Artículos
Recepção: 20 Dezembro 2023
Aprovação: 18 Março 2024
Publicado: 12 Julho 2024
DOI: https://doi.org/10.18359/rfce.7014
Resumen: Los programas de transferencias monetarias (PTM) se han convertido en una de las estrategias más populares de la política social en la lucha contra la pobreza en los países en desarrollo. Estos programas han demostrado tener efectos positivos sobre la pobreza; sin embargo, también generan preocupación por sus posibles consecuencias sobre el mercado laboral. En este sentido, el objetivo de este artículo es realizar una caracterización de la evolución de los programas de transferencias frente a las variables de pobreza y las variables del mercado laboral como participación e informalidad. Adicionalmente, se realiza la estimación del efecto que ha tenido Familias en Acción sobre estas variables, utilizando la metodología compuesta de Propensity Score Matching con diferencias (PSM-DID) para datos transversales repetidos. Los resultados indican que los PTM han contribuido de manera moderada en la disminución de la pobreza y no tienen mayores efectos sobre el mercado laboral. No obstante, su efecto ha estado más relacionado con el alivio transitorio de la pobreza que con su reducción intergeneracional a largo plazo.
Palabras clave: Programas de transferencias monetarias, pobreza, participación laboral, informalidad, focalización, evaluación de impacto, Familias en Acción.
Abstract: Cash transfer programs (CTP) have become one of the most popular social policy strategies in the fight against poverty in developing countries. These programs have been shown to have positive effects on poverty; However, they also generate concern about their possible consequences on the labor market. In this sense, the objective of this article is to characterize the evolution of transfer programs in the face of poverty variables and labor market variables such as participation and informality. In addition, the effect that Familias en Acción has had on these variables is estimated, using the composite methodology of Propensity Score Matching with differences in differences (PSM-DID) for repeated cross-sectional data. The results indicate that the CVA have contributed moderately to the reduction of poverty and do not have major effects on the labor market. However, its effect has been more related to the temporary alleviation of poverty than to its long-term intergenerational reduction.
Keywords: Monetary Transfer Programs, Poverty, Labor Participation, Informality, Targeting, Impact Evaluation, Familias en Acción.
Resumo: Os programas de transferências monetárias (PTM) se tornaram uma das estratégias mais populares da política social na luta contra a pobreza em países em desenvolvimento. Esses programas têm demonstrado efeitos positivos sobre a pobreza; no entanto, também geram preocupação por suas possíveis consequências sobre o mercado de trabalho. Nesse sentido, o objetivo deste artigo é realizar uma caracterização da evolução dos programas de transferências em relação às variáveis de pobreza e às variáveis do mercado de trabalho, como participação e informalidade. Adicionalmente, é realizada a estimativa do efeito que o programa Familias en Acción teve sobre essas variáveis, utilizando a metodologia composta de Propensity Score Matching com diferenças em diferenças (PSM-DID) para dados transversais repetidos. Os resultados indicam que os PTM contribuíram de maneira moderada para a diminuição da pobreza e não têm maiores efeitos sobre o mercado de trabalho. No entanto, seu efeito está mais relacionado com o alívio transitório da pobreza do que com sua redução intergeracional a longo prazo.
Palavras-chave: Programas de transferências monetárias, pobreza, participação laboral, informalidade, focalização, avaliação de impacto, Familias en Acción.
Introducción
Desde finales del siglo pasado, la política social se ha vinculado estrechamente con la lucha contra la pobreza, justificada en la necesidad de beneficiar a los más pobres en un contexto de escasez, que se aleja de la concepción universalista y mutualista, y se centra en la asistencia social focalizada. Esto originó un nuevo paradigma de la política social que combina elementos nuevos, como la asistencia social a través de subsidios a la demanda, y viejos esquemas de protección social, como la afiliación contributiva a los sistemas de seguridad, basada en la vinculación al mercado laboral.
En este sentido, aunque la protección social constituye un sistema amplio que abarca distintos instrumentos, los PTM se han convertido en una de las estrategias más populares y conocidas en la lucha contra la pobreza. De acuerdo con Banerjee et al. (2022), más de 120 países de renta baja y media cuentan con al menos un tipo de programa de asistencia de carácter monetario, y más de 70 de ellos tienen programas de pensiones sociales. La popularidad de estos programas se puede deber a la importancia política que han ganado, a las ventajas que han evidenciado tener en términos de costos administrativos frente a las transferencias en especie, así como a la eficiencia que han demostrado tener en momentos de crisis, cuando la transferencia de recursos debe ser ágil, como lo fue la emergencia por COVID-19, en la que el giro oportuno de recursos ayudó a mitigar los efectos de la pobreza.
A pesar de su popularidad, también cuentan con críticos debido a problemas asociados a las falencias de los mecanismos de focalización, al uso político-electoral (clientelismo), a su desconexión con otros aspectos de la política social y a los efectos indirectos que pueden tener en otros ámbitos. En este último aspecto, una de las principales críticas se refiere a sus efectos sobre el comportamiento de las personas, ya que una parte significativa de la población asocia la asistencia social con el estereotipo del pobre como alguien poco dispuesto a trabajar. Esto ha llevado a la creencia de que los PTM pueden fomentar la falta de voluntad para emplearse y perpetuar la pobreza. Pese a que las predicciones teóricas sobre este tema rara vez son concluyentes, la evidencia empírica en la mayoría de los casos ha demostrado que los PTM no tienen un efecto significativo en las variables del mercado laboral y que han contribuido de manera considerable a aliviar la pobreza, aunque sus resultados en términos intergeneracionales son más cuestionables.
En este contexto, este trabajo se propone analizar la evolución de los PTM frente a las variables de pobreza, y las variables del mercado laboral -como la participación y la informalidad- a través de la revisión de la literatura, el uso de gráficas y la estimación de modelos econométricos de evaluación de impacto. Para ello, este documento se estructura en cuatro partes. En la primera se lleva a cabo una revisión exhaustiva de la literatura para identificar conceptos clave y presentar estudios previos relacionados con el tema. La segunda describe detalladamente la metodología empleada en la investigación. En la tercera se muestran los resultados obtenidos, y en la última se exponen las conclusiones derivadas de este análisis.
Revisión de literatura
Según Ocampo y Gómez-Arteaga (2017), la nueva visión de la política social se basa en tres instrumentos: la focalización, la participación privada respaldada por subsidios y la descentralización. Estos elementos se combinaron con las políticas sociales existentes, lo que dio lugar a tres tipos de esquemas que coexisten, educación primaria y secundaria con orientación universal tanto pública como privada, un esquema corporativo de seguridad social en pensiones, salud y seguros, y un esquema de subsidios estrictamente focalizado (Ocampo, 2008).
En este último esquema están los PTM, los cuales permiten la focalización del gasto hacia familias o individuos que se encuentran en situación de pobreza según ciertos criterios de condiciones de vivienda e ingresos. De acuerdo con Hevia (2016), la lógica de estos programas es simple, entregar dinero en efectivo a familias previamente identificadas como pobres, de manera que a corto plazo puedan paliar sus restricciones de consumo y generar las condiciones de acumulación de capital humano a largo plazo, con la finalidad de aumentar las capacidades y oportunidades de los niños y jóvenes en el futuro, lo que facilitaría su incorporación al mercado laboral y permitiría romper con la transmisión intergeneracional de la pobreza.
Desde su creación, los PTM han desempeñado un papel destacado en la política social como instrumento para la reducción de la pobreza. Así mismo, su importancia política ha aumentado debido a factores como la mayor cobertura geográfica, el papel de los gobiernos locales en la gestión, focalización y certificación del cumplimiento de condicionalidades, así como la intencionalidad expresada por cada gobierno de incorporarlos en sus planes como mecanismo de lucha contra la pobreza más que en el presupuesto asignado a estos programas. De acuerdo con los cálculos de Acosta et al. (2023), los PTM venían disminuyendo su participación en el Presupuesto General de la Nación (PGN) antes de la pandemia, constituían cerca del 0,85 % de este; durante la pandemia, ascendieron a 3,14 % del PGN y en 2022 se encontraban en 3,8 %. Como porcentaje del PIB no superan el 1 %.
Dada la relevancia de estos programas en el ámbito de la política social, existe un profundo interés en comprender su impacto en diversos aspectos, tales como la educación, la salud, la nutrición y la reducción de la pobreza, para los cuales han sido diseñados específicamente. Además, es fundamental considerar su influencia en otros campos, como el mercado laboral, su posible utilización con fines político-electorales, sus efectos en la vida comunitaria de los beneficiarios, entre otros.
Los efectos sobre el mercado laboral constituyen una de las principales preocupaciones sobre PTM, no solo en el ámbito político, sino entre la población en general, pues se suele asociar con el estereotipo del pobre como perezoso y se considera que al recibir una ayuda monetaria desincentiva el trabajo y el esfuerzo individual. La teoría económica neoclásica no desmiente esta creencia, ya que predice que una transferencia inesperada de ingresos tendría un impacto negativo porque altera los resultados del mercado, su efecto sobre la oferta laboral sería una reducción de esta por parte de los beneficiarios, pues una ganancia inesperada permite a los individuos aumentar su consumo en todos los ámbitos, incluido el ocio (Barrientos y Villa, 2013).
En otras palabras, las transferencias monetarias causarían una reasignación del tiempo de los miembros de un hogar que generaría un efecto sustitución entre el tiempo asignado al ocio y al trabajo, aumentando el primero y disminuyendo el segundo. Sin embargo, se debe tener en cuenta que el efecto de los PTM sobre la reasignación del tiempo puede resultar ambiguo debido a que esta se da en el ámbito familiar. Por ejemplo, las transferencias condicionadas a la asistencia escolar generan una reasignación en el tiempo de los niños entre la dedicación a la escuela y al trabajo, pero no conducen necesariamente a una reasignación en el tiempo de los padres (Canavire-Bacarreza y Ospina, 2015).
Además, se plantea la preocupación de que los diseños de los PTM, especialmente los condicionados, puedan generar desincentivos al empleo, puesto que algunas personas podrían optar por permanecer desempleadas por miedo a perder el acceso al programa si obtienen ingresos adicionales. También existe la posibilidad de que algunas personas prefieran mantenerse en la informalidad laboral para seguir siendo elegibles para los beneficios de los programas sociales.
Por otro lado, de acuerdo con Banerjee et al. (2017), los diseños de estos programas podrían tener efectos positivos sobre el trabajo si contribuyen a aliviar las restricciones crediticias de los pobres o si tienen efectos indirectos. Así mismo, pueden ayudarlos a salir del clásico problema de la trampa de pobreza al permitirles tener un nivel de vida suficiente como para ser trabajadores productivos; además, pueden tener efectos sobre la migración a lugares con más empleo y un aumento indirecto sobre las ventas en los negocios locales (Banerjee et al., 2017).
En este sentido, el efecto teórico de los PTM no es concluyente. Por lo tanto, es necesario revisar la evidencia disponible, ya que el impacto puede depender de diversos factores, como el diseño de cada programa, el método de focalización, el monto de la transferencia, etc., así como de las condiciones económicas subyacentes tanto a nivel nacional como en cada hogar. Estudios internacionales, como los llevados a cabo por Akee et al. (2010); Salehi-Isfahani y Mostafavi-Dehzooei (2018); Banerjee et al. (2017, 2020), entre otros, no han encontrado efectos negativos significativos en la oferta laboral. Sin embargo, algunos autores han señalado que esto podría deberse a los bajos montos de las transferencias, lo que plantea la in-certidumbre sobre si montos más elevados podrían potencialmente desincentivar la participación en el mercado laboral.
Por ejemplo, para Argentina, uno de los países del mundo con el monto más elevado de transferencia por hijo, Garganta y Gasparini (2015) en el estudio sobre la informalidad encuentran que el programa de asignación universal por hijo sí desincentiva la formalización de los beneficiarios para no perder el cupo, aunque no causa un incentivo en los no beneficiarios para pasarse del sector formal al informal. Asimismo, los trabajos de Amarante et al. (2011) para Uruguay y De Brauw et al. (2015) en el caso de la Bolsa de Familia en Brasil, muestran evidencia según la cual los PTM dirigidos a trabajadores informales desalientan la formalización y provocan una reasignación de las horas de trabajo entre el sector formal e informal.
En el caso de Colombia, Barrientos y Villa (2013) llevaron a cabo una investigación empírica sobre este tema mediante un diseño de regresión discontinua aplicado al programa Familias en Acción. Sus hallazgos indicaron que existen efectos pequeños pero positivos en la oferta laboral, los cuales varían dependiendo de la composición del hogar. No obstante, en general, estos efectos fueron marginales. Además, observaron un impacto positivo del programa en la promoción del empleo formal en mujeres. Por otro lado, la evaluación realizada por Econometría SEI (2012) no encontró evidencia de un impacto significativo en la reducción de la oferta laboral, pero tampoco evidencia de que la aumentara. Finalmente, Espinosa y Nanclares (2016) concluyeron que el programa Familias en Acción no desincentiva la oferta laboral ni incrementa la informalidad.
En el caso de programas no condicionados dirigidos al individuo, como Colombia Mayor, es de esperar que su efecto sea más directo y pueda incentivar a sus beneficiarios a dejar el mercado laboral o, en el mejor de los casos, a cambiar de empleo o emprender negocios por cuenta propia en actividades de pequeña escala en el comercio o la agricultura, que a menudo requieren de un capital inicial. Sin embargo, según Pfutze y Rodríguez Castelan (2015), esto es poco probable debido a los bajos montos de pago que ofrece Colombia Mayor. De acuerdo con estos autores, no resulta sorprendente que el impacto de este programa en el mercado laboral sea pequeño o insignificante. Utilizando el método de variables instrumentales, los autores encontraron que la participación laboral de los beneficiarios aumentó, especialmente en el caso de los hombres de 60 años.
De igual manera, según un estudio realizado por Álvarez et al. (2022) sobre el programa Ingreso Solidario, el cual también es una transferencia no condicionada, no se observó un desincentivo en la participación laboral de los hogares ni se generaron efectos sobre el empleo formal o el número de horas trabajadas. En cambio, se encontraron efectos positivos en el consumo y la inclusión financiera. Además, el programa ayudó a mantener el nivel de ingresos de las familias más afectadas por la pandemia.
En contraste, otros autores han encontrado evidencia de que los Programas de Transferencia Monetaria (PTM) afectan el mercado laboral. Mora (2015), utilizando la técnica de variables instrumentales, encuentra que, aunque ser beneficiario de Familias en Acción aumenta la ocupación de las madres y las hijas, disminuye las horas trabajadas por parte de los padres y aumenta la informalidad, pues fomenta el autoempleo en los hogares beneficiarios. Por su parte, Saavedra-Caballero y Ospina Londoño (2018) identificaron que ser beneficiario de Familias en Acción lleva a una disminución de la informalidad en los asalariados, pero a un aumento en el número de trabajadores independientes no capacitados e informales. Este fenómeno se justifica por el uso de la ayuda por parte de los beneficiarios para financiar pequeñas actividades independientes.
Del mismo modo, Farne et al. (2016), utilizando la metodología de diferencias en diferencias con datos panel de la Encuesta Longitudinal Colombiana de la Universidad de los Andes (ELCA), descubrieron que los beneficiarios de algún tipo de subsidio aumentan la probabilidad de estar en la informalidad en 12 pp (puntos porcentuales), mientras que no se observaron impactos significativos en la participación laboral. En el caso de Familias en Acción, se encontraron los efectos más pronunciados, con un aumento de 12 pp en la participación y 11 pp en la informalidad. Es importante destacar que estos resultados se basan en el método de emparejamiento por el vecino más cercano; en otros métodos utilizados en el artículo los efectos no son tan grandes y, en algunos casos, no son significativos. Además, para los programas de Colombia Mayor, ayuda por emergencias y ayuda a desplazados, no se encontraron efectos significativos en ninguna de las dos variables.
En este sentido, la evidencia empírica es mixta y depende de los datos y la metodología utilizada. Según los estudios presentados anteriormente, se puede afirmar que los efectos son más pronunciados cuando se emplean datos longitudinales, como en el caso del ELCA, y tienden a ser más modestos o insignificantes en análisis basados en cortes transversales y cortes transversales repetidos. Sin embargo, es importante señalar que en Colombia la disponibilidad de datos longitudinales es limitada y no permite realizar análisis a largo plazo. Además, de acuerdo con estos trabajos, se observa un impacto mayor en la informalidad laboral en comparación con la participación laboral.
Por su parte, los efectos sobre la pobreza son más concluyentes. En general, se han observado efectos positivos en la disminución de la pobreza en variables multidimensionales como la asistencia escolar, la nutrición y el consumo. Urrutia y Robles Báez (2018) encuentran que pertenecer a Familias en Acción se asocia con un incremento en el consumo de alimentos y una reducción de la pobreza extrema, asimismo, con mejoras en la matrícula escolar y la probabilidad de graduarse. En esta misma línea, Obando y Andrian (2016) descubren una reducción de la pobreza de hasta 4 pp. Por su parte, Attanasio et al. (2021) detectan efectos sobre una menor deserción escolar. En el caso de Colombia Mayor, Hessel et al. (2018) encuentran que los beneficiarios tienen mejoras relacionadas con la salud, debido a menores hospitalizaciones y menos reportes de mala salud, aunque los efectos solo son significativos en el caso de los hombres.
Para Angulo y Gómez (2015), la reducción de pobreza multidimensional en Colombia durante los últimos años es un reflejo más claro del efecto de las políticas, pues ha sido más ágil que la reducción de la pobreza monetaria; de modo que, de acuerdo con los autores, la reducción de la pobreza ha sido más jalonada por la política social que por la generación de ingresos, pues la inserción laboral y la creación de empleos formales de calidad siguen siendo un reto para el país.
Teniendo en cuenta que estos programas tienen un enfoque de reducción de la pobreza estructural a través de la dotación de capacidades a los hogares mediante la mejora de indicadores en los niveles de educación, salud, disminución de tasas de deserción, etc., el cumplimiento en términos de cobertura ha demostrado ser satisfactorio. Sin embargo, con frecuencia la medición del impacto en referencia a la calidad es escasa, así que es muy poco lo que se puede decir sobre la disminución efectiva de la pobreza y el cierre de brechas en la atención y calidad de los servicios. De acuerdo con la CEPAL,
Dado que las transferencias tienden a focalizarse en los más pobres, pero no siempre representan un monto elevado (...) el impacto se expresa principalmente en acercar los ingresos de los hogares a la línea de pobreza o extrema pobreza, pero no necesariamente en superarlas. (CEPAL, 2016, p. 75)
Metodología
El presente documento tiene como objetivo llevar a cabo un análisis del impacto de los PTM en Colombia, centrándose en su influencia en la pobreza y el mercado laboral. Según datos del Departamento de Prosperidad Social (DPS), para el año 2021 había cinco PTM de orden nacional en funcionamiento. Aunque sería interesante analizar el impacto individual de cada uno de estos programas sobre la pobreza y el mercado laboral, las estimaciones econométricas se limitaran al programa Familias en Acción debido a limitaciones de espacio y alcance en este trabajo. Este programa es el más antiguo y cuenta con el mayor número de beneficiarios, excluyendo el programa Ingreso Solidario, que se creó en 2020 en respuesta a la emergencia sanitaria y finalizó en diciembre de 2022.
Así mismo, la elección del programa Familias en Acción también responde a la conveniencia para aplicar la metodología PSM-DD a una de sus fases. En 2013, se comenzó a aplicar el Sisbén m como nueva medida de focalización de los programas y coincidió con la tercera fase Familias en Acción, este sincronismo hace propicio evaluar los efectos de esta fase, utilizando el año 2013 como punto de referencia. Además, este documento se apoya en la revisión de la literatura existente y el uso de gráficas para mostrar un contexto sobre la evolución de la pobreza y el mercado laboral en el país en relación con los PTM.
Datos y fuentes de información
Para identificar el impacto de los PTM sobre el mercado laboral y la pobreza, se utilizarán los micro-datos de la Encuesta Nacional de Calidad de Vida (ECV) realizada por el Departamento Nacional de Estadística (DANE) para el periodo 2013 a 2020, la cual contiene información sobre el individuo y el hogar en múltiples variables demográficas que permiten medir las condiciones de vida del hogar, la fuerza de trabajo, salud, educación, entre otras.
Para el cálculo de la pobreza monetaria y pobreza extrema se utilizaron las líneas nacionales de pobreza para las cabeceras y rural disperso calculadas por el DANE en la Gran Encuesta Integrada de Hogares (GEIH), por eso los datos pueden diferir ligeramente de los oficiales.
Metodología de evaluación de impacto
Al analizar variables de interés como la pobreza, la participación laboral y la informalidad, es crucial considerar la endogeneidad inherente a estas y las características no observables de los hogares. Siguiendo a Bernal y Peña (2011), es importante reconocer que los resultados para los hogares en ausencia del programa Familias en Acción no son necesariamente idénticos entre participantes y no participantes debido a las diferencias preexistentes.
Por lo tanto, para establecer la diferencia en la variable de resultado (pobreza, participación laboral e informalidad) entre un grupo que participa en Familias en Acción y otro que no, pero cuyas posibilidades de participación son similares, se empleará la metodología de evaluación de impacto. Esta metodología permite discernir el efecto diferencial entre ambos grupos en presencia o ausencia del programa.
Ya que el programa se focaliza en un grupo específico de población, lo más apropiado es utilizar diseños cuasiexperimentales basados en contrafactuales, que permiten construir un grupo de comparación y eliminar el sesgo de selección, lo que posibilita así una evaluación más precisa del impacto del programa. Existen varios diseños cuasiexperimentales que permiten construir un contrafactual válido según los datos disponibles y la regla de asignación del programa.
Dado que el programa Familias en Acción se enfoca deliberadamente en hogares en situación de pobreza que tienen menores de edad, para evaluar su impacto de manera objetiva se emplea la combinación de dos métodos ampliamente utilizados para obtener estimaciones no sesgadas: el emparejamiento por puntaje de propensión y las diferencias en diferencias (PSM-DID) en datos transversales. Esta metodología ha sido previamente utilizada por el Departamento Nacional de Planeación para evaluar la fase III de Familias en Acción entre 2013 y 2018. Esta combinación de métodos ayuda a reducir el sesgo de selección tanto por variables observadas (PSM) como por variables no observadas e invariantes en el tiempo (DID).
Aunque la mayor parte de la literatura sobre PSM-DID se centra en datos de panel, también se puede aplicar a datos de corte transversales repetidos, que son más comunes en las evaluaciones de políticas y programas (Binci et al., 2018). La adaptación del modelo PSM-DID a datos transversales repetidos fue inicialmente presentada por Blundell y Costa Dias (2000, 2005, 2009), y ha sido replicada en varios estudios sobre programas sociales. Algunos trabajos recientes que emplean este enfoque para evaluar programas sociales incluyen los de (Arteaga et al., 2019; Binci et al., 2018; Echeverri Durán et al., 2019; Khiem et al., 2020, entre otros).
En la literatura se encuentran dos estrategias para aplicar el procedimiento PSM-DID: la primera implica la comparación directa de las estimaciones de efecto medio sobre los tratados (ATT) entre la línea de seguimiento y la línea base a lo largo del tiempo; la segunda estrategia implica emparejar las observaciones a lo largo del tiempo para construir un soporte común y luego realizar estimaciones del efecto del tratamiento sobre el mismo (Binci et al., 2018). Este documento opta por utilizar la segunda estrategia, ya que permite aplicar el DID solo a las observaciones que son muy similares entre sí, dado que han sido emparejadas previamente.
En este sentido, para evaluar el programa Familias en Acción, se seguirá el siguiente procedimiento: en primer lugar, dado que el programa está dirigido exclusivamente a hogares con menores, se restringe el grupo potencial a aquellos con miembros menores de 18 años.
En segundo lugar, se lleva a cabo el emparejamiento para cada año utilizando la metodología PSM. Este enfoque implica comparar solo los tratados y no tratados dentro de un soporte común, es decir, unidades con probabilidades similares de participación en el tratamiento. Esta probabilidad se estima mediante variables que determinan la participación en Familias en Acción (tabla 1). Aquellas unidades que quedan fuera del soporte común se excluyen del emparejamiento.

Para emparejar las unidades basadas en el puntaje de propensión estimado, se utiliza el algoritmo de emparejamiento por Kernel. En este método, se pondera la distancia entre los puntajes de propensión de los individuos, asignando mayor peso a aquellos que son más similares en términos de características observables relevantes.
En tercer lugar, después del emparejamiento, se estimará el modelo de diferencias en diferencias utilizando únicamente las unidades dentro del soporte común. Para ello, se toma el año 2013 como punto de partida o periodo base, y los años siguientes hasta 2020 como periodos de seguimiento o de intervención. De esta manera, considerando que los datos son de corte transversal repetido, se creará una variable dicotómica que tomará el valor de 0 en 2013 y 1 para los años 2014 a 2020. La estimación por diferencias en diferencias permitirá analizar el efecto del programa en los años posteriores en relación al inicio de la fase. Este enfoque metodológico es similar al utilizado por Arteaga et al. (2019) para evaluar la fase iii del programa Familias en Acción.
Variables
En la tabla 1 se presentan las variables que se utilizarán en las estimaciones econométricas, proporcionando detalles sobre los valores de cada una de ella.
Con el propósito de abordar los objetivos de la investigación, se definen como variables resultado las siguientes: pobreza multidimensional, participación laboral e informalidad. En el caso de la pobreza multidimensional, esta se refiere a la medición realizada por el DANE, que considera 15 indicadores en las dimensiones de educación, niñez y juventud, trabajo, salud y vivienda a partir de la Encuesta de Calidad de Vida (ECV). Evaluar el impacto sobre esta medida, en lugar de la pobreza monetaria, puede ofrecer una visión más holística, ya que el estatus de pobreza no se determina únicamente por un umbral de ingresos. Es importante señalar que, aunque la transferencia de dinero puede tener efectos sobre los indicadores, no cambia automáticamente la condición de pobreza en caso de que eleve los ingresos del hogar por encima de la línea de pobreza.
La variable de participación laboral se aplica a individuos mayores de 15 años que están empleados o en busca de empleo. En cuanto a la informalidad, se determina a través de las respuestas a preguntas relacionadas con la afiliación a la seguridad social y la cotización a un fondo de pensión, aplicándose únicamente a aquellos que se encuentran ocupados. Las variables de control o covariables comprenden características socioeconómicas seleccionadas debido a su relevancia como posibles factores determinantes para ser considerados beneficiarios de Familias en Acción; así como por su estabilidad a lo largo del tiempo, tales como la condición de desplazado, la etnia y la posesión de bienes, entre otras.
Finalmente, los cálculos se presentan año tras año, a partir del año base, es decir, desde 2014 hasta 2020, además de considerar el análisis para todo el período, desagregado por áreas. Sin embargo, en el caso del año 2017, la comparación se limita a los hogares ubicados en las cabeceras municipales, ya que la ECV para este año no recopiló información correspondiente a áreas rurales dispersas. Igualmente, al realizar el análisis agregado se excluye el año 2017 para evitar errores debido a la falta de comparabilidad con los demás años.
Resultados
En primer lugar, se presenta un análisis gráfico que brinda contexto sobre la participación de los PTM en el total de la población, así como en los pobres y la relación de los PTM con las variables de interés. De acuerdo con los datos de la ECV para el 2019, aproximadamente el 19 % de la población recibía al menos algún programa de transferencia monetaria. Esta cifra aumentó significativamente para el año 2020, cuando llegó aproximadamente al 27 %, como se muestra en la figura 1. Además, se observa que la cantidad de hogares beneficiarios había estado disminuyendo desde el año 2015, pero experimentó un aumento significativo en el año 2020 debido a la creación del programa Ingreso Solidario durante la pandemia de COVID-19.

En cuanto al programa Familias en Acción, este ha experimentado una disminución progresiva desde el año 2015, mientras que Colombia Mayor ha mostrado un aumento constante entre 2013 y 2021, aunque la población beneficiaria de este programa es apenas una pequeña parte de los adultos mayores que no poseen una pensión. En términos generales, la tasa de crecimiento anual de Colombia Mayor entre 2013 y 2021 fue del 6,5 %. En contraste, Familias en Acción experimentó un decrecimiento del 6,4 %, y la cantidad de hogares que recibieron al menos una transferencia monetaria aumentó en 3,6 % durante ese período.
Es importante señalar que estos datos incluyen los años de la pandemia (2020 y 2021), en los cuales se ampliaron los giros de estos programas como una medida extraordinaria. Pero, si observamos el comportamiento hasta 2019, justo antes de la pandemia, notamos que solo Colombia Mayor presentaba un crecimiento anual promedio positivo de aproximadamente el 7,2 %; en cambio, Familias en Acción experimentó un decrecimiento de 5,2 %. El rubro de otros subsidios venía decreciendo en 1,6 % y el número de hogares que declaraban recibir al menos una transferencia también había disminuido en 1,9 % entre 2013 y 2019.
Esto demuestra que la pandemia cambió drásticamente el panorama de las transferencias monetarias, casi duplicando la cantidad de hogares beneficiarios de 2019 a 2020. Es importante destacar que este cambio podría ser temporal, ya que el comportamiento de Familias en Acción siguió siendo negativo, posiblemente debido a una menor población objetivo. Además, los giros extraordinarios se han agotado y los programas de emergencia solo se extendieron hasta 2022.
No obstante, teniendo en cuenta las decisiones que ha tomado el nuevo Gobierno en relación con los programas de transferencias monetarias, como se detalla en su Plan de Desarrollo, en términos generales, se espera un aumento en el monto por hogar y en la cobertura de estos programas. Por lo tanto, se podría esperar que esta nueva administración no busque reducir la asistencia social, sino más bien ampliarla, mediante la modificación o eliminación de programas existentes y la creación de nuevos, como es el caso del programa Renta Ciudadana que, de acuerdo con lo dicho en el PND, se confía que armonice todos los PTM condicionados y no condicionados a cargo del Departamento de Prosperidad Social.
Por otro lado, si nos centramos únicamente en los hogares en situación de pobreza monetaria, aproximadamente el 40 % de ellos recibieron al menos una transferencia monetaria en el año 2020, como se observa en la tabla 2. Esto significa que más de la mitad de los hogares considerados pobres no recibió ningún tipo de ayuda económica, lo que indica deficiencias en el proceso de focalización, ya que una parte significativa de la población en condición de pobreza está siendo excluida de los programas de asistencia. Este porcentaje es casi 10 % superior en el caso de la pobreza extrema y menor en la pobreza multidimensional, que se sitúa alrededor del 50 %.

Es importante mencionar que, si bien los datos de Ecv no corresponden a las cifras oficiales y se puede estar sobreestimando o subestimando la cobertura, varios estudios han revelado que los beneficiarios de PTM no están necesariamente limitados a los más pobres. De acuerdo con Cuervo y Rodríguez (2020), utilizando datos de la GEIH, 66,8 % de la población en situación de pobreza no recibe ningún programa de transferencias. Así mismo, antes de la pandemia, en 2017, según Fedesarrollo (2021), 52 % de los hogares pobres quedaban excluidos de alguna transferencia directa por parte del Estado. Además, el director del DNP en junio de 2023 afirmó que uno de los propósitos fundamentales para trabajar en la construcción del Registro Universal de Ingresos (RUI) es el de mejorar la focalización de los programas sociales. De acuerdo con él: "(...) en el estrato 1 hay 540.000 hogares que no deberían recibir subsidios y, en general, son alrededor de 3,5 millones que reciben sin ser considerados pobres o vulnerables" (DNP, 2023, párr. 2).
Este problema en la focalización ha sido ampliamente diagnostico a lo largo de los años, no solo en Colombia, sino en la mayoría de los países en desarrollo. De acuerdo con Banerjee et al. (2022), dadas las dificultades de estos países para focalizar las transferencias en función del ingreso o el empleo, como se hace en los países desarrollados, debido al gran tamaño del sector informal que impide observar los ingresos de los trabajadores informales o el rastreo de ingresos muy bajos, optan por las pruebas de medios indirectos para predecir sus ingresos, como el caso del Sisbén. Pero este método ha mostrado tener muchos errores de inclusión y exclusión debido a problemas en la recolección de la información, así como en el registro de información falsa de manera intencional.
Además, este registro de información se renueva cada cierto número de años, lo que impide que la información sea actualizada, a diferencia de los países desarrollados donde los datos provienen del sistema tributario, por lo que la actualización es automática (Banerjee et al., 2022). En Colombia se ha buscado avanzar en la solución de estos inconvenientes mediante la mejora continua del Sisbén en sus distintas versiones, y ahora se pretende ir más allá con el mencionado RUI, el cual se basará en registros administrativos.
Adicionalmente, es importante destacar que en la tabla 2 se puede observar que más del 60 % de los hogares en situación de pobreza extrema no están incluidos en los PTM, y esta cifra es superior a la de los hogares en pobreza monetaria que también están excluidos de estos programas. Teniendo en cuenta que estos programas fueron concebidos inicialmente para aliviar la pobreza extrema, es evidente que muchos PTM se han expandido para incluir otros niveles de pobreza menos profunda, antes de lograr niveles satisfactorios de cobertura y reducción de la pobreza extrema. Esto puede ser el resultado de una decisión política y no necesariamente indicar una mala focalización, decisión que es cuestionable, ya que puede generar niveles de subcobertura entre los más pobres y una mayor exclusión, pues esta parte de la población es la que más sufre de carencias en el acceso y la calidad de los servicios sociales.
Por otro lado, en las figuras 2, 3 y 4 se presenta un análisis descriptivo de la evolución conjunta de las variables en relación con los PTM, diferenciando entre los hogares no beneficiarios y aquellos que reciben al menos un programa de transferencias. Ahora, entendiendo que los PTM no componen la totalidad del sistema de protección social, si observamos los resultados sobre la pobreza podríamos indicar que han sido modestos. La pobreza monetaria, que era de aproximadamente 40 % en 2012, logró reducirse a 35 % antes de la pandemia. En el caso de la pobreza extrema, la reducción fue apenas de 2 %. Si nos enfocamos exclusivamente en los beneficiarios de los PTM , la disminución de la pobreza monetaria ha sido mucho más notable, pues ha sido de casi 10 %. En cuanto a la pobreza extrema, los resultados han sido igual de modestos que en el conjunto.



La figura 2 demuestra que la pobreza monetaria ha tendido a disminuir de manera más rápida en los hogares que reciben alguna transferencia en comparación con aquellos que no, aunque aún se mantiene en niveles considerablemente más altos. Además, también permite observar una convergencia entre la pobreza monetaria y la pobreza extrema entre los participantes y no participantes de los PTM. Sin embargo, esta convergencia no se debe únicamente a la reducción de la pobreza en los beneficiarios, sino también al aumento de la pobreza en los no beneficiarios. Esto coincide con los modestos resultados en la disminución de la pobreza a nivel agregado, ya que mientras la población beneficiaria disminuye el indicador, la población no beneficiaria lo aumenta.
Lo anterior, plantea un escenario de análisis para la política social, ya que se puede pensar que se está excluyendo a la mayor parte de los pobres de los PTM o que una cantidad considerable de personas no consideradas pobres en determinado momento están cayendo en la pobreza con más rapidez. Además, surge la preocupación de si otras medidas necesarias para enfrentar la pobreza están recibiendo la suficiente atención, lo que impide alcanzar los resultados deseados a nivel agregado.
De igual forma, en la figura 2 también se observa un aumento de la pobreza monetaria para el 2020, tanto a nivel general como entre los no beneficiarios de los programas, mientras que entre los beneficiarios se registró una disminución. Este fenómeno también se evidenció en el caso de la pobreza extrema. Estos hallazgos revelan una situación particular, ya que las transferencias monetarias desempeñaron un papel crucial en la contención del aumento de la pobreza monetaria, lo cual podría considerarse un aspecto positivo. Empero, es importante matizar esta situación, ya que también indica la vulnerabilidad de la mayoría de los hogares, lo que sugiere que la política social no ha logrado proporcionar a las personas una forma efectiva de superar la pobreza a través de la generación autónoma de ingresos.
Además, la caída en el ritmo de la disminución de la pobreza monetaria coincide con la desaceleración de la economía. De acuerdo con Fedesarrollo (2021), mientras entre 2012 y 2015 se logró disminuir la pobreza en 4,6 %, entre 2015 y 2019 solo disminuyó 0,4 %, lo que coincide con el deterioro económico después del choque petrolero de 2014. Por tanto, otros aspectos de la economía son fundamentales para lograr disminuir los niveles de pobreza.
Por su parte, en la figura 3 se observa el comportamiento de la pobreza multidimensional. Se identifica que, tanto entre beneficiarios como entre no beneficiarios, desde 2013 se venía dando una desaceleración constante de la pobreza, y se mantenía una brecha similar entre ambos grupos durante el período, con excepción de 2020. En este año, la pobreza entre los beneficiarios del programa PTM creció de manera considerable, a diferencia de aquellos que no perciben programas. Esto sugiere un deterioro de las condiciones de vida de los beneficiarios debido a la pandemia.
Finalmente, en cuanto al mercado laboral, según los datos de la Ecv, se puede apreciar en la figura 4 una disminución en la participación en el mercado laboral en el conjunto de la población. No obstante, esta disminución ha sido más pronunciada entre los beneficiarios de los PTM que entre aquellos que no reciben ningún programa. Además, se observa una tasa de informalidad más alta en los hogares que reciben alguna transferencia en comparación con los que no reciben ninguna. Esta tasa ha permanecido relativamente estable a lo largo de todo el período en ambos grupos. En otras palabras, la informalidad ha sido difícil de reducir tanto en los beneficiarios como en los no beneficiarios de los PTM . Dado que las variables del mercado laboral se han comportado de manera similar, es difícil sostener a simple vista si los PTM tienen un efecto directo sobre estas.
Impacto sobre la pobreza
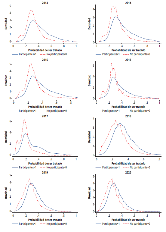
A continuación, se presentan las estimaciones realizadas para el programa Familias en Acción. Se incluyen los resultados del modelo acotado solo a los hogares incluidos en el soporte común a través del método PSM-DD. En el Anexo 1 se presentan las gráficas de los soportes calculados.
Los resultados se presentan para cada año desde 2014 hasta 2020, además del efecto total para el periodo. Las estimaciones se llevaron a cabo incluyendo controles. Sin embargo, debido a limitaciones de espacio y practicidad, se muestran únicamente el estimador PSM-DD correspondientes a cada año en este informe. En primer lugar, se exponen los resultados obtenidos en relación con la pobreza multidimensional. Antes de hacer el cálculo del PSM-DD se garantizó la calidad del emparejamiento, buscando reducir el sesgo al mínimo. Las gráficas de la prueba realizada por año se presentan en el Anexo 2.
En la tabla 3, se observa que participar en el programa Familias en Acción reduce la probabilidad de que un hogar se encuentre en pobreza multidimensional en aproximadamente 2,2 pp durante el período total, en comparación con hogares similares que no reciben el beneficio. Sin embargo, es importante destacar que este efecto es heterogéneo si se analiza año por año. Para los años 2014, 2015, 2016 y 2017 no se observan efectos significativos; estos comienzan a ser apenas significativos al quinto año de la puesta en marcha de la tercera fase, con una reducción de 4,5 pp en 2018 y 2,66 en 2019, respectivamente, con respecto al año 2013. En el caso de 2020, nuevamente el programa no muestra efectos significativos sobre la pobreza multidimensional. Esto puede atribuirse a que, debido a la pandemia, gran parte de los indicadores del IPM se vieron afectados, lo que causó un deterioro general en las condiciones de vida de muchos hogares con respecto al año base.

Así mismo, es importante destacar que los efectos varían según la ubicación geográfica. En la tabla 3 también se presentan las diferencias por áreas. Los efectos en la zona urbana son notablemente mayores que en la rural; de hecho, en el área rural, el único año con un impacto significativo fue en 2018 y, en 2020, de manera particular, se observó un aumento en la probabilidad de estar en pobreza multidimensional para los participantes de Familias en Acción en comparación con el año 2013. Este efecto podría atribuirse nuevamente al empeoramiento de las condiciones de vida de los hogares durante la pandemia, los cuales, medidos por el IPM, se vieron más afectados en el área rural, especialmente en indicadores de escolaridad y salud.
Sin embargo, cabe destacar que el efecto de la transferencia de dinero por la emergencia sanitaria en el corto plazo tuvo un efecto sobre los ingresos considerablemente mayor en el área rural que en la urbana en el caso de la pobreza monetaria. Según los cálculos realizados por el DANE para el año 2020, el conjunto de las ayudas sociales, considerando todas las transferencias monetarias ordinarias y extraordinarias1, el aumento de la pobreza monetaria debido a la pandemia de COVID-19 fue 3,6 pp menor de lo esperado a nivel nacional, 2,6 en la zona urbana y 7,1 en el área rural. En el caso de la pobreza extrema a nivel nacional, la disminución fue de 4,7 pp, con 3,3 % en la zona urbana y un 9,7 % en la rural, como se observa en la tabla 4.

Sin embargo, es importante matizar este efecto, ya que, aunque las ayudas monetarias lograron reducir significativamente la pobreza, especialmente en el área rural y de manera más leve en la zona urbana, la tendencia en la pobreza monetaria venía presentando una disminución lenta con una persistente brecha entre las áreas urbana y rural. El alarmante aumento de la pobreza urbana de 2019 a 2020 sugiere que las ciudades no fueron tan efectivas en el manejo de la emergencia. Es interesante notar que mientras en el área urbana la pobreza aumentó, en el área rural disminuyó (aunque en menor medida que el aumento urbano).

Como se mencionó, el impacto de las transferencias monetarias fue mucho más importante en el área rural, no obstante, es evidente que los efectos de la pandemia se magnificaron en las ciudades debido a la estructura económica, ya que las actividades urbanas suelen estar más concentradas en sectores que sufrieron cierres debido al aislamiento preventivo, mientras que las actividades rurales suelen estar enfocadas en la agricultura, que no se vio tan afectada. Además, las medidas de aislamiento en estas zonas tuvieron un menor impacto.
Por lo tanto, el cierre de la brecha urbano-rural fue meramente temporal y se debió en gran medida a la parálisis circunstancial de la economía de las ciudades. Es decir, aunque los PTM tuvieron un impacto importante, sus efectos no se pueden exagerar basados en lo sucedido en 2020. En la figura 4 se observa cómo después de la pandemia la tendencia vuelve a su comportamiento histórico, con un fuerte aumento en la brecha urbano-rural de 6,8 pp en el caso de la pobreza monetaria y 8,5 en la pobreza extrema.
Así mismo, la brecha en el caso de la pobreza multidimensional es notablemente grande, de aproximadamente 26,8 pp en 2013 y 24,6 en 2020, según cálculos del DANE. Sin embargo, en este caso, se destaca que la brecha entre zonas urbanas y rurales ha venido disminuyendo después de la pandemia. Esto posiblemente se debe a que el IPM tiene una relación más estrecha con la política social que la pobreza por ingresos. Sus variables, aunque requieran tiempo para cambiar, son más susceptibles a ser afectadas por la política pública de manera permanente a través de la asistencia social, mientras que la pobreza por ingresos depende en gran medida de las circunstancias inherentes al crecimiento económico y a la generación de ingresos autónomos.
Impacto sobre el mercado laboral
A continuación, se presentan las estimaciones obtenidas sobre el mercado de trabajo para las variables de participación laboral e informalidad. En la tabla 5 se observa que recibir Familias en Acción tuvo un impacto significativo sobre la probabilidad de participación laboral en la totalidad del período frente a 2013, de 1,3 pp. Igualmente, los efectos por año muestran ser significativos en los años 2015, de 2,8 pp; 2019, de 2,66 pp, y en el 2020, de 2,12 pp. Estos resultados son más pequeños en comparación con los de la pobreza y su significancia estadística es menor. De igual forma, cabe destacar que en los impactos, al desagregar por áreas, no se observan efectos significativos en la zona rural.


En cuanto a la informalidad, en la tabla 6 se observa que en el primer año y en el 2019 se obtiene un efecto positivo, aunque no significativo, mientras que en los demás años el efecto es negativo y significativo para el 2018 y 2020. Así mismo, en la totalidad del período se da un efecto negativo de 1,5 puntos porcentuales. Este efecto es significativo solo en el caso de la zona urbana, mientras que en el área rural en ningún año se da un efecto estadísticamente significativo.
Los resultados sobre el mercado laboral muestran que en el caso de Familias en Acción no se producen mayores efectos que conduzcan a un cambio de comportamiento en la oferta laboral y la informalidad. En cuanto a esta última, como veíamos, es evidente que es más alta entre los beneficiarios de PTM, pero esto no es consecuencia directa de recibir la ayuda, sino que puede ser debido a una circunstancia previa que la ayuda no logra revertir, pero se aclara que aunque los PTM no están dirigidos a aumentar la empleabilidad o la formalización, sí buscan mejorar las capacidades a largo plazo de sus beneficiarios con la finalidad de que se incorporen más fácilmente al mercado laboral o que logren generar ingresos de manera autónoma. Lo que, de acuerdo con la figura 4, no parece estar lográndose a cabalidad. Pues cabe destacar que, aunque existe una relación estrecha entre la pobreza y el empleo, la primera no se soluciona solamente con la consecución de un trabajo, puesto que existen distorsiones en el mercado laboral que dificultan que el trabajo se convierta en una fuente estable de generación de ingresos y de acceso a las prestaciones sociales.
La CEPAL (2016) señaló este fenómeno haciendo referencia al programa Oportunidades de México, en concreto, y apuntó que se ha tenido un impacto limitado y poco significativo en cuanto a movilidad ocupacional, si bien se ha logrado aumentar el nivel educativo de los destinatarios, esto no se ha traducido en una mejoría de sus ingresos, debido a la falta de oportunidades productivas y laborales, la cual es una preocupación común entre los programas de la región.
En este sentido, no se da una transición natural desde la acumulación de capital humano hacia la inserción en mercado laboral y a la generación de mayores ingresos, como se esperaría a largo plazo. Y esto no es esencialmente debido al diseño de los PTM, ya que existen problemáticas asociadas al mercado laboral como la generación insuficiente de puestos de trabajo, los salarios bajos y el vínculo laboral precario, que son externas al funcionamiento de estos programas. Giraldo (2016), citando a Álvarez (s. f.), indica que en Colombia se ha dado un fuerte debilitamiento del vínculo laboral, lo que ha llevado a la pérdida de derechos sociales ligados al contrato laboral, en particular la seguridad social.
En este sentido, "la política social se debate en una contradicción entre la asistencia social y la generación de empleo" (Giraldo, 2016, p. 15). A pesar de que el trabajo es la principal forma de inserción social de las personas, la política social no gira en torno a este. Además, la conexión de los PTM con otros programas orientados a iniciativas productivas o empleo asalariado es limitada, pues solo cubre una pequeña parte de los beneficiarios, se centra en la capacitación y formación de habilidades para el trabajo y muy pocas veces en la creación de empleo formal de calidad. De igual forma, de acuerdo con Medellín et al. (2015), no existe evidencia de que las intervenciones orientadas a la generación de ingresos funcionen o de cómo afecten a los beneficiarios de PTM.
Esta brecha entre las mejoras de capital humano debido a los PTM y la poca inserción al mundo laboral no es un descubrimiento nuevo y organizaciones como la CEPAL están conscientes de esto, y por eso en los últimos años se ha enfatizado en la importancia de pensar la política social de una manera conjunta con la política económica, productiva y laboral (CEPAL, 2016). Por lo tanto, aunque las políticas sociales de asistencia, como los PTM, son esenciales para enfrentar los impactos económicos, mejorar la capacidad de respuesta y reducir el riesgo de las personas más pobres en tiempos de recesión económica, no son suficientes. La lucha contra la pobreza exige ir más allá de simples intervenciones para corregir distorsiones a corto plazo y debe centrarse en la búsqueda de condiciones de vida estables a largo plazo.
Conclusiones
Desde su creación, los PTM han llegado a poblaciones históricamente excluidas de la protección social, como los trabajadores informales y los no asalariados. No obstante, el proceso de selección de beneficiarios ha demostrado tener altos costos y deficiencias, lo que ha resultado en la exclusión de hogares en situación de pobreza. Según datos de diversos estudios, aproximadamente la mitad de los hogares identificados en situación de pobreza monetaria no han sido incluidos en los PTM. En Colombia se están considerando soluciones como el RUI, pero su efectividad solo podrá demostrarse en futuros estudios.
Por otro lado, según la evidencia cuantitativa, los PTM han tenido un impacto positivo en términos de cobertura en los sectores de salud y educación. Además, se ha constatado que han contribuido al aumento del consumo y a la reducción de los casos de embarazo adolescente, entre otros indicadores. Sin embargo, es fundamental destacar que existen muy pocos estudios que evalúen la calidad de estos programas. Esto se debe, en parte, a que los PTM no tienen como objetivo la mejora de la calidad, sino más bien la ampliación de la cobertura. De manera similar, la oferta de servicios básicos tampoco ha priorizado avances de la calidad.
Los resultados de la investigación indican que los hogares beneficiarios del programa Familias en Acción reducen su probabilidad de estar en pobreza multidimensional en 2,2 pp durante el periodo, en comparación con hogares similares que no participaron en el programa. Cabe destacar que el efecto es heterogéneo por año y solo se observan efectos significativos en los años 2018 y 2019.
Así mismo, los resultados muestran que los avances en la reducción de la pobreza han sido moderados y que la disminución de la brecha entre la pobreza de los beneficiarios y no beneficiarios se debe en gran medida al aumento de la pobreza en el segundo grupo, y no exclusivamente a la contribución de los Programas de Transferencias Monetarias (PTM) en la población beneficiaria.
También se observa que la tasa de pobreza a nivel nacional ha disminuido lentamente y que los logros alcanzados antes de la pandemia se vieron afectados por esta crisis. Por lo tanto, aunque los PTM no constituyen la totalidad de los esfuerzos en la lucha contra la pobreza, su efecto podría ser transitorio y no estar generando una reducción de la pobreza intergeneracional a largo plazo. Esto puede atribuirse, en parte, al bajo monto de recursos transferidos, una focalización deficiente, la falta de una conexión efectiva entre las mejoras en el capital humano y la inserción exitosa en el mercado laboral, así como la falta de interconexión con otras políticas, como la laboral.
Por otro lado, los resultados relacionados con el mercado laboral indican que ser beneficiario de Familias en Acción no tiene un impacto significativo en la probabilidad de no participar en el mercado laboral o de permanecer en la informalidad. Por lo tanto, aunque los PTM han demostrado su eficacia en el alivio de la pobreza, se reconoce la necesidad de adoptar un enfoque más integral de la política social. Enfoque que trascienda la ayuda asistencial y se complemente con medidas relacionadas con la estructura de la economía y el mercado laboral, con el fin de lograr una reducción de la pobreza que no sea meramente transitoria, sino sostenible a lo largo de las generaciones, y así reducir la desigualdad de manera efectiva. Esta tarea aún sigue siendo un desafío pendiente.
Referencias
Acosta, K., Taboada-Arango, B., Otero-Cortés, A. y Bonet-Morón, J. (2023). Evolución de las transferencias monetarias en Colombia. Documentos de trabajo sobre economía regional y urbana, 315. https://doi.org/10.32468/dtseru.315
Akee, R. K. Q., Copeland, W. E., Keeler, G. and Costello, E. J. (2010). Parents' incomes and children's outcomes: A quasi-experiment using transfer payments from casino profits. American Economic Journal: Applied Economics, 2(1), 86-115. https://www.aeaweb.org/articles?id=10.1257/app.2.1.86
Álvarez, E., Gallego, J., Hoffmann, B., Medina, M. P., Pecha, C., Stampini, M., Vargas, D. y Vera-Cossio, D. A. (2022). Evaluación de impacto de corto y mediano plazo del Programa Ingreso Solidario. https://doi.org/10.18235/0004395
Amarante, V., Manacorda, M., Vigorito, A. y Zerpa, M. (2011). Social Assistance and Labor Market Outcomes: Evidence from the Uruguayan PANES. https://publications.iadb.org/en/social-assistance-and-labor-mar-ket-outcomes-evidence-uruguayan-panes
Angulo, R. y Gómez, N. (2015). Inclusión social e inclusión productiva de los beneficiarios del programa Más Familias en Acción Estudio de caso de Colombia. En [Seminario Regional "Articulación entre transferencias monetarias e intervenciones para la inclusión social y productiva: estrategias diferenciadas en las áreas rurales y en las áreas urbanas"]. https://dds.cepal.org/redesoc/publicacion?id=4371
Arteaga, N., Trujillo, C. y Gómez, L. (2019). Evaluación de impacto Familias en Acción. En [Documentos DSEPP Dirección de Seguimiento y Evaluación de Políticas Públicas]. Departamento Nacional de Planeación. https://colaboracion.dnp.gov.co/CDT/Sinergia/Documentos/Evaluacion_Impacto_FEA_Informe_Resultado.pdf
Attanasio, O., Sosa, L. C., Medina, C., Meghir, C. y Posso-Suárez, C. M. (2021). Long Term Effects of Cash Transfer Programs in Colombia. https://doi.org/10.3386/w29056
Banerjee, A., Hanna, R., Olken, B. A. and Lisker, D. S. (2022). Social protection in the developing world (MIMEO, Ed.). https://economics.mit.edu/sites/default/fi-les/2023-08/Social_Protection_paper_manuscript.pdf
Banerjee, A. V., Hanna, R., Kreindler, G. E. and Olken, B. A. (2017). Debunking the stereotype of the lazy welfare recipient: evidence from cash transfer programs. The World Bank Research Observer, 32(2), 155-184. https://doi.org/10.1093/wbro/lkx002
Barrientos, A. y Villa, J. (2013). Antipoverty transfers and labour force participation effects (Global Development Institute Working Paper Series). https://EconPapers.repec.org/RePEc:bwp:bwppap:18513
Bernal, R. y Peña, X. (2011). Guía práctica para la evaluación de impacto (Ediciones UC, Ed.).
Binci, M., Hebbar, M., Jasper, P. and Rawle, G. (2018). Matching, differencing on repeat. Propensity score matching and difference-in-differences with repeated cross-sectional data: Methodological guidance and an empirical application in education. https://www.opml.co.uk/pu-blications/working-paper-matching-differencing-re-peat
Blundell, R. y Costa Dias, M. (2000). Evaluation Methods for Non-Experimental Data. Fiscal Studies, 21(4), 427-468. https://doi.org/10.1111/j.1475-5890.2000.tb00031.x
Blundell, R. and Costa Dias, M. (2009). Alternative Approaches to Evaluation in Empirical Microeconomics. Journal of Human Resources, 44(3), 565-640. https://doi.org/10.3368/jhr.44.3.565
Canavire-Bacarreza, G. y Ospina, M. (2015). Intrahouse-hold Time Allocation: An Impact Evaluation of Conditional Cash Transfer Programs. Documentos de Trabajo CIEF. https://ideas.repec.org/p/col/000122/013481.html
CEPAL. (2016). Capítulo II: Políticas de superación de la pobreza, políticas sectoriales y sistemas de protección social. En Desarrollo social inclusivo: una nueva generación de políticas para superar la pobreza y reducir la desigualdad en América Latina y el Caribe (pp. 65-87). https://www.cepal.org/es/publicaciones/39100-de-sarrollo-social-inclusivo-nueva-generacion-politi-cas-superar-la-pobreza
Cuervo, B. Y. D. y Rodríguez, L. N. (2020). Más y mejores transferencias monetarias en tiempos de COVID-19. Universidad de los Andes, Escuela de Gobierno Alberto Lleras Camargo. http://hdl.handle.net/1992/40800
DANE. (2021). Presentación resultados pobreza monetaria en Colombia 2020. https://www.dane.gov.co/index.php/estadisticas-por-tema/pobreza-y-condiciones-de-vida/pobreza-monetaria/pobreza-monetaria-2020
DANE. (2022). Presentación de resultados pobreza monetaria en Colombia 2021. https://www.dane.gov.co/index.php/estadisticas-por-tema/pobreza-y-condiciones-de-vida/pobreza-monetaria/pobreza-monetaria-2021
De Brauw, A., Gilligan, D. O., Hoddinott, J. and Roy, S. (2015). Bolsa Família and Household Labor Supply. Economic Development and Cultural Change, 63(3), 423-457. https://doi.org/10.1086/680092
DNP. (2023, junio 16). DNP presenta las bondades del Registro Social de Hogares en el Congreso de Andesco. https://www.dnp.gov.co/Prensa_/Noticias/Paginas/el-ideal-es-avanzar-en-el-registro-universal-de-in-gresos-para-identificar-a-las-familias-mas-pobres-y-otorgar-subsidios.aspx
Echeverri Durán, C., Restrepo, D. M. y Morales, L. F. (2019). Medios de transporte sostenibles y mercado de bienes residenciales. Un análisis para Medellín. Revista Desarrollo y Sociedad, 83, 145-183. https://doi.org/10.13043/dys.83.4
Econometría - SEI. (2012). Impactos de largo plazo del programa Familias en Acción en municipios de menos de 100 mil habitantes en los aspectos claves del desarrollo del capital humano. http://centrodedocumentacion.prosperidadsocial.gov.co/Documentos%202019/DTMC/Evaluaciones/2012/2012-IMPACTOS%20 A%20LARGO%20PLAZO%20EN%20MUNICIPIOS%20DE%20100MIL%20HABITANTES.pdf
Espinosa, F. y Nanclares, E. (2016). Efectos del programa Más Familias en Acción sobre variables del mercado laboral.
Farne, S., Guerrero, D. A. R. y Ríos, P. (2016). Impacto de los subsidios estatales sobre el mercado laboral en Colombia. Obs. Mercado de Trabajo y Seguridad Social. https://ideas.repec.org/p/col/000194/016013.html
Fedesarrollo. (2021). Reformas para una Colombia Post-COVID-19. Hacia un nuevo contrato social. En Fedesarrollo: Centro de Investigación Económico y Social. Fedesarrollo: Centro de Investigación Económico y Social. https://www.repository.fedesarrollo.org.co/handle/11445/4087
Garganta, S. y Gasparini, L. (2015). The impact of a social program on labor informality: The case of AUH in Argentina. Journal of Development Economics, 115, 99110. https://doi.org/10.1016/j.jdeveco.2015.02.004
Giraldo, C. (2016). Política social contemporánea. Un paradigma en crisis (Contemporary Social Policy. A Paradigm in Crisis). SSRN Electronic Journal. https://doi.org/10.2139/ssrn.2801386
Hessel, P., Avendaño, M., Rodríguez-Castelán, C. y Pfutze, T. (2018). Social pension income associated with small improvements in self-reported health of poor older men in Colombia. Health Affairs, 37(3), 456-463. https://doi.org/10.1377/hlthaff.2017.1284
Hevia, F. (2016). Los riesgos de los programas de transferencias condicionadas y la construcción de ciudadanía: el caso de Progresa/Oportunidades de México. Reflexión Política, 18(35), 28-41. https://doi.org/10.29375/01240781.2462
Khiem, P. H., Linh, D. H., Tai, D. A. and Dung, N. D. (2020). Does tuition fee policy reform encourage poor children's school enrolment? Evidence from Vietnam. Economic Analysis and Policy, 66, 109-124. https://doi.org/10.1016/j.eap.2020.03.001
Medellín, N., Ibarrarán, P., Stampini, M. y Villa, J. M. (2015). Hacia adelante: recertificación y estrategias de salida en los programas de transferencias monetarias condicionadas. (Círculo Salvo Comunicación, Ed.). Banco Interamericano de Desarrollo. https://repositorio.minedu.gob.pe/handle/20.500.12799/4241
Mora, V. (2015). Transferencias monetarias condicionadas y oferta laboral en Colombia: El caso de 'Familias en Acción' [Universidad Nacional de Colombia]. https://repositorio.unal.edu.co/handle/unal/54671?show=full
Obando, N. y Andrian, L. G. (2016). Measuring Changes in Poverty in Colombia: The 2000s. Inter-American Development Bank, Bank, Technical Note IDB-TN-1074. https://publications.iadb.org/en/measuring-chan-ges-poverty-colombia-2000s
Ocampo, J. A. (2008). Las concepciones de la política social: universalismo versus focalización. Nueva Sociedad, 215, 36-61. https://static.nuso.org/media/articles/downloads/3521_1.pdf
Ocampo, J. A. y Gómez-Arteaga, N. (2017). Los sistemas de protección social, la redistribución y el crecimiento en América Latina. Revista CEPAL, 122. https://hdl.hand-le.net/11362/42030
Pfutze, T. y Rodríguez Castelán, C. (2015). Can a Small Social Pension Promote Labor Force Participation? (Policy Research Working Papers). World Bank, Washington, DC. https://doi.org/10.1596/1813-9450-7516
Saavedra-Caballero, F. y Ospina Londoño, M. (2018). Asistencia social e informalidad: analizando la relación en Colombia. Revista de Economía del Rosario, 21(1). https://doi.org/10.12804/revistas.urosario.edu.co/economia/a.6801
Salehi-Isfahani, D. and Mostafavi-Dehzooei, M. H. (2018). Cash transfers and labor supply: Evidence from a large-scale program in Iran. Journal of Development Economics, 135, 349-367. https://doi.org/10.1016/j.jde-veco.2018.08.005
Urrutia, M. y Robles Báez, C. (2018). Las transferencias condicionadas en Colombia: una historia del programa Familias en Acción (2001-2018). Documentos CEDE, 54. http://hdl.handle.net/1992/41053
Anexo 1. Soportes calculados

Anexo 2. Prueba calidad del emparejamiento por año

Notas