MATERIALES COMPUESTOS DE MATRIZ POLIMÉRICA USADOS PARA EL BLINDAJE DE INTERFERENCIA ELECTROMAGNÉTICA
POLYMER BASED COMPOSITES FOR SHIELDING ELECTROMAGNETIC INTERFERENCE
MATERIALES COMPUESTOS DE MATRIZ POLIMÉRICA USADOS PARA EL BLINDAJE DE INTERFERENCIA ELECTROMAGNÉTICA
Ciencia e Ingeniería Neogranadina, vol. 27, núm. 1, pp. 5-26, 2017
Universidad Militar Nueva Granada
Recepción: 14 Junio 2016
Revisado: 05 Septiembre 2016
Aprobación: 01 Noviembre 2016
Resumen: Este trabajo tiene como propósito revisar el estado del arte en la síntesis y caracterización de materiales de matriz polimérica reforzados con compuestos a base de carbón o ferritas para su uso como materiales atenuadores de interferencia electromagnética (EMI). Recientemente, este tipo de materiales han sido objeto de investigación debido a sus potenciales aplicaciones tecnológicas, economía y de ser además ambientalmente amigables, puesto que polímeros o cauchos reciclados se pueden utilizar para su fabricación. Estos compuestos pueden ser empleados en la producción de blindajes electromagnéticos, transductores, entrega focalizada de medicamentos, marcación de órganos, hipertermia magnética, etc. Para la fabricación de este tipo de materiales compuestos se usan refuerzos particulados, fibras o láminas y como matrices polímeros termoplásticos o termoestables, cauchos sintéticos o naturales. El método de producción de los compuestos (mezcla fundida, métodos químicos, etc.) influye en las propiedades eléctricas, magnéticas y electromagnéticas del material obtenido, debido a la relación de aspecto de los refuerzos: compuestos con elevada relación de aspecto de sus refuerzos tendrán mejores propiedades magnéticas, eléctricas y desempeño frente a la interferencia electromagnética. El blindaje electromagnético de estos materiales se cuantifica a través de la efectividad del blindaje (SE) o en otros casos a través de la pérdida reflectiva (RL). Una efectividad de blindaje de 30 dB corresponde a 99,9% de atenuación de la radiación electromagnética incidente. En todos los trabajos se comprueba que las propiedades del compuesto dependen de la cantidad y del tipo de refuerzo adicionado a la matriz.
Palabras clave: material compuesto, ferritas, carbón, atenuación electromagnética, blindaje electromagnético, resistividad, conductividad, magnetización.
Abstract: This work aims at revising the state of the art in the synthesis and characterization of polymer/ ferrites or polymer/carbon based composites used as EMI shielding materials. In recent years, such composites have been subject of research not only due to their potential technological applications and economy advantages, but also because they are environmentally friendly since some recycled materials such as some plastics and rubbers may be used for their production. Composites of this kind are used in different applications such as magnetic and microwave absorption, transducers manufacturing and biomedical applications like targeted drug delivery, labeling organs, magnetic hyperthermia, among many other things. Fillers of different shapes are used to produce these kinds of composites. Particles, fibers or sheets from several materials can be employed as matrices; for example, thermoplastic or thermoset polymers, synthetic or natural rubbers. It was found that the production method (melt-blending, solution processing, etc.) influenced the electric, magnetic and electromagnetic properties of the composite material due to the aspect ratio of the fillers: fillers with high aspect ratios result in composites with improved electrical, magnetic and better EMI shielding performance. The electromagnetic shielding for these materials is quantified through the shielding effectiveness (SE) or by the reflective loss (RL). A shielding effectiveness of 30 dB corresponds to a 99.9% of electromagnetic attenuation. It was proved that the composite properties depend on the filler content within the matrix.
Keywords: composite material, ferrites, carbon, electromagnetic attenuation, electromagnetic shielding, resistivity, conductivity, magnetization.
Referencia: A. O. Garzón Posada, D. A. Landínez Téllez, J. Roa Rojas, J. R. Barrado (2017). Materiales compuestos de matriz polimérica usados para el blindaje de interferencia electromagnética . Ciencia e Ingeniería Neogranadina, 27 (1), pp. 5-26, DOI: http://dx.doi.org/10.18359/rcin.1917 .
INTRODUCCIÓN
El desarrollo acelerado de sistemas eléctricos y electrónicos empleados en la industria, las comunicaciones, la aviación, la computación, la medicina, sistemas de defensa militar, etc., ha traído consigo especial atención sobre materiales compuestos que combinan la flexibilidad, el bajo peso, las buenas propiedades mecánicas y la facilidad de moldeo de los polímeros junto con las propiedades magnéticas y eléctricas de materiales de refuerzo a base de carbono y/o ferritas. Por otro lado, la producción y proliferación de nuevos dispositivos eléctricos y electrónicos tienen como consecuencia el desplazamiento progresivo de las comunicaciones hacia frecuencias más altas y mayores anchos de banda, esto incrementa la radiación de ondas electromagnéticas de alta frecuencia. Dispositivos como motores de corriente alterna, impresoras, equipos de iluminación, instrumentación, comunicación y sistemas digitales son considerados las fuentes principales de emisión de radiación electromagnética que puede perturbar e interferir el correcto funcionamiento de otros elementos electrónicos cercanos. Esto es causado por los efectos de corrientes inducidas a través de los campos eléctricos y magnéticos emanados por la amplia gama de circuitos eléctricos. La interferencia electromagnética (EMI) se produce cuando los dispositivos electrónicos están sujetos a la radiación electromagnética de fuentes no deseadas en el mismo rango de frecuencias en los cuales funcionan [1]. Entre las principales problemáticas que pueden causar la EMI se encuentran la interrupción severa de dispositivos controlados electrónicamente o remotamente, generación de imágenes falsas (especialmente en radares náuticos y aéreos), degradación en la eficiencia, fiabilidad, tiempo de vida y seguridad de los equipos eléctricos, perturbación en canales de comunicación, reducción en el rendimiento de procesos automatizados, pérdida de energía, tiempo y recursos. Además, hoy en día es ampliamente discutido en todo el mundo los riesgos potenciales para la salud humana y los sistemas biológicos asociados con la exposición a campos electromagnéticos [2].
Los niveles de contaminación electromagnética que actualmente se presentan y que nunca antes habían sido alcanzados, generan la imperiosa necesidad de investigar y desarrollar nuevos materiales para el blindaje electromagnético de dispositivos. El blindaje electromagnético se define como la mitigación en la propagación de ondas electromagnéticas de una región a otra mediante el uso de materiales conductores y/o magnéticos. El blindaje puede lograrse reduciendo al mínimo la señal que pasa a través de un sistema, ya sea por la reflexión de la onda o por absorción y disipación de la radiación dentro del material [3]. Los parámetros que se deben tener en consideración para la producción de este tipo de materiales son: operatividad en una amplia banda de frecuencias, elevado coeficiente de absorción, baja reflectividad, bajo peso específico, pequeño espesor, así como adecuadas propiedades mecánicas y resistencia a la degradación ambiental [2,3]. De esta manera se pretende lograr dispositivos electromagnéticamente compatibles con su entorno, al evitar la interferencia electromagnética entrante y saliente [4,5]. La efectividad de blindaje EMI (SE) se expresa en decibelios (dB) [6]. Una eficacia de blindaje de 30 dB, que corresponde a 99,9% atenuación de la radiación EMI, es considerada un nivel adecuado de protección para muchas aplicaciones [5].
Los metales son empleados típicamente como materiales de blindaje EMI debido a que reflejan la radiación electromagnética incidente. Esta protección es conocida hace ya más de dos siglos como el efecto "jaula de Faraday" y se basa en la reorganización de las cargas en el interior de un conductor al ser sometido a un campo electromagnético externo de tal manera que se cancela el campo eléctrico al interior o al exterior del conductor dependiendo de la posición de la fuente [3]. Sin embargo, este tipo de materiales tienen como principales desventajas su elevado peso y densidad, alto costo, susceptibilidad a la corrosión y ajuste limitado de la eficacia del blindaje (SE). Además, los metales reflejan principalmente la radiación y por tanto no se pueden utilizar en aplicaciones militares de vigilancia y sigilo, donde la absorción de ondas de alta frecuencia como las producidas por dispositivos de localización es necesaria [4].
Recientemente, gran cantidad de investigaciones han tenido como objetivo el diseño y fabricación de materiales compuestos para el blindaje EMI utilizando materiales poliméricos como matrices reforzadas con diferentes tipos de cargas de variada naturaleza y morfología: partículas, nanotubos y fibras [2, 6, 7, 8, 9]. La adición de partículas o refuerzos conductivos en las concentraciones adecuadas dentro de la matriz aislante polimérica tiene como fin inducir la absorción de la radiación electromagnética limitando al mismo tiempo la reflexión total que produce en la superficie del material [3]. No obstante, en el diseño de estos materiales compuestos debe tenerse en cuenta que en la medida en que se aumenta la concentración del refuerzo, también pueden incrementarse factores como el peso, el costo y la complejidad del procesamiento. Además, es clave para el material de refuerzo tener adecuada relación de aspecto, homogeneidad en su dispersión y elevada conductividad, para así obtener valores aceptables de efectividad en el blindaje EMI [3, 4].
En el presente trabajo se plantea la revisión del estado del arte en el diseño y caracterización de materiales compuestos con matriz polimérica con buenas propiedades magnéticas y eléctricas que pueden llegar a ser empleados como blindaje frente a la interferencia electromagnética (EMI). Para ello se contará con tres secciones. En la Sección 1 se expondrán los desarrollos experimentales de los trabajos revisados, así como los mecanismos de blindaje por los cuales la atenuación EMI se lleva a cabo por parte de los materiales compuestos de matriz polimérica. Posteriormente, en la Sección 2 se evaluarán los resultados de los trabajos revisados teniendo en cuenta la naturaleza diversa de los diferentes materiales compuestos empleados (tipo de material de la matriz y del refuerzo). En la última sección se hará un balance general de los resultados encontrados en los trabajos más relevantes.
1. DESARROLLOS EXPERIMENTALES
Para la fabricación de compuestos de matriz polimérica reforzados con partículas, fibras o láminas, diferentes tipos de materiales han sido combinados como matrices: se han empleado cauchos sintéticos [10,11] o naturales [12] y plásticos termoplásticos [13,14] o termofijos [7,14]. Como materiales de refuerzo se utilizan comúnmente compuestos a base de carbón como: el negro de carbón (CB) [10, 11, 12, 13, 14, 15], las fibras de carbono (CNF) [16,17] o los nanotubos de carbono (CNTs) [6,18,19] y las láminas de grafeno (GS) [20]. También se pueden emplear partículas de ferritas blandas como las ferritas de níquel, níquel zinc, ferrita de manganeso zinc y magnetita, ferritas duras como la ferrita de bario, de estroncio o de cobalto [21, 22, 23, 24, 25, 26]. Igualmente, es posible encontrar materiales de matrices poliméricas reforzadas con una combinación de los diferentes tipos de refuerzo mencionados [27].
Los contenidos del material de refuerzo agregados en matrices de caucho, normalmente particulados, se dan en phr por sus siglas en inglés (parts per hundred of rubber), lo que significa partes del refuerzo por cien partes del elastómero crudo usado como matriz. Se prefiere esta expresión en lugar de enunciar el refuerzo como un porcentaje del peso total del compuesto. Las "partes" pueden significar cualquier unidad de peso (gramo, libra, kilogramo), siempre y cuando la misma unidad de peso sea utiliza en toda la formulación. En el caso de materiales compuestos con matrices termoplásticas, termoestables o cuando se utilizan refuerzos como fibras y nanotubos de carbono, los contenidos de estos se suelen formular en porcentajes del peso o volumen total del compuesto.
A continuación, se clasificarán los diferentes tipos de compuestos de matriz polimérica que pueden ser empleados como blindaje frente a la interferencia electromagnética (EMI) de acuerdo a la naturaleza de los refuerzos. En este trabajo se pondrá especial énfasis en aquellos compuestos reforzados por ferritas, materiales a base de carbono y la combinación de estos. Finalmente, en esta sección, se expondrán los mecanismos de blindaje por los cuales la atenuación EMI se lleva a cabo por parte de los materiales compuestos de matriz polimérica, con el fin de tener mejor comprensión sobre los resultados obtenidos en cada uno de los trabajos realizados.
Compuestos de matriz polimérica / refuerzos a base de carbono
El negro de carbono o CB por su denominación en inglés (carbon black) es un nombre genérico para una familia de pequeñas partículas de pigmentos de carbono que se forman en la fase gaseosa por la descomposición térmica de hidrocarbonos. Principalmente se usan como refuerzo en compuestos de cauchos con el fin de mejorar sus propiedades mecánicas y su durabilidad. Cauchos como el EPDM [10], SBR [11] y mezclas de caucho natural NR [12], son las matrices más comunes usadas para la preparación de compuestos reforzados con negro de carbono que incluyen aplicaciones de blindaje EMI. La fabricación de este tipo de compuestos se lleva a cabo por medio de molinos de cauchos o a través de mezcladoras internas, seguido por una etapa de curado. Esta última etapa normalmente se lleva a cabo en máquinas vulcanizadoras. Partículas de CB también han sido dispersadas en matrices termoplásticas (LDPE [13] y polipropileno [15]) y en matrices termoestables como las resinas epoxi [14].
Las fibras de carbono (CNF) son manufacturadas a partir del poliacrilonitrilo (PAN) y generadas a través del crecimiento por vapor. Su morfología, estructura y dimensiones dependen del catalizador y de la fuente del carbón. Níquel, cobre, hierro y sus respectivas aleaciones son los principales catalizadores usados mientras que las fuentes principales de carbón son el propano, el etileno y el acetileno [9]. La morfología de estas nanofibras de carbono crecidas por medio de vapor (VGCNF) puede ser lineal, helicoidal o retorcida. Sus diámetros generalmente oscilan entre 50- 200 nm y sus longitudes son mayores a los 50 μm [9]. Dentro de las matrices más utilizadas se tiene el etilvinilacetato (EVA) debido a que ofrece mejor desempeño comparada con otras matrices como el EPDM o el caucho natural (NR) gracias a su elevada polaridad [16]. Las nanofibras de carbono se han empleado también como refuerzos de matrices termoplásticas (polietileno de alta densidad) usando mezcladoras internas como herramienta de fabricación [17]. Para este método de fabricación donde se requiere de agitadores o husillos de mezcla se tiene como particularidad el incremento del torque de mezclado al aumentarse el contenido de CNF en la matriz debido a la poca adhesión entre las fibras y la matriz.
Los nanotubos de carbono se pueden considerar como láminas de grafeno enrolladas y huecas en forma de cilindros. Estos pueden estar constituidos por arreglos de un solo cilindro hueco, lo que en inglés recibe el nombre de single-walled carbón nanotubes (SWNTs), o por una colección de cilindros concéntricos de grafeno, los cuales se denominan multi-walled carbón nanotubes (MWNTs). Principalmente se conocen tres métodos para la fabricación de este tipo de materiales: descarga de arco eléctrico [28], ablación láser [29] y deposición química de vapor [30]. Debido a su pequeño diámetro, los CNTs poseen alta relación de aspecto, proporcionando ventajas substanciales frente a los refuerzos convencionales de carbono puesto que propiamente dispersos en la matriz la transición del material de aislante a conductor ocurre a bajos contenidos de hasta 2 wt% [4]. La fabricación por medio de mezcladoras internas es el principal método usado para la dispersión de CNTs en matrices poliméricas como el tereftalato de polietileno (PET), polietileno (PE), polipropileno (PP) [6, 18], ácido poliláctico (PLA), entre otros. Una intensa ruptura de los nanotubos de carbono y por ende la disminución en su relación de aspecto se genera con este método a pesar de ser el método más implementado. La conductividad eléctrica y por consiguiente la efectividad del blindaje se ve reducida. Al mezclarse los CNTs con matrices de resinas epoxi es posible conservar mayor relación de aspecto debido a la facilidad que tiene este tipo de matrices termoestables para fundirse sobre el refuerzo [19].
Las láminas de grafeno o GS por su nombre en inglés "graphene sheets" han atraído la atención de la comunidad científica en los últimos años gracias a sus excelentes propiedades mecánicas, térmicas y eléctricas [20]. Debido a su estructura bidimensional de espesores atómicos, la transición del material (aislante/conductor) se puede lograr a concentraciones muy bajas, indicando una conductividad elevada y por tanto buenas propiedades de blindaje EMI.
Compuestos de matriz polimérica / refuerzos de ferrita
Las ferritas son compuestos de tipo cerámico derivados de óxidos de hierro combinados con uno o más elementos metálicos. Este tipo de materiales son no conductivos y ferrimagnéticos. Las ferritas se pueden dividir en duras o blandas de acuerdo a su coercitividad. La coercitividad (Hc) se define como la intensidad del campo magnético que se debe aplicar a un material para reducir su magnetización a cero luego de que ha sido magnetizado hasta llegar a la saturación magnética o punto en el cual la magnetización del material no aumenta a pesar de que se incremente el campo magnético exterior. Las ferritas blandas se caracterizan por su poca coercitividad y por tener lazos estrechos de histéresis magnética, mientras que las ferritas duras se caracterizan por tener anchos lazos de histéresis y mayores coercitividades. De tal manera que las ferritas duras pueden ser usadas como imanes permanentes y las ferritas blandas en aplicaciones donde se requieran magnetizaciones/desmagnetizaciones a elevadas frecuencias con muy pocas pérdidas [31]. Las ferritas son consideradas como uno de los mejores materiales magnéticos para ser empleados junto con matrices poliméricas en aplicaciones de absorción de ondas electromagnéticas debido a sus excelentes propiedades magnéticas y dieléctricas. Cuenta con algunas desventajas como su elevado peso, pero se consideran especialmente útiles cuando el costo del producto en el cual van a ser empleadas es una consideración importante debido a su bajo precio [21,31]. Muchas investigaciones han fabricado compuestos a base de polímeros reforzados con ferritas duras como la ferrita de bario o de estroncio [21, 22, 23] o con ferritas blandas como las ferritas de NiZn, Ni, Zn, ZnMg, Mg [24,25,31]. La magnetita, por su parte, es una ferrita blanda de origen natural o sintético constituida con buenas propiedades magnéticas, eléctricas y nula citoxicidad que ha sido combinada en múltiples trabajos con matrices plásticas como resinas epoxi [7], polipropileno, poliamida, poliuretano [25,26], polietileno de alta densidad [32] y elastómeros como el caucho natural [3] o el NBR [23], debido a sus potenciales aplicaciones tecnológicas, biomédicas e industriales.
Los métodos más comunes para la fabricación de los compuestos de matriz de plástico y ferritas varían de acuerdo a la naturaleza de los materiales a mezclarse, más específicamente de la matriz. Por ejemplo, para matrices termoplásticas reforzadas con ferritas particuladas se puede utilizar herramientas de fabricación como mezcladoras internas, extrusoras monohusillo [32] o de doble husillo [26]. Los materiales compuestos de matriz de resina epoxi presentan procesos de fabricación más sencillos, donde el material particulado se dispersa en moldes junto con el material termoestable [7]. Cuando se emplean elastómeros como matrices del material compuesto las herramientas de fabricación más utilizadas son el molino de mezcla abierto o molino de cauchos [21,24,31] y las mezcladoras internas [2, 25].
Compuestos de matriz polimérica con arquitectura compleja
A partir de un material compuesto polímero/ refuerzos a base de carbono, ferritas, magnetita u otro tipo de material se han desarrollado estructuras más complejas con el fin de optimizar su desempeño frente a la interferencia electromagnética. Dentro de este tipo de materiales se encuentran los que tienen una arquitectura tipo sándwich. Singh et al., por ejemplo, fabricaron materiales a partir de láminas de óxido de grafito, nanotubos de carbono y partículas de magnetita [27]. Un bosque de nanotubos de carbono es localizado entre dos láminas delgadas de óxido para posteriormente introducir dentro de este nanopartículas de magnetita, Figura 1. Como resultado, se mejoran las propiedades de absorción del material.

1.1 Mecanismos de blindaje EMI de los materiales compuestos de matriz polimérica
Los parámetros eléctricos de interés para el blindaje y absorción de las ondas electromagnéticas son la permitividad compleja ε'r=ε'-jε'' o equivalentemente, la constante dieléctrica (ε'') y la conductividad σ'=-ωεoε''. El parámetro magnético de interés es la permeabilidad magnética compleja μr=μ'-jμ'' [4]. Estos valores tienen un rol esencial en la determinación de las medidas de reflexión y transmisión del material y son funciones de la frecuencia de la radiación. Los componentes reales ε' y μ' de la permitividad compleja y permeabilidad magnética respectivamente, simbolizan la capacidad de almacenamiento de la energía magnética y eléctrica. Las componentes imaginarias ε'' y μ'' representan la pérdida de la energía eléctrica y magnética. Se espera que en los materiales empleados en la absorción de microondas, el componente imaginario de la permitividad dieléctrica y permeabilidad magnética sea alto [2], puesto que estos dos valores se relacionan directamente con la tangente de la pérdida dieléctrica (tang δε= ε''/ε') y la tangente de la pérdida magnética (tang δμ;= μ''/μ'), que representan las pérdidas de las ondas electromagnéticas (EM) incidentes en el material.
El blindaje de interferencia electromagnética (EMI), se refiere a la reflexión y/o absorción de la radiación electromagnética por un material, que de este modo actúa como un escudo contra la penetración de la radiación. Tres mecanismos se han identificado principalmente en el blindaje electromagnético: reflexión (R), absorción (A), y múltiples reflexiones (B) [5,7]. Las pérdidas, sin interesar el tipo de mecanismo comúnmente, se expresan en decibeles (dB). La suma de todas las pérdidas es igual a la efectividad del blindaje (en decibeles).
El primer mecanismo de protección es normalmente la reflexión (R), para ello el material que actúa como defensa debe tener portadores de carga libres (electrónes o huecos) los cuales interactúan con los campos electromagnéticos externos; como resultado, el material de protección tiende a ser eléctricamente conductor [4]. El material de refuerzo al interior de la matriz polimérica debe ser conductor, homogéneamente disperso, y así generar caminos y puntos de contacto que favorezcan el flujo de carga. Al-Saleh y Sundararaj demostraron que el blindaje por reflexión y absorción se incrementa al aumentar la conductividad del material que hace de escudo EMI [6]. El segundo mecanismo en importancia frente al blindaje EMI es la absorción (A). Para obtener valores significativos de absorción, el material compuesto empleado deberá tener abundantes dipolos eléctricos y magnéticos que interactúen con las ondas incidentes. Los dipolos magnéticos pueden ser generados por materiales como la magnetita (Fe3O4), que además tiene grandes valores de permeabilidad magnética [4] o ferritas como la ferrita de níquel o de bario [22,25]. La absorción del material también depende del espesor del material compuesto [6]. El tercer mecanismo de blindaje son las múltiples reflexiones (B), las cuales representan las reflexiones al interior del material. Normalmente las reflexiones múltiples disminuyen el total del blindaje si el material es más delgado que la "profundidad de penetración" y pueden ser obviadas si el material es más grueso que la profundidad de penetración. La efectividad total del blindaje EMI (SE) se puede expresar como la suma del blindaje por reflexión (SER), la atenuación por absorción (SEA) y múltiples absorciones (SEB) [7,8]:
[1]Según el trabajo realizado por Bayat et al., en 2014, cuando las pérdidas por absorción SEA son superiores a 15 dB, las pérdidas por múltiples reflexiones también se podrían obviar de tal manera que la Ecuación 1 quedaría convertida en (2):
[2]En la Figura 2 se puede observar los mecanismos del blindaje EMI.
La profundidad de penetración (δ) de un material, es la profundidad a la cual la energía electromagnética disminuye a un valor de 1/e de la onda incidente. Si el espesor del material es mayor que la profundidad de la penetración, las reflexiones internas serán atenuadas por el material de refuerzo conductivo, y por tanto las reflexiones internas y su efecto negativo sobre la efectividad EMI del material puede ser ignorado. Pero si por lo contrario el espesor del material es menor a la profundidad de penetración, las múltiples reflexiones afectarán la efectividad EMI del material [5, 8].
El criterio para evaluar las propiedades de absorción de un material usado para el blindaje EMI, según la teoría de transmisión, es la pérdida reflectiva (RL), por su nombre en inglés Reflection Loss. Este coeficiente mide la amplitud de la onda reflejada respecto a la amplitud de la onda incidente. Para ello se debe conocer la permeabilidad magnética, permitividad dieléctrica del material, así como la frecuencia de la radiación incidente. Estos valores a su vez se relacionan con la impedancia intrínseca η0 del material que define como la relación entre las amplitudes de los campos eléctricos y magnéticos (|E|/|H|):
[3]donde ω es la frecuencia angular de la radiación, μ es la permeabilidad magnética, σ la conductividad eléctrica y ∈ la permitividad del material. La expresión dada para calcular la pérdida reflectiva o RL es [34]:
[4]La condición para una perfecta absorción es η0=ηS, es decir, que la impedancia de entrada al material ηS sea igual a la impedancia del aire η0. Normalmente, en el gráfico de RL vs frecuencia de un material de blindaje EMI se encuentran caídas drásticas o valores mínimos en la curva. Estos son equivalentes a los valores mínimos de reflexión para las ondas electromagnéticas incidentes o a la interferencia destructiva entre las ondas reflejadas [2].
2. PROPIEDADES DE DISTINTOS COMPUESTOS EMPLEADOS PARA EL BLINDAJE ELECTROMAGNÉTICO
2.1 Compuestos de matriz polimérica / refuerzos a base de carbono
Dentro de los refuerzos a base de carbono empleados en este tipo de materiales se encuentran el negro de carbón, el grafito, las fibras de carbono, los nanotubos de carbono y las láminas de grafeno. Como tendencia general se encuentra que al aumentar el contenido de refuerzo dentro de una matriz independientemente de su naturaleza, valores como la conductividad eléctrica aumentan al incrementarse el contenido de refuerzo dentro de la matriz, al igual que la componente real de la permitividad eléctrica ε'. De manera similar que la permitividad, la conductividad eléctrica es un factor eléctrico fundamental para el blindaje y la absorción de las ondas electromagnéticas. La conductividad eléctrica se relaciona con la frecuencia de la radiación incidente por medio de la relación σ'= -ωε0 ε '', donde ω es la frecuencia angular, ε0 es la permitividad en el vacío y ε'' es la parte imaginaria de la permitividad compleja. Por ejemplo, en matrices termoplásticas de polietileno de baja densidad (LDPE) reforzadas con partículas de grafito la conductividad del compuesto se aumenta hasta en doce órdenes de magnitud para contenidos de refuerzo que varían del 0 vol% al 16 vol%, Figura 3a [35].

La constante dieléctrica (ε*) es la capacidad de un material a ser polarizado por un campo eléctrico. Un compuesto con una constante dieléctrica baja es un material con muy baja capacidad de polarizar y mantener carga; estos materiales resultan buenos aislantes. Por el contrario, los materiales con una constante dieléctrica alta se utilizan para la fabricación de condensadores y en células de memoria que almacenan datos digitales en forma de carga. Panwar et al., [35] evidenciaron las variaciones de la constante eléctrica para diferentes concentraciones de grafito en la matriz de polietileno de baja densidad en función de la frecuencia (1 kHz-1 MHz), Figura 3b. En todas las concentraciones el valor de la constante dieléctrica disminuye a frecuencias muy altas. A bajas frecuencias, la polarización de las partículas sigue el cambio del campo eléctrico, de tal manera que el material tendrá los valores máximos de la constante dieléctrica. A frecuencias altas, el campo eléctrico cambia muy rápido con respecto a los efectos que pueda tener la polarización del material, por lo tanto, la contribución de la constante dieléctrica es mínima y las pérdidas en el sistema debidas a esta son bajas. Además, es evidente que al aumentar las concentraciones en volumen de grafito dentro de la matriz polimérica se incrementa el valor de la constante dieléctrica del compuesto [35].
La proliferación de la fase conductiva dentro de la matriz aislante genera puntos de contacto que favorecen el movimiento de las cargas. La eficiencia EMI de estos compuestos tiende a aumentar en la medida en que se incrementa el refuerzo en la matriz ya que los puntos de contacto de las partículas aumentan la conductividad y de antemano las propiedades de blindaje EMI.
Partículas de CB han sido dispersadas en matrices termoplásticas como el polipropileno (PP) y el poliestireno (PS) [36] probando que la conductividad y la efectividad (SE) del blindaje es mayor en las matrices de polipropileno (PP) comparadas con las matrices de poliestireno (PS), debido a que las partículas del refuerzo son enviadas de la fase cristalina del PP hacia su parte amorfa, lo que disminuye el promedio de distancias entre las partículas de CB. Por otro lado, las elevadas tensiones superficiales entre las partículas de CB y el PP favorecen la aglomeración, produciendo una red conductiva. La efectividad SE de las mezclas reforzadas con 10 vol% de partículas CB tiene valores cercanos a los 17 dB en un rango de frecuencias de 0.1- 1 GHz, con un espesor de 2 mm.
Las CNF (nano fibras de carbón) se pueden mezclar con diferentes matrices poliméricas, entre las más utilizadas se tiene el etilvinilacetato (EVA) debido a que esta ofrece mejor desempeño comparada con otras matrices como el EPDM o el caucho natural (NR) gracias a su elevada polaridad. Por ejemplo, un compuesto con 8 wt% de CNF es necesario para alcanzar un SE de 20 dB a 12 GHz y t= 3.5 mm en una matriz EVA, mientras que este mismo nivel solo se puede lograr con una concentración de 17.5 wt% en matrices de caucho natural en la misma frecuencia y con el mismo espesor de muestra [16]. Si se compara la eficiencia SE de las fibras de carbono frente al CB dispersadas en una matriz polimérica, las CNF tienen valores mucho más altos debido a su mayor relación de aspecto que favorece el contacto entre ellas. Por ejemplo, un contenido del 33 wt% de CB en una matriz de EVA se necesita para alcanzar valores de 20 dB comparado con tan solo el 9 wt% en CNF que se requiere para alcanzar el mismo valor en el mismo tipo de matriz, esto bajo las mismas condiciones de frecuencia y espesor (12 GHz y t=3.5 mm). Teniendo en cuenta que los procesos de producción de las CNF son más complejos, además de contar con reactivos más costosos. Mientras que el CB se obtiene como producto derivado de la combustión incompleta de productos derivados del petróleo.
En cuanto a los materiales reforzados con nanotubos de carbono (CNT'S) Micheli et al., [22] confirmaron la influencia del tamaño del refuerzo y la relación de aspecto en las propiedades eléctricas y de absorción EMI. Esto, con el fin de encontrar el material más adecuado para aplicaciones RAM (radar absorbing materials). Los nanotubos de carbono (MWNTs) y las fibras de carbono presentaron los mejores rendimientos debido a la influencia de la relación de aspecto y tamaño del refuerzo [19]. Al Saleh y Sundararaj [17] estudiaron la efectividad del blindaje de compuestos MWNTs/ Polipropileno (PP), encontrando que el primer mecanismo de blindaje es la absorción y el secundario el blindaje por reflexión y que las múltiples reflexiones en definitiva sí disminuyen el total de la efectividad del blindaje SE. La efectividad del blindaje EMI de los compuestos MWNTs/PP se incrementa al aumentarse el contenido de los nanotubos de carbono (MWNTs) así como el espesor de las muestras [6].
En cuanto a los compuestos reforzados con láminas de grafeno Liang et al., dispersaron láminas de grafeno en matrices de resina epoxi, obteniendo umbrales de transición del material de aislante a conductor realmente bajos (0.52 vol%). Sin embargo, para obtener una efectividad de blindaje SE de 20 dB se requieren concentraciones relativamente altas (15 wt%, 8-12 GHz) [37].
En la Figura 4, se puede observar la comparación de la efectividad del blindaje EMI (SE)de algunos compuestos en función del tipo y la cantidad de refuerzo adicionado. A partir de esta, se puede concluir que las mayores efectividades se obtienen para los refuerzos con mayor relación de aspecto (SWNTs > MWNTs > CNFs > CB) [3]. Esta apreciación se relaciona con la capacidad que tienen estos materiales de impartir conductividad eléctrica a las matrices poliméricas. De los cuatro materiales que se comparan, las matrices poliméricas reforzadas con CB requieren elevados contenidos de este para obtener valores relativamente altos de SE, aunque por su facilidad de procesamiento, versatilidad y economía es uno de los refuerzos más usados en aplicaciones de polímeros conductivos y materiales de blindaje electromagnético.

2.2 compuestos de matriz polimérica / refuerzos de ferrita
En general, las ferritas combinan las propiedades de un material magnético con las de un aislante eléctrico, siendo una buena opción debido a la flexibilidad que tienen para modular sus propiedades magnéticas, electromagnéticas, bajo costo y fácil obtención. Los materiales compuestos reforzados con ferritas varían sus propiedades en función de la cantidad de esta agregada a la matriz polimérica y se conocen comúnmente como RFC's (rubber ferrite composites).
Bellucci et al., por ejemplo, produjeron compuestos de caucho natural reforzados con ferrita de zinc usando un molino de cauchos [24]. Valores como la magnetización de saturación (Ms) es linealmente dependiente del contenido del refuerzo, Figura 5a. Los lazos de histéresis magnética son estrechos, lo que demuestra pocas pérdidas del material durante el proceso de magnetización/desmagnetización. Los valores de magnetización de remanencia (MR) son pequeños al igual que los del campo coercitivo (HC), comportamiento típico de las ferritas blandas.
Las ferritas duras como la ferrita de bario BaFe12O19 a diferencia de las ferritas blandas presentan amplios lazos de histéresis, Figura 5b. Este tipo de materiales se han usado para fabricar compuestos con matrices de caucho natural (NR) o caucho reutilizado de llantas usadas [21,22]. En estos trabajos la magnetización de saturación y la magnetización de remanencia varían linealmente con el contenido del refuerzo, al igual que los materiales reforzados con ferritas blandas (Figuras 5a y 5b). La principal diferencia radica en los amplios lazos de histéresis propios de las ferritas duras. Makled et al., formularon que la magnetización de saturación MS del compuesto puede ser modelada de acuerdo a la relación MS=Mf*Wf, donde Mf y Wf son la magnetización de saturación y la fracción en peso del refuerzo [21]. El campo coercitivo, según los mismos autores, tiende a disminuir para cargas iguales o superiores a 100 phr debido a la creciente interacción magnética entre las partículas de ferrita en la medida en que las distancias promedio entre estas disminuyen.
![a) Lazos de histéresis magnética a temperatura ambiente de los compuestos NR/ferrita de níquel-zinc [28]b) Lazos de histéresis magnética a temperatura ambiente de la ferrita de bario usada como refuerzo en matrices decaucho natural [21].](../91149521001_gf5.jpg)
Para tener adecuados valores de reflexión de la radiación electromagnética incidente en un material compuesto de matriz polimérica, se requieren refuerzos conductivos como los compuestos a base de carbono, mientras que para obtener valores significativos de absorción de la misma radiación el material compuesto debe contar con un material de refuerzo que tenga abundantes dipolos eléctricos o magnéticos. Sunny et al., sintetizaron compuestos a partir de caucho natural y ferrita de níquel (NiFe2O4) con el fin de evaluar sus propiedades magnéticas y electromagnéticas, encontrando que hay un incremento constante de la magnetización de saturación y la permitividad dieléctrica al aumentar el contenido del refuerzo, al igual que la permeabilidad magnética, aunque esta segunda disminuye al incrementarse la frecuencia [25]. Por su parte, las mayores pérdidas reflectivas (RL) que cuantifican la energía electromagnética absorbida o disipada por el material compuesto ante las ondas incidentes, para este caso fueron de -5.9 dB para bajas frecuencias (2-3.5 GHz) y de -16 dB para altas frecuencias (9.66 GHz), ambas para una carga de ferrita de níquel de 120 phr y láminas de 12 mm de espesor [25].
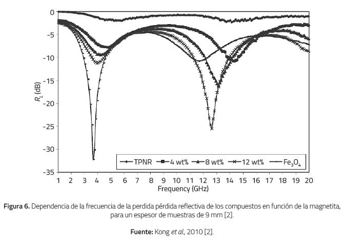
La magnetita es una ferrita blanda comúnmente encontrada en la naturaleza y de fácil obtención en el laboratorio, que cuenta con propiedades ferrimagnéticas y con aceptables valores de conductividad eléctrica generadas por su estructura de espinela inversa, donde el catión divalente Fe2+ se encuentra en los sitios octaédricos, mientras el catión trivalente Fe+3 se halla en los sitios tetraédricos y octaédricos. El salto constante de electrones entre los iones Fe22+ y Fe+3 que se encuentran en los sitios octaédricos imparten algunas propiedades metálicas a la magnetita aun a temperatura ambiente. Kong et al., fabricaron y evaluaron las propiedades de absorción de microondas de compuestos elaborados a partir de caucho termoplástico natural (TPNR) reforzados con nanopartículas de magnetita (Fe3O4) en diferentes concentraciones 4-12 wt%, usando una mezcladora interna. La matriz de caucho termoplástico se sintetizó a partir de polipropileno (PP) y caucho natural (NR) [2]. Los valores de la permitividad real y compleja (ε',ε''), la permeabilidad imaginaria (μ''), así como los valores de la magnetización de saturación MS se incrementan, mientras la permeabilidad real (μ') disminuye al aumentar el contenido del refuerzo. Los valores mínimos en la curva (RL vs. f), Ecuación 4, se acercan a la zona de bajas frecuencias, Figura 6, al aumentarse el contenido de magnetita y el espesor de las muestras. A elevadas frecuencias (12.65 GHz) el mínimo valor de RL es -25.51 dB con un espesor de muestra de 9 mm y un contenido de magnetita 12 wt%. Las propiedades de absorción de microondas, así como el ancho de banda de la absorción de los compuestos, se pueden modular fácilmente cambiando la concentración de la magnetita en la matriz y el espesor de la muestra.
![Dependencia de la frecuencia de la perdida pérdida reflectiva de los compuestos en función de la magnetita,para un espesor de muestras de 9 mm [2].](../91149521001_gf6.jpg)
Ramajo et al., también encontraron que elevadas pérdidas dieléctricas y valores altos de permitividad se obtienen a bajas frecuencias cuando son adicionadas altas concentraciones de magnetita en matrices termoestables (40 vol%). Las partículas de magnetita fueron procesadas a través de un molino de bolas hasta obtener tamaños micrométricos, posteriormente estas son adicionadas a matrices de resina epoxi. El método de obtención de las partículas genera una amplia distribución de tamaños y aspecto de las partículas que afecta directamente las propiedades de blindaje EMI del material [7].
Otras propiedades como la resistividad volumétrica de este tipo de materiales se muestra dependiente del contenido de magnetita adicionada a la matriz. Weidenfeller et al., adicionaron diferentes proporciones en volumen (vol%) de magnetita en matrices de polipropileno y poliamida usando como herramienta de fabricación una extrusora doble husillo. Se evidenció un decremento de hasta siete órdenes de magnitud para contenidos de magnetita del 47 vol%. Para contenidos en volumen por encima del 30% empiezan a existir puntos de contacto en el interior de las matrices lo que se traduce en una evidente caída en la resistividad de los compuestos [26]. Los diferentes tamaños de grano y los aditivos usados durante la mezcla no tienen influencia en el comportamiento conductivo del compuesto. Similares resultados de resistividad volumétrica fueron obtenidos por Garzón et al., trabajo en el cual se fabricaron compuestos con matrices de polietileno de alta densidad reforzadas con magnetita [32]. Comprobaron una significante caída en la resistividad del material de hasta seis órdenes de magnitud (1014 Ω*cm para muestras de HDPE puro, hasta magnitudes de 106 Ω*cm para muestras con un contenido de 40% en volumen de magnetita). En este mismo trabajo también se observó cómo la magnetización de saturación y remanencia del compuesto aumenta linealmente con la cantidad de refuerzo adicionado a la matriz.
2.3 Compuestos de matriz polimérica con arquitectura compleja
En muchas investigaciones se ha documentado la dispersión de magnetita junto con otros refuerzos como las fibras o nanotubos de carbono en matrices poliméricas. Bayat et al., estudiaron, por ejemplo, el blindaje EMI de compuestos multifuncionales de Fe3O4/ nanofibras de carbono en la banda X de frecuencias (8.2-12.4 GHz) en una matriz de poliacrilonitrilo (PAN) [1]. La máxima efectividad de blindaje EMI fue de 67.9 dB para una concentración del 5 wt% de magnetita y un espesor de muestra t=0.7 mm, siendo el principal mecanismo de blindaje la absorción. Estos grandes valores de blindaje se deben a las pérdidas dieléctricas generadas por la incorporación de las nanopartículas de Fe3O4 dentro de las fibras de carbono que actúan como un material conductor, formando una estructura con una elevada relación de aspecto. En la Figura 7, a través de una imagen TEM se observa cómo las nanopartículas se encuentran adheridas a las fibras de carbono.

Zhao et al., estudiaron las propiedades de blindaje EMI de materiales compuestos fabricados a partir de nanotubos de carbono (MWNTs) recubiertos con magnetita. La máxima pérdida por reflexión RL es -35.8 dB a 8.56 GHz, con un ancho de banda por debajo de -10 dB de más de 2.32 GHz, con un pico adicional a 14.6 GHz, lo que demuestra que el material presenta mejores propiedades a altas frecuencias [38]. No se pueden obtener excelentes propiedades en la absorción de microondas para los nanotubos de carbono sin modificar ya que su pérdida magnética es muy pequeña. Para optimizar esto es necesario recubrirlos con nanopartículas, para que se mejoren las propiedades de absorción.
En cuanto a los compuestos con arquitectura tipo sándwich, Singh et al. fabricaron materiales a partir de láminas de óxido de grafito, nanotubos de carbono y partículas de magnetita [27], obteniendo como resultado valores de efectividad (SE) de hasta 37 dB en las frecuencias de 12.4-18 GHz.
3. CONCLUSIONES
Se describió una amplia gama de trabajos donde se investigaron las propiedades eléctricas, magnéticas y electromagnéticas de compuestos de matriz polimérica reforzados con materiales a base de carbono y/o ferritas. Se hizo referencia también, al tipo de matriz empleada (polímeros termoestables, termofijos, cauchos naturales y sintéticos), al método de fabricación del compuesto y a la cuantificación de las principales propiedades analizadas en cada trabajo.
El rendimiento de un material diseñado para el blindaje EMI se cuantifica a través de la efectividad del blindaje (SE) o en otros casos a través de la pérdida reflectiva RL. Ambos valores se dan en decibeles (dB). La efectividad del blindaje SE, puede calcularse como la suma de las atenuaciones debido a la reflexión, a la absorción y a las reflexiones múltiples. Elevados valores de conductividad eléctrica y constante dieléctrica del material, así como una dispersión homogénea y buena relación de aspecto del refuerzo disperso en la matriz, son fundamentales para mejorar los valores de la efectividad del blindaje. La polarización dipolar que mejora la absorción EMI de los materiales compuestos se incrementa cuando se adicionan refuerzos con propiedades magnéticas a las matrices poliméricas.
La dispersión adecuada del refuerzo en el interior de la matriz que depende del método de fabricación del material debe facilitar los puntos de contacto entre partículas o fibras con el objetivo de tener apropiados valores de SE. Entre los métodos de síntesis más explorados para estos materiales se encuentra la mezcla en estado fundido, la cual favorece la dispersión homogénea, pero reduce la relación de aspecto debido a los altos esfuerzos cortantes generados durante el proceso. Para emplear la mezcla en estado fundido por medio de una mezcladora interna o un molino de cauchos, se debe tener especial cuidado con parámetros como la temperatura, la velocidad de la mezcla y tiempo de la mezcla con el fin de mitigar los daños sobre la matriz o el refuerzo.
Las matrices y los refuerzos deben escogerse de acuerdo a la aplicación que vaya a tener el producto final y el rendimiento del blindaje deseado. Las nuevas estrategias exploradas para obtener muy elevados valores de SE, abarcan el desarrollo de materiales de arquitectura compleja en los cuales se pretende combinar refuerzos de diferentes naturalezas en forma de espumas, multicapas o agrupaciones tipo sándwich. En Colombia la producción y estudio de este tipo de materiales ha sido nula, por lo que este artículo comprende la fase inicial de un trabajo doctoral llamado "Producción y caracterización de un material compuesto a base de magnetita y matrices de caucho nitrilo butadieno". Esta investigación platea como uno de sus objetivos principales estudiar las propiedades de blindaje electromagnético del compuesto nbr/ magnetita y se desarrollará con la colaboración mancomunada de los Departamentos de Física de la Universidad Nacional de Colombia y la Universidad de Málaga en España.
Agradecimientos
Este artículo es el resultado del proyecto de investigación doctoral titulado "Producción y Caracterización de un Material Compuesto a Base de Partículas de Magnetita y Matrices de Caucho Acrilonitrilo Butadieno" llevado a cabo entre la Universidad Nacional de Colombia y la Universidad de Málaga. La financiación de los estudios doctorales está a cargo de la convocatoria 647 de doctorados Nacionales de Colciencias.
REFERENCIAS
[1] Bayat, M., Yang, H., Ko, F. K., Michelson, D., & Mei, A. (2014). Electromagnetic interference shielding effectiveness of hybrid multifunctional Fe3O4/ carbon nanofiber composite. Polymer, 55(3), pp. 936-943. doi: http://dx.doi.org/10.1016/j.polymer.2013.12.042
[2] Kong, I., Hj Ahmad, S., Hj Abdullah, M., Hui, D., Nazlim Yusoff, A., & Puryanti, D. (2010). Magnetic and microwave absorbing properties of magnetite-thermoplastic natural rubber nanocomposites. Journal of Magnetism and Magnetic Materials, 322(21), pp. 3401-3409. doi: http://dx.doi.org/10.1016/j.jmmm.2010.06.036
[3] Thomassin, J.-M., Jérôme, C., Pardoen, T., Bailly, C., Huynen, I., & Detrembleur, C. (2013). Polymer/carbon based composites as electromagnetic interference (EMI) shielding materials. Materials Science and Engineering: R: Reports, 74(7), pp. 211-232. doi: http://dx.doi.org/10.1016/j.mser.2013.06.001
[4] Chung, D. D. L. (2001). Electromagnetic interference shielding effectiveness of carbon materials. Carbon, 39(2), pp. 279-285. doi: http://dx.doi.org/10.1016/S0008-6223(00)00184-6
[5] Markham, D. (1999). Shielding: quantifying the shielding requirements for portable electronic design and providing new solutions by using a combination of materials and design. Materials & Design, 21(1), pp. 45-50. doi: http://dx.doi.org/10.1016/S0261-3069(99)00049-7
[6] Al-Saleh, M. H., & Sundararaj, U. (2009). Electromagnetic interference shielding mechanisms of CNT/polymer composites. Carbon, 47(7), pp. 1738-1746. doi: http://dx.doi.org/10.1016/j.carbon.2009.02.030
[7] Ramajo, L. A., Cristóbal, A. A., Botta, P. M., Porto López, J. M., Reboredo, M. M., & Castro, M. S. (2009). Dielectric and magnetic response of Fe3O4/ epoxy composites. Composites Part A: Applied Science and Manufacturing, 40(4), pp. 388-393. doi: http://dx.doi.org/10.1016/j.compositesa.2008.12.017
[8] Arjmand, M., Mahmoodi, M., Gelves, G. A., Park, S., & Sundararaj, U. (2011). Electrical and electromagnetic interference shielding properties of flowinduced oriented carbon nanotubes in polycarbonate. Carbon, 49(11), pp. 3430- 3440. doi: http://dx.doi.org/10.1016/j.carbon.2011.04.039
[9] Al-Saleh, M. H., & Sundararaj, U. (2009). A review of vapor grown carbon nanofiber/ polymer conductive composites. Carbon, 47(1), pp. 2-22. doi: http://dx.doi.org/10.1016/j.carbon.2008.09.039
[10] Ghosh, P., & Chakrabarti, A. (2000). Conducting carbon black filled EPDM vulcanizates: assessment of dependence of physical and mechanical properties and conducting character on variation of filler loading. European Polymer Journal, 36, pp. 1043-1054. doi: http://dx.doi.org/10.1016/S0014-3057(99)00157-3
[11] Mohanraj, G. t., Chaki, T. k., Chakraborty, A., and Khastgir, D. (2006). AC impedance analysis and EMI shielding effectiveness of conductive SBR composites. Polym Eng Sci, 46, pp. 1342-1349. doi: http://dx.doi.org/10.1002/pen.20593
[12] Madani, M. (2009). Conducting carbon black filled NR/ IIR blend vulcanizates: Assessment of the dependence of physical and mechanical properties and electromagnetic interference shielding on variation of filler loading. Journal of Polymer Research, 17(1), pp. 53-62. doi: http://dx.doi.org/10.1007/s10965-009-9289-4
[13] Ling, Q., Sun, J., Zhao, Q., & Zhou, Q. (2011). Effects of Carbon Black Content on Microwave Absorbing and Mechanical Properties of Linear Low Density Polyethylene/Ethylene- Octene Copolymer/Calcium Carbonate Composites. Polymer-Plastics Technology and Engineering, 50(1), pp. 89-94. doi: http://dx.doi.org/10.1080/03602559.2010.531416
[14] Oh, J.-H., Oh, K.-S., Kim, C.-G., and Hong, C.-S. (2004). Design of radar absorbing structures using glass/epoxy composite containing carbon black in X-band frequency ranges. Composites Part B: Engineering, 35, pp. 49-56. doi: http://dx.doi.org/10.1016/j.compositesb.2003.08.011
[15] Al-Saleh, M. H., & Sundararaj, U. (2009). Electromagnetic interference shielding mechanisms of CNT/polymer composites. Carbon, 47(7), pp. 1738-1746. doi: http://dx.doi.org/10.1016/j.carbon.2009.02.030
[16] Das, N.C., Khastgir, D., Chaki, T.K., and Chakraborty, A. (2000). Electromagnetic interference shielding effectiveness of carbon black and carbon fibre filled EVA and NR based composites. Composites Part A: Applied Science and Manufacturing, 31, pp. 1069-1081. doi: http://dx.doi.org/10.1016/S1359-835X(00)00064-6
[17] Al-Saleh, M.H., and Sundararaj, U. (2011). Electrically conductive carbon nanofiber/ polyethylene composite: effect of melt mixing conditions. Polym. Adv. Technol, 22, pp. 246-253. doi: http://dx.doi.org/10.1002/pat.1526
[18] Fan, Z., Luo, G., Zhang, Z., Zhou, L., & Wei, F. (2006). Electromagnetic and microwave absorbing properties of multi-walled carbon nanotubes/polymer composites. Materials Science and Engineering: B, 132(1), pp. 85-89. doi: http://dx.doi.org/10.1016/j.mseb.2006.02.045
[19] Micheli, D., Apollo, C., Pastore, R., Bueno Morles, R., Laurenzi, S., and Marchetti, M. (2011). Nanostructured composite materials for electromagnetic interference shielding applications. Acta Astronautica, 69, pp. 747-757. doi: http://dx.doi.org/10.1016/j.actaastro.2011.06.004
[20] Moon, J.-S., and Gaskill, D.K. (2011). Graphene: Its Fundamentals to Future Applications. IEEE Transactions on Microwave Theory and Techniques, 59, pp. 2702-2708. doi: http://dx.doi.org/10.1109/TMTT.2011.2164617
[21] Makled, M. H., Matsui, T., Tsuda, H., Mabuchi, H., El-Mansy, M. K., & Morii, K. (2005). Magnetic and dynamic mechanical properties of barium ferrite-natural rubber composites. Journal of Materials Processing Technology, 160(2), pp. 229-233. doi: http://dx.doi.org/10.1016/j.jmatprotec.2004.06.013
[22] Liu, J., Liu, P., Zhang, X., Lu, P., Zhang, X., & Zhang, M. (2016). Fabrication of magnetic rubber composites by recycling waste rubber powders via a microwaveassisted in situ surface modification and semi-devulcanization process. Chemical Engineering Journal, 295, pp. 73-79. doi: http://dx.doi.org/10.1016/j.cej.2016.03.025
[23] Vinayasree, S., Soloman, M., Sunny, V., Mohanan, P., Kurian, P., & Anantharaman, M. (2013). A microwave absorber based on strontium ferrite-carbon black-nitrile rubber for S and X-band applications. Composites Science and Technology, 82, pp. 69-75. doi: http://dx.doi.org/10.1016/j.compscitech.2013.04.010
[24] Bellucci, F. S., Lobato de Almeida, F. C., Lima Nobre, M. A., Rodríguez-Pérez, M. A., Paschoalini, A. T., & Job, A. E. (2016). Magnetic properties of vulcanized natural rubber nanocomposites as a function of the concentration, size and shape of the magnetic fillers. Composites Part B: Engineering, 85, pp. 196-206. doi: http://dx.doi.org/10.1016/j.compositesb.2015.09.013
[25] Sunny, V., Kurian, P., Mohanan, P., Joy, P. A., & Anantharaman, M. R. (2010). A flexible microwave absorber based on nickel ferrite nanocomposite. Journal of Alloys and Compounds, 489(1), pp. 297- 303. doi: http://dx.doi.org/10.1016/j.jallcom.2009.09.077
[26] Weidenfeller, B., Höfer, M., & Schilling, F. (2002). Thermal and electrical properties of magnetite filled polymers. Composites Part A: Applied Science and Manufacturing, 33(8), pp. 1041-1053. doi: http://dx.doi.org/10.1016/S1359-835X(02)00085-4
[27] Singh, A. P., Mishra, M., Hashim, D. P., Narayanan, T. N., Hahm, M. G., Kumar, P., Gupta, B. K. (2015). Probing the engineered sandwich network of vertically aligned carbon nanotube-reduced graphene oxide composites for high performance electromagnetic interference shielding applications. Carbon, 85, pp. 79-88. doi: http://dx.doi.org/10.1016/j.carbon.2014.12.065
[28] Shi, Z., Lian, Y., Zhou, X., Gu, Z., Zhang, Y., Iijima, S., Zhou, L., Yue, K.T., and Zhang, S. (1999). Mass-production of singlewall carbon nanotubes by arc discharge method. Carbon, 37, pp. 1449-1453.
[29] Maser, W.K., Muñoz, E., Benito, A.M., Martínez, M.T., de la Fuente, G.F., Maniette, Y., Anglaret, E., and Sauvajol, J.-L. (1998). Production of high-density single-walled nanotube material by a simple laserablation method. Chemical Physics Letters, 292, pp. 587-593. doi: http://dx.doi.org/10.1016/S0009-2614(98)00776-3
[30] Kong, J., Cassell, A.M., and Dai, H. (1998). Chemical vapor deposition of methane for single-walled carbon nanotubes. Chemical Physics Letters, 292, pp. 567-574. doi: http://dx.doi.org/10.1016/S0009-2614(98)00745-3
[31] El-Nashar, D. E., Ahmed, N. M., & Agami, W. R. (2013). The effect of new ferrite/kaolin pigment on the properties of acrylonitrilebutadiene rubber composites. Materials & Design, 52, pp. 108-117. doi: http://dx.doi.org/10.1016/j.matdes.2013.05.047
[32] Garzón Posada, A. O. (2015). Síntesis y caracterización de un material compuesto a base de polietileno de alta densidad y magnetita pulverizada. (Tesis de maestría). Facultad de Ingeniería, Universidad Nacional de Colombia, Bogotá.
[33] Song, W.-L., Cao, M.-S., Lu, M.-M., Bi, S., Wang, C.-Y., Liu, J., Yuan, J., and Fan, L.-Z. (2014). Flexible graphene/polymer composite films in sandwich structures for effective electromagnetic interference shielding. Carbon 66, pp. 67-76. doi: http://dx.doi.org/10.1016/j.carbon.2013.08.043
[34] Pang, H., Fan, M., and He, Z. (2012). A method for analyzing the microwave absorption properties of magnetic materials. Journal of Magnetism and Magnetic Materials, 324, pp. 2492-2495. doi: http://dx.doi.org/10.1016/j.jmmm.2012.03.018
[35] Panwar, V., Sachdev, V. K., & Mehra, R. M. (2007). Insulator conductor transition in low-density polyethylene-graphite composites. European Polymer Journal, 43(2), pp. 573-585. doi: http://dx.doi.org/10.1016/j.eurpolymj.2006.11.017
[36] Al-Saleh, M. H., & Sundararaj, U. (2008). Electromagnetic Interference (EMI) Shielding Effectiveness of PP/PS Polymer Blends Containing High Structure Carbon Black. Macromolecular Materials and Engineering, 293(7), pp. 621-630. doi: http://dx.doi.org/10.1002/mame.200800060
[37] J. Liang, Y. Wang, Y. Huang, Y. Ma, Z. Liu, J. Cai, C. Zhang, H. Gao, Y. Chen, (2009). Enhanced electromagnetic interference shielding efficiency of polystyrene/ graphene composites with magnetic Fe3O4 nanoparticles. Carbon, 47, pp. 922- 925. doi: http://dx.doi.org/10.1016/j.carbon.2014.10.031
[38] Zhao, C., Zhang, A., Zheng, Y., and Luan, J. (2012). Electromagnetic and microwave-absorbing properties of magnetite decorated multiwalled carbon nanotubes prepared with poly (N-vinyl- 2-pyrrolidone). Materials Research Bulletin, 47, pp. 217-221. doi: http://dx.doi.org/10.1016/j.materresbull.2011.11.047
Notas de autor