Artículos
Amenaza de inundaciones por encharcamiento en la zona de expansión Aranda, Pasto, Nariño*
Flooding Hazard Due to Waterlogging In The Aranda Expansion Area - Pasto, Nariño
Ameaça de inundações por alagamento na zona de expansão Aranda, Pasto, Nariño
Amenaza de inundaciones por encharcamiento en la zona de expansión Aranda, Pasto, Nariño*
Ciencia e Ingeniería Neogranadina, vol. 34, núm. 1, pp. 67-82, 2024
Universidad Militar Nueva Granada
Recepção: 30 Janeiro 2024
Aprovação: 14 Maio 2024
Publicado: 30 Junho 2024
Resumen: En esta investigación se determinó la amenaza de inundación en la zona de expansión Aranda del municipio de Pasto, considerando una lluvia crítica de diseño para un periodo de retorno de cien años. Se establecieron las condiciones hidrológicas de la zona de estudio definiendo la cuenca perteneciente a la zona de expansión Aranda, correspondiente a la microcuenca El Blanco. Se utilizaron datos de precipitaciones máximas de tres estaciones meteorológicas y con base en las curvas intensidad-duración-frecuencia (IDF), se determinaron las intensidades de precipitación para diferentes duraciones. Posteriormente, se empleó el software MIKE SHE para simular las profundidades y velocidades del flujo superficial en toda el área de estudio incorporando datos de cobertura, características hidrológicas del suelo de la microcuenca, infiltración y pendiente, así como las intensidades de lluvia calculadas. La zonificación de la amenaza mediante las metodologías de la Federal Emergency Management Agency (FEMA) y el IDIGER reveló que las zonas de pendiente pronunciada presentaban una amenaza de inundación media debido al potencial de inundación repentina. Aunque en un principio se centró en el encharcamiento en la zona de expansión ubicada en la llanura de la cuenca, los resultados mostraron que las condiciones topográficas, caracterizadas por pendientes pronunciadas con altas velocidades de escorrentía, justificaban atribuir un nivel de amenaza medio a estas regiones debido a su mayor susceptibilidad a las inundaciones repentinas. Sin embargo, la mayor parte de la microcuenca presentaba una amenaza baja de inundación por encharcamiento, debido a unos suelos profundos y bien drenados que facilitaban la infiltración y el almacenamiento temporal de agua, reduciendo la acumulación de agua superficial. Por tanto, se destaca que estos hallazgos pueden ser importantes para la planificación en esta zona, considerando las características hidrológicas de la microcuenca El Blanco.
Palabras clave: Hidrología, inundaciones, amenaza, modelamiento, tormentas, GIS.
Abstract: This study investigates the flooding hazard caused by waterlogging in the Aranda expansion zone of Pasto municipality, utilizing a critical design rainfall with a return period of 100 years. The hydrological conditions of the study area were delineated by defining the basin belonging to the Aranda expansion zone, corresponding to the El Blanco micro-watershed. Maximum precipitation data from three meteorological stations were employed to determine precipitation intensities for various durations based on the IDF curves. The MIKE SHE software simulated surface flow depths and velocities across the study area, considering land cover, soil hydrological characteristics, infiltration, slope, and calculated rainfall intensities. Flood hazard zoning, employing FEMA and IDIGER methodologies, revealed that steep slope areas exhibited a medium flood hazard due to the potential for flash flooding. Although the initial focus was on waterlogging in the expansion zone of the basin plain, the results indicated that the topographic conditions, characterized by steep slopes with high runoff velocities, warranted assigning a medium hazard level to these regions due to their heightened susceptibility to flash flooding. However, most of the micro-watershed demonstrated a low threat of flooding due to waterlogging, attributed to deep, well-drained soils facilitating infiltration and temporary water storage, thereby reducing surface water accumulation. These findings underscore the significance of considering hydrological characteristics in planning for this area, particularly within the El Blanco micro-watershed.
Keywords: Hydrology, Floods, Hazard, Modeling, Storms, GIS.
Resumo: Nesta pesquisa foi determinada a ameaça de inundação na zona de expansão Aranda do município de Pasto, considerando uma chuva crítica de projeto para um período de retorno de cem anos. Foram estabelecidas as condições hidrológicas da área de estudo, definindo a bacia pertencente à zona de expansão Aranda, correspondente à microbacia El Blanco. Utilizaram-se dados de precipitações máximas de três estações meteorológicas e, com base nas curvas intensidade-duração-frequência (IDF), determinaram-se as intensidades de precipitação para diferentes durações. Posteriormente, utilizou-se o software MIKE SHE para simular as profundidades e velocidades do fluxo superficial em toda a área de estudo, incorporando dados de cobertura, características hidrológicas do solo da microbacia, infiltração e inclinação, bem como as intensidades de chuva calculadas. A zonificação da ameaça, utilizando as metodologias da Federal Emergency Management Agency (FEMA) e do IDIGER, revelou que as áreas de inclinação acentuada apresentavam uma ameaça média de inundação devido ao potencial de enchentes repentinas. Embora inicialmente o foco tenha sido o alagamento na zona de expansão localizada na planície da bacia, os resultados mostraram que as condições topográficas da área, caracterizadas por encostas íngremes com altas velocidades de escoamento, justificavam atribuir um nível médio de ameaça a essas regiões devido à sua maior susceptibilidade a enchentes repentinas. No entanto, a maior parte da microbacia apresentava uma ameaça baixa de inundação por alagamento, devido a solos profundos e bem drenados que facilitavam a infiltração e o armazenamento temporário de água, reduzindo o acúmulo de água superficial. Portanto, destaca-se que esses achados podem ser importantes para o planejamento nessa área, considerando as características hidrológicas da microbacia El Blanco.
Palavras-chave: Hidrologia, inundações, ameaça, modelagem, tempestades, SIG.
Introducción
Las inundaciones son un tipo de desastre natural recurrente en Colombia, pueden ocurrir en áreas donde se presenta un incremento en las precipitaciones debido a patrones climáticos o a la influencia de sistemas meteorológicos que favorecen la aparición de lluvias intensas de corta duración 1. Estos eventos pueden desencadenar serias repercusiones económicas, sociales y ambientales, en los que resultan más afectadas las zonas urbanas densamente pobladas. Según un informe del Instituto de Hidrología, Meteorología y Estudios Ambientales de Colombia (Ideam), se documentaron 12577 eventos de inundaciones en el país durante el periodo de 2000 a 2021. Adicionalmente, se identificó que el 17 % del territorio continental colombiano es propenso a inundaciones 2. En virtud de esta situación es esencial disponer de herramientas efectivas para la prevención y gestión del riesgo de inundaciones en el país.
Es importante destacar que las inundaciones por encharcamiento, provocadas por lluvias torrenciales, se han convertido en un grave problema para muchas grandes ciudades del planeta debido a la frecuencia con que se producen y las pérdidas de vidas y propiedades que ocasionan 3. Por ejemplo, en 2015, la inundación de Chennai en la India cobró la vida de más de 325 personas 4. En 2009 Manila, la capital de Filipinas, sufrió anegaciones urbanas que dejaron 241 muertos y la evacuación de 900 mil personas 5. Además, un estudio de la Organización Meteorológica Mundial muestra que las pérdidas materiales debidas a inundaciones repentinas ocupan el primer o segundo lugar entre diversos peligros naturales en 105 de 139 países 6.
Teniendo en cuenta este panorama y que los estudios de inundaciones en el municipio de Pasto se han enfocado principalmente en analizar la amenaza por desbordamiento de ríos en algunas de las cuencas del sector, como lo muestra el plan de ordenamiento territorial (2014-2027) de Pasto, Nariño, la falta de información acerca de la amenaza de inundaciones por encharcamiento en las zonas de expansión del municipio, puede implicar la no prevención de los posibles desastres que afecten a estas localidades y sus alrededores.
La simulación numérica se presenta como una herramienta eficaz para analizar y prever los efectos de las inundaciones en una zona determinada. En este contexto, el modelo MIKE SHE se destaca como un instrumento altamente efectivo para simular inundaciones tanto en entornos urbanos como rurales, MIKE SHE es un modelo hidrológico integrado, combina la simulación de procesos hidrológicos y transferencia de agua en la zona no saturada del suelo 7. Este modelo permite la simulación de la dinámica del agua y la humedad del suelo y la respuesta hidrológica de las cuencas hidrográficas de cara a distintos escenarios de precipitación y uso del suelo (Li et al., 2022) 8. Su capacidad para falsear inundaciones por encharcamiento lo posiciona como una herramienta valiosa para la gestión de riesgos hidrológicos 9.
El objetivo de esta investigación fue analizar la amenaza de inundaciones por encharcamiento en la zona de expansión Aranda utilizando el software MIKE SHE. Se emplearon datos climatológicos, topográficos, de vegetación y tipos de suelos para simular el escenario de inundaciones por encharcamiento y evaluar la amenaza en la zona de expansión. Se espera que los resultados de esta investigación sean útiles para la planificación y toma de decisiones en la gestión del riesgo de inundaciones en el área.
Área de estudio
La investigación se desarrolló en la zona de expansión Aranda del municipio de Pasto con una extensión de 1,9 km2 (figura 1), localizada al norte de la cabecera municipal, delimitada al oriente por la carretera Paso Nacional-Pasto, hacia el occidente se encuentra conectada mediante la vía a la ciudad portuaria de Tumaco, al norte con el departamento del Cauca, al sur del país con la ciudad de Ipiales y con la república del Ecuador y hacia al oriente con el departamento de Putumayo 10.

Se encuentra ubicada a una altura de 2527 m s. n. m., con un promedio de lluvia total anual de 796 mm; el periodo de lluvia más frecuente se da en octubre, noviembre y diciembre. La temperatura promedio es de 12,8 °C y la temperatura máxima media oscila entre los 16 y 17 °C. La humedad relativa del aire en este lugar varía entre 8 y 74 % al año, donde el valor máximo se presenta en los meses más lluviosos 11.
Metodología
Para el análisis hidrológico se determinó la lluvia de diseño a partir de datos del día pluviométrico convencional de 2001 a 2022 de la estación Universidad de Nariño (AUT) (figura 1), considerando como año hidrológico el periodo de julio a junio. Estos datos fueron validados mediante tres métodos estadísticos: detección de datos atípicos con el método de datos dudosos de 12, análisis de independencia mediante el método de Anderson y análisis de homogeneidad con la prueba de Cramer 13.
Con esta información se hizo el análisis de frecuencia de valores extremos para obtener las precipitaciones máximas asociadas al tiempo de retorno de cien años de acuerdo con la distribución que presentó un mejor ajuste.
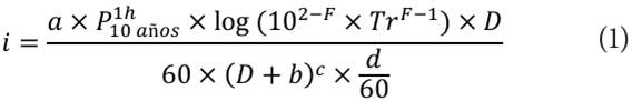
En el modelo se aplicaron como variables de entrada las intensidades de lluvia basadas en el tiempo de concentración y determinadas a partir de curvas I-D-F, mediante el método presentado por Chen (1983) 14 (ecuación 1), junto con la evapotranspiración potencial calculada con base en el método de Thornthwaite 15.

Donde:
P1h10 años: precipitación de una hora para un
tiempo de retorno de diez años, en mm
Tr: periodo de retorno, en años
D: duración de lluvia, en min
a, b, c, F: variables regionales
Una vez establecidas las variables de entrada, se determinó la topografía de la zona de estudio que definió el límite superior del modelo. La cobertura vegetal fue identificada con la aplicación de la metodología Corine Land Cover 16 para estimar la evapotranspiración real basándose en la evapotranspiración potencial. Para las diferentes coberturas fue necesario establecer variables como profundidad de las raíces, índice foliar, coeficiente de cultivo e interceptación por el dosel vegetal, que fueron determinadas con información secundaria (tabla 5).

El componente de flujo superficial se trabajó en el modelo MIKE SHE utilizando la aproximación de la onda difusiva de las ecuaciones de Saint Venant, de acuerdo con la ecuación (2) 7.

Donde:
i: entrada neta en el flujo superficial
h: profundidad del flujo sobre la superficie del suelo
u, v: velocidades del flujo en los ejes x y y, respectivamente
La relación de las profundidades de flujo y las velocidades se expresan en las ecuaciones 3 y 4:


Donde Kx y Ky hacen referencia a los coeficientes de rugosidad de Strickler, equivalentes a la inversa del coeficiente n de Manning calculado para la cuenca. La solución de estas ecuaciones se realiza en el software MIKE SHE a partir del método de diferencias finitas.
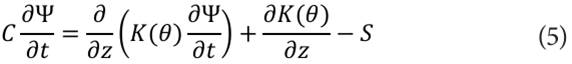
La infiltración del agua se determinó en el componente de flujo no saturado, según la ecuación (5) de Richards como se expresa a continuación 7:

Donde:
C: capacidad hídrica del suelo
θ: humedad volumétrica del suelo
Ѱ: altura de presión
K: conductividad hidráulica
S: tasa de extracción por las raíces
Las características mencionadas anteriormente se relacionan con la clase textural del suelo que se obtuvo a partir de las consociaciones de suelo de la microcuenca y el diagrama triangular de las clases texturales.
La zonificación de amenaza de inundaciones por encharcamiento se realizó por medio de dos metodologías: el método de fema donde la amenaza se clasifica considerando el producto de la profundidad y la velocidad del agua, etiquetándola en categorías que oscilan desde bajo hasta riesgo extremo, como se detalla en la tabla 1 y el método IDIGER que relaciona el nivel de amenaza para la profundidad y velocidad de acuerdo con diferentes rangos, como se muestra en la tabla 2.


Resultados
Con el fin de determinar la lluvia crítica de diseño para el análisis de inundaciones por encharcamiento, se seleccionaron las precipitaciones máximas de la estación Universidad de Nariño y se realizó el análisis de frecuencia de valores extremos a partir de diferentes distribuciones teóricas de probabilidad (tabla 3).

De las distribuciones de probabilidad consideradas, la LogNormal demostró ser la que mejor se ajusta a la serie de datos observados, con una precisión del 99,71 %. Utilizando esta distribución se calcularon las precipitaciones (Xt) en milímetros, correspondientes a los siete periodos de retorno (Tr) considerados. Los resultados se presentan en la tabla 4.

Para definir la duración de la lluvia de diseño, se calculó el tiempo de concentración mediante el método de Chow, correspondiente a 54,41 minutos, con el objetivo de establecer las intensidades de lluvia para los diferentes periodos de retorno. Luego se construyeron las curvas IDF a partir de las precipitaciones calculadas por la distribución LogNormal y la ecuación 1 del método de Chen, seguido de la desagregación de las precipitaciones. Se consideró especialmente el periodo de retorno de 100 años, puesto que en esta investigación se buscó determinar el escenario crítico de inundaciones por encharcamiento. Por tanto, las intensidades asociadas a este periodo se utilizaron como datos de entrada para la simulación en el software MIKE SHE. La serie de intensidades de lluvia calculada se presenta en la figura 2.

Considerando las variables necesarias para la resolución de la ecuación de Richards en el componente de flujo no saturado, se presentan las consolaciones de suelo del área de estudio en la figura 3 establecidas por el IGAC para Nariño (2004), definiendo, con base en el triángulo textural, los suelos AMB, AMD y ame como suelos francos y los suelos MHA y MLA como suelos franco-arenosos. La tabla 5 registra las variables hidráulicas del suelo asumidas para cada clase textural según datos típicos expuestos por diferentes autores.

Por otra parte, considerando a la cobertura vegetal como un elemento que influye en la infiltración, en la figura 4 se observan las coberturas identificadas en la zona de estudio, junto con las variables asumidas para cada tipo de cobertura de acuerdo con los requerimientos del modelo (tabla 6).


Una vez establecidos todos los parámetros necesarios para realizar la simulación del modelo, cabe resaltar que, aunque el tiempo de concentración se definió como el periodo de lluvia, la simulación se realizó considerando un periodo tres veces mayor, es decir, tres horas, con el fin de entender el comportamiento del flujo superficial tras la ocurrencia de la lluvia crítica. En este sentido, se presentan los resultados obtenidos con el software MIKE SHE de profundidad, velocidad e infiltración (figuras 5, 6 y 7, respectivamente) en intervalos de 30 minutos.



Con los resultados obtenidos, a partir de la simulación del modelo MIKE SHE, se puede concluir que la profundidad máxima de inundación se alcanza a los 90 minutos desde el inicio de la lluvia, registrando un valor de 0,071 m (7,1 cm). En contraste, la velocidad máxima de escorrentía se presenta 30 minutos después del inicio de la lluvia, con rangos de velocidades máximas entre 1,6 y 1,78 m/s en las áreas de mayor pendiente (> 50 %).
Con relación a la infiltración se observó que las tasas más elevadas se presentaron en las áreas de bosque denso alto y suelo franco arenoso, que alcanzaron valores de 55 a 57 mm/h. Por otro lado, las tasas de infiltración más bajas se registraron consistentemente en suelos francos, sobre todo en las zonas de tejido urbano continuo y pastos limpios, con rangos de 10 a 20 mm/h. Es importante destacar que el software MIKE SHE dejó de cuantificar la infiltración en las áreas con tasas más altas 90 minutos después de la simulación. Esto se debe a que, hasta ese momento, toda el agua había sido completamente infiltrada en el suelo, por lo que no se registró ningún ingreso adicional del líquido.
Después de definir los valores de profundidad y velocidad del flujo, se realizó la zonificación de la amenaza de inundaciones por encharcamiento teniendo en cuenta los eventos máximos de estas variables mediante las dos metodologías descritas. Cabe resaltar que los escenarios de velocidades y profundidades máximas no correspondieron al mismo intervalo de tiempo; por este motivo se realizó la zonificación para los dos periodos críticos de velocidad y profundidad del flujo superficial. Los resultados de esta zonificación se presentan en la figura 8 para el método propuesto por fema, y en la figura 9 para el método de IDIGER.


El análisis de zonificación de amenazas, realizado para el periodo en que el flujo alcanzó velocidades máximas (T = 30 min), reveló una amenaza de inundación media, particularmente en las áreas caracterizadas por pendientes más pronunciadas dentro de la microcuenca El Blanco. Sin embargo, específicamente dentro de la zona de expansión del Aranda, solo una pequeña fracción de 0,76 hectáreas, equivalente a un 0,4 % del área total, estaba expuesta a un nivel medio de amenaza por inundación. En cuanto al escenario de profundidad máxima, la evaluación determinó que el nivel de amenaza era bajo en toda la microcuenca.
Discusión
En el ámbito de la evaluación de amenaza de inundación, estudios previos han hecho contribuciones significativas utilizando metodologías y parámetros diversos para determinar y cuantificar las amenazas potenciales asociadas con la inundación; por ejemplo, 19 y 20 han destacado la importancia de parámetros clave en sus respectivos análisis que incluyen intensidad de lluvia, pendiente, acumulación de flujo, elevación, distancia desde la red de drenaje, uso del suelo y geología. Tomando en consideración estos antecedentes, en esta sección se analizaron tres factores clave (infiltración, uso del suelo y pendiente) que sirvieron como fundamentos para explicar los resultados de la zonificación de la presente investigación.
Se exploraron la infiltración y la escorrentía superficial en la microcuenca El Blanco, que destacaron la influencia del tipo de suelo en estos procesos. Se confirmó una relación inversamente proporcional entre la tasa de infiltración y la escorrentía superficial, especialmente en áreas con suelos franco arenosos, que tienen una mayor capacidad de infiltración 21, 22. Los resultados respaldan la idea de que la conductividad hidráulica es un parámetro clave que define la capacidad máxima de infiltración del suelo 23. Además, se confirmó la influencia temporal en la tasa de infiltración que indicó que en las primeras etapas de una tormenta puede verse afectada por la saturación previa de los espacios capilares 24.
En cuanto al uso del suelo se destaca la relevancia de la vegetación en las tasas de infiltración y flujo de agua. La vegetación, especialmente en áreas boscosas y con cobertura densa, favorece la infiltración al retener el agua superficial y proporcionar condiciones que permiten una mayor penetración en el suelo 18. Los sistemas de raíces de la vegetación aumentan la permeabilidad del suelo, mientras que el dosel actúa como una barrera protectora contra la erosión causada por el impacto de las gotas de agua, que evita la compactación de la superficie del suelo y preserva su porosidad 24.
En contraste con las áreas de vegetación densa, las zonas de pastos y cultivos presentan una mayor profundidad de agua. Esta observación se alinea con los hallazgos de 25, quienes identificaron una mayor propensión a niveles de agua más altos en áreas asociadas a estas mismas coberturas. Además, las zonas urbanas tienen una influencia negativa en la infiltración, como sugiere 18 que respaldan los resultados de los valores más elevados de profundidad en estas regiones.
Aunque varios autores afirman que la vegetación densa contribuye a mitigar la velocidad de la escorrentía superficial, incluso en pendientes pronunciadas 26, 27, en esta investigación, las velocidades máximas se observaron en zonas de vegetación densa, particularmente en regiones con mayores gradientes de pendiente. Lo anterior puede correlacionarse con los hallazgos de 28, que sugirieron que cuando el régimen de flujo se caracteriza por pequeñas profundidades de agua, la cubierta vegetal ejerce una influencia poco significativa en la dinámica del flujo de agua que apunta a que de los tres factores considerados el gradiente de la pendiente es el determinante más importante del comportamiento de la escorrentía en situaciones en las que el agua es relativamente poco profunda.
La interacción entre la pendiente y la escorrentía superficial es un aspecto crítico de la hidrología, con numerosos estudios que destacan la proporcionalidad directa entre ambas variables. 29 señalan que las pendientes pronunciadas aumentan y aceleran los componentes de descarga lateral, lo que conduce a una mayor proporción de componentes de escorrentía cerca de la superficie. Este concepto lo corroboran 30, quienes afirman que la pendiente es el factor más crítico que influye en las inundaciones debido a su impacto directo en la escorrentía superficial en las cuencas hidrográficas. Sostienen que, en pendientes elevadas, la tasa de infiltración del agua es significativamente menor, lo que da lugar a un aumento de la velocidad del agua y de los caudales, y, por consiguiente, a una mayor escorrentía superficial.
Asociado con estas altas velocidades de escorrentía, la zonificación de amenaza por inundación indicó un nivel medio en estas áreas. Aunque en el contexto de encharcamiento, la amenaza de inundación debería ser teóricamente mayor en la llanura de la cuenca relacionada con niveles de profundidad más elevados 31, 19, 32, 33. Considerando que la profundidad de inundación es un factor crítico en la determinación de la amenaza de inundación, no es del todo incongruente atribuir este fenómeno a la inundación repentina, teniendo en cuenta las condiciones topográficas de las zonas donde se produjo la mayor amenaza y reconociendo que las metodologías empleadas no distinguen entre diferentes tipos de amenazas de inundación.
No obstante, es necesario reconocer las características distintivas y los impactos potenciales de las inundaciones por encharcamiento ante las inundaciones repentinas, especialmente en regiones con un relieve topográfico pronunciado, ya que estas se asocian con tormentas de gran intensidad, pendientes pronunciadas, escasa cubierta vegetal, flujos de alta velocidad y baja permeabilidad, mientras que los aluviones por encharcamiento tienden a dar lugar a profundidades de agua que se acumulan gradualmente en zonas bajas o regiones con infraestructuras de drenaje inadecuadas 34.
El estudio realizado 35 respalda la idea de atribuir una amenaza media de inundación a las zonas escarpadas debido a la propensión a las inundaciones repentinas. El estudio destaca que la velocidad de escorrentía mereció el segundo puntaje más alto en la ocurrencia de peligros de inundaciones por este tipo, incluso por encima de la profundidad del agua. En general, el relieve más elevado y las pendientes más pronunciadas facilitan la rápida escorrentía a través de las cuencas, produciendo tiempos de flujo más cortos, velocidades de escorrentía más elevadas, menos tiempo para la infiltración y, por tanto, una mayor posibilidad de riadas repentinas.
Conclusiones
Este estudio evaluó la amenaza potencial de inundación, centrada inicialmente en los encharcamientos en la zona de expansión de Aranda, situada en la microcuenca de El Blanco. Las siguientes conclusiones destacan el papel fundamental que desempeñan las tasas de infiltración, el uso del suelo/la cubierta vegetal, las características del suelo y los gradientes de pendiente en la regulación de la acumulación de la profundidad del agua, la velocidad de la escorrentía superficial y, en última instancia, la distribución espacial de la amenaza de inundación en la zona de estudio.
La profundidad de la acumulación de agua se rige principalmente por la interacción entre las tasas de infiltración, el uso del suelo/la cubierta vegetal y las características del suelo. Las zonas con índices de infiltración más elevados, como los que tienen los suelos franco arenosos y una cubierta vegetal densa (por ejemplo, zonas boscosas), tienden a presentar profundidades de agua más bajas debido a la mayor capacidad de absorción y retención de agua que favorecen la baja amenaza de inundaciones por encharcamiento. Por el contrario, las zonas con menores tasas de infiltración, como las urbanizadas, con pastos o cultivos, son más propensas a mayores profundidades de agua y a posibles encharcamientos. Por tanto, la distribución espacial de las profundidades de agua está fuertemente influenciada por la heterogeneidad de estos factores a lo largo de la cuenca.
Se determinó que la velocidad de la escorrentía superficial se rige predominantemente por el gradiente de la pendiente, sobre todo en escenarios con poca profundidad de agua. Mientras que la vegetación densa puede mitigar las velocidades de escorrentía en pendientes pronunciadas en algunos casos. Este estudio encontró que las velocidades máximas se produjeron en zonas con vegetación densa y mayores gradientes de pendiente cuando las profundidades del agua eran relativamente poco profundas. Este hallazgo sugiere que el gradiente de la pendiente se convierte en el factor dominante que gobierna el comportamiento de la escorrentía cuando las profundidades del agua son bajas, minimizando la influencia potencial de la cubierta vegetal y el tipo de suelo. En consecuencia, las zonas con pendientes más pronunciadas son más susceptibles a los flujos de alta velocidad sin importar otros factores, lo que puede aumentar el riesgo de inundaciones repentinas.
Aunque el objetivo principal de este estudio fue determinar la amenaza de inundación por encharcamiento en la zona de expansión Aranda, ubicada en la planicie de la microcuenca El Blanco, la investigación consideró toda la microcuenca para dar cuenta de las características topográficas específicas que podrían contribuir a la ocurrencia de este tipo de evento. Inicialmente, con base en la falta de conocimiento e información previa sobre inundaciones en el área de estudio, se planteó la hipótesis de que la zona de expansión, situada en la planicie de la cuenca, podría presentar condiciones favorables para crecidas por encharcamiento. Sin embargo, los resultados revelaron que, mientras que las mayores profundidades de agua se asocian típicamente con una mayor amenaza de inundaciones por encharcamiento en las llanuras de las cuencas, las condiciones topográficas de la zona de estudio, caracterizadas por pendientes pronunciadas con altas velocidades de escorrentía, justifican la atribución de un nivel de amenaza medio a estas zonas, debido al mayor potencial de eventos de inundaciones repentinas. Aunque esta asignación de riesgo moderado a zonas escarpadas y de alta velocidad puede parecer contraria a la intuición de las relaciones tradicionales profundidad-amenaza, está justificada por los peligros inherentes asociados a las inundaciones repentinas en estos entornos topográficos.
Agradecimientos
Queremos extender nuestra gratitud a la empresa del software de modelación hidrológica MIKE SHE 7. Esta herramienta fue un pilar esencial en el proceso de desarrollo de este estudio. Agradecemos a DHI Group por su generoso respaldo, que fue determinante para alcanzar los objetivos de la investigación.
Referencias
UNGRD (2021). “Plan nacional de contingencia segunda temporada de lluvias”. [Internet]. Disponible en https://portal.gestiondelriesgo.gov.co/Documents/PNC/PNC-2TEMPORADA-LLUVIAS-2021.pdf
Ideam (2022). “Estudio Nacional del Agua 2022”. [Internet]. Disponible en https://www.andi.com.co/Uploads/Estudio%20Nacional%20del%20Agua%202022_compressed_638258123894912152.pdf
Y. Zhou, et al., “Real-time prediction and ponding process early warning method at urban flood points based on different deep learning methods”, Journal of Flood Risk Management, vol. 17, n.° 1, 2024, doi: 10.1111/jfr3.12964
J. Clayton, A fifteenth-century merchant in London and Kent: Thomas Walsingham, Tesis inédita MA, Universidad de London, London, 2014.
R. Gilbuena, et al., “Gap analysis of the flood management system in Metro Manila, Philippines: A case study of the aftermath of Typhoon Ondoy”, IAHS-AISH Publication, vol. 357, pp. 32-40, 2013.
D. Sun, D. Zhang, and X. Cheng, “Framework of national nonstructural measures for flash flood disaster prevention in China”, Wafer, vol. 4, pp. 272-282, 2012, doi: 10.3390/w4010272
MIKE (2024). “User guide and reference manual”. [Internet]. Disponible en https://manuals.mikepoweredbydhi.help/latest/Water_Resources/MiKE_SHE_Print.pdf
C. Li, et al., “Hydrological response to climate and land use changes in the dry-warm valley of the upper Yangtze River”, Engineering, vol. 19, pp. 24-39, 2022. doi: 10.1016/j.eng.2021.04.029
C. Gonzalo, Propuesta metodológica de modelización hidrometeorológica e hidrodinámica enfocada a la ordenación del riesgo de inundación: aplicación a la cuenca del río Pejibaye (Costa Rica). Tesis inédita Ph. D., Facultad de Ingeniería, Departamento de Ingeniería Forestal, Universidad Politécnica de Madrid, Madrid, 2011.
Secretaría de Planeación Municipal de Pasto (2023). “Plan Parcial Aranda Central” [Internet]. Disponible en https://www.pasto.gov.co/index.php/component/phocadownload/category/861-plan-parcial-aranda-central-expansion#
Ideam (2015). “Características climatológicas de ciudades principales y municipios turísticos”. [Internet]. Disponible en https://www.ideam.gov.co/documents/21021/418894/Caracter%C3%ADsticas+de+Ciudades+Principales+y+Municipios+Tur%C3%ADsticos.pdf/c3ca90c8-1072-434a-a235-91baee8c73fc
V. T. Chow, D. R. Maidment y L. W. Mays, Hidrología aplicada, Bogotá: McGraw-Hill Interamericana, 1970.
C. A. Escalante Sandoval y L. Reyes Chávez, Técnicas estadísticas en hidrología, 2.a. ed., Ciudad de México, México: Universidad Nacional Autónoma de México, 2005.
C. L. Chen, “Rainfall Intensity-Duration-Frequency Formulas”, Journal of Hydraulic Engineering, vol. 109, p. 12, 1983, doi: 10.1061/(ASCE)0733-9429(1983)109:12(1603)
V. Aschonitis, et al., “Correcting Thornthwaite potential evapotranspiration using a global grid of local coefficients to support temperature-based estimations of reference evapotranspiration and aridity indices”, Earth System Science Data, vol. 14, pp. 163-167, 2022, doi: 10.5194/essd-14-163-2022
Instituto Geográfico Agustín Codazzi [IGAC] (2021). “Elaboración del mapa de cobertura de la tierra escala 1:10.000”. [Internet]. Disponible en https://antiguo.igac.gov.co/sites/igac.gov.co/files/in-gag-pc07-03_elaboracion_del_mapa_de_cobertura_de_la_tierra_escala_110.000.pdf
Federal Emergency Management Agency [FEMA] (2020). “Guidance for Flood Risk Analysis and Mapping” [Internet]. Disponible en https://www.fema.gov/sites/default/files/documents/fema_flood-risk-assessment-guidance.pdf
Instituto Distrital de Gestión del Riesgo y Cambio Climático [IDIGER) (2018). “Proyecto actualización de componente de gestión del riesgo para la revisión ordinaria y actualización del Plan de Ordenamiento Territorial” [Internet). Disponible en https://www.sdp.gov.co/sites/default/files/4-DOCUMENTO-TECNICO-DE-SOPORTE/Gestion%20del%20Riesgo.%20Amenazas%20inundacion%20Urbano.pdf
N. Kazakis, I. Kougias and T. Patsialis, “Assessment of flood hazard areas at a regional scale using an index-based approach and Analytical Hierarchy Process: Application in Rhodope-Evros region, Greece”, Science of The Total Environment, vol. 538, pp. 555-563, 2015, doi: 10.1016/j.scitotenv.2015.08.055
G. D. Bathrellos, et al., “Urban flood hazard assessment in the basin of Athens Metropolitan city, Greece”, Environmental Earth Sciences, vol. 75, 2016, doi: 10.1007/S12665-015-5157-1
X. Ren, et al., “Effect of infiltration rate changes in urban soils on stormwater runoff process”, Geoderma, vol. 363, 2020, doi: 10.1016/j.geoderma.2019.114158
C. Martinez, et al., “Modelling infiltration process, overland flow and sewer system interactions for urban flood mitigation”, Water 2021 , vol. 13, n.° 15, 2021, doi: 10.3390/w13152028
U. B. Sezar and K. A. Cevza, “Investigation of overland flow by incorporating different infiltration methods into flood routing equations”, Urban Water Journal, vol. 17, 2020, doi: 10.1080/1573062X.2020.1748206
R. Linsley, M. Kohler y J. Paulhus, Hidrología para ingenieros, 2.a. ed., Nueva York: McGraw-Hill, 1993.
L. A. Esquea, et al., “Cambios en las coberturas de la tierra en el periodo 1984-2017 y análisis de la amenaza ante inundaciones en el municipio de Campo de la Cruz, Atlántico, Colombia”, Revista de Ciencias, vol. 23, n.° 2, 2020, doi: 10.25100/rc.v23i2.9348
T. G. Asfaha, et al., “Determinants of peak discharge in steep mountain catchments - Case of the Rift Valley escarpment of Northern Ethiopia”, Journal of Hydrology, vol. 529, pp. 1725-1739, 2015, doi: 10.1016/j.jhydrol.2015.08.013
S. Bond, et al., “Seasonal vegetation and management influence overland flow velocity and roughness in upland grasslands”, Hydrological Processes, vol. 34, pp. 3777-3791, 2020, doi: 10.1002/hyp.13842
Z. Cai, et al., Influence of vegetation coverage on hydraulic characteristics of overland flow. Water, vol. 13, n.° 8, p. 1055, 2021, doi: 10.3390/w13081055
R. Weingartner, M. Barben, and M. Spreafico, “Floods in mountain areas-an overview based on examples from Switzerland”, Journal of Hydrology, vol. 282, pp. 10-24, 2003, doi: 10.1016/S0022-1694(03)00249-X
R Yariyan, et al., Flood susceptibility mapping using an improved analytic network process with statistical models. Geomatics, Natural Hazards and Risk, vol. 11, n.° 1, pp. 2282-2314, 2020, doi: 10.1080/19475705.2020.1836036
A. B. Rimba, et al., “Physical flood vulnerability mapping applying geospatial techniques in Okazaki City, Aichi Prefecture, Japan”, Urban Science, vol. 1, pp. 1-22, 2017, doi: 10.3390/urbansci1010007
N. N. Kourgialas and G. P. Karatzas, “Flood management and a GIS modelling method to assess flood-hazard areas-a case study”, Hydrological Sciences Journal, vol. 56, pp. 212-225, 2011, doi: 10.1080/02626667.2011.555836
Y. Kwak, and A. Kondoh, “A study on the extraction of multi-factor influencing floods from RS image and GIS data; a case study in Nackdong basin, S. Korea”, The International Archives of the Photogrammetry, Remote Sensing and Spatial Information Sciences, vol. 37, pp. 421-435, 2008.
X. Wu, et al., “An evaluation of the impacts of land surface modification, storm sewer development, and rainfall variation on waterlogging risk in Shanghai”, Nat Hazards, vol. 63, pp. 305-323, 2012, doi: 10.1007/S11069-012-0153-1
S. M. Abuzied and B. M. Mansour, “Geospatial hazard modeling for the delineation of flash flood-prone zones in Wadi Dahab basin, Egypt”, Journal of Hydroinformatics, vol. 21, n.° 1, pp. 180-206, 2019, doi: 10.2166/hydro.2018.043
Notas