicas mexicanas: los retos de las transformaciones institucionales hacia la investigación y la transferencia de conocimiento. Revista de La Educacion Superior, 46(184), 21-37. DOI: https://doi.org/10.1016/j.resu.2017.09.001
Asociación Colombiana de Universidades (Ascun, 2020). Universidades ahora tienen menos estudiantes matriculados. https://ascun.org.co/noticias/ detalle/-universidades-ahora-tienen-menos-estudiantes-matriculados-ce6
Ávila-Toscano, J. H., Romero, I., Saavedra, E. y Marenco-Escuderos, A. (2018). Influencia de la producción de nuevo conocimiento y tesis de postgrado en la categorización de los grupos de investigación en Ciencias Sociales: árbol de decisiones aplicado al modelo científico colombiano. Revista Española de Documentación Científica, 41(4), 218. DOI: https://doi.org/10.3989/redc.2018.4.1547
Bozeman, B., Fay, D. y Slade, C. P. (2012). Research Collaboration in Universities and Academic Entrepreneurship: The-State-Of-The-Art. The Journal of Technology Transfer 38(1), 1-67. DOI: https://doi.org/10.1007/s10961-012-9281-8
Bradley, S. R., Hayter, C. S. y Link, A. N. (2013). Models and Methods of University Technology Transfer. Foundations and Trends* Entrepreneurship, 9(6), 571-650. DOI: https://doi.org/10.1561/0300000048
Briceño, L. y Morales, M. (2015). Desafíos de la política pública colombiana frente a la transferencia de resultados de investigación universitaria. Via Inveniendi Et Iudicandi, 10(1), 43-86. DOI: https://doi.org/10.15332/s1909-0528.2015.0001.02
Carreño, C. (2011). Posgrados sobre desarrollo en América Latina: origen y evolución. Educación y Educadores, 14(2), 8. https://educacionyeducadores.unisabana.edu.co/index.php/eye/article/view/1927 DOI: 10.5294/edu.2011.14.2.5
Castelló, E., López, A. y Méndez, R. (2019). Knowledge transfer from the innovative university. A model of information management in the digital context: the PIEDD case study. Revista Latina de Comunicación Social, (74), 537-553.
Castro, P. A. (2018). Análisis comparativo de la innovación de las empresas mexicanas y extranjeras en el sector farmacéutico. Innovaciones de Negocios, 15(30), 199-221. https://revistainnovaciones.uanl.mx/index.php/revin/article/download/288/257/640
Contreras, F. D., Pérez-Uribe, R. I., Vargas, I. R. y Salcedo-Pérez, C. (2020). Orientation to Organizational Learning and Its Effects on Innovation and Performance: The Colombian MSMEs Case. In A. Masouras, G. Maris, y A. Kavoura (Eds.), Entrepreneurial Development and Innovation in Family Businesses and SMEs (pp. 167-187). IGI Global. DOI: https://doi.org/10.4018/978-1-7998-3648-3
Cruz-Castro, L. y Sanz-Menéndez, L. (2016). The Effects of the Economic Crisis on Public Research: Spanish Budgetary Policies and Research Organizations. Technological Forecasting and Social Change, 113, 157-167. DOI: https://doi.org/10.1016/j.techfore.2015.08.001
De Almeida, L., De Jesús Pacheco, D., Schwengber, C. y Jung, C. F. (2021). A Methodology for Identifying Results and Impacts in Technological Innovation Projects. Technology in Society, 66, 101-574 DOI: https://doi.org/10.1016/j.techsoc.2021.101574
Dell'Anno, D. y del Giudice, M. (2015). Absorptive and Desorptive Capacity of Actors within University-Industry Relations: does Technology Transfer Matter? Journal of Innovation and Entrepreneurship, 4(1), 1-20. DOI: https://doi.org/10.1186/s13731-015-0028-2
Etzkowitz, H. y Leydesdorff, L. (2014). The Endless Transition: A "Triple Helix" of University Industry Government Relations. Minerva, 36(3), 203-208. https://papers.ssrn.com/sol3/papers.cfm?abstract_id=2403723
García, O., Pérez, R. y Miranda, A. (2018). Los profesores-investigadores universitarios y sus motivaciones para transferir conocimiento. Revista Electrónica de Investigación Educativa, 20(3), 43. DOI: https://doi.org/10.24320/redie.2018.20.3.1754
Gerli, F., Calderini, M. y Chiodo, V. (2021). An Ecosystemic Model for the Technological Development of Social Entrepreneurship: Exploring Clusters of Social Innovation. European Planning Studies, 1-23. DOI: https://doi.org/10.1080/09654313.2021.1999396
Gibbons, M., Nowotny, H., Schwartzman, S., Scott, P. y Trow, M. A. (1994). The New Production of Knowledge: the Dynamics of Science and Research in Contemporary Societies (Michael Gibbons, Ed.). DOI: https://doi.org/10.4135/9781446221853
González, J. (2011). Manual de transferencia de tecnología y conocimiento. The Transfer Institute (Edición 2). http://www.negociotecnologico.com/wp-content/uploads/2014/03/Manual-de-transferencia-de-tecno-logia-y-conocimiento.pdf
Halilem, N., Amara, N., Olmos-Peñuela, J. y Mohiuddin, M. (2017). "To Own, or not to Own?" A Multilevel Analysis ofintellectual Property Right Policies' on Academic Entrepreneurship. Research Policy, 46(8), 1479-1489. DOI: https://doi.org/10.1016/j.respol.2017.07.002
Hallam, C., Wurth, B. y Flannery, W. (2014). Understanding the System Dynamics of the University-Industry Technology Transfer Process and the Potential for adverse Policy Creep. Proceedings of PICMET '14 Conference: Portland International Center for Management of Engineering and Technology; Infrastructure and Service Integration, 1129-1136. IEEE. https://ieeex-plore.ieee.org/document/6921289
Hernández, J. (2017). Capacidades tecnológicas y organi-zacionales de las empresas mexicanas participantes en la cadena de valor de la industria aeronáutica. Economía Teoría y Práctica, 0(47), 65-98. DOI: https://doi.org/10.24275/ETYPUAM/NE/472017/Hernandez
Hervas-Oliver, J. L., Sempere-Ripoll, F. y Boronat-Moll, C. (2021). Technological Innovation Typologies and Open Innovation in SMEs: Beyond Internal and External Sources of Knowledge. Technological Forecasting and Social Change, 162, 1-8. DOI: https://doi.org/10.1016/j.techfore.2020.120338
Jácome, L. F., Albarrasin, M. V. y Medina, E. G. (2017). Transferencia de conocimientos e innovación tecnológica. Didáctica y Educación, 8(1), 217-228. https://dial-net.unirioja.es/servlet/articulo?codigo=6630555
Jasimuddin, S. M., Li, J. y Perdikis, N. (2019). An Empirical Study of the Role of Knowledge Characteristics and Tools on Knowledge Transfer in China-Based Multinationals. Journal of Global Information Management, 27(1), 165-195. DOI: https://doi.org/10.4018/JGIM.2019010109
Jiménez-Zapata, Y. A. y Calderón-Hernández, G. (2018). Factores culturales que inciden en la creación de spinoff universitarias. Un estudio en una universidad pública colombiana. Estudios Gerenciales, 34(148), 320-335. DOI: https://doi.org/10.18046/j.estger.2018.148.2595
Klerkx, L. y Leeuwis, C. (2009). Establishment and Embedding of Innovation Brokers at Different Innovation system Levels: Insights from the Dutch Agricultural Sector. Technological Forecasting and Social Change, 76(6), 849-860. DOI: https://doi.org/10.1016/j.techfo-re.2008.10.001
Kochenkova, A., Grimaldi, R. y Munari, F. (2016). Public Policy Measures in Support of Knowledge Transfer Activities: a Review of Academic Literature. Journal of Technology Transfer, 41(3), 407-429. DOI: https://doi.org/10.1007/s10961-015-9416-9
Leischnig, A. y Geigenmüller, A. (2020). Examining Alliance Management Capabilities in University-Industry Collaboration. Journal of Technology Transfer, 45(1), 9-30. DOI: https://doi.org/10.1007/s10961-018-9671-7
Lindkvist, C., Juhasz-Nagy, E., Nielsen, B. F., Neumann, H. M., Lobaccaro, G. y Wyckmans, A. (2019). Intermediaries for Knowledge Transfer in Integrated Energy Planning of Urban Districts. Technological Forecasting and Social Change, 142 (July 2018), 354-363. DOI: https://doi.org/10.1016/j.techfore.2018.07.020
Liu, H., Yu, Y., Sun, Y. y Yan, X. (2021). A System Dynamic Approach for Simulation of a Knowledge Transfer Model of Heterogeneous Senders in Mega Project Innovation. Engineering, Construction and Architectural Management, 28(3), 681-705. DOI: https://doi.org/10.1108/ECAM-01-2020-0077
Londoño, J. A., Velásquez, S. M., Villa, M. E., Franco, F. de J. y Viana, N. E. (2018). Identificación de tipos, modelos y mecanismos de transferencia tecnológica que apalancan la innovación. Revista CINTEX, 23(2), 13-23. https://revistas.pascualbravo.edu.co/ index.php/cintex/article/view/314 DOI: 10.33131/24222208.314
Macías, J. A. (2014). Propuesta de proceso de TRINV en las IES (privadas) de Medellín, a partir de Capacidades de Innovación (Universidad Nacional de Colombia). chrome-extension://efaidnbmnnnibpcajpcglclefindmkaj/viewer.html?pd-furl=https%3A%2F%2Frepositorio.unal.edu.co%2F-bitstieam%2Fhandle%2Funal%2F54522%2F1128400180.2015.pdf%3Fsequence%3D1%26isAllowed%3Dy&-clen=2348593
Macias, J., Valencia, A. y Montoya, I. (2018). Factores implicados en la transferencia de resultados de investigación en las instituciones de educación superior. Ingeniare. Revista Chilena de Ingeniería, 26(3), 528-540. DOI: https://doi.org/10.4067/S0718-33052018000300528
Marulanda-Valencia, F. Á. y Valencia-Arias, J. A. (2019). Evolución y tendencias investigativas en autoeficacia emprendedora: un análisis bibliométrico. Estudios Gerenciales, 35(151), 219-232. DOI: https://doi.org/10.18046/j.estger.2019.151.3277
Marulanda, C. E., Valencia, F. J. y Marín, P. F. (2019). Principales obstáculos para la transferencia de conocimiento en los centros e institutos de investigación del Triángulo del Café en Colombia. Información Tecnológica, 30(3), 39-46. DOI: https://doi.org/10.4067/S0718-07642019000300039
Marulanda, N. y Montoya, I. (2015). Modelo para gestionar el conocimiento en el sector textil de Medellín, empleando dinámica de sistemas. Semestre Económico, 18(38), 161-190. DOI: https://doi.org/10.22395/seec.v18n38a6
Miller, K., McAdam, R. y McAdam, M. (2016). A Systematic Literature Review of University Technology Transfer from a Quadruple Helix Perspective: Toward a Research Agenda. R & D Management, 48(1), 7-24. DOI : https://doi.org/10.1111/radm.12228
Ministerio de Ciencia Tecnología e Innovación (MinCiencias, 2018). Actores del Sistema Nacional de Ciencia, Tecnología e Innovación. https://minciencias.gov.co/sala_de_prensa/actores-del-sistema-ciencia-tecnologia-e-innovacion-reciben-reconocimiento
Ministerio de la Ciencia la Tecnología y la Innovación (MinCiencias, 2020). Transferencia de conocimiento y tecnología. https://minciencias.gov.co/viceministerios/conocimiento/direccion_transferencia/transfe-rencia-conocimiento
Morales, M. E., Sanabria, P. E. y Caballero, D. (2015). Características de la vinculación universidad-entorno en la Universidad Nacional de Colombia. Revista Facultad de Ciencias Económicas: Investigación y Reflexión, 23(1), 189-208. https://dialnet.unirioja.es/servlet/articulo?codigo=5189820 DOI : 10.18359/rfce.615
Olaoye, I. J., Eyitayo, O., Olajide, O. y Oloruntoba, L. (2020). The Role of Research and Development (R&D) Expenditure and Governance on Economic Growth in Selected African Countries. African Journal of Science, Technology, Innovation and Development, 13(6), 663-670. DOI: https://doi.org/10.1080/20421338.2020.1799 300
Paniccia, P. M. A. y Baiocco, S. (2018). Co-evolution of the University Technology Transfer: Towards a Sustainability-Oriented Industry: Evidence from Italy. Sustainability, MDPI, Open Access Journal, 10(12), 1-29. DOI: https://doi.org/10.3390/su10124675
Pérez, G. y Tangarife, P. (2013). Los activos intangibles y el capital intelectual: Una aproximación a los retos de su contabilización. Saber, ciencia y libertad, 8(1), 143-166. https://file:///C:/UsDialnet-LosActivosIntangibles-YElCapitalIntelectual-5109381.pdf DOI: 10.18041/2382-3240/saber.2013v8n1.1891
Quintero, S., Ruiz, W. L., Giraldo, D. P., Velez, L. M., Marín, B. M., Cubillos, S. y Cárdenas, A. Y. (2019). Modelo de transferencia de tecnología para las cadenas productivas agropecuarias: Análisis comparativo de las cadenas del café. http://hdl.handle.net/20.500.11912/4899
Romero, G. A., Suárez, R. M. y Rodríguez, H. G. (2018). Modelo de capacidades de innovación para instituciones de educación superior. Inge Cuc, 14(1), 87-100. DOI: https://doi.org/10.17981/ingecuc.14.1.2018.8
Sánchez-Barrioluengo, M. y Benneworth, P. (2019). Is the Entrepreneurial University also Regionally Engaged? Analysing the Influence of University's Structural Configuration on third Mission Performance. Technological Forecasting and Social Change, 141, 206-218. DOI: https://doi.org/10.1016/j.techfore.2018.10.017
Solís, A., Ovando, C., Olivera, E. y Rodríguez, M. Á. (2020). Desempeño de una Oficina de Transferencia de Tecnología en el contexto de gestión de patentes: Estudio de caso de la OTT de la Benemérita Universidad Autónoma de Puebla. Nova Scientia, 12(24), 1-32. DOI: https://doi.org/10.21640/ns.v12i24.2193
Sterman, J D. (2000). Systems Thinking and Modeling for a Complex World. In Jeffrey J. Shelstad. (Ed.), Management (Vol. 6). DOI: https://doi.org/10.1108/13673270210417646
Sterman, J. D. (2018). System dynamics at sixty : the path forward. System Dynamics Review, 34(1), 5-47. DOI: https://doi.org/10.1002/sdr.1601
Suárez, A., Árias-Arévalo, P. A. y Martínez-Mera, E. (2018). Environmental Sustainability in Post-Conflict Countries: Insights for Rural Colombia. Environment, Development and Sustainability, 20(3), 997-1015. DOI: https://doi.org/10.1007/s10668-017-9925-9
Valencia, A. y Obando, L. (2017). Aproximaciones a la validación en dinámica de sistemas. Puente, 6(2), 61-68.
Vázquez, E. R. (2017). Transferencia del conocimiento y tecnología en universidades. Revista Iztapalapa, 83(38), 75-95. DOI: https://doi.org/10.28928/revistaiz-tapalapa/832017/atc3/vazquezgonzalezer
Vega-González, L. R. (2021). The Importance of Information for Effective University-Firm Technology Transfer: The Case of ICAT-UNAM. American Journal of Management, 21(5), 18-38. DOI: https://doi.org/10.33423/ajm.v21i5.4727
Villalba, M. L., Robledo, J. y Builes, C. Y. (2016). Análisis estratégico de la colaboración entre empresas nacionales y multinacionales de software en Colombia utilizando dinámica de sistemas. International Journal of Psychological Research, 9(1), 83-97. https://www.redalyc.org/articulo.oa?id=299043556010
Wehn, U. y Montalvo, C. (2018). Knowledge Transfer Dynamics and Innovation: Behaviour, Interactions and Aggregated Outcomes. Journal of Cleaner Production, 171, S56-S68. DOI: https://doi.org/10.1016/j.jcle-pro.2016.09.198
Yuan, C., Li, Y., Vlas, C. O. y Peng, M. W. (2018). Dynamic Capabilities, Subnational Environment, and University Technology Transfer. Strategic Organization, 16(1), 35-60. DOI: https://doi.org/10.1177/1476127016667969
Notas