Artículos
Lean Manufacturing: una estrategia para la producción sostenible del agua*
Lean Manufacturing: A Strategy for Sustainable Water Production
Lean Manufacturing: uma estratégia para a produção sustentável da água
Lean Manufacturing: una estrategia para la producción sostenible del agua*
Ciencia e Ingeniería Neogranadina, vol. 34, núm. 1, pp. 123-142, 2024
Universidad Militar Nueva Granada
Recepção: 31 Março 2024
Aprovação: 01 Maio 2024
Publicado: 30 Junho 2024
Resumen: Este estudio propone estrategias de mejora continua y sostenibilidad para la Planta Tratamiento de Agua Potable (PTAP) de la Institución Universitaria Antonio José Camacho (UNIAJC), utilizando herramientas de Lean Manufacturing. El objetivo es Impactar positivamente en variables críticas como el desperdicio, el consumo de agua, el consumo energético, la capacidad de la planta y la calidad del agua tratada. Se realizó una caracterización completa de la planta y se Identificaron los problemas existentes. Mediante un análisis detallado se determinó que el desperdicio de agua y la calidad del producto eran los principales desafíos por abordar. Se aplicaron herramientas como el diagrama de proceso, Jidoka, Value Stream Mapping, diagrama de causa raíz, AMEF, control visual, Andón y mantenimiento autónomo para proponer soluciones y mejorar la eficiencia de la planta, reduciendo los costos operativos y los problemas ambientales asociados, permitiendo a la planta adaptarse a las crecientes demandas futuras. Además, se evaluó el consumo energético y se propusieron medidas para reducirlo. Los resultados de la implementación de estas mejoras muestran un beneficio claro en términos de costos y bienestar para la Universidad y sus estudiantes.
Palabras clave: Sostenibilidad, planta de tratamiento de agua potable, eficiencia, consumo energético, calidad del agua, lean manufacturing.
Abstract: This study presents strategies for continuous improvement and sustainability in the Drinking Water Treatment Plant of Antonio José Camacho University Institution, employing Lean Manufacturing tools. The objective is to positively impact critical variables such as waste, consumption, plant capacity, and treated water quality. A thorough characterization of the plant was conducted, identifying existing challenges with water waste and product quality emerging as primary concerns. Utilizing tools such as process diagram, Jidoka, Value Stream Mapping, Root Cause Diagram, FMEA, visual control Andón, and autonomous maintenance, solutions were proposed to enhance plant efficiency, reduce operating costs, and mitigate associated environmental issues, thereby enabling the plant to accommodate future growing demands. Additionally, energy consumption was evaluated, and measures to reduce it were suggested. The results of implementing these improvements demonstrate clear benefits in terms of costs savings and enhanced well-being for the university and its students.
Keywords: Sustainability, Drinking Water Treatment Plant, Efficiency, Energy Consumption, Water Quality, Lean Manufacturing.
Resumo: Este estudo propõe estratégias de melhoria contínua e sustentabilidade para a Planta de Tratamento de Água Potável (PTAP) da Instituição Universitária Antonio José Camacho (UNIAJC), utilizando ferramentas de Lean Manufacturing. O objetivo é impactar positivamente em variáveis críticas como o desperdício, o consumo de água, o consumo energético, a capacidade da planta e a qualidade da água tratada. Foi realizada uma caracterização completa da planta e identificados os problemas existentes. Por meio de uma análise detalhada, determinou-se que o desperdício de água e a qualidade do produto eram os principais desafios a serem abordados. Foram aplicadas ferramentas como o diagrama de processo, Jidoka, Value Stream Mapping, diagrama de causa raiz, AMEF, controle visual, Andon e manutenção autónoma para propor soluções e melhorar a eficiência da planta, reduzindo os custos operacionais e os problemas ambientais associados, permitindo que a planta se adapte às crescentes demandas futuras. Além disso, avaliou-se o consumo energético e propuseram-se medidas para reduzi-lo. Os resultados da implementação dessas melhorias mostram um benefício claro em termos de custos e bem-estar para a Universidade e seus estudantes.
Palavras-chave: Sustentabilidade, planta de tratamento de água potável, eficiência, consumo energético, qualidade da água, lean manufacturing.
Introducción
La sostenibilidad y la eficiencia son aspectos críticos en la gestión de las plantas de potabilización con toma de agua subterránea. En este estudio se propone la implementación de herramientas de Lean Manufacturing como un enfoque para mejorar la sostenibilidad y promover la mejora continua 1 en dichas plantas. En este sentido, la planta de potabilización de agua de la Universidad Antonio José Camacho (UNIAJC) es el objeto de este estudio de caso, ya que se cuenta con un recurso natural que se debe impactar positivamente en las variables críticas como el desperdicio, el consumo y la calidad del agua potable. La filosofía Lean se enfoca en la mejora continua y la minimización del desperdicio, considerando cualquier actividad que no genere valor 2.
De manera general, los procesos de potabilización de agua son muy susceptibles a ineficiencias por filtraciones, fugas y desperdicios, por la naturaleza de las infraestructuras, componentes y equipos empleados, por lo cual la aplicación de las herramientas de Lean Manufacturing se adaptan de manera adecuada, dada la necesidad de aumentar la eficiencia de los procesos empleados en la planta de tratamiento de agua potable (PTAP) 3, 4.
Se realizó una caracterización exhaustiva de la planta y se calcularon las demandas actual y futura. Se encontró que la capacidad instalada de la planta cubre la demanda durante los próximos cinco años, y también se identificaron oportunidades de mejora para optimizar el proceso.
El acceso al recurso hídrico es un asunto de salud pública, por lo que la calidad del mismo debe ser garantizada por quienes suministran el servicio. Al referirse al proceso de potabilización del agua como recurso operativo fundamental para el adecuado funcionamiento de una comunidad, en la cual factores como la competitividad o cuestiones comerciales deben ser sobrepasados en importancia por la optimización del uso de recursos, calidad del producto y eficiencia en los procesos, con lo cual el uso de las herramientas de Lean Manufacturing, como Value Stream Mapping, diagrama de causa raíz y Jidoka, entre otras, es fundamental 5.
Para abordar estos desafíos se adaptó la metodología Lean Manufacturing a la planta de tratamiento de agua potable, que se considera una metodología de la ingeniería que busca la optimización de procesos en la producción industrial; la ingeniería desempeña un papel fundamental en la implementación y aplicación de los principios Lean en diversos contextos, contribuye al diseño de procesos eficientes, a la mejora continua, a la eliminación de desperdicios y a la maximización del valor para el cliente, aspectos centrales de Lean Manufacturing; las herramientas utilizadas de Lean Manufacturing fueron el diagrama de proceso, Value Stream Mapping 6, diagrama de causa raíz, mantenimiento autónomo, Jidoka, AMEF y control visual Andón 1, Además, se propuso implementar una bomba dosificadora y una serie de instrumentos para mejorar la calidad del agua y reducir la cantidad de agua no conforme; se sugirió la instalación de variadores de velocidad en las bombas de distribución para reducir el consumo energético.
Para evaluar los riesgos e impactos de posibles fallas en el sistema y cómo la implementación de herramientas Lean puede mitigar estos riesgos, se trabajó la metodología AMEF 7, que permitió evaluar todos los riesgos más importantes.
El objetivo es mejorar la eficiencia de la planta de tratamiento de agua potable de una manera sostenible, reducir los impactos ambientales encontrados, además de asegurar un suministro eficiente y económico para el personal y los estudiantes de la Universidad.
Se realizó una breve comparación (tabla 1) de los beneficios de diferentes herramientas de mejoramiento continuo, para analizar cuál es la más adecuada en una planta de tratamiento de agua potable; para evaluarlas se tuvieron en cuenta las siguientes variables:
Reducción de desperdicio de agua
Reducción de desperdicio de energía eléctrica
Garantizar la calidad de agua para la comunidad universitaria
Identificación de actividades que no generan valor en los procesos.
Se selecciona el Lean Manufacturing debido a que se consideró que da respuesta a las variables a mejorar que se tienen en el proceso de potabilización de agua.
Metodología
En esta investigación se empleó la metodología del estudio de caso, para examinar en profundidad los procesos de la planta de potabilización de agua subterránea de la Universidad Antonio José Camacho. Por medio de este enfoque se buscó obtener una comprensión detallada de los métodos y prácticas actuales utilizados en la planta, identificar posibles áreas de mejora y evaluar cómo la implementación de herramientas de Lean Manufacturing podría conducir a un enfoque más sostenible y de mejora continua.
El estudio se llevó a cabo con la recopilación de datos, mediante observaciones directas, entrevistas con el personal de la planta y el análisis de documentos pertinentes. Al utilizar esta metodología se espera obtener una visión holística de la planta de tratamiento de agua potable PTAP y proporcionar recomendaciones prácticas para optimizar sus procesos y promover la eficiencia operativa.
El análisis de los procesos y hallazgos en la planta PTAP fue la forma de evaluar de manera integral cómo la implementación del modelo Lean Manufacturing contribuye a la sostenibilidad en los procesos, abarcando aspectos como la eficiencia energética, la reducción de residuos, el uso eficiente de los recursos, la mejora de la calidad y la participación del personal. En la tabla 2 se muestran las herramientas usadas según el logro y alcance de sostenibilidad.


Diagrama de causa raíz
Se realizó un seguimiento riguroso del proceso para calcular la demanda y la capacidad de la planta, identificar fallos y cuantificar pérdidas y consumos.
Con este diagrama fue posible organizar y entender el enfoque de las causas que se tendrían que evaluar.
Procesos de la planta de tratamiento de agua potable
El análisis de flujo de valor (Value Stream Mapping) (VSM por sus siglas en inglés) se utilizó como herramienta principal en este estudio de caso. Se aplicó un procedimiento sistemático que involucró la creación de un diagrama de flujo por niveles, que permitió desglosar el proceso en subprocesos más pequeños y, de esta manera, identificar las actividades correspondientes a cada subproceso 9. La evaluación de las actividades se basó en los principios clave del Lean Manufacturing, con los que se buscaba identificar y eliminar los desperdicios, maximizando el valor agregado al producto o servicio final. Se consideraron las actividades que generaban valor, es decir, las que directamente contribuían a las necesidades y expectativas del cliente. Además, se identificaron las actividades que no generaban valor, es decir, las que no agregaban ningún beneficio o utilidad y, por lo tanto, se consideraban como desperdicio. Por último, se identificaron las actividades necesarias pero que no generaban valor, es decir, las que eran esenciales para el funcionamiento del proceso, pero no aportaban valor directo al cliente.
Una vez identificadas estas actividades se procedió a su visualización en el VSM, lo que permitió obtener una representación gráfica del flujo de valor y comprender mejor la interacción entre los subprocesos. Esto facilitó la identificación de áreas de mejora y la implementación de acciones específicas para reducir o eliminar las actividades que no generaban valor y optimizar el flujo de trabajo en general.
De manera complementaria al análisis de flujo de valor, se llevó a cabo un estudio detallado del funcionamiento hidráulico de la planta de potabilización de agua subterránea. Este enfoque se basó en la recopilación de información precisa relacionada con la infraestructura, incluyendo la tubería, sus diámetros, la cantidad y los tipos de válvulas, así como los caudales involucrados en el proceso. Además, se identificaron las motobombas utilizadas en la planta, considerando sus características técnicas.
Identificación de fallas por el método AMEF
El análisis de modo y efecto de fallas (AMEF), una herramienta esencial del método Lean, establece prioridades en cuanto a las fallas potenciales que puedan surgir a lo largo de un proceso. Para hacer uso efectivo de esta herramienta es necesario aplicarla en cada etapa del proceso y evaluar la potencialidad de fallas. La medida de esta potencialidad se basa en tres criterios clave: las ocurrencias, la severidad y la detección.
Las ocurrencias se refieren a la frecuencia con la que una falla se presenta. Mientras que la severidad es determinada según la clasificación de la tabla ASQ (American Society for Quality), que proporciona una medida estándar para la gravedad de la falla. Finalmente, la detección se evalúa por lo general utilizando una escala numérica o una matriz de puntuación en la que se asigna un valor que indica el nivel de confianza o la probabilidad de que el control o sistema pueda detectar la falla. Un puntaje más alto indica una mayor capacidad de detección.
La evaluación del riesgo de falla se obtiene a partir de la multiplicación de estos tres factores, dando como resultado una medida conocida como Número de Prioridad de Riesgo (NPR). Este indicador nos ayuda a entender cuál es el mayor riesgo de falla en el proceso.
En el análisis del proceso se determinó cuáles podrían ser las fallas potenciales que se presenten en cada uno de los subprocesos (extracción de agua, filtración, adición de cloro, almacenamiento, extracción, bombeo al sistema), y se obtuvieron mediante la aplicación del AMEF, en el que se evidencio que el NPR más alto estaba en el subproceso de adición de cloro.
Automatización de procesos mediante la herramienta Jidoka
El Jidoka ofrece numerosos beneficios a las empresas, tales como mejorar la calidad de sus productos, ahorrar dinero y tratar a sus trabajadores con respeto. Una de las formas en que logra esto es mediante la detección y corrección de problemas. En lugar de depender solo de la labor del operario, el Jidoka automatiza la detección de problemas, lo que reduce al mínimo el error humano y, por consiguiente, mejora la calidad del producto final.
En nuestro estudio se recomienda implementar la automatización en la aplicación de cloro mediante una bomba dosificadora y el uso de un medidor de pH de alta tecnología, medidor de hierro, medidor de cloro libre residual, medidor de turbiedad, medidor de color de agua e incubadora para cultivos microbiológicos. Todos estos equipos permitirían mejorar la labor del operario y garantizar la calidad del agua.
Al asignar la tarea de monitorear las variables del proceso, los trabajadores pueden dedicar su tiempo y energía a labores más creativas y menos monótonas, como el análisis de dichas variables. Esto no solo permite una mayor eficiencia en la producción, sino que también contribuye al desarrollo y crecimiento personal de los trabajadores.
El Jidoka garantiza un aumento en la calidad del producto, así como ahorros en costos. Además, se promueve un entorno de trabajo en el que los colaboradores pueden enfocarse en tareas que requieren habilidades humanas y que les brindan satisfacción personal.
Resultados
Medición de la eficiencia global de la planta mediante el Overall Equipment Efficiency (OEE)
Para evaluar el estado actual de la planta se utilizó el OEE, que como indicador permite reconocer en qué puntos se encuentran las falencias 10; se construye de la siguiente manera:
Para disponibilidad:

Para rendimiento:

Para calidad:

Indicador:
Disponibilidad: D
Rendimiento: R
Calidad: C

También se calculó el tiempo takt time, que permite entender cuál es la necesidad de la demanda en términos de tiempo sobre la unidad de medida, en este caso es de segundos sobre litros; al realizar los cálculos, la universidad debe entregar cada 1,2 segundos un litro de agua.
Capacidad instalada de la PTAP vs. la demanda proyectada
Por medio del modelo matemático y la correlación significativa proporcionan una base sólida y fundamentada para la toma de decisiones informadas y estratégicas en la planificación de la capacidad y la gestión de la demanda de agua en la planta de potabilización de agua subterránea.
Se llevó a cabo un análisis de variables para entender cómo la demanda fluctúa con el paso del tiempo, y posteriormente contrastarlo con la capacidad productiva de la planta. En este análisis identificamos dos variables clave: la independiente, que se refiere a la población estudiantil, y la dependiente, que se asocia con la demanda de agua.
Como parte del proceso, se consultaron diversas fuentes bibliográficas. Entre ellas se destacó el estudio “Estimación de la demanda de agua en centros educativos: caso de estudio facultad de ciencias ambientales de la Universidad Tecnológica de Pereira, Colombia” 10, que proporciona un modelo matemático de predicción que se alinea de manera idónea con nuestro análisis, puesto que se centra en determinar el consumo de agua en los centros educativos mediante el análisis de las siguientes variables: E, número de estudiantes; D, número de docentes; L, área de limpieza; R, área de riegos; M, número de muestras; A, pérdida de agua, y Dce, demanda de agua.
Análisis y hallazgos
En el estudio realizado se llevó a cabo una caracterización de la planta y se identificaron los problemas existentes. Entre ellos se encontraron pérdidas de agua potabilizada debido a goteos en llaves, fugas en inodoros y tuberías en mal estado. Estas fugas dificultaban la inspección y generaban un desperdicio considerable. Además, se evaluó la demanda de agua de la Institución, proyectando un crecimiento exponencial de la población estudiantil. También se identificó que la calidad del agua presentaba problemas, ya que solo el 45,45 % de las muestras cumplían con los estándares establecidos.

También se analizó el consumo energético de la planta, considerando el tiempo de funcionamiento de los equipos. Se determinó que el consumo diario era de 83,49245 kWh. Estos hallazgos evidenciaron la necesidad de implementar mejoras en la planta para lograr una mayor eficiencia y reducir los costos operativos.
Se identificaron varias oportunidades de mejora, tanto a corto como a largo plazo, incluyendo la implementación de un plan de mantenimiento preventivo y la mejora en la dosificación del cloro.
Discusión
Se discuten las implicaciones de los hallazgos y se proponen varias estrategias de mejora, con el objetivo de aumentar la sostenibilidad y eficiencia de la planta de tratamiento de agua potable. Entre estas estrategias se incluyen la implementación de un programa de mantenimiento preventivo, las mejoras en la infraestructura para reducir las pérdidas de agua, la optimización de los procesos de filtración y cloración, y la planificación a largo plazo para abordar la creciente demanda futura. Se destacan también las posibles limitaciones y desafíos para implementar estas mejoras.
El análisis de la planta reveló varios desafíos en términos de sostenibilidad. El más significativo es la pérdida de agua por las fugas en la red de distribución. Esta pérdida no solo contribuye a la ineficiencia operativa de la planta, sino que también tiene un impacto ambiental negativo. Reducirlas puede tener un impacto significativo en la sostenibilidad de la planta, desde los puntos de vista social, operacional y ambiental.
Además, se identificó que es alto el consumo energético de la planta, lo que representa un coste significativo para su operación. La mejora de la eficiencia energética puede tener un impacto positivo en la rentabilidad de la planta y en la reducción de las emisiones de CO2.
Finalmente, se encontró que el sistema actual de monitoreo de la calidad del agua no es suficiente para garantizar que toda el agua suministrada cumpla con los estándares de calidad. Implementar un sistema de monitoreo más riguroso puede asegurar que todos los usuarios reciban agua de alta calidad, lo que es crucial para la salud y el bienestar de los usuarios.
Propuesta de mejora y beneficios
Para abordar los problemas identificados se propuso la aplicación de herramientas de Lean Manufacturing. Se utilizaron diagramas de proceso, diagramas de causa raíz, Value Stream Mapping, mantenimiento autónomo, Jidoka, AMEF, control visual y Andón para evaluar y establecer un método de medición del OEE. Además, se planteó una solución enfocada en mejorar las variables críticas y aumentar la eficiencia de la planta.
La propuesta de mejora se basa en la aplicación de diferentes herramientas de Lean Manufacturing. Para abordar el desperdicio de agua se propone implementar el mantenimiento autónomo, que busca prevenir averías y reducir el tiempo empleado en la limpieza y ajuste de los equipos. Además, se sugiere utilizar el método de automatización con toque humano, que permite identificar y solucionar problemas de forma automática, como las fugas en la red de distribución.
En cuanto a la calidad del agua, se propone cambiar el método de cloración, utilizando un pHmetro en tiempo real, y usar instrumentos de medición especializados y modernos, lo cual permitirá un control más preciso de los niveles químicos. También se plantea la implementación de una bomba dosificadora para garantizar unas medidas adecuadas de los productos químicos aplicados en el tratamiento del agua.
Para mejorar la eficiencia energética se sugiere utilizar variadores de velocidad en las bombas de distribución, lo cual permitirá un control más preciso del caudal y reducirá el consumo energético de la planta. Estas mejoras contribuirán a disminuir los costos operativos y a minimizar el impacto ambiental de la planta de potabilización
Impactos ambientales
Los resultados obtenidos con la implementación de las mejoras propuestas muestran un claro beneficio para la Universidad. Se logró reducir el desperdicio de agua en un 85 %, mediante la implementación de rutas de inspección hidráulica (anexo 03) y el diseño hidráulico que se dibujó en planos, por el que se instalaron manómetros en los diferentes circuitos hidráulicos (anexo 02), lo que representa una reducción significativa en costos e impactos ambientalmente. Además, se mejoró la calidad del agua con la compra de nuevos equipos, la capacitación del personal y el diseño del control de variables mediante Key Performance Indicator (KPIS).
En cuanto al consumo energético, mediante un estudio del consumo energético de las bombas se logró calcular que aproximadamente se tendría un ahorro del 20 % con la implementación de los variadores de velocidad en las bombas de distribución. Esto no solo reduce los costos operativos, sino que también contribuye a la sostenibilidad ambiental, al disminuir la huella de carbono de la planta.
Modelo de capacidad de la planta de potabilización de agua
En la figura 2 se observa una comparación entre la capacidad actual instalada y la demanda proyectada. Se prevé que esta última alcanzará su punto máximo cuando el número de estudiantes llegue a 5265, aproximadamente durante el primer semestre de 2026. Esto indica que esta capacidad es suficiente para cubrir la demanda prevista durante los próximos años.

El coeficiente de correlación (R2) del modelo es de 0,92, lo que significa que existe una correlación significativa entre las dos variables y que el crecimiento de la población estudiantil afecta directamente el consumo total de agua. Este alto grado de correlación garantiza la fiabilidad de los datos obtenidos.
Cabe aclarar que el año 2020 fue el año de la pandemia y los estudiantes no se retiraron de la universidad, sino que recibieron clases por medios virtuales, y para no distorsionar el modelo se proyectó su consumo si estuvieran presencialmente en la universidad.
Procesos de la planta de tratamiento de agua potable
En el anexo 01 se presenta un diagrama que ofrece una representación visual de las diversas etapas de un proceso. Detalla la capacidad y los flujos de una etapa a otra, proporcionando una visión general del procedimiento llevado a cabo en la PTAP, desde la extracción hasta la distribución del agua en las instalaciones de la UNIAJC.
Medición de las pérdidas de agua
Se compararon las pérdidas de agua durante una semana en el tanque de almacenamiento (figura 3), mediante una medición inicial realizada a las 6:00 p. m. con el sistema de bombas apagado y otra medición a las 7:00 a. m. del día siguiente.

Desperdicio bruto (D.b):

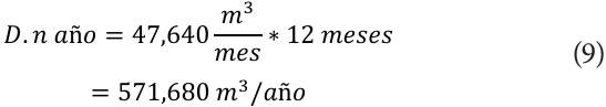
En las 13 horas que se realizó la medición hubo un personal de vigilancia que consumió alrededor de 100 L de agua, y se calculó el desperdicio neto (D.n): 6


Se determinó con esta medición una pérdida de 1,588 m3 diarios; si se proyecta esta cantidad diaria al mes tendríamos lo siguiente:

Al proyectar la cantidad de pérdidas a 12 meses, tenemos lo siguiente:

Al comparar la producción diaria de la planta de tratamiento de agua se puede establecer lo siguiente:
Capacidad máxima diaria de producción: 80,6 m3 de agua potable
Producción actual diaria: 43 819 L 43,8 m3
Pérdida diaria de agua: 1,6 m3
Relación de pérdida (R.P):

Se debe resaltar que estas pérdidas se midieron en el ejercicio realizado durante las horas de la noche, y que en estos cálculos no se tuvieron en cuenta los malos hábitos de la población estudiantil, como dejar las llaves abiertas mientras se lavan las manos o dejar abiertos los orinales todo el día, y los sanitarios descompuestos, por lo que en la investigación se recomendó la implementación de un sistema de mantenimiento preventivo que evite estas actividades y no la reacción ante estas.
En vista de los resultados obtenidos se diseña un programa de mantenimiento que solucione estas pérdidas y garantice la confiabilidad de los equipos y la infraestructura de la planta de tratamiento de agua potable (PTAP); una de las labores realizadas consistió en dibujar los planos de todo el sistema hidráulico de la Universidad, el cual no existía (anexo 02). Luego de identificar las redes hidráulicas se dividieron por sector y se propuso instalar manómetros que determinaran las pérdidas de agua, al registrar las presiones bajas y compararlas con las de operación.
Como resultado del diseño del modelo de mejoramiento en infraestructura y equipos se entregó a la UNIAJC el diseño del programa de mantenimiento de la PTAP, que consta de lo siguiente:
Codificación de equipos
Fichas técnicas
Diagramas por proceso
Hoja de vida de las máquinas
Procedimiento interno
Programa de mantenimiento.
Análisis del VSM en la planta de potabilización de la UNIAJC
En este VSM se diagramó toda la cadena de valor del proceso, para determinar qué actividades agregan valor y cuáles no lo hacen; como está graficado en la línea de tiempo del VSM, se identifican estas actividades y tiempos.
Al final se puede evidenciar cómo mejoró el proceso mediante el OEE que empezó con el 50,4 % (figura 4) y terminó con el 83 % (figura 5); este buen resultado invitó a que siga el proceso de mejoramiento continuo.


Medición de la eficiencia global de producción
Al identificar el estado actual de la planta y calcular el takt time del proceso encontramos los siguientes resultados:
El takt time es el ciclo de producción que se calcula con el objeto de sincronizar el ritmo de producción con la demanda 11; los 54 000 s corresponden a las 15 horas de trabajo, que es el tiempo disponible sobre la demanda de agua:

Esto quiere decir que para satisfacer la demanda de la planta se debe bombear o suministrar, cada 1,2 segundos, un litro de agua, o lo que es igual, 0,811 L / s, lo que en este caso es viable, ya que la capacidad de bombeo de la planta es mucho mayor, por la capacidad de las tres bombas de distribución de la red, que funcionando en paralelo pueden llegar a un caudal de 2,8 L / s.
El tiempo de operación es el mismo tiempo de servicio, ya que la planta siempre está disponible para la producción, y los tiempos de paro son mínimos; se estimó, con base en el tiempo de toma de muestras para verificar la calidad del agua, que equivale a 45 minutos, un 5 % del tiempo de operación de la planta correspondiente a 15 horas de operación diaria, de ese total, teniendo como tiempo en paro de 2700 s y aplicando la siguiente fórmula:

Para hallar la disponibilidad:

Con el objetivo de asegurar la eficiencia, se consideró un tiempo de ciclo de 1,2 segundos, el cual representa el tiempo necesario para suministrar un litro y satisfacer la demanda. Como se indicó antes, la producción diaria es de 43 819 litros. Este valor se divide entre el tiempo total en que la planta opera, que para el rendimiento es el siguiente:

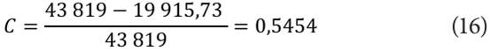
Ahora se calcula la calidad, para el que se empleó un total de 43 819 litros, al que se le descuenta la cantidad de agua que se encuentra fuera de las especificaciones, que corresponde a la medición de 110 muestras, de las que 50 se encontraban por fuera de los parámetros, lo que representa que un 45 % del agua tratada presenta problemas (tabla 4).

Agua por fuera de especificaciones (AFE)

Para calidad:

En total se tiene que el OEE corresponde a lo siguiente:

En el VSM futuro (figura 5) se pueden identificar los Kaizen (sistema de mejora continua en los procesos, productos o servicios de una organización) que se realizaron:
Se realizó y se entregó a la Universidad todo el programa de mantenimiento de la PTAP, para que sea gestionado desde su departamento de mantenimiento.
Se compró e instaló la bomba dosificadora de cloro, que funciona bien, lo que mejoró la calidad del agua.
Se diseñaron y dibujaron los planos de toda la red hidráulica de la Universidad, con la propuesta de instalar manómetros en determinadas partes de la red que permitan monitorear la pérdida de agua por daños en tuberías.
Se compraron equipos de medición de parámetros de calidad, a los cuales se les diseñó todo un plan de medición; se realizaron los manuales para la medición de cada parámetro, por ejemplo, cómo se realiza la prueba de turbiedad, de cloro residual, etc.; también se capacitó al personal calidad 12. Con estos nuevos equipos la calidad para que entendiera cómo se aplica cada prueba de del agua subió al 90 %.
Por lo que el indicador del OEE quedó de la siguiente manera:
Disponibilidad (D): 0,95
Rendimiento (R): 0,974
Calidad: (C): 0,90
OEE: D*R*C = 0,83
Se diseñó en Excel un aplicativo para el control y seguimiento del proceso de potabilización, estableciendo KPIS que permitan evaluar el proceso.
El indicador nos muestra que la planta necesita una intervención en la calidad, ya que aquí radica la mayoría del problema de eficiencia de la planta, que se corroboró con el diagrama AMEF de la siguiente manera:
En el diagrama AMEF se identificó claramente que la adición de cloro es uno de los problemas más impactantes, con un NPR de 512 frente a los demás; por esta razón es el que se necesita priorizar para causar un mayor impacto; una de las propuestas pertinentes para impactar en la calidad es la de cambiar el método de cloración del agua mediante una bomba dosificadora.
Análisis de los tiempos de valor
El tiempo de valor agregado (TVA) se refiere al período necesario para añadir valor al producto final. En este contexto, este tiempo comienza con la extracción de agua del pozo mediante la bomba, pasa por el proceso de filtrado y termina con el almacenamiento. Durante un día típico de operaciones, este proceso toma 8105 segundos, equivalente a 2,25 horas. Después se añade valor mediante las bombas que distribuyen el agua a la red, ya que sin este paso sería imposible suministrar el producto al consumidor final y garantizar así una disponibilidad continua de agua. Durante el día, las bombas que realizan esta distribución operan durante 30 270 segundos, lo que equivale a 8,40 horas. Basándose en estos datos, se ha determinado el TVA siguiente:


En esta situación, el tiempo de no valor (TNV) no es considerado un tiempo desperdiciado, ya que simplemente corresponde al período en el que la máquina no está en funcionamiento y no ocasiona un costo adicional. Esto se debe a que la planta produce de acuerdo con la demanda, lo que significa que no hay paradas ni pérdidas de tiempo en el proceso. Por lo tanto, el tiempo que podría haberse utilizado para que la planta produzca no se aprovecha, debido a que la capacidad supera la demanda. El TNV se calcula como el tiempo restante disponible, menos el tiempo de valor añadido.:

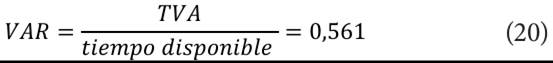
Con ello podemos deducir el Value Added Ratio (VAR), que es en general la relación entre los tiempos que generan y el de no valor.

Este valor nos indica que se está beneficiando del 56 % del tiempo disponible para generar valor referente al producto.
Análisis del consumo energético
Producción por hora de agua (PHA)

Al calcular el tiempo perdido (t.p) tenemos:

Al comprar tenemos:
2921 L / h * 0,54 ≈ 1578 L perdidos de agua por día.
Pérdidas de tiempo de producción de la planta durante un año.
Tiempo perdido por año (T.P.A)

Al convertir horas a días, teniendo en cuenta que un día en este caso corresponde a 15 h que funciona la planta, tenemos lo siguiente: 197 h / 15h = 13,13 días.
Consumo total (C.T) es el consumo energético mensual de la planta:

Con un promedio de 24 días de trabajo mensual de la planta, multiplicado por 12 meses tenemos 288 días de trabajo:

Si llevamos 24 048 kwh a la calculadora 13 de carbono tendrimos una produccion de 6,012 toneladas de CO2, equivalentes al año que produce la planta de tratamiento de agua.
Al multiplicar el consumo energético del sistema de bombeo en un año por la tarifa promedio de kwh tenemos el costo de energía al año (CEA).

Al analizar los kwh que entrega el sistema de bombeo y que se pierden en fugas tenemos
Energía perdida (EnP)

Con la eliminación de las fugas tendríamos un ahorro de energético de 109,75 kwh; cabe aclarar que también al menor OOE 14) hay una mayor eficiencia energética en los procesos 15, y todo esto contribuye a disminuir las emisiones de co2, lo que significa que entre más eficientes sean nuestros procesos, más amigables seremos con el medio ambiente, porque ahorramos agua y energía eléctrica.
Como propuesta, según la empresa abb, se aconseja instalar variadores de velocidad en los sistemas de bombeo. Los variadores de frecuencia abb ayudan a reducir el consumo de energía con un uso más eficiente. Los variadores de frecuencia ajustan la velocidad de los motores eléctricos para igualarla a la demanda de la aplicación, lo que reduce el consumo energético de los motores entre un 20 y un 70 % 16.
Al tomar el mínimo ahorro que prometen los variadores abb, que es del 20 %, y sabiendo que el consumo diario es de 83,5 kwh / día, el ahorro que tendríamos es de 16,7 kwh / día.
Ahorro al año (An):

Al calcular 13 cuánto equivalen 4809,6 kwh / año, tenemos que corresponden a 1,202 toneladas de co2 equivalente que se dejan de emitir al planeta, lo que contribuye a la reducción de los gases de efecto invernadero.
Conclusiones
La aplicación de Lean Manufacturing en la planta de potabilización de agua de la Institución Universitaria Antonio José Camacho ha demostrado ser una estrategia efectiva, porque mejora las variables críticas como la reducción de las muestras microbiológicas por fuera de parámetros, al pasar de un 54 % a un 90 %; para mejorar la sostenibilidad se obtiene un ahorro de 4809,6 kwh / año, lo que significa dejar de emitir 1,202 toneladas de CO2 equivalente; y el OEE calculado, que sin realizar las mejoras era del 50 %, pero al realizarlas pasó al 83 % de eficiencia del proceso. Mediante la identificación y solución de problemas se logró reducir el desperdicio, mejorar la calidad del agua y optimizar el consumo energético.
Esta propuesta de mejora se convierte en un referente para futuras implementaciones en plantas de tratamiento de agua y destaca la importancia de la sostenibilidad en este tipo de procesos. El enfoque en la eficiencia y la minimización del impacto ambiental son fundamentales para garantizar un suministro de agua potable adecuado y sostenible a largo plazo.
Mediante la caracterización y estandarización del proceso con las herramientas Lean se lograron identificar las muras (variabilidad, irregularidad o inconsistencia) 17 del proceso, como desperdicios de agua y energía eléctrica, controles de calidad ineficiente, oportunidades de mejora de mantenimiento, ausencia de indicadores del control del proceso y ausencia y obsolescencia de equipos de medición de la calidad del agua, que en este trabajo de investigación son tratados y solucionados.
Se diseñó un plan de medición de variables de calidad del agua.
La universidad compró equipos con tecnología para medir las variables de la calidad del agua.
Se capacitó al personal de la PTAP de la Universidad en el manejo de los equipos de medición.
Se diseñó una aplicación en Excel para controlar las mediciones y evaluar el proceso mediante KPIS diseñados para este propósito.
Estas mejoras también pueden tener un impacto significativo en la salud y el bienestar de los usuarios, al garantizar que reciben agua de alta calidad de manera constante.
Este estudio demuestra el valor de aplicar la metodología Lean en el contexto de la gestión del agua, para mejorar la sostenibilidad y la eficiencia.
Referencias
B. A. Tómala, “Aplicación lean manucfacturing para la optimización del sistema de producción de la planta purificadora y embotelladora de agua Aquafit s.a”, La Libertad, Ecuador, 2023.
L. Socconini, Lean Manufacturing paso a paso 2, vol. 2, Bogotá: Marge Book, 2024.
G. Barros, “Análisis de la herramienta lean manufacturing para la mejora continua de los procesos en la empresa Postobon s.a. planta de Agua Cristal”, Pamplona, 2021.
J. A. Figueroa, “Modelo de producción basado en la metodología lean manufacturing para el área de agua embotellada”, Ibarra, Ecuador, 2021.
L. G. Velásquez, “Plan de mejoramiento continuo para el proceso de tratamiento de agua potable de la PTAP Bellavista ubicada en el municipio de Arbeláez, Cundinamarca”, Bogotá, 2021.
M. Rother and J. Shook, Observar para crear valor, USA: Lean Enterprise Institute, 1999.
R. E. McDemott, R. J. Mikulak and M. R. Beauregard, The Basics o/FMEA, Boca Raton, FL: CRC Press, 2008, p. 25.
H. Jonathan, A. Minerva y M. D’Armas, “Análisis de los diferentes métodos de mejora continua”, UNEXPO, pp. 193-204, 2012.
J. Dumser, Value Stream Mapping, Primento, Ed., 50minutes.com, 2016, pp. 4-10.
G. Cervantes, M. Morales, L. Alava, P. Hernández y I. Reina, “Reducción de desperdicios a través de la implementación de herramientas de manufactura esbelta (Mejora continua)”, 553 Digital Publisher CEIT, vol. 7, n° extra 3, 2, pp. 247-264, 2022. https://doi.org/10.33386/593dp.2022.3-2.1138
D. Manco, J. Guerrero y T. Morales, “Estimación de la demanda de agua en centros educativos: caso de estudio”, Luna Azul, no. 44, pp. 153-164, 2017.
M. Rother y J. Shook, Observar para crear valor, vol. 1.2, Massachusetts, USA: The Lean Enterprise Institute Inc., 1999, p. 44.
S. Segestop, “Youtube capacitación equipos medición UNIAJE”. [En línea]. Disponible en https://youtu.be/yqsT6dqlzW4
Ceroco2, “Cálculo GEI Ceroco2,” 2005. [En línea]. Disponible en https://www.ceroco2.org/calculadoras/
F. Martínez y L. Gassinski, “La eficiencia energética y el papel del mantenimiento en la misma”, Ingeniería Energética, vol. 43, n° 2, p. 11, 2022.
J. P. Martin y L. Socconini, Lean Energy 4.0, Barcelona: Marge books Alfaomega, 2019, p. 115.
ABB Corporation, “Asea Brown Boveri Ltd”. [En línea]. Disponible en https://new.abb.com/drives/es/eficiencia-energetica#:~:text=Los%20variadores%20de%20frecuencia%20ABB,un%2020%20y%20un%2070%25
S. Luis, Lean Six Sigma Green belt, certification manual, Barcelona: Marge Books, 2022.
Anexo 01. Diagrama de proceso por niveles de la planta de tratamiento de agua potable de la UNIAJC

Anexo 02. Plano de la distribución hidráulica del monitoreo de presión con manómetros de la UNIAJC

Anexo 03. Ruta de inspección de la red de distribución hidráulica de la UNIAJC

Notas