Artículos
Propiedades dieléctricas de asfaltos: revisión*
Dielectric Properties of Asphalt: Review
Propiedades dieléctricas de asfaltos: revisión*
Ciencia e Ingeniería Neogranadina, vol. 31, núm. 2, pp. 61-73, 2021
Universidad Militar Nueva Granada
Recepción: 30 Marzo 2020
Aprobación: 01 Septiembre 2021
Publicación: 31 Diciembre 2021
Resumen: El asfalto es un material complejo cuyo desempeño depende en gran medida de su composición química. En el mundo, se han realizado múltiples estudios para intentar correlacionar las propiedades físico-químicas de estos materiales, con el fin de intentar comprender su desempeño ante solicitudes de carga y condiciones medioambientales, similares a las que experimentan cuando forman parte de una mezcla asfáltica en un pavimento. A pesar del amplio número de investigaciones realizadas en estas áreas, el complejo comportamiento viscoelástico que caracteriza a estos materiales amorfos aún no ha sido totalmente entendido. Una técnica que podría ayudar a mejorar el entendimiento de asfaltos es la espectroscopia de impedancia eléctrica compleja. Mediante esta, se pueden medir y evaluar las propiedades dieléctricas de estos materiales, las cuales podrían ser correlacionadas con aquellas de carácter físico-químico. En el presente artículo, se presenta una revisión bibliográfica sobre los estudios realizados a la fecha para medir y analizar propiedades dieléctricas en asfaltos. Se describen los estudios y se reportan las limitaciones de los mismos.
Palabras clave: asfalto, conductividad, módulo eléctrico, permisividad, propiedades dieléctricas.
Abstract: Asphalt is a complex material whose performance depends mainly on its chemical composition. Globally, multiple studies have tried to correlate the physicochemical properties of this material to understand its performance under load requirements and environmental conditions, like those experienced when part of an asphalt mix in the pavement. Despite many studies conducted on the subject, the complex viscoelastic behavior that characterizes this amorphous material has not yet been fully figured out. One technique that could help comprehend asphalt is complex electrical impedance spectroscopy, which measures and evaluates these materials' dielectric properties, correlating them with those of a physical-chemical nature. This article presents a literature review of the research carried out to date to measure and analyze dielectric properties in asphalt, describing the studies and reporting their limitations.
Keywords: Asphalt, conductivity, electrical module, permissiveness, dielectric properties.
Introducción
Se han realizado múltiples estudios en el mundo para intentar comprender el complejo comportamiento viscoelástico que experimenta el asfalto bajo diferentes condiciones de carga y temperatura en un pavimento. Para tal fin, se ha tratado de correlacionar las propiedades físicoreológicas de estos materiales con sus propiedades químicas. Sin embargo, el asfalto es un material que se compone de decenas de miles de especies químicas y millones de moléculas distintas. Cuya estructura molecular exacta es limitada en cuanto a su comprensión [1], [2].
Por otro lado, el comportamiento físico-químico del asfalto depende de la concentración de sus diferentes fracciones [3]. Por lo general, el estudio de la composición química se basa en métodos de separación en fracciones (p.e., saturados, aromáticos, resinas y asfaltenos-SARA), los cuales no han demostrado ser un predictor confiable del desempeño del asfalto. Ya que no pueden proporcionar fracciones químicas bien definidas y de buena reproducibilidad [2], [4]. Incluso, la composición química exacta de fracciones como los asfaltenos, ampliamente referenciada en múltiples estudios, no se conoce con exactitud [5]. Además, los grupos funcionales moleculares se superponen y, por lo tanto, son imposibles de separar [6]. Una forma de ayudar a entender el comportamiento viscoelástico del asfalto podría ser empleando técnicas de espectroscopía dieléctrica. Esta técnica evalúa la movilidad de estructuras moleculares, procesos de polarización y de relajación de las cadenas poliméricas como función de un campo eléctrico externo dependiente de la frecuencia y la temperatura.
A pesar de que las mezclas asfálticas funcionan como aislantes de alta resistividad eléctrica [7], [9], la técnica de espectroscopía dieléctrica podría ser usada para múltiples aplicaciones de la ingeniería. Entre ellas, el desarrollo de mezclas asfálticas que permitan la conductividad eléctrica para el derretimiento del hielo, la nieve, generación de calentamiento inductivo, autocuración de grietas, etc. [10], [13]. De acuerdo con [14], [15], si bien el asfalto tiene, generalmente, una respuesta débil a un campo eléctrico, los estudios de espectroscopía dieléctrica son un nuevo enfoque para la caracterización multidimensional y no destructiva de estos materiales. Según [16], la espectroscopía dieléctrica puede ser útil para encontrar el polímero modificador más adecuado para diversos materiales asfálticos. Asimismo, puede ser usada para calcular la viscosidad y la temperatura de transición vítrea en asfaltos [6], [14].
En ese sentido, se podría pensar en correlacionar las propiedades dieléctricas con las reológicas y químicas de los asfaltos. Por ejemplo, se ha demostrado que las interacciones polares se correlacionan bien con la parte elástica del módulo complejo del asfalto [17]. No obstante, pocos estudios han realizado medidas directas de las propiedades dieléctricas de asfaltos [15], por lo que dichas propiedades no se entienden ampliamente y tampoco es claro aún su relación con otras propiedades como la polaridad y la reología [14].
En el presente estudio, se realizó una revisión bibliográfica para comprender el nivel de desconocimiento actual sobre temas asociados a la medición y evaluación de propiedades dieléctricas en asfaltos. De la bibliografía consultada, se pudo concluir que, actualmente, no existe una revisión a profundidad sobre esta temática. Razón por la cual, este artículo pretende hacer un aporte a ella. La revisión bibliográfica realizada sirve como fuente primaria de consulta para futuras investigaciones sobre el tema.
1. Conceptos básicos
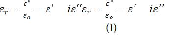
Cuando se aplica un campo eléctrico (campo de fuerza creado por la atracción y repulsión de cargas eléctricas) a través de un condensador de placa paralela que contiene un dieléctrico (material con una baja conductividad eléctrica), el átomo y las cargas moleculares en el dieléctrico se desplazan de sus posiciones de equilibrio polarizándolo. Es decir, al polarizar, las cargas eléctricas se dejan orientar o colocar en una posición determinada dependiendo de la frecuencia del campo eléctrico aplicado. En general, la capacidad de polarización total de un material puede estimarse calculando la permitividad relativa (εr, ver ecuación 1). εr es un parámetro físico que describe qué tanto son afectados los materiales por un campo eléctrico y está directamente relacionado con la susceptibilidad eléctrica.

Donde ε* es la permitividad dieléctrica del material, ε o es la permitividad dieléctrica del vacío (8.8541878176x10-12 C2/N-m2)- ε’ es la constante dieléctrica del material (medida de la capacidad de polarización presente en un material dentro del campo eléctrico) y ε" es la parte imaginaria de la función dieléctrica o factor de pérdida dieléctrica (medida de la disipación de energía eléctrica en un material). La relación entre la energía perdida y la energía que se consumirá durante la polarización se denomina factor de disipación dieléctrica (tan δ; ver ecuación 2) [18].

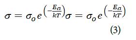
La conductividad eléctrica (σ) mide la capacidad que tiene un material para dejar pasar a través de él corriente eléctrica. La conductividad es el inverso de la resistividad (ρ, dificultad que tienen los electrones de moverse en presencia de un campo eléctrico). σ puede ser obtenido como la relación entre la densidad de corriente de conducción (J) y el campo eléctrico (E). La conductividad dc, σdc, como función de la temperatura obtenida para materiales cristalinos conductores iónicos obedece la ecuación de Arrhenius expresada matemáticamente mediante la ecuación 3.

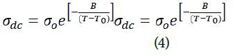
Donde σo es una constante del material. Ea es la energía de activación (KJ/mol/K) de los portadores de carga. k es la constante de Boltzmann (1.3 8 06x10-23 J/K)' y T es la temperatura absoluta (K). Para materiales amorfos, tales como conductores iónicos poliméricos, asfaltos y vidrios, la conductividad dc sigue un comportamiento VTF (Vogel-Tamman-Fulcher) dado por la ecuación 4.

Donde A y B son constantes relacionadas con la densidad de los portadores de carga y la pseudo energía de activación, respectivamente. T es la temperatura absoluta y T0 es una temperatura característica relacionada con la temperatura de transición vitrea, Tg [19], [24]. Sin embargo, en estas ecuaciones no es clara la dependencia de o con respecto a la frecuencia angular (ω). Para tener en cuenta la dependencia de o con ω, se utiliza por lo general la ecuación 5 denominada Jonscher 's Universal Dielectric Response [25].

Donde σdc es la conductividad dc o de largo alcance. El término Aωs es denominado conductividad tipo AC o de corto alcance. A se determina experimentalmente y para muchos sistemas conductores iónicos adquiere valores pequeños que varían muy poco con la temperatura [26], [27]. s es un exponente que varía entre 0 y 1 y es una medida del grado de interacción del movimiento de los iones portadores de carga.
2. Metodología
Los documentos consultados fueron obtenidos, principalmente, en los buscadores ScienceDirect, American Society of Civil Engineering (ASCE), Taylor and Francys y Springer. En estos, fueron descargados y revisados artículos provenientes de revistas técnicas y científicas clasificadas por Scopus y Scimago Journal & Country Rank en categoría mínima Q4. Debido a que no se cuenta con mucha información sobre el tema, también fueron tenidos en cuenta algunos artículos encontrados en Google. En total, fueron descargados más de 100 artículos teniendo como principal palabra clave de búsqueda: dielectric + asphalt. Sin embargo, muchos de ellos fueron descartados debido a que su contenido no concordaba con el objeto de la presente revisión bibliográfica: propiedades dieléctricas de asfaltos.
3. Revisión del estado del conocimiento
La mayor parte de los estudios realizados para medir propiedades dieléctricas se ejecutan sobre estructuras de pavimentos, empleando GPRS (Ground Penetration Radar). El GPR es un ensayo no destructivo que usa una antena para transmitir y recibir ondas electromagnéticas. Es empleado para múltiples aplicaciones, tales como estimar el espesor de las capas del pavimento y la vida útil restante de las estructuras existentes, la compacidad de los materiales, el contenido de asfalto, la porosidad, la densidad, la infiltración de humedad, la segregación de agregados y otros índices de calidad de los pavimentos asfálticos [28], [35]. Adicionalmente, es posible detectar separación de capas y la humedad de la subrasante, depósitos de rocas, entre otros. Con estos equipos, la constante dieléctrica de los materiales del pavimento puede usarse para evaluar el estado actual y/o de deterioro del pavimento [28]. También, algunos estudios han intentado evaluar las propiedades dieléctricas sobre mezclas asfálticas en campo y en el laboratorio, usando principalmente GPRS. Incluso, algunos las han evaluado en mastics [p.e., 36].
Sin embargo, en las mezclas o en mastics, es difícil cuantificar las propiedades dieléctricas en el asfalto, ya que el agregado mineral las domina (la permitividad del agregado es mayor que la del asfalto) [37]. Además, las interacciones físico-químicas en la interfaz asfalto-filler influyen en las propiedades dieléctricas [30], [36]. En consecuencia, se dificulta, en mezclas asfálticas, separar estas propiedades en el asfalto y el agregado [38]. Por todo lo expuesto, los estudios realizados empleando GPRS no serán descritos en la presente revisión bibliográfica. Ya que no realizan medidas directas de las propiedades dieléctricas en asfaltos. A continuación, se describirán cronológicamente, los estudios revisados sobre medición y evaluación de propiedades dieléctricas en asfaltos.
Penzes y Speight [39] midieron las propiedades dieléctricas de las fracciones obtenidas por separación de un asfalto denominado Athabasca. Ellos demostraron que los asfaltenos exhiben la conductividad más alta de todas las fracciones y que estas aumentan con la polaridad creciente del solvente usado. En este estudio no se describieron las propiedades físicas del asfalto base. Igualmente, solo evaluaron la conductividad en un rango de temperatura limitado (20°C a 50°C), y no es clara la frecuencia usada en los ensayos.
Maruska y Rao [40] realizaron espectroscopia dieléctrica sobre los asfaltenos obtenidos de dos tipos de aceites pesados. En ese orden de ideas, los autores mencionan que los asfaltenos son la fracción más polar de estos aceites. De acuerdo con ellos, los asfaltenos tienen constantes dieléctricas que varían de 5 a 7 y aumentan al elevar la temperatura. Los resultados presentados en el estudio son interesantes, sin embargo, no es claro el efecto que tienen los solventes utilizados para precipitar los asfaltenos en ambos aceites. Por otro lado, el rango de frecuencias usado fue limitado (100 Hz a 50000 Hz). Asimismo, los aceites pesados no presentan características físico-reológicas similares a los asfaltos usados en proyectos de pavimentación.
Anderson et al. [37] utilizaron un analizador de frecuencia Solartron 1250 para evaluar propiedades dieléctricas en el rango de frecuencia de 1 a 10,000 kHz, y un analizador de impedancia Hewlett-Packard 4192A para las frecuencias más altas. A un nivel de frecuencia bajo (alrededor de 5 kHz) y temperatura de 25°C encontraron que la constante dieléctrica ε’, medida de asfaltos envejecidos recuperados de núcleos de mezcla asfáltica extraídos in-situ, oscila entre 2.40 y 2.66. Dicha constante tiende a disminuir cuando se aumenta la frecuencia y, a altas frecuencias, se observa un punto en el cual la constante tiende a un valor fijo. Como conclusiones del estudio reportaron, en primera instancia, que las propiedades dieléctricas se vieron significativamente afectadas por el envejecimiento. En segundo lugar, que las mediciones obtenidas a bajas frecuencias fueron más discriminatorias que aquellas obtenidas a las frecuencias más altas. Por lo tanto, recomendaron hacer medidas a bajas frecuencias. La principal limitación de este estudio es que los asfaltos fueron extraídos de núcleos y durante este proceso se pudo afectar la composición de los mismos. Por otro lado, no son claras las propiedades de los asfaltos analizados en términos de parámetros tradicionales de caracterización, como son la penetración, el punto de ablandamiento, la ductilidad, entre otros. Adicionalmente, no se evaluó el efecto de la temperatura sobre las propiedades dieléctricas.
Sowa et al. [41] realizaron un estudio para medir las propiedades dieléctricas de un crudo producido en Cold Lake (denominado por ellos como un tipo de emulsión de agua en aceite), con el fin de comprender el comportamiento del flujo de agua dentro del crudo. Todas las mediciones eléctricas se realizaron a temperatura ambiente con un analizador de impedancia Hewlett-Packard 4192A en el rango de frecuencia de 10 Hz a 10 MHz. Los electrodos eran cuatro placas de platino paralelas conectadas en pares. Se realizaron ensayos sobre el asfalto extraído del crudo (eliminando el agua por destilación al vacío a 220 °C) y sobre emulsiones fabricadas con el crudo, empleando volúmenes de agua de 0.1 a 0.5. Los resultados mostraron que la conductividad Ac (σac) y ε’ aumenta y disminuye con el incremento de la frecuencia, respectivamente. En este estudio, no se muestran con claridad, las propiedades del asfalto extraído y de las emulsiones. El objeto de estudio no fue correlacionar las propiedades dieléctricas y físicas obtenidas de las emulsiones y sólo se realizaron mediciones a temperatura ambiente (20°C).
Vlachovicova et al. [42] usaron un Electrochemical Impedance System (EIM) 900 para intentar comprender mejor la estructura interna de un asfalto Ac 200-300 modificado con sbs, combinando las pruebas dieléctricas y reológicas en un rango de temperatura medio-alto (tránsito del estado viscoso al estado fluido de Newton). Curiosamente, al estudiar la curva maestra de reología, descubrieron que el factor de cambio tiempo-temperatura de la permitividad dieléctrica e' a 60°C coincide con el de la viscosidad. Encontraron una relación entre el Zero Shear Viscosity (zsv) y la conductividad de los asfaltos analizados (ac 200-300 y modificado con SBS). De acuerdo con ellos, la superposición tiempo-temperatura de los datos reológicos y dieléctricos producen factores de cambio idénticos o casi idénticos. También mostraron que ε’ aumenta cuando incrementa la temperatura; iε’ disminuye cuando aumenta la frecuencia; ε’ tiende a un valor constante cuando disminuye la temperatura y aumenta la frecuencia; el factor de pérdida dieléctrico ε’’ disminuye cuando aumenta la frecuencia; la conductividad σ aumenta con el incremento de la temperatura. En este estudio, el único parámetro físico analizado fue la viscosidad. No fueron evaluados en los asfaltos efectos asociados a durabilidad, como el envejecimiento por oxidación. Tampoco se evaluaron las propiedades químicas.
Saarenketo [43], [44], realizó mediciones dieléctricas en las superficies superior e inferior de muestras de mezcla asfáltica compactadas en el laboratorio por medio de una sonda de superficie de medidor de dielectricidad. Concluyó que no hay fluctuaciones notables en la constante dieléctrica e' de varios tipos de asfalto con diversas viscosidades. Los valores, generalmente, permanecieron en magnitudes de 2.6-2.8 (a altas frecuencias en el nivel de GHz). Sin embargo, estos valores fueron obtenidos basándose en mediciones realizadas sobre muestras de mezclas asfálticas compactadas en el laboratorio. Es decir, no es claro el aporte en dicho valor del asfalto. Adicionalmente, no es claro en el artículo las propiedades del asfalto base y las distintas viscosidades del asfalto analizado. Tampoco se evaluaron efectos asociados a durabilidad, ni se correlacionaron las mediciones con propiedades químicas.
Chow et al. [45] determinaron la conductividad σ y la constante dieléctrica ε’ de soluciones de crudo (con diferentes contenidos de asfaltenos) en tolueno, empleando una "conductivity cell". El crudo provino de Alberta Research Council Oil Sands Sample Bank. Los resultados muestran que la conductividad está controlada por el contenido de asfaltenos. Mientras que e se puede describir en términos de polaridad y concentración de las diversas fracciones del asfalto (resinas y asfaltenos). Del mismo modo, Chow et al. concluyen que es posible determinar el contenido de asfalto de una solución asfalto-tolueno midiendo σ. Demostraron que la magnitud de la contribución a la constante dieléctrica global era asfaltenos>resinas>aromá-ticos>saturados. Los resultados son interesantes desde el punto de vista químico, no obstante, no se muestra discusión sobre parámetros físicos y no se presentan las propiedades físicas del crudo estudiado. Además, no es claro el efecto del solvente en los resultados. Por otro lado, de acuerdo con Vrals-tad et al. [46], a bajas frecuencias, se activa la polarización dipolar en el betún, principalmente, por las moléculas polares de los asfaltenos y las resinas.
Algunos investigadores utilizan espectroscopía de microondas para medir propiedades dieléctricas. Aziz et al. [47], por ejemplo, usaron técnicas de espacio libre de microondas sobre tres asfaltos (AC 60-70, AC-80-100 y PG 76) y otros modificados con fibras de palma de aceite de celulosa, etileno acetato de vinilo (EVA) y polvo de caucho para neumáticos. El estudio muestra resultados experimentales sin análisis y discusión, y las conclusiones son contrarias a las obtenidas en los otros artículos consultados en el presente artículo. En primera instancia, la permitividad disminuye con el aumento de la penetración en el asfalto porque, según los autores, una mayor penetración se relaciona con una temperatura más alta. En segunda instancia, la permitividad aumenta cuando aumenta la viscosidad. En adición, los autores intentan validar las conclusiones basados en estudios realizados por otros autores sobre medidas dieléctricas realizadas sobre alimentos. Ateeq et al. [48] también usaron espectroscopía de microondas sobre un asfalto-caucho, empleando un Microwave Test Set (MTS) MODEL 6200.
En este estudio no se presentan las propiedades del asfalto base, ni las del modificado con caucho. Tampoco presentan magnitudes de ε’, ε’' o σ. En contraposición, presentan medidas de potencia en dBm las cuales intentan correlacionar con ε’ sin explicaciones profundas. Adamu et al. [49] realizaron una revisión bibliográfica de las propiedades dieléctricas de asfaltos obtenidas mediante técnicas de espectroscopía de microondas. Como conclusión, obtuvieron que dichas propiedades están relacionadas con el momento dipolar, y se ven afectadas por la frecuencia del campo eléctrico aplicado, la temperatura y la composición de los asfaltos.
Los cuales presentan características eléctricas differentes. Por su parte, Yu et al. [50] y Liang et al. [51] muestran que el tratamiento con microondas podría ayudar a romper la red de vulcanización de la superficie del caucho granulado en los procesos de modificación de asfaltos, mejorando la compatibilidad entre ambos materiales.
Chang et al. [52] investigaron la respuesta dieléctrica de una mezcla de concreto asfáltico utilizando una técnica de sonda coaxial de extremo abierto. El asfalto usado fue tipo AC-20. Las propiedades dieléctricas del asfalto fueron medidas a una temperatura de 25°C y rango de frecuencia de 200 MHz a 13 GHz. La magnitud de ε’ es de aproximadamente 2.8 a una frecuencia inferior a 7 GHz. Para frecuencias superiores a 7 GHz, ε’ disminuyó al aumentar la frecuencia hasta alcanzar un valor de 2.6 a 13 GHz. Este estudio sólo evaluó la permitividad eléctrica de un tipo de asfalto bajo una temperatura. Asimismo, no tuvo como objetivo principal evaluar las propiedades dieléctricas del asfalto, ni correlacionarlas con sus propiedades físico-químicas. Tampoco se evaluaron efectos asociados a durabilidad en el asfalto como son el envejecimiento por oxidación, entre otros.
Chen et al. [14] realizaron una medición de espectroscopia dieléctrica en un rango de baja frecuencia (10-2-106 Hz) para asfaltos AC 70-100, AC 50-70, AC 160-220 y uno modificado con cera (WMB). Usaron un medidor de precisión LCR HP 4284A y un analizador de diagnóstico de aislamiento iDAX-300 con un rango de frecuencia de 10-2-103 Hz de Megger. Como conclusiones del estudio reportan:
1) La respuesta dieléctrica del asfalto base depende en gran medida de la temperatura y la frecuencia (ε’ aumenta cuando incrementa la temperatura, y disminuye cuando aumenta la frecuencia), lo que también está muy relacionado con la reología del sistema.
2) No se pueden ver diferencias notables en la constante dieléctrica entre diferentes grados de asfalto de la misma fuente de petróleo crudo.
3) Se pueden observar cambios regulares de la tangente de pérdida dieléctrica (tan δ) entre los diferentes grados de asfalto, lo que puede ser un buen indicador del vínculo entre las respuestas dieléctricas y reológicas.
4) La tanδ aumenta cuando incrementa la temperatura y disminuye cuando aumenta la frecuencia.
5) La presencia de cera en un estado cristalino dificulta la respuesta dipolar de las moléculas grandes en la estructura del asfalto.
De acuerdo con los autores, teóricamente, ε’ en el rango de baja frecuencia no puede ser menor que el del nivel de GHz, lo que sugiere un conflicto en sus resultados. Pero, por otro lado, esto también puede ser posible ya que el asfalto envejecido está más rígido y, posiblemente, tiene una respuesta de polarización reducida en un campo eléctrico. Chen et al. también mencionan que la viscosidad del asfalto se ve influenciada, principalmente, por dos factores: un mayor contenido de moléculas grandes como los asfaltenos y las resinas pueden hacer que el asfalto sea más viscoso; cuanto mayor es la polaridad del asfalto, más fuertes son las interacciones intermoleculares y menos viscoso es el material. En ese orden de ideas, recomiendan realizar estudios a futuro comparando asfaltos de distintas procedencias, y medir efectos como la humedad, el envejecimiento y la modificación del polímero en la respuesta dieléctrica del asfalto.
Lyne et al. [53] usaron espectroscopía dieléctrica para realizar una investigación cuyo objetivo principal era interpretar la adhesión agregado-asfalto midiendo sus constantes dieléctricas, índices de refracción y tangente promedio del ángulo de pérdida dieléctrica (tan δ). Otro objetivo fue evaluar el potencial de adhesión de los asfaltos cuando se usa cemento Portland. Las propiedades dieléctricas de 7 asfaltos AC 70-100 se estudiaron a temperatura ambiente en el rango de frecuencia de 0.01 Hz a 1 kHz. Se usó un analizador de diagnóstico de aislamiento iDAX-300 de Megger para medir la permitividad dieléctrica. Al igual que en los estudios anteriormente descritos, la permitividad en los asfaltos disminuye cuando aumenta la frecuencia.
Concluyeron entonces que los asfaltos son altamente London Dispersive (electronic) Polarizable y que la fracción de asfaltenos (o insoluble en n-heptano) es aún más London Dispersive (electronic) Polarizable. Este término también es denominado polarización electrónica y ocurre cuando una molécula apolar se encuentra muy cerca de una que sí es polar y, momentáneamente, induce una polarización electrónica temporal. En este caso, los electrones de la molécula apolar se encuentran muy cerca del protón de la polar e inducen una polarización que no es permanente. El grado de polarización de la dispersión no polar de Londres incrementa al aumentar el tamaño molecular y la aromaticidad. Al igual que en los anteriores estudios descritos la temperatura de análisis fue la ambiental (sin embargo, no la mencionan), no muestran las propiedades de los 7 asfaltos, ni la correlación con propiedades físicas. Ya que no era el objetivo del estudio.
Zhai et al. [31] realizaron ensayos de laboratorio sobre mastics con diversas relaciones de filler-asfalto para evaluar sus propiedades dieléctricas. Como asfalto base usaron AC 70 y modificado con SBS. El objeto del estudio no era evaluar las propiedades de los asfaltos. Utilizaron un analizador de red y un kit de sonda de alta temperatura para medir las constantes dieléctricas. El rango de frecuencia analizado fue de 300 MHz a 3 GHz y la temperatura de ensayo 20 °C. Con base en los valores medios de permitividad obtenidos para los asfaltos AC 70 y modificado con SBS (2.794 y 2.795) y sus respectivas desviaciones estándar (0.0065 y 0.0059), concluyeron que la dispersión de las constantes dieléctricas medidas de los dos asfaltos en el rango de frecuencia de 300 MHz a 3 GHz es pequeña. Es decir, la permitividad de los asfaltos AC 70 y modificado con SBS es casi independiente de la frecuencia en el rango de frecuencia probado. En este estudio no son claras las propiedades físicas de los asfaltos analizados, ni es claro el efecto del modificador (SBS). Tampoco se evaluó el efecto de la temperatura sobre las propiedades dieléctricas.
Zhai et al. [30] hicieron énfasis en la evaluación de las propiedades dieléctricas de 9 mezclas asfálticas (3 asfaltos: AC 70, AC 70 modificado con SBS y ac 90, mezclados con un agregado calcáreo y tres relaciones asfalto/agregado de 4%, 5% y 6%). Emplearon un analizador de red para medir las constantes dieléctricas de las muestras cubriendo frecuencias de 1.7 a 2.6 GHz a 20 °C. En su estudio no son claras las propiedades físicas de los asfaltos analizados. Igualmente, no evaluaron el efecto de la temperatura sobre las propiedades dieléctricas. El rango de frecuencias analizado fue limitado a altos valores en los cuales la permitividad fue constante. Se observa en los resultados un ligero incremento de la permitividad cuando aumenta el grado de penetración del asfalto.
Kara et al. [15] midieron las propiedades dieléctricas de muestras con diferentes espesores de un AC 50-70 en el rango de frecuencia de 0.1Hz A 1MHz y rango de temperatura de -40 °C a 40 °C. Para tal fin usaron un analizador de alta resolución dieléctrico, conductividad e impedancia Alpha-A (Novocontrol Technologies). Evaluaron el efecto del espesor de las muestras sobre la Tg. Concluyeron que hacia espesores más altos (hasta 4 mm), ε’ aumenta a medida que aumenta el espesor. Después de 5 mm, e se vuelve independiente del espesor y obtiene un valor constante aproximado de 5.5. A medida que aumenta el espesor, el valor de Tg aumenta. Tg varía en el rango de temperatura de -50 °C a 5 °C. La dependencia del espesor de los parámetros ε’ y Tg exhibe un comportamiento similar. Ambos parámetros cambian hasta un grosor de muestra de 5 mm. Luego de dicho grosor, los valores se vuelven constantes. También mostraron resultados similares a los reportados en los estudios anteriormente descritos:
La principal limitación del estudio fue que usaron un solo tipo de asfalto. Además, el objeto de estudio no fue correlacionar las propiedades dieléctricas medidas con las propiedades físico-químicas del asfalto analizado.
De acuerdo con Jiang et al. [54], la pérdida dieléctrica e del asfalto es muy pequeña a temperatura ambiente y puede ser negligida. Sin embargo, a altas temperaturas, la conductividad puede aumentar significativamente, lo que podría aumentar notablemente la ε" (especialmente a bajas frecuencias).
4. Conclusiones
Basados en la revisión bibliográfica realizada en el estudio, se puede concluir que pocas investigaciones han sido realizadas en el mundo para evaluar de manera directa las propiedades dieléctricas en asfaltos. Lo anterior es, tal vez, debido a que dichas propiedades cambian muy poco en un amplio rango de temperaturas y frecuencias. Sin embargo, esos pequeños cambios pueden dar respuesta a múltiples incertidumbres que se tienen a la hora de explicar el complejo comportamiento que experimentan cuando son sometidos a diferentes condiciones de carga y del medio ambiente. Adicionalmente, podrían ser correlacionados con las propiedades físico-químicas a nivel micro-estructural, lo cual ayudaría a mejorar el entendimiento de estos materiales en la ingeniería de pavimentos.
Por lo general, las propiedades dieléctricas que se miden en los asfaltos son la permitividad y la conductividad. No obstante, se podría pensar a futuro en calcular otros parámetros como lo son la impedancia, y hacer ajustes con circuitos equivalentes, el módulo eléctrico, entre otros. En términos generales, ε', ε" y tanδ aumentan cuando incrementa la temperatura y disminuyen cuando aumenta la frecuencia. En el caso de a, este parámetro aumenta con el incremento de la temperatura y la frecuencia.
Pocos estudios tuvieron como objetivo relacionar de manera directa las propiedades dieléctricas con las físico-químicas. Pero, en general, la tendencia en los resultados obtenidos es que la fracción más polar y de mayor conductividad en el asfalto son los asfaltenos, y tanto ε’ como s aumentan cuando disminuye la viscosidad. Se recomienda tener en cuenta las limitaciones expuestas a continuación y diseñar una fase experimental más amplia donde se puedan caracterizar distintos asfaltos. Midiendo y evaluando sus propiedades físico-químicas-dieléctricas en un rango de temperatura más amplio para evidenciar, experimentalmente, la temperatura de transición vítrea de los asfaltos y estudiar procesos asociados a durabilidad, reología, entre otros.
Algunas limitaciones encontradas fueron:
■ En varios estudios, el rango de temperatura y frecuencias fue limitado. Incluso, en algunos estudios no es clara la temperatura y frecuencia usada en los ensayos. En la mayoría de los estudios no se usaron temperaturas inferiores a 0°C en los análisis, las cuales pueden dar respuesta a problemas asociados con agrietamientos del asfalto a bajas temperaturas de servicio.
■ En la mayoría de los estudios no son claras las propiedades de los asfaltos analizados en términos de parámetros físicos tradicionales de caracterización (p.e., penetración, punto de ablandamiento, ductilidad, viscosidad, reología, entre otros).
■ Cuando se extraen asfaltos de mezclas en servicio no son claras las propiedades de dichos asfaltos, ni la influencia que tiene el uso de los solventes empleados.
■ En la mayoría de los estudios el objetivo no fue correlacionar las propiedades dieléctricas con las físico-químicas obtenidas de los asfaltos analizados.
■ No fueron evaluados en los asfaltos efectos asociados a durabilidad como el envejecimiento por oxidación, el daño por humedad, entre otros.
■ Pocos estudios se han realizado para evaluar el efecto del tipo y la composición de diferentes asfaltos y fuentes de producción en las propiedades dieléctricas.
■ En la mayoría de los estudios realizados sobre asfaltos modificados no es claro el efecto que tiene sobre las propiedades dieléctricas, el tipo y cantidad de modificador, ni la influencia que tienen las temperaturas de mezcla, entre otros.
Referencias
[1] J.G. Speight, The Chemistry and Technology of Petroleum, Nueva York: Marcel Dekker Inc., 1999.
[2] P. Redelius y H. Soenen, (2015, en. 15). "Relation Between Bitumen Chemistry and Performance," Fuel. [Internet]. Vol. 140, pp. 34-43. Disponible en https://doi.org/10.1016/j.fuel.2014.09.044.
[3] R. Moraes y H.U. Bahia, (2015, sept. 10). "Effect of Mineral filler on Changes in Molecular Size Distribution of Asphalts During Oxidative Ageing," Road Materials and Pavement Design. [Internet]. Vol. 16, n. ° S2, pp. 55-72. Disponible en https://doi.org/10.1080/14680629.2015.1076998.
[4] M.L. Selucky, S.S. Kim, F. Skinner et al.,Structure-Related Properties of Athabasca Asphaltenes and Resins as Indicated by Chromatographic Separation Chemistry of Asphaltenes. Washington DC: Bunger J.W., Li N.C. (Eds), American Chemical Society, 1981, pp. 83-118.
[5] P. Redelius, (2011, sept. 20). "Asphaltenes in Bitumen, What They Are and What They Are Not". Road Materials and Pavement Design, [Internet]. vol. 10, n. ° 1, pp. 25-43. Disponible en https://doi.org/10.1080/14680629.2009.9690234.
[6] P. Kriz, J. Stastna, y L. Zanzotto, (2008). "Glass transition and phase stability in asphalt binders," Road Materials and Pavement Design. [Internet]. vol. 9, n. ° sup1, pp. 37-65. Disponible en https://doi.org/10.1080/14680629.2008.9690158.
[7] S.A. Forough, F.M. Najad y H. Ziari, (2013, nov.). "Investigating the Relationship Between the Electrical Resistivity Characteristics and the Volumetric Properties of Asphalt Mixtures," Journal of Materials in Civil Engineering. [Internet]. Vol. 25, n.° 11, pp. 1692-1702. Disponible en https://doi.org/10.1061/(ASCE)MT.1943-5533.0000735.
[8] I. Androjic y A. Mikulic, (2018). "Influence of Volumetric Properties of Asphalt Samples on the Electrical Resistivity Characteristics," Road Materials and Pavement Design. [Internet]. Vol. 19, n. ° 4, pp. 754-767. Disponible en https://doi.org/10.1080/14680629.2016.1273844.
[9] A. Arabzadeh, M. A. Notani, A. K. Zadeh et al., (2019, sept. 15). "Electrically Conductive Asphalt Concrete: An Alternative for Automating the Winter Maintenance Operations of Transportation Infrastructure," Composites Part B: Engineering. [Internet]. Vol. 173, 106985, 2019. https://doi.org/10.1016/j.composi-tesb.2019.106985.
[10] J.J. Farrar, "Electrically Conductive Concrete," GEO Journal of Science and Technology, VOL. 45, N. ° 1, pp. 45-48, 1978.
[11] A. García, E. Schlangena, M. van de Ven et al., (2009). "Electrical Conductivity of Asphalt Mortar Containing Conductive Fibers and Fillers," Construction and Building Materials. [Internet]. Vol. 23, pp. 3175-3181. Disponible en https://doi.org/10.1016/j.conbuildmat.2009.06.014.
[12] Q. Liu, E. Schlangen, A. Garcia et al., (2010, jul.). "Induction Heating of Electrically Conductive Porous Asphalt Concrete," Construction and Building Materials. [Internet]. Vol. 24, n.° 7, pp. 1207-1213. Disponible en https://doi.org/10.1016/j.conbuildmat.2009.12.019.
[13] F. Chen y R. Balieu, (2020, oct.). "A State-Of-The-Art Review of Intrinsic and Enhanced Electrical Properties of Asphalt Materials: Theories, Analyses and Applications," Materials and Design. [Internet]. Vol. 195, 109067. Disponible en https://doi.org/10.1016/j.matdes.2020.109067.
[14] F. Chen, N. Taylor, N., Kringos et al., (2015, abr.). "A Study on Dielectric Response of Bitumen in the Low-Frequency Range," Road Materials and Pavement Design. [Internet]. Vol. 16, n. ° sup1, pp. 153-169. Disponible en https://doi.org/10.1080/14680629.2015.1029682.
[15] T. Kara, D. Bozoglu, S. Yardim et al., (2020, en. 17). "Thickness Dependence of Dielectric Properties and Glass Transition Temperature of Bitumen," Road Materials and Pavement Design. [Internet]. Vol. 22, n. ° 7, pp. 1637-1653. Disponible en https://doi.org/10.1080/14680629.2020.1713865
[16] J. Stastna y L. Zanzotto , (1999, abr. 26). "Linear response of regular asphalts to external harmonic fields," Journal of Rheology. [Internet]. Vol. 43, n. ° 3, pp. 719-734. Disponible en https://doi.org/10.1122/1.550996.
[17] P. Redelius y H. Soenen, (2005, abr. 15). "Correlation between Bitumen Polarity and Rheology," Road Materials and Pavement Design. [Internet]. Vol. 6, n. ° 3, pp. 385-405.Disponible en https://doi.org/10.1080/14680629.2005.9690013.
[18] M. Parto, D. Deger, K. Ulutas et al., (2012, nov. 23). "Structure and Dielectric Behavior of TlSbS2," Applied Physics A. [Internet]. Vol. 112, pp. 911-918. Disponible en https://doi.org/10.1007/s00339-012-7446-9.
[19] P.B. Macedo, C.T. Moynihan y R. Bose, "The Role of Ionic Diffusion in Polarization in Vitreous Ionic Conductors," Physics and Chemistry Glasses, vol. 13, n. ° 6, pp. 171-179, 1972.
[20] J.C. Dyre, (1991, nov.). "Some Remarks on AC Conduction in Disordered Solids," Journal of Non-Crystalline Solids. [Internet]. Vol. 135, n. ° 2.3, pp. 219-226.Disponible en https://doi.org/10.1016/0022-3093(91)90423-4.
[21] S.R. Elliott, (1994, my.). "Use of the Modulus Formalism in the Analysis of AC Conductivity Data for Ionic Glasses," Journal of Non-Crystalline Solids. [Internet]. Vol. 170, n. ° 1, pp. 97-100. Disponible en https://doi.org/10.1016/0022-3093(94)90108-2.
[22] K.L. Ngai, (1998, jul. 21). "Relation Between Some Secondary Relaxations and the a Relaxations in Glass-Forming Materials According to the Coupling Model," The Journal of Chemical Physics. [Internet]. Vol. 109, n. ° 16, pp. 6982-6994. Disponible en https://doi.org/10.1063/1.477334.
[23] I.M. Hodge, K.L. Ngai y C.T. Moynihan, (2005, en. 15). "Comments on the Electric Modulus Function," Journal of Non-Crystalline Solids. [Internet]. Vol. 351, n. ° 2, pp. 104-115. Disponible en https://doi.org/10.1016/j.jnoncrysol.2004.07.089.
[24] T. Itoh, Y. Hamaguchi, T. Uno et al., (2006, en. 16). "Synthesis, Ionic Conductivity, and Thermal Properties of Proton Conducting Polymer Electrolyte for High Temperature Fuel Cell," Solid State Ionics. [Internet]. Vol. 177, n. ° 1-2, pp. 185-189, 2006. Disponible en https://doi.org/10.1016/j.ssi.2005.10.006.
[25] A.K. Jonscher, (1977). "The 'Universal' Dielectric Response," Nature. [Internet]. Vol. 267, n. ° 5613, pp. 673-679. Disponible en https://doi.org/10.1038/267673a0.
[26] K.L. Ngai, (1993, nov. 1). "Analysis of nmr and Conductivity-Relaxation Measurements in Glassy Li2S-Sis2 Fast-Ion Conductors," Physical Review B. [Internet]. Vol. 48, n.° 18, pp. 13481-13485. Disponible en https://doi.org/10.1103/PhysRevB.48.13481.
[27] K. Funke y R.D. Banhatti, (2006, oct. 15). "Ionic Motion in Materials with Disordered Structures," Solid State Ionics. [Internet]. Vol. 177, n. ° 19-25, pp. 1551-1557. Disponible en https://doi.org/10.1016/j.ssi.2005.12.037.
[28] J.Q. Shang y J.A. Umana, (1999, dic 1). "Dielectric Constant and Relaxation Time of Asphalt Pavement Materials," Journal of Infrastructure Systems. [Internet]. Vol. 5, n. ° 4, pp. 135-142. Disponible en https://doi.org/10.1061/(ASCE)1076-0342(1999)5:4(135).
[29] I.L. Al-Qadi, S. Lahouar, y A. Loulizi, (2001, sept.). "In-situ Measurements of Hot-mix Asphalt Dielectric Properties," NDT&E International. [Internet]. VOL. 34, N. ° 6, pp. 427-434. Disponible en https://doi.org/10.1016/S0963-8695(01)00010-X.
[30] Y. Zhai, B. Zhang, F. Wang et al., (2019, abr. 8). "Composite Dielectric Model of Asphalt Mixtures Considering Mineral Aggregate Gradation," Journal of Materials in Civil Engineering. [Internet]. Vol. 31, n. ° 6, 1-11. Disponible en https://doi.org/10.1061/(ASCE)MT.1943-5533.0002642.
[31] Y. Zhai, Y. Zhong, B. Zhang et al., (2018, oct. 22). "Predicting the Dielectric Properties Based on Micromechanical Modeling for Asphalt Mastics," AIP Advances. [Internet]. Vol. 8, 125311. Disponible en https://doi.org/10.1063/1.5075497.
[32] S. Wang, S. Zhao y I.L. Al-Qadi, (2019, abr. 7). "Real-time Monitoring of Asphalt Concrete Pavement Density During Construction Using Ground Penetrating Radar: Theory to Practice," Transportation Research Record. [Internet]. n. ° 2673, pp. 329-338, Disponible en https://doi.org/10.1177/0361198119841038.
[33] C. Plati y A. Loizos, (2013, oct.). "Estimation of In-Situ Density and Moisture Content in HMA Pavements Based on GPR Trace Reflection Amplitude Using Different Frequencies," J. Appl. Geophys. [Internet]. Vol. 97, p. 3-10. Disponible en https://doi.org/10.1016/j.jappgeo.2013.04.007.
[34] S. Sebesta y T. Scullion, (2003, en. 1). "Application of Infrared Imaging and Ground-Penetrating Radar to Detect Segregation in Hot-Mix Asphalt Overlays," Transportation Research Record. [Internet]. n. ° 1861, pp. 37-43. Disponible en https://doi.org/10.3141/1861-05.
[35] T. Steiner, K. Hoegh, E. Z. Teshale et al., (2020, sept.). "Method for Assessment of Modeling Quality for Asphalt Dielectric Constant to Density Calibration." Journal of Transportation Engineering, Part B: Pavements. [Internet]. Vol. 146, n. ° 3, 1-9. Disponible en https://doi.org/10.1061/JPEODX.0000210.
[36] A. Loizos y C. Plati, (2011, sept. 19). "Assessment of hma Air-Voids and Stiffness Based on Material Dielectric Values," Road Materials and Pavement Design. [Internet]. Vol. 12, n. ° 1, pp. 217-226. Disponible en https://doi.org/10.1080/14680629.2011.9690360.
[37] D.A. Anderson, D.W. Christensen, H.U. Bahia et al.,Binder Characterization and Evaluation. Vol. 3: Physical Characterization. Washington, DC: SHRP-A-369, 1994.
[38] E.J. Jaselskis, J. Grigas y A. Brilingas, (2003, oct.). “Dielectric Properties of Asphalt Pavement”, Journal of Materials in Civil Engineering. [Internet]. Vol. 15, n. º 5, 427-434. Disponible en https://doi.org/10.1061/(ASCE)0899-1561(2003)15:5(427).
[39] S. Penzes y J.G. Speight, (1974, jul.). “Electrical Conductivities of Bitumen Fractions in Non-Aqueous Solvents”, Fuel. [Internet]. Vol. 53, n. º 3, pp. 192-197. Disponible en https://doi.org/10.1016/0016-2361(74)90010-6.
[40] H.P. Maruska y B.M.L. Rao, (2007, mzo. 30). "The Role of Polar Species in the Aggregation of Asphaltenes," Fuel Science and Technology International. [Internet]. Vol. 5, n.o 2, pp. 119-168. Disponible en https://doi.org/10.1080/08843758708915850.
[41] J.M. Sowa, P. Sheng, M.Y. Zhou et al., (1995, ag.). "Electrical Properties of Bitumen Emulsions," Fuel. [Internet]. Vol. 74, n. o 8, pp. 1176-1179. Disponible en https://doi.org/10.1016/0016-2361(95)00066-E.
[42] Z. Vlachovicova, J. Stastna y L. Zanzotto , "Shear Viscosity and Dielectric Permittivity on Asphalt Modified by SBS," Petroleum and Coal, VOL. 45, N. o . 3-4, pp. 178-183, 2003.
[43] T. Saarenketo, (1997, en. 1). "Using Ground-Penetrating Radar and Dielectric Probe Measurements in Pavement Density Quality Control," Transportation Research Record. [Internet]. n. o 1575, pp. 34-41. Disponible en https://doi.org/10.3141/1575-05.
[44] T. Saarenketo, Electrical Properties of Road Materials and Subgrade Soils and the Use of Ground Penetrating Radar in Traffic Infrastructure Surveys, Ph. D. dissertation, Facultad de Ciencia, Universidad de Oulu, Oulu, Finlandia, 2006.
[45] R.S. Chow, D.L. Tse y K. Takamura, (2015, mzo. 12). "The Conductivity and Dielectric Behavior of Solutions of Bitumen in Toluene," The Canadian Journal of Chemical Engineering, [Internet]. vol. 82, n. ° 4, pp. 840-845, 2004. Disponible en https://doi.org/10.1002/cjce.5450820425.
[46] H. Vralstad, Ø. Spets, C. Lesaint et al., (2008, my. 19). "Dielectric Properties of Crude Oil Components," Energy Fuel. [Internet]. Vol. 23, n.° 11, pp. 5596-5602. Disponible en https://doi.org/10.1021/ef900445n.
[47] M.B.A. Aziz, R. Muniandy, K. Abdullah et al., "Preliminary Determination of Asphalt Properties Using Microwave Techniques," ARFN Journal of Engineering and Applied Sciences, vol. 5, n. ° 11, pp. 70-81, 2010.
[48] M. Ateeq, S. Wylie, A. Al-Shamma'a et al., (2012, jul. 10). "Microwave Spectroscopy: A Potential Technique to Analyse Bitumen Dielectric and Physical Properties," Measurement Science and Technology. [Internet]. Vol. 23, n.° 8, pp. 1-13. Disponible en https://doi.org/10.1088/0957-0233/23/8/085503.
[49] I.A. Adamu, M.M.A. Aziz, Y.K. Yeow et al., (2019). "Dielectric Measurement of Bitumen: A Review," IOP CONFERENCE SERIES: MATER. Sci. ENG. VOL. 527, 012056. DISPONIBLE EN https://doi.org/10.1088/1757-899X/527/1/012056.
[50] G.X. Yu, Z.M. Li, X.L. Zhou et al., (2011, my. 18). "Crumb rubber-Modified Asphalt: Microwave Treatment Effects," Petroleum Science and Technology. [Internet]. Vol. 29, n. ° 4, pp. 411-417. Disponible en https://doi.org/10.1080/10916460903394102.
[51] M. Liang, X. Xin, W. Fan et al., (2017, ag. 5). "Thermostability and Aging Performance of Modified Asphalt with Crumb Rubber Activated by Microwave and tor," Materials & Design. [Internet]. VOL. 127, pp. 84-96. Disponible en https://doi.org/10.1016/j.matdes.2017.04.060.
[52] C.M. Chang, J.S. Chen y T.B. Wu, (2011, febr.). "Dielectric Modeling of Asphalt Mixtures and Relationship with Density," Journal of Transportation Engineering. [Internet]. Vol. 137, n. ° 2, pp 104-111.Disponible en https://doi.org/10.1061/(ASCE)TE.1943-5436.0000204.
[53] A.L. Lyne, N. Taylor, N. Jaeverberg et al., (2015, mzo. 12). "Low Frequency Dielectric Spectroscopy of Bitumen Binders as an Indicator of Adhesion Potential to Quartz Aggregates Using Portland Cement," Materials and Structures. [Internet]. Vol. 49, n. ° 4, pp. 1327-1336. Disponible en https://doi.org/10.1617/s11527-015-0579-5.
[54] Q. Jiang, Q. Li, J. Li et al., (2018, mzo. 26). "A Real-Time Electrochemical Impedance Analysis for Water-In-Oil Emulsions of Bitumen Diluted with Naphtha," Chemistry Select. [Internet]. Vol. 3, n. ° 12, pp. 3411-3416, 2018. Disponible en https://doi.org/10.1002/slct.201702633.
Notas
Notas