Artículos
Perfiles de segregación escolar por nivel socioeconómico en España y sus Comunidades Autónomas
Profiles of school segregation by socioeconomic status in Spain and its Autonomous Communities
Perfiles de segregación escolar por nivel socioeconómico en España y sus Comunidades Autónomas
RELIEVE. Revista Electrónica de Investigación y Evaluación Educativa, vol. 25, núm. 1, pp. 1-20, 2019
Universidad de Granada

Recepción: 28 Julio 2018
Aprobación: 03 Febrero 2019
Publicación: 05 Febrero 2019
Financiamiento
Fuente: Ministerio de Economía y Competitividad-Gobierno de España
Nº de contrato: EDU2014-56118-P
Beneficiario: Proyecto I+D+i de Excelencia “Escuelas en contextos socio-económicamente desafiantes: Una aproximación desde la Educación para la Justicia Social de Investigación”
Resumen: Las investigaciones que estiman la magnitud de la segregación escolar por nivel socioeconómico realizadas hasta el momento ofrecen una imagen excesivamente simplista que no es capaz de reflejar la realidad altamente compleja del fenómeno. Este trabajo presenta un enfoque alternativo de análisis e interpretación de la segregación escolar. Concretamente, busca determinar el perfil de segregación escolar por nivel socioeconómico de España y sus Comunidades Autónomas, y establecer modelos de segregación de las Comunidades. Para ello, se realiza una explotación especial de los datos de PISA 2015. Como variable criterio se utiliza el nivel socioeconómico y cultural de las familias (NSEC). El análisis de los datos se realiza en dos fases: de un lado, se estima el índice de Gorard utilizando 19 grupos minoritarios, de otro, se identifican modelos de segregación y sus características utilizando el análisis por conglomerados y de k-medias. Los resultados encontrados muestran la existencia de 17 perfiles diferentes de segregación escolar por nivel socioeconómico, uno para cada una de las Comunidades Autónomas estudiadas, e identifican cinco modelos de comportamiento de la segregación escolar por nivel socioeconómico en España. Esta investigación demuestra lo poco que se sabe sobre la segregación escolar en España y presenta una alternativa más precisa para estimar la magnitud de la segregación escolar por nivel socioeconómico considerándola, no como un punto, sino como un perfil.
Palabras clave: Segregación, Escuela, Nivel socio-económico, Modelo, España.
Abstract: The research that estimate the magnitude of school segregation by socioeconomic status that has been done until now shown an overly simplistic image of the phenomenon that is not capable of reflecting his highly complex reality. This paper presents an alternative approach of analysis and interpretation of school segregation. Specifically, the aim of this research is to determine the profile of school segregation by socioeconomic status of Spain and its Autonomous Communities, and to establish models of segregation of the Communities. A special exploitation of the PISA 2015 data is conducted. We use the socioeconomic and cultural status of the families (NSEC) as a main variable. The analysis of the data is carried out in two phases: on the one hand, it is estimated the Gorard index using 19 minority groups; on the other hand, it is identified the segregation models and their characteristics using the analysis by clusters and k-means. The results show the existence of 17 different profiles of school segregation by socioeconomic status, one for each of the Autonomous Communities studied, and identify five behavior models of school segregation in Spain. This research shows how little is the knowledge about school segregation in Spain, and presents a more accurate alternative to estimate the magnitude of school segregation by socioeconomic status considering it, not as a point, but as a profile.
Keywords: Segregation, School, Socio-economic status, Model, Spain.
Solo será posible tomar decisiones en política educativa pública que contribuyan a construir un mejor sistema educativo si se tienen informaciones actuales, fiables y precisas sobre su funcionamiento y desafíos. Y si hablamos de decisiones que afectan a las desigualdades en educación, que directamente inciden en la conformación de una sociedad más justa e inclusiva, la necesidad de datos y su mejor análisis será doble.
La segregación escolar, fenómeno por el cual los estudiantes se distribuyen desigualmente en unas escuelas u otras en función de sus características personales o sociales, o de su condición, es uno de los elementos educativos que con mayor fuerza ataca a la igualdad de oportunidades educativas, y con ello a la consecución de una sociedad sin exclusiones. Sin embargo, aún se posee información insuficiente sobre la segregación escolar en general, y más en particular en España.
Efectivamente, las investigaciones que estiman la magnitud de la segregación escolar por nivel socioeconómico en España ofrecen una visión incompleta y demasiado simplista del fenómeno. Todos ellos resumen la información de la magnitud de la segregación en una o dos cifras, siendo la realidad mucho más compleja.
La investigación española que busca estimar la magnitud de la segregación escolar con datos estadísticamente representativos tiene poco más de diez años de existencia, siendo los trabajos de Ferrer, Ferrer y Castel (2006), de Benito y González (2007) y de Sánchez Hugalde (2007) pioneros en esta temática. Seguramente la razón haya que encontrarla en la necesidad de muestras estadísticamente representativas, aunque también del poco interés en estudiar este tema (Murillo, 2016). Efectivamente, es la disponibilidad de grandes bases de datos como la de la Generalitat de Cataluña (Benito & González, 2007; Sánchez Hugalde, 2007) o, especialmente, de las diferentes ediciones del programa de evaluación internacional PISA, lo que ha contribuido al desarrollo de estos trabajos.
De esta manera, una amplia mayoría de las investigaciones que estiman la magnitud de la segregación escolar en España lo hacen para la Educación Secundaria. También hay trabajos españoles que estiman la segregación escolar en Educación Primaria, aunque en este caso no por segregación socioeconómica, sino por origen nacional de sus estudiantes (p. ej., Sánchez Hugalde, 2007; Síndic, 2008).
El uso de la base de datos de PISA hace que la mayoría de las investigaciones estimen la segregación para el conjunto del territorio estatal (Bonal, 2018; Ferrer, Ferrer & Castel, 2006, 2008; Ferrer et al., 2011; Mancebón-Torrubia & Pérez-Ximénez, 2009, 2010; Martínez y Ferrer, 2018; Murillo & Martínez-Garrido, 2018a, 2018b; Sicilia & Simancas, 2018). En algunos casos, cuando los datos lo permiten, se analizan también algunas o todas las Comunidades Autónomas (Bonal, 2018; Ferrer et al., 2011; Mancebón-Torrubia & Pérez-Ximénez, 2014; Martínez & Ferrer, 2018; Murillo & Martínez-Garrido, 2018a). Benito y González (2007), sin embargo, hacen una explotación especial de la base de datos de la Generalitat de Cataluña con lo que estiman la segregación en diferentes municipios. Mancebón-Torrubia y Pérez-Ximénez (2014), por su parte recogen datos ad hoc de la Comunidad de Aragón, por lo que los resultados se circunscriben a esa Comunidad.
En la tabla 1 se recogen la decena de estudios más importantes que estiman la magnitud de la segregación escolar por nivel socioeconómico en España. Entre sus características diferenciadoras se encuentran:
La mayoría de las investigaciones españolas que estiman la magnitud de la segregación escolar por nivel socioeconómico utilizan la variable nivel socioeconómico y cultural como criterio. Como dicha variable es continua es necesario determinar un punto de corte para dicotomizarla y determinar de esta manera el grupo mayoritario y el minoritario. La mayoría de los trabajos han optado por el 25% de los estudiantes con familias de menor nivel socioeconómico y cultural (cuartil 1, Q1), es el caso de Ferrer, Ferrer y Castel (2006), Ferrer y colaboradores (2011), Martínez y Ferrer (2018). Murillo y Martínez-Garrido (2018b) añade el 25% de los estudiantes con familias de mayor nivel socioeconómico y cultural (cuartil 4, Q4), y esos mismos autores en el otro trabajo de ese año (Murillo & Martínez-Garrido, 2018a), consideran también el 10% de los estudiantes con familias de menor nivel socioeconómico (percentil 10, P10) y el 10% con mayor (percentil 90, P90).
La decisión de elegir un grupo minoritario u otro no parece atenerse a ninguna razón objetiva. Es más, revisando otras investigaciones de carácter internacional se observan otras decisiones. Así, por ejemplo, Gasparini y otros (2011) y Jaume (2013) utilizan como punto de corte el percentil 20, Benavides, León y Etesse (2014) y Massey, Rothwell y Domina (2009) utilizan el primer cuartil, Valenzuela, Bellei y De los Ríos (2008) utilizan el percentil 30, Arenas y Hindriks (2017) y Vázquez (2012) utilizan la mediana, Valenzuela, Bellei y De los Ríos (2008) utilizan el percentil 70, y Krüguer (2014) y Murillo y Martínez-Garrido (2017) el cuarto cuartil.
La decisión de usar un grupo minoritario u otro tiene diferentes implicaciones. En primer lugar, que evidentemente, en función del punto de corte tomado los resultados de la magnitud de la segregación escolar son diferentes. Tal y como se observa en los resultados obtenidos por Murillo y Martínez-Garrido (2008a), el valor de la segregación puede variar desde 0,20 a 0,45 en función del punto de corte utilizado (valor estimado a través del índice de Aislamiento para los individuos que conformar el percentil 10 y el cuarto cuartil, respectivamente). Pero también que solo se tiene información de algunos grupos, desconociendo lo que sucede con otros.
Con todo ello, es posible afirmar que la investigación que estima la magnitud de la segregación escolar por nivel socioeconómico en España, y por extensión, en el resto de países, da una imagen simplista y parcial del fenómeno, pues sus resultados se reducen a un número que no es capaz de reflejar una realidad altamente compleja. Porque, en realidad, la segregación no es un número, es un perfil.
La presente investigación presenta un método de estimación de la segregación escolar por nivel socioeconómico preciso que permite solventar las deficiencias, la parcialidad y simplicidad de los estudios previos. Concretamente, esta investigación busca determinar el perfil de segregación escolar por nivel socioeconómico en Educación Secundaria Obligatoria en España y sus Comunidades Autónomas, y, a partir de ello, establecer diferentes modelos de segregación escolar existentes en el país.
| Estudio | Dimensión | Variable Criterio | Nivel Educativo (base datos) | Población | Índice | Grupo minoritario | Resultados * |
| Ferrer, Ferrer y Castel (2006) | Uniformidad | Nivel socioeconómico y cultural | Secundaria (PISA 2003) | España y Cataluña | D | Q1 | D: 0,40 |
| Benito y González (2007) | Uniformidad | Capital instructivo de los padres | Secundaria (Datos de la Generalitat de Cataluña 2004) | Municipios de Cataluña | G | Sin estudios | G: 0,45 |
| Estudios postobligatorios | G: 0,34 | ||||||
| Estudios universitarios | G: 0,37 | ||||||
| Mancebón-Torrubia y Pérez-Ximénez (2009, 2010) | Uniformidad | Nivel de estudios de los padres Tipo de trabajo de los padres Nivel socioeconómico y cultural | Secundaria (PISA 2006) | España | D, C | Sin estudios o sólo primarios | D: 0,29 C: 0,06 |
| Blue collar ** | D: 0,31 C: 0,11 | ||||||
| Q1 | D: 0,39 | ||||||
| Ferrer y colaboradores (2011) | Uniformidad | Nivel socioeconómico y cultural | Secundaria (PISA 2009) | España y CCAA | D | Q1 | D: 0,38 |
| Mancebón-Torrubia y Pérez-Ximénez (2014) | Uniformidad | Ingresos familiares | Secundaria (Datos propios 2005) | Aragón | D, C | Ingresos inferiores a 1200 eur/mes | D: 0,18 C: 0,05 |
| Bonal (2018) | Uniformidad | Nivel socioeconómico y cultural | Secundaria (PISA 2012) | España y Cataluña | IIS | No aplica | IIS: 0,75 |
| Martínez y Ferrer (2018) | Uniformidad | Nivel socioeconómico y cultural | Secundaria (PISA 2006-2015) | España, C. Madrid, Cataluña, P. Vasco y Andalucía | G | Q1 | G: 0,27-0,31 |
| Murillo y Martínez-Garrido (2018a) | Uniformidad | Nivel socioeconómico y cultural | Secundaria (PISA 2015) | España y CCAA | G | P10, Q1, Q4, P90 | P10-G: 0,41 Q1-G: 0,31 Q4-G: 0,30 P90-G: 0,46 |
| Exposición | A | P10, Q1, Q4, P90 | P10-A: 0,20 Q1-A: 0,39 Q4-A: 0,45 P90-A: 0,24 | ||||
| Murillo y Martínez-Garrido (2018b) *** | Uniformidad | Nivel socioeconómico y cultural | Secundaria (PISA 2000-2015) | España y CCAA | G, D, H | Q1 | G: 0,31 D: 0,42 H: 0,17 |
| Q4 | G: 0,35 D: 0,47 H: 0,20 | ||||||
| Exposición | A | Q1 | A: 0,39 | ||||
| Q4 | A: 0,45 | ||||||
| Sicilia y Simancas (2018) | Uniformidad | Nivel socioeconómico y cultural | Secundaria (PISA 2015) | España y CCAA | IIS | No aplica | IIS: 0,72 |
Método
Para alcanzar dichos objetivos se lleva a cabo una explotación secundaria de los datos de España en la base de datos PISA 2015.
Como variable criterio se ha utilizado el nivel socioeconómico y cultural de las familias (NSEC). Este índice ha sido generado por PISA con base a la información aportada por los estudiantes y sus familias en los cuestionarios. El índice NSEC se obtiene a partir de las siguientes variables: el Índice Socioeconómico Internacional de la Situación Ocupacional de las familias (ISEI); y los índices construidos por PISA relativos al nivel más alto de educación alcanzado por los padres del estudiante convertido en años de escolaridad, el índice de nivel de riqueza familiar, el índice de nivel de recursos educativos disponibles para el estudiante en el hogar, y por último, el índice de nivel de posesiones culturales del hogar familiar. El valor de la variable NSEC se expresa como variable continua tipificada para cada país, con media 0 y desviación típica 1. El NSEC de cada país se calcula con la media de los índices de los estudiantes del país, considerando la ponderación dado que cada estudiante tiene un peso equivalente al número de individuos de la población a la que representa.
La muestra total se compone por 39.066 estudiantes de 1.177 escuelas. En PISA 2015, además de la muestra estatal (6.736 estudiantes de 201 escuelas), todas las Comunidades Autónomas han ampliado su muestra regional para poder recabar datos que sean comparables a nivel internacional, con un promedio de 1.800 estudiantes de 54 escuelas en cada Comunidad Autónoma, con la excepción de País Vasco que duplica dicha cifra. La tabla 2 muestra la distribución de estudiantes y escuelas de la muestra en cada Comunidad Autónoma.

Para dar respuesta a los objetivos de la investigación el análisis de los datos se realiza en dos fases. De un lado, para estimar el perfil de segregación escolar por nivel socioeconómico en las Comunidades Autónomas se utiliza el índice de segregación de Gorard. La propiedad de este índice de mantenerse invariable ante los cambios en la composición del grupo minoritario hace su uso recomendable frente a otros índices como el índice de Disimilitud (Gorard, 2006).
De acuerdo con el índice de Gorard, el nivel de segregación escolar se estima como la proporción de sujetos del grupo minoritario que deberían cambiar de unidad organizativa para que exista una distribución homogénea de los mismos entre los distintos establecimientos. Las estimaciones realizadas en la presente investigación se obtienen utilizando las ponderaciones finales aportadas por el estudio PISA para cada estudiante. La utilización de los datos ponderados compensa los posibles sesgos surgidos por el muestreo o de la no-respuesta por parte de las escuelas y los estudiantes; su empleo, además, permite derivar estimaciones apropiadas de los valores poblacionales. La ponderación implica reconocer que la importancia de las unidades de la muestra varía entre las mismas y que las más relevantes deben contribuir más que las restantes al cálculo de cualquier estimación poblacional. Así, una unidad con baja probabilidad de selección se considera más importante que una unidad con una alta probabilidad de selección. Los pesos son inversamente proporcionales a dicha probabilidad de selección (OCDE, 2016).
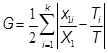
El procedimiento de cálculo del índice de Gorard es:

Donde, para cada Comunidad Autónoma, x1i representa el número de estudiantes del grupo minoritario en la escuela i, X1 es el número total de estudiantes del grupo minoritario en todas las escuelas de la Comunidad, Ti es el número total de estudiantes en la escuela i, y T, número total de estudiantes en cada Comunidad.
Para definir el grupo minoritario se utiliza el punto de corte del 5% de manera que se crean 19 grupos minoritarios de la variable nivel socioeconómico y cultural de la familia de los estudiantes (variable continua). Estos grupos recogen desde el 5% de los estudiantes cuyas familias cuentan con menor nivel socioeconómico y cultural, hasta el 5% de estudiantes con mayor nivel.
Para alcanzar el segundo de los objetivos, identificar los diferentes modelos de segregación escolar entre las CCAA, se realiza un doble análisis de conglomerados: un análisis jerárquico para explorar le existencia de grupos o modelos tomando la distancia euclídea al cuadrado como medida de asociación y un análisis de K-medias para verificar sus características.
Resultados
a) Perfil de segregación
En la figura 1 se ha representado el perfil de segregación escolar por nivel socioeconómico de España. El mismo es el resultado de estimar la magnitud de la segregación para 19 consideraciones de grupo minoritario: desde el 5% de los estudiantes con familias de menor nivel socioeconómico hasta el 50% de los estudiantes, y de nuevo hasta el 5% de los estudiantes de familias con mayor nivel socioeconómico. El resultante es una línea –un perfil–, que se ha representado en un gráfico circular y que aporta información mucho más compleja y útil que la estimación de un único punto, sea el P10, el P20 o Q1.

Del análisis de la figura 1 se pueden extraer algunas ideas. De un lado, la forma de huevo sin cerrar que tiene el perfil, con la parte achatada en el P50 y estirada en el P5 y el P95. Esta representación surge como consecuencia del tamaño del grupo minoritario, un 5% de sujetos en los extremos superiores y del 50% en la parte baja. De otro lado, es muy interesante verificar que la segregación en la parte izquierda del perfil es mayor que en la parte derecha. Ello significa que, en el total estatal, la segregación de estudiantes de familias con mayor nivel socioeconómico es superior a la segregación de estudiantes con menor nivel. Esta visión de la segregación ha pasado desapercibida para la práctica totalidad de las investigaciones realizadas hasta el momento. En la tabla A1 del Anexo se presenta toda la información.
Efectivamente, más allá de la verificación de que el punto con menor segregación es el P50 (el valor del índice de Gorard es 0,21), se verifica que la segregación escolar para los grupos de estudiantes con menor nivel socioeconómico es más baja que para los de mayor. Así, para el 10%, 15% y 20% de los estudiantes de familias con menor y mayor nivel socioeconómico las diferencias se maximizan, llegando a los 0,5 puntos entre los puntos de corte. Sin embargo, para el 5% de los estudiantes las diferencias disminuyen debido al espectacular aumento de la segregación en el P5.
Más interesante, por su carácter comparativo, resulta la estimación del perfil de segregación socioeconómica para cada una de las 17 Comunidades Autónomas de España (figura 2, tabla A1). Sin embargo, el alto número de Comunidades y lo similar de los perfiles hace que la representación gráfica sea poco clara. En todo caso, algunos elementos destacan especialmente:
En todo caso, la tabla 3 refleja la hipótesis de partida de esta investigación: una única cifra, un único grupo minoritario, aporta una imagen poco real de la segregación escolar, en este caso de la Comunidad. Así, según sea ésta, los resultados serán completamente diferentes.

| P5 | P10 | P15 | P20 | P25 | P30 | P35 | P40 | P45 | P50 | P55 | P60 | P65 | P70 | P75 | P80 | P85 | P90 | P95 | |
| Illes Baleares | IB | GA | IB | IB | IB | IB | IB | IB | IB | IB | IB | IB | EX | EX | IB | RI | RI | IB | IB |
| Extremadura | EX | CL | CA | CL | AR | AR | VC | VC | VC | EX | EX | EX | IB | IB | RI | IB | IB | RI | MU |
| Castilla y León | CL | EX | CL | CA | CA | VC | CA | CA | RI | RI | VC | AR | GA | AR | AR | AR | VC | AR | VC |
| Cantabria | CA | CA | GA | VC | VC | CL | EX | CL | EX | GA | AR | CL | AR | RI | GA | CA | GA | MU | RI |
| La Rioja | RI | IB | EX | AR | EX | CA | CL | EX | CA | CL | CL | GA | CL | GA | EX | GA | AR | VC | CM |
| Aragón | AR | AN | CN | GA | CL | EX | AR | RI | CL | VC | MU | VC | RI | CL | CA | PV | CL | NA | NA |
| Galicia | GA | CM | AN | EX | GA | GA | GA | AR | AR | AR | GA | RI | PV | PV | VC | VC | MU | CL | AR |
| Canarias | CN | AR | AR | CN | MU | AS | RI | GA | MU | MU | RI | MU | MU | CA | PV | CL | EX | GA | EX |
| Cataluña | CT | CN | VC | AN | NA | CM | MU | MU | GA | CA | CA | AN | AN | MU | CL | AN | PV | EX | AN |
| Andalucía | AN | RI | RI | NA | CN | MU | CN | CN | NA | CN | CN | PV | CA | AN | MU | MU | NA | PV | MD |
| Com. Valenciana | VC | AS | MU | AS | AN | RI | CM | AN | AN | PV | PV | CA | NA | NA | AN | EX | AN | CA | GA |
| Cast.-La Mancha | CM | MU | AS | MU | CM | CN | AS | CM | PV | AN | AN | NA | VC | VC | NA | NA | CA | CT | CT |
| Reg. de Murcia | MU | VC | CM | RI | AS | NA | AN | NA | CM | NA | NA | CN | CN | CN | AS | AS | CM | AN | CA |
| Ppdo. Asturias | AS | CT | NA | CM | PV | PV | NA | AS | CN | CM | AS | AS | AS | AS | CM | CT | CT | CM | CL |
| Navarra | NA | PV | PV | PV | RI | AN | PV | PV | AS | AS | CM | CM | CM | CM | CN | CM | AS | MD | PV |
| País Vasco | PV | NA | CT | CT | CT | CT | CT | CT | CT | CT | CT | CT | CT | CT | CT | CN | MD | AS | CN |
| Com. Madrid | MD | MD | MD | MD | MD | MD | MD | MD | MD | MD | MD | MD | MD | MD | MD | MD | CN | CN | AS |
b) Modelos de segregación
Aunque para la toma de decisiones la riqueza está en el detalle, 17 perfiles diferentes, uno por cada Comunidad, pueden hacer que se pierda la perspectiva. El análisis de conglomerados permite identificar modelos de perfiles que simplifican la interpretación. De esta forma se ha procedido a hacer un análisis en dos pasos. En primer lugar, un estudio exploratorio mediante un análisis de conglomerados jerárquico que ofrece una imagen global y ayuda a determinar el número de modelos a seleccionar. En segundo término, a través un análisis de K-medias, se analizan las características de los modelos identificados. En ambos casos, se estiman a partir de los 19 grupos minoritarios formados.
Una imagen gráfica de los resultados del análisis de conglomerados jerárquico la aporta el dendograma (figura 3). En el mismo se observa la estructura jerárquica de las Comunidades Autónomas en cuanto a su cercanía según su perfil de segregación escolar por nivel socioeconómico. Lo primero que se observa es que la Comunidad de Madrid tiene un comportamiento completamente diferente al resto de las Comunidades. Parece claro que su situación exige una reflexión.

El dendograma, además, muestra el comportamiento diferente de Illes Balears, así como la existencia de tres grupos más: el primero conformado por las Comunidades de Cantabria, Castilla y León, Galicia, Extremadura, Aragón, la Comunitat Valenciana y algo más alejado La Rioja; el segundo compuesto por la Región de Murcia, Navarra, País Vasco y Andalucía, y el tercero, en la parte inferior del gráfico, el Principado de Asturias, Canarias, Castilla-La Mancha y Cataluña, esta última algo alejada.
El análisis jerárquico y de K-medias realizado aporta información de las características de estos grupos (tabla A2) y posibilita volver a representar gráficamente los perfiles en un gráfico radial. Esta nueva imagen (figura 4), simplifica la imagen inicial de las Comunidades y aporta una visión más comprensiva que facilita la interpretación de los cinco modelos encontrados:

Conclusiones
El sistema educativo español tiene un grave problema de segregación social de sus escuelas. Otros estudios (p. ej., Murillo y Martínez-Garrido, 2018a) sitúan a España como uno de los países con una mayor segregación escolar por nivel socioeconómico de Europa, con cifras análogas a los países de Este más segregados y muy alejadas de los países de su contexto más cercano como Francia, Portugal, Alemania o Italia. Además, la variabilidad de situaciones para cada una de las 17 Comunidades Autónomas hace que sea difícil mirarlas como un todo.
Este estudio ha aportado evidencias, en primer lugar, de que estimar la magnitud de la segregación escolar con una sola medición simplifica en exceso una realidad ya de por sí muy compleja. Así, por poner un sencillo ejemplo, Extremadura puede ser la Comunidad con menor segregación escolar por nivel socioeconómico de España o la séptima con mayor segregación, el País Vasco puede ser la segunda Comunidad más segregada o la sexta con menos segregación, todo depende de la consideración del grupo minoritario. Pero no se trata de elegir adecuadamente el punto de corte, cada uno de los grupos minoritarios ofrece una información igualmente relevante para la toma de decisiones.
En segundo término, cumpliendo el objetivo marcado, este trabajo ha determinado el perfil de segregación escolar por nivel socioeconómico en Educación Secundaria Obligatoria en España y sus Comunidades Autónomas. Esta completa imagen aporta mucha información para la toma de decisiones políticas. Por ejemplo, los perfiles de segregación de la Comunidad de Madrid y de Extremadura son opuestos. Para el 5% de los estudiantes con familias de menos nivel socioeconómico presentan la mayor y la segunda menor segregación de todas las Comunidades, pero para el 5% de los estudiantes con familias de mayor nivel socioeconómico sus niveles de segregación son muy parecidos. Ello implica que la máxima prioridad de la Comunidad de Madrid es reducir sus niveles de segregación para los estudiantes con familias de menor nivel socioeconómico, mientras que, para la Comunidad de Extremadura, su prioridad debe ser aminorar la segregación para los estudiantes de familias con mayor nivel socioeconómico.
La complejidad de presentar 17 perfiles diferentes justifica la necesidad del segundo objetivo: definir modelos de perfiles. Cumpliendo ese objetivo se han encontrado cinco modelos de comportamiento de la segregación escolar. Su utilidad para la toma de decisiones es, también, clara. Por ejemplo, en aquellas Comunidades donde los resultados muestran que se segrega a los estudiantes con menos recursos es preciso poner en marcha políticas que garanticen que no haya escuelas gueto. Por contra, en las Comunidades donde se segrega a los estudiantes con mayores recursos es fundamental garantizar el cumplimiento de la ley que establece la igualdad de oportunidades de acceso a los estudiantes.
Estos resultados son absolutamente coherentes con los encontrados en estudios que estiman la magnitud de la segregación escolar en España. Así, son coincidentes con los encontrados con Murillo y Martínez-Garrido (2018a), dado que utilizan el mismo índice y la misma base de datos, la diferencia es que en su trabajo sólo aportan 4 grupos minoritarios, frente a los 19 de esta investigación. También son análogos con los de Ferrer, Ferrer y Castel (2006), Mancebón-Torrubia y Pérez-Ximénez (2010), Ferrer y colaboradores (2011). En estos casos, las diferencias son dos: por una parte, usan el índice de Disimilitud, que genera estimaciones más bajas (Murillo, 2016); y, por otra, que realizan explotaciones especiales de los datos de anteriores ediciones de PISA (2003, 2006 y 2009, respectivamente).
No es el objetivo de este artículo buscar una explicación, ni siquiera tentativa, de las razones que conducen a alcanzar esos niveles de segregación escolar. Sin embargo, la literatura habla, en primer lugar, de factores contextuales tales como de la segregación residencial para explicar la segregación escolar (Denton, 2001; Frankenberg, 2013). De esta forma, la concentración de familias de determinadas características socioeconómicas en barrios justificaría esa concentración en las escuelas. Sin embargo, las grandes diferencias encontradas entre Comunidades llevan a pensar en la importancia de las políticas públicas sobre el tema. Kartsten (2010) habla de dos grandes factores de la política que llevan a una mayor segregación: la política de elección escolar (school choice) y los criterios de admisión de las escuelas privadas.
Analizando a la Comunidad de Madrid, la región en España con una mayor segregación escolar, encontramos que, por una parte, en los últimos años lleva aplicando políticas de elección escolar encaminadas a la creación de un cuasi-mercado escolar tales como el distrito único, por el cual las familias pueden elegir escuela en toda la Comunidad o la publicación de rankings entre centros para facilitar la elección, pero también la política de centros bilingües que segrega a los estudiantes con más dificultades de aquellos que no lo son. Y, por otra parte, es tras el País Vasco, la Comunidad con mayor porcentaje de estudiantes matriculados en escuelas públicas. Por cierto, el País Vasco es una de las Comunidades con una mayor segregación para los estudiantes con familias de menor nivel socioeconómico. Sin duda hacen falta más investigaciones que ayuden a comprender estos fenómenos.
En este estudio se ha trabajado con datos de PISA 2015. Este hecho le otorga su mayor fortaleza, pero también algunas debilidades. Entre las primeras hay que destacar la posibilidad de contar con una muestra estadísticamente representativa de estudiantes de las 17 Comunidades Autónomas y con una medida del nivel socioeconómico y cultural tan fiable. Jamás hasta este momento la comunidad científica ha contado con datos de tal alta calidad y fiables para hacer un estudio de este tipo. Sin embargo, también hay que señalar alguna limitación, como es contar con tan pocos estudiantes por escuela, lo que limita la fiabilidad para grupos minoritarios muy pequeños. Debilidades, en todo caso, pequeñas en comparación con las fortalezas y que generan sólidas evidencias empíricas.
Esta investigación abre un camino que es necesario seguir y profundizar. Vista la diferente segregación de cada Comunidad para cada grupo minoritario resulta necesario profundizar en las causas y las consecuencias de esta segregación escolar, especialmente para los grupos de estudiantes con familias con mayor nivel socioeconómico y cultural, que ha sido mucho menos estudiada. Así como analizar las políticas educativas que han llevado a esta situación y las que pueden revertirla.
La segregación escolar atenta gravemente contra la igualdad de oportunidades educativas de todos los estudiantes, impidiendo de manera decisiva la construcción de una sociedad más justa e inclusiva. Este artículo ha demostrado lo poco que se sabe sobre la segregación en España. Ahora el reto es tomar las medidas para reducirla drásticamente. La sociedad no puede esperar.
Agradecimientos
Este artículo ha sido desarrollado en el marco del Proyecto I+D+i de Excelencia “Escuelas en contextos socio-económicamente desafiantes: Una aproximación desde la Educación para la Justicia Social de Investigación” Ref: EDU2014-56118-P. Financiado con fondos del Ministerio de Economía y Competitividad-Gobierno de España.
Referencias
Arenas, A. & Hindriks, J. (2017). Intergenerational mobility, school inequality and social segregation. Lovaina: Université Catholique de Louvain.
Bell, W. (1954). A probability model for the measurement of ecological segregation. Social Forces, 32, 357-364. https://doi.org/10.2307/2574118
Benavides, M., León, J., & Etesse, M. (2014). Desigualdades educativas y segregación en el sistema educativo peruano. Una mirada comparativa de las pruebas PISA 2000 y 2009. Lima: GRADE.
Benito, R. & González, I. (2007). Processos de segregació escolar a Catalunya. Barcelona: Mediterrània.
Bonal, X. (2018). La política educativa ante el reto de la segregación escolar en Cataluña. París: UNESCO.
Coleman, J., Hoffer, T., & Kilgore, S. (1982). High school achievement. Public, catholic and private schools compared. Nueva York, NY: Basic Books.
Denton, N. (2001). The persistence of segregation: Links between residential segregation and school segregation. En J. Powell, G. Kearney y V. Kay (Eds.), In pursuit of a dream deferred: Linking housing and education policy (pp. 89-119). Nueva York, NY: Peter Lang.
Duncan, O. & Duncan, B. A. (1954). Methodological analysis of segregation indexes. American Sociological Review, 20(2), 210-217. https://doi.org/10.2307/2088328
Ferrer, F., Castejón, A., Castel, J. L., & Zancajo, A. (2011).PISA 2009: Evaluació de les desigualtats educatives a Catalunya. Barcelona: Fundació Jaume Bofill.
Ferrer, F., Ferrer, G., & Castel, J. L. (2006). Les desigualtats educatives a Catalunya: PISA 2003. Barcelona: Fundació Jaume Bofill.
Ferrer, F., Ferrer, G., & Castel, J. L. (2008). Les desigualtats educatives a Catalunya (I-II). Barcelona: Fundació Jaume Bofill.
Frankenberg, E. (2013). The role of residential segregation in contemporary school segregation. Education and Urban Society, 45(5), 548-570. https://doi.org/10.1177/0013124513486288
Gasparini, L., Jaume, D., Serio, M., & Vázquez, E. (2011). La segregación entre escuelas públicas y privadas en Argentina. Reconstruyendo la evidencia. Desarrollo Económico, 51(203), 189-219.
Gorard, S. (2006). What does an index of school segregation measure? A commentary on Allen and Vignoles. York: Department of Educational Studies.
Gorard, S. & Taylor, C. (2002). What is segregation? A comparison of measures in terms of ‘strong’ and ‘weak’ compositional invariance. Sociology, 36(4), 875-895. https://doi.org/10.1177/003803850203600405
Hutchens, R. (2004). One measure of segregation. International Economic Review, 45(2), 555-578. https://doi.org/10.1111/j.1468-2354.2004.00136.x
Jahn, J., Schmid, C., & Schrag, C. (1947). The measurement of ecological segregation. American Sociological Review, 12, 293-303. http://dx.doi.org/10.2307/2086519
Jaume, D. (2013). Un estudio sobre el incremento de la segregación escolar en Argentina. La Plata: CEDLAS.
Kartsten, S. (2010). School segregation. En OECD. (Ed.), Equal opportunities? The labor market integration of the children of immigrants (pp. 193-210). París: OECD.
Krüguer, N. (2014). Más allá del acceso: Segregación social e inequidad en el sistema educativo. Cuadernos de Economía, 33(63), 513-542. https://doi.org/10.15446/cuad.econ.v33n63.45344
Mancebón-Torrubia, M. J. & Pérez-Ximénez, D. (2009). Segregación escolar en el sistema educativo español. Un análisis a partir de PISA 2006. En J. Cordero y R. Simancas (Eds.), Investigaciones de economía de la educación (pp. 63-75). Valencia: AEDE.
Mancebón-Torrubia, M. J. & Pérez-Ximénez, D. (2010). Una valoración del grado de segregación socioeconómica existente en el sistema educativo español. Un análisis por Comunidades Autónomas a partir de PISA 2006. Regional and Sectoral Economic Studies, 10(3), 129-148.
Mancebón-Torrubia, M. J. & Pérez-Ximénez, D. (2014). Equality of school choice: A study applied to the Spanish region of Aragón. Education Economics, 22(1), 90-111. https://doi.org/10.1080/09645292.2010.545197
Martínez, L. & Ferrer, A. (2018). Mézclate conmigo. De la segregación socioeconómica a la educación inclusiva. Madrid: Save the Children España.
Massey, D. S., Rothwell, J., & Domina, T. (2009). The changing bases of segregation in the United States. The Annals of the American Academy of Political and Social Science, 626(1), 74-90. https://doi.org/10.1177/0002716209343558
Murillo, F. J. (2016). Midiendo la segregación escolar en América Latina. Un análisis metodológico utilizando el TERCE. REICE. Revista Iberoamericana sobre Calidad, Eficacia y Cambio en Educación, 14(4), 33-60. https://doi.org/10.15366/reice2016.14.4.002
Murillo, F. J. & Martínez-Garrido, C. (2017). Estimación de la magnitud de la segregación escolar en América Latina. Magis, Revista Internacional de Investigación en Educación, 9(19), 11-30. https://doi.org/10.11144/javeriana.m9-19.emse
Murillo, F. J. & Martínez-Garrido, C. (2018a). Magnitud de la segregación escolar por nivel socioeconómico en España y sus comunidades autónomas y comparación con los países de la Unión Europea. RASE: Revista de Sociología de la Educación, 11(1), 37-58. https://doi.org/10.7203/RASE.11.1.10129
Murillo, F. J. & Martínez-Garrido, C. (2018b). Incidencia de la crisis económica en la segregación escolar en España / Impact of the economic crisis on school segregation in Spain. Revista de Educación, 381, 67-93. https://doi.org/10.4438/1988-592X-RE-2017-381-381
OCDE. (2010). PISA 2009 results: Overcoming social background.Equity in learning opportunities and outcomes. París: OCDE.
OCDE. (2016). PISA 2015 Assessment and analytical framework. París: OCDE. https://doi.org/10.1787/9789264255425-en
Sánchez Hugalde, A. (2007). La segregació escolar dels immigrants a Catalunya. Quaderns D’avaluació, 13, 55-76.
Sicilia, G. & Simancas, R. (2018). Equidad educativa en España: Comparación regional a partir de PISA 2015. Madrid. Fundación Ramón Areces
Síndic. (2008). La segregación escolar en Cataluña. Barcelona: Síndic.
St. John, N. H. (1966). The effect of segregation on the aspirations of negro youth. Harvard Educational Review, 36(3), 284-294. https://doi.org/10.17763/haer.36.3.137368j68m5u9800
Valenzuela, J. P., Bellei, C., & De Los Ríos, D. (2008). Evolución de la segregación socioeconómica de los estudiantes chilenos y su relación con el financiamiento compartido. Santiago de Chile: FONIDE, Ministerio de Educación.
Vázquez, E. (2012). Segregación escolar por nivel socioeconómico. Midiendo el fenómeno y explorando sus determinantes. Buenos Aires: CEDLAS.
Anexos
| P5 | P10 | P15 | P20 | P25 | P30 | P35 | P40 | P45 | P50 | P55 | P60 | P65 | P70 | P75 | P80 | P85 | P90 | P95 | |
| Andalucía | 0,4251 | 0,3192 | 0,2822 | 0,2767 | 0,2606 | 0,2493 | 0,2262 | 0,2074 | 0,1905 | 0,1785 | 0,2008 | 0,2132 | 0,2362 | 0,2634 | 0,2885 | 0,3174 | 0,3675 | 0,4240 | 0,4553 |
| Aragón | 0,4125 | 0,3341 | 0,2924 | 0,2498 | 0,2221 | 0,2052 | 0,2001 | 0,1864 | 0,1763 | 0,1639 | 0,1776 | 0,1981 | 0,2178 | 0,2396 | 0,2569 | 0,2852 | 0,3378 | 0,3702 | 0,4367 |
| Ppdo. Asturias | 0,4611 | 0,3417 | 0,3185 | 0,2844 | 0,2636 | 0,2358 | 0,2250 | 0,2134 | 0,2090 | 0,1949 | 0,2077 | 0,2341 | 0,2701 | 0,2964 | 0,3392 | 0,3650 | 0,4158 | 0,4574 | 0,5456 |
| Illes Balears | 0,3596 | 0,3101 | 0,2490 | 0,2099 | 0,2019 | 0,1949 | 0,1731 | 0,1650 | 0,1547 | 0,1435 | 0,1567 | 0,1790 | 0,2138 | 0,2313 | 0,2397 | 0,2686 | 0,3012 | 0,3278 | 0,3944 |
| Canarias | 0,4153 | 0,3350 | 0,2767 | 0,2674 | 0,2570 | 0,2476 | 0,2208 | 0,2070 | 0,1984 | 0,1738 | 0,1983 | 0,2273 | 0,2478 | 0,2964 | 0,3447 | 0,3866 | 0,4593 | 0,4959 | 0,5112 |
| Cantabria | 0,3810 | 0,3074 | 0,2637 | 0,2455 | 0,2231 | 0,2155 | 0,1963 | 0,1802 | 0,1714 | 0,1690 | 0,1868 | 0,2159 | 0,2384 | 0,2544 | 0,2776 | 0,3045 | 0,3687 | 0,4063 | 0,4888 |
| Castilla y León | 0,3709 | 0,2913 | 0,2701 | 0,2408 | 0,2274 | 0,2072 | 0,1976 | 0,1833 | 0,1761 | 0,1613 | 0,1811 | 0,2022 | 0,2239 | 0,2499 | 0,2831 | 0,3158 | 0,3466 | 0,3838 | 0,4893 |
| Cast.-La Mancha | 0,4442 | 0,3300 | 0,3246 | 0,2967 | 0,2624 | 0,2364 | 0,2233 | 0,2078 | 0,1983 | 0,1857 | 0,2160 | 0,2520 | 0,2816 | 0,3162 | 0,3443 | 0,3766 | 0,3964 | 0,4323 | 0,4323 |
| Cataluña | 0,4213 | 0,3693 | 0,3411 | 0,3314 | 0,3048 | 0,2870 | 0,2706 | 0,2493 | 0,2399 | 0,2263 | 0,2541 | 0,2882 | 0,3052 | 0,3259 | 0,3466 | 0,3658 | 0,4125 | 0,4144 | 0,4834 |
| Extremadura | 0,3700 | 0,3048 | 0,2726 | 0,2562 | 0,2254 | 0,2159 | 0,1971 | 0,1836 | 0,1672 | 0,1507 | 0,1725 | 0,1797 | 0,2086 | 0,2258 | 0,2689 | 0,3230 | 0,3517 | 0,3895 | 0,4489 |
| Galicia | 0,4150 | 0,2841 | 0,2703 | 0,2529 | 0,2294 | 0,2202 | 0,2047 | 0,1882 | 0,1777 | 0,1594 | 0,1816 | 0,2047 | 0,2163 | 0,2415 | 0,2647 | 0,3061 | 0,3283 | 0,3857 | 0,4776 |
| La Rioja | 0,3956 | 0,3394 | 0,3053 | 0,2942 | 0,2714 | 0,2423 | 0,2137 | 0,1860 | 0,1671 | 0,1534 | 0,1840 | 0,2088 | 0,2255 | 0,2409 | 0,2506 | 0,2609 | 0,2878 | 0,3506 | 0,4277 |
| Com. Madrid | 0,5180 | 0,4517 | 0,4427 | 0,4042 | 0,3632 | 0,3236 | 0,2967 | 0,2828 | 0,2691 | 0,2652 | 0,2953 | 0,3260 | 0,3470 | 0,3744 | 0,3925 | 0,4281 | 0,4353 | 0,4466 | 0,4615 |
| Reg. Murcia | 0,4555 | 0,3443 | 0,3159 | 0,2866 | 0,2439 | 0,2372 | 0,2186 | 0,1995 | 0,1767 | 0,1689 | 0,1814 | 0,2095 | 0,2337 | 0,2593 | 0,2844 | 0,3178 | 0,3488 | 0,3727 | 0,4096 |
| Navarra | 0,4631 | 0,3919 | 0,3304 | 0,2799 | 0,2526 | 0,2478 | 0,2329 | 0,2091 | 0,1902 | 0,1829 | 0,2018 | 0,2193 | 0,2439 | 0,2720 | 0,2931 | 0,3339 | 0,3597 | 0,3801 | 0,4364 |
| País Vasco | 0,4847 | 0,3879 | 0,3402 | 0,2987 | 0,2678 | 0,2478 | 0,2348 | 0,2198 | 0,1969 | 0,1745 | 0,1986 | 0,2135 | 0,2310 | 0,2543 | 0,2794 | 0,3111 | 0,3556 | 0,3991 | 0,4979 |
| Com. Valenciana | 0,4278 | 0,3521 | 0,2927 | 0,2484 | 0,2234 | 0,2061 | 0,1858 | 0,1750 | 0,1670 | 0,1616 | 0,1755 | 0,2063 | 0,2461 | 0,2731 | 0,2793 | 0,3129 | 0,3175 | 0,3776 | 0,4235 |
| España | 0,4781 | 0,4145 | 0,3730 | 0,3318 | 0,3114 | 0,2832 | 0,2622 | 0,2433 | 0,2202 | 0,2060 | 0,2347 | 0,2646 | 0,3005 | 0,3230 | 0,3543 | 0,3770 | 0,4140 | 0,4583 | 0,4962 |

Notas de autor
Información adicional
Cómo referenciar este artículo: Murillo, F. Javier & Martínez-Garrido, Cynthia (2019). Perfiles de segregación escolar por nivel socioeconómico en España y sus Comunidades Autónomas. RELIEVE, 25(1), art. 1. doi: http://doi.org/10.7203/relieve.25.1.12917
Enlace alternativo
https://ojs.uv.es/index.php/RELIEVE/article/view/12917/13022 (pdf)